Optimal Sizing Procedure for Electric Vehicle Supply Infrastructure Based on DC Microgrid with Station Commitment
Abstract
1. Introduction
- -
- A mixed-integer procedure for EV-based microgrid optimal sizing and operation is provided, to cope with the modularity of microgrid components;
- -
- The individuation of utilization scenarios, according to weather conditions and envisaged EV uses, is adopted, and discounted investment and operation costs are included;
- -
- A specific EV commitment is developed, in order to plan the station to which each EV should be connected;
- -
- In order to draw the influence of DC microgrid layout, an accurate configuration is analysed on a realistic test case.
2. DC Microgrid Optimal Sizing Methodology
2.1. DC Microgrid Configurations
2.2. Modeling of EVSI Components
2.2.1. PV Systems
2.2.2. Energy Storage Systems
2.2.3. Electric Vehicles and Stations
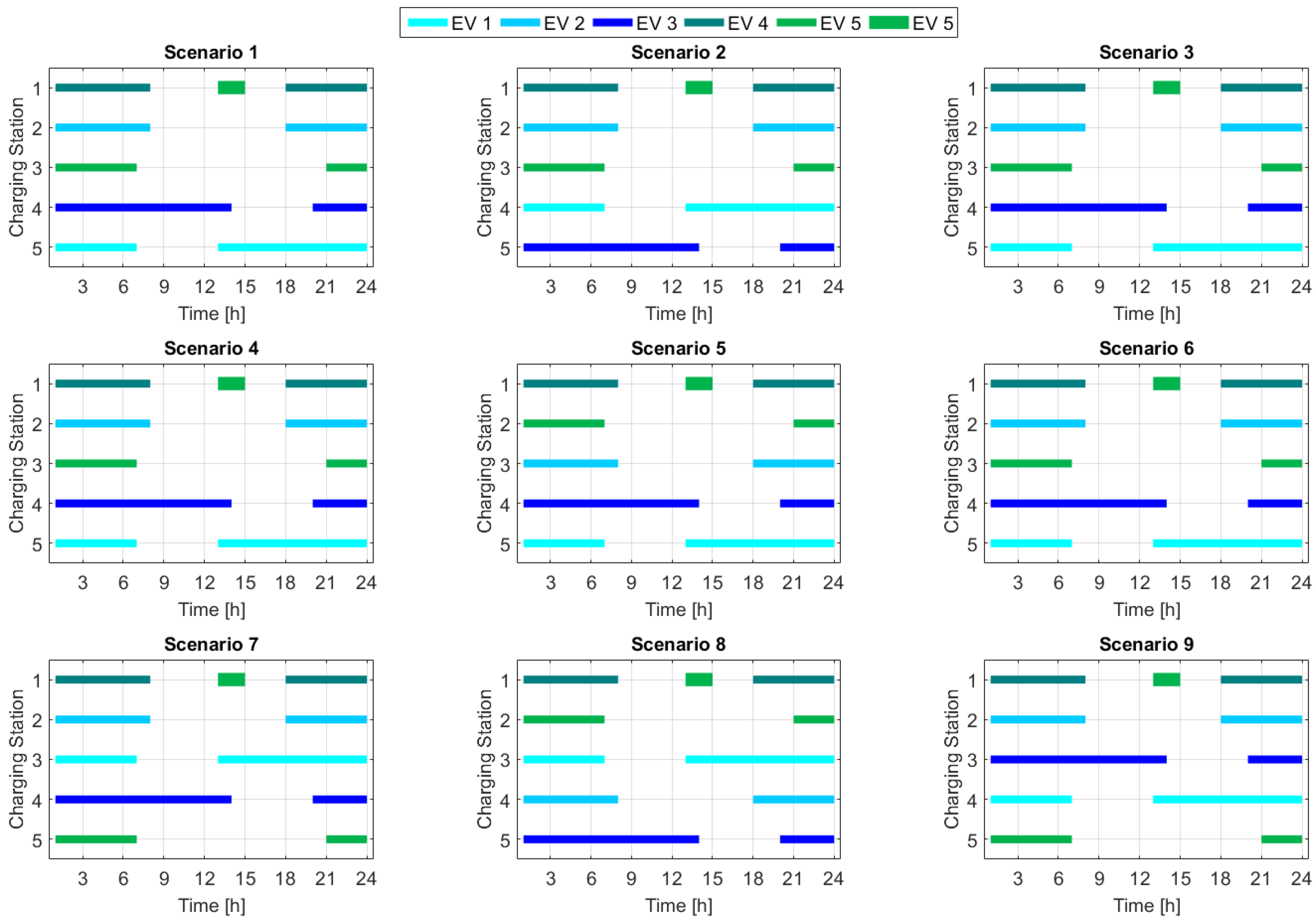
2.2.4. Electric Vehicles Station Commitment
2.2.5. Microgrid Balance and Power Exchanges
2.3. Objective and Procedure Formulation
3. Test System
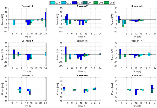
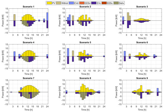
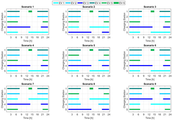
4. Results and Discussion
5. Conclusions
Author Contributions
Funding
Conflicts of Interest
Nomenclature
| Indices (subscripts) | |
| t | Time step |
| s | Scenario |
| p | Photovoltaic (PV) technology |
| i | Energy storage system (ESS) technology |
| j | Electric vehicle (EVs) |
| k | EV station |
| r | Charging/V2G technology standard |
| m | PV converter |
| h | ESS converter |
| f | AC/DC grid connection converter |
| Sets and general definitions | |
| Total number of time steps | |
| Total number of scenarios | |
| Set of available PV technologies (total number ) | |
| Set of available ESS technologies (total number ) | |
| Set of EVs (total number ) | |
| Set of charging stations (total number ) | |
| Set of EV charging/V2G standards (total number ) | |
| Set of PV converters (total number ) | |
| Set of ESS converters (total number ) | |
| Set of AC/DC converters (total number ) | |
| Total number of years of the analysis | |
| Discount rate | |
| Duration of each time step [h] | |
| Number of occurrences of the s-th scenario in a year | |
| Cost breakdown | |
| Total lifetime cost of the microgrid [€] | |
| Total building cost of the microgrid [€] | |
| Building cost of the PVs and their connection [€] | |
| Building cost of the ESSs and their connection [€] | |
| Building cost of the EV stations and their connection [€] | |
| Building cost of DC microgrid internal connections and of AC network interface [€] | |
| Total operation cost of the microgrid [€] | |
| Yearly operation cost of the microgrid [€] | |
| PV system parameters | |
| parking surface for each charging station [m2] | |
| total available surface for EV parking roofs [m2] | |
| standard efficiency of the p-th PV technology | |
| efficiency of the p-th PV technology in the t-th time step of the s-th scenario | |
| solar radiation on the p-th PV at the t-th time step in the s-th scenario [kW/m2] | |
| external temperature at the t-th time step in the s-th scenario [°C] | |
| power coefficient of the p-th PV technology [1/K] | |
| normal operating temperature of the p-th PV technology [°C] | |
| Unit power of the p-th PV technology panel [kW] | |
| Installed power for the m-th PV converter [kW] | |
| PV converter efficiency | |
| Investment cost of a PV panel of the p-th technology [€/kW] | |
| Investment cost of the m-th PV converter [€] | |
| Energy storage system parameters | |
| charge and efficiency of the i-th ESS | |
| maximum and minimum allowable state of charge SOC for the i-th ESS, in p.u. of installed size | |
| initial condition of SOC for the i-th ESS in the s-th scenario [kWh] | |
| total available volume for hosting ESS [m3] | |
| specific energy per unit of volume for the i-th ESS [kWh/m3] | |
| energy-to-power ratio, of the i-th ESS in charge and discharge conditions [kWh/kW] | |
| self-discharge rate of the i-th ESS | |
| Unit size of the i-th ESS technology module [kWh] | |
| Installed power for the h-th ESS converter [kW] | |
| ESS converter efficiency | |
| Investment cost of an ESS module for the i-th technology [€/kWh] | |
| Investment cost of the h-th ESS converter [€] | |
| Electric vehicles and stations parameters | |
| charge and efficiency of the j-th EV | |
| maximum and minimum SOC for the j-th EV | |
| arrival and leaving time step of the j-th EV at the station in the s-th scenario | |
| SOC at arrival and leaving time for the j-th EV in the s-th scenario [kWh] | |
| number of parked EVs at the t-th time step in the s-th scenario | |
| maximum number of parked EVs in the s-th scenario | |
| time step with the maximum number of parked EVs in the s-th scenario | |
| maximum charge and discharge power of the j-th EV [kW] | |
| maximum charge and discharge power of the r-th charging/V2G standard [kW] | |
| Average power needed to charge the j-th EV in the s-th scenario over the defined parking time | |
| Binary value assigning the connection of the j-th EV at the k-th station in the s-th scenario | |
| charging station efficiency | |
| Investment cost in the r-th technology for vehicle charging/V2G station [€] | |
| , | Cost for EV charge and EV discharge at the t-th time step in the s-th scenario [€/kWh] |
| Grid connection parameters | |
| Nominal power of the f-th AC/DC converter [kW] | |
| AC/DC converter efficiency | |
| Maximum exchangeable power at PCC, in either injection or withdrawal [kW] | |
| Cost for electric energy purchase from the grid at PCC at the t-th time step in the s-th scenario [€/kWh] | |
| Revenue for electric energy delivery to the grid at PCC at the t-th time step in the s-th scenario [€/kWh] | |
| Investment cost of the f-th grid converter [€] | |
| Investment cost of AC grid connection [€] | |
| Real State Variables | |
| Amount of power withdrawal from the distribution grid at the t-th time step in the s-th scenario [kW] | |
| Amount of power injected into the distribution grid at the t-th time step in the s-th scenario [kW] | |
| Charge power for the i-th ESS at the t-th time step in the s-th scenario [kW] | |
| Discharge power for the i-th ESS at the t-th time step in the s-th scenario [kW] | |
| State of charge (SOC) of the i-th ESS at the t-th time step in the s-th scenario [kWh] | |
| Charge power for the j-th EV at the t-th time step in the s-th scenario [kW] | |
| Discharge power for the j-th EV at the t-th time step in the s-th scenario [kW] | |
| State of charge (SOC) of the j-th EV at the t-th time step in the s-th scenario [kWh] | |
| maximum charge power at k-th station | |
| maximum discharge power at k-th station | |
| Installed power for the p-th PV technology [kW] | |
| Installed size for the i-th ESS technology [kWh] | |
| Installed power for the grid converter [kW] | |
| Integer State Variables: | |
| Variable to select power withdrawal or injection from the AC grid at the t-th time step in the s-th scenario | |
| Variable to select either charge or discharge for the i-th ESS at the t-th time step in the s-th scenario | |
| Variable to select either charge or discharge for the j-th EV at the t-th time step in the s-th scenario | |
| Variable linking the k-th station to the r-th standard for charging/V2G it is equipped with | |
| Number of modules for the p-th PV technology | |
| Number of battery modules of the i-th ESS technology | |
| Binary variable indicating if the m-th PV converter is exploited for the p-th PV technology | |
| Binary variable indicating if the i-th ESS converter is exploited for the i-th ESS technology | |
| Binary variable to select the installation of the f-th two-port AC/DC grid converter | |
Appendix A. An Example of EV and Station Commitment Procedure

| Hours | 1 | 2 | 3 | 4 | 5 | 6 | 7 | 8 | 9 | 10 | 11 | 12 | 13 | 14 | 15 | 16 | 17 | 18 | 19 | 20 | 21 | 22 | 23 | 24 | |
|---|---|---|---|---|---|---|---|---|---|---|---|---|---|---|---|---|---|---|---|---|---|---|---|---|---|
| Stations | |||||||||||||||||||||||||
| 1 | 10 | 10 | 10 | 10 | 10 | 10 | 10 | 10 | 10 | 5 | 5 | 2 | 2 | 1 | 1 | 1 | |||||||||
| 2 | 6 | 6 | 6 | 6 | 6 | 6 | 6 | 6 | 3 | 3 | 3 | 3 | 8 | 8 | 8 | ||||||||||
| 3 | 12 | 12 | 12 | 7 | 7 | 7 | 7 | 7 | 4 | 4 | 4 | 4 | 4 | ||||||||||||
| 4 | 9 | 9 | 9 | 9 | 9 | 9 | 13 | 13 | 13 | 13 | 13 | ||||||||||||||
| 5 | 14 | 14 | 14 | 14 | 14 | 14 | 11 | 11 | 11 | 11 | 11 | ||||||||||||||
| 6 | 15 | 15 | 15 | 15 | 15 | ||||||||||||||||||||
| 7 | |||||||||||||||||||||||||
| EVs | 1 | 2 | 3 | 4 | 5 | 6 | 7 | 8 | 9 | 10 | 11 | 12 | 13 | 14 | 15 | |
|---|---|---|---|---|---|---|---|---|---|---|---|---|---|---|---|---|
| Stations | ||||||||||||||||
| 1 | 1 | 1 | 1 | 1 | ||||||||||||
| 2 | 1 | 1 | 1 | |||||||||||||
| 3 | 1 | 1 | 1 | |||||||||||||
| 4 | 1 | 1 | ||||||||||||||
| 5 | 1 | 1 | ||||||||||||||
| 6 | 1 | |||||||||||||||
| 7 | ||||||||||||||||
References
- Vithayasrichareon, P.; Mills, G.; MacGill, I.F. Impact of electric vehicles and solar PV on future generation portfolio investment. IEEE Trans. Sustain. Energy 2015, 6, 899–908. [Google Scholar] [CrossRef]
- Schroeder, A.; Traber, T. The economics of fast charging infrastructure for electric vehicles. Energy Policy 2012, 43, 136–144. [Google Scholar] [CrossRef]
- Abousleiman, R.; Scholer, R. Smart charging: System design and implementation for interaction between plug-in electric vehicles and the power grid. IEEE Trans. Transp. Electrif. 2015, 1, 18–25. [Google Scholar] [CrossRef]
- Garcia-Villalobos, J.; Zamora, I.; San Martin, J.I.; Asensio, F.J.; Aperribay, V. Plug-in electric vehicles in electric distribution networks: A review of smart charging approaches. Renew. Sustain. Energy Rev. 2014, 38, 717–731. [Google Scholar] [CrossRef]
- You, P.; Yang, Z. Efficient optimal scheduling of charging station with multiple electric vehicles via V2V. In Proceedings of the 2014 IEEE International Conference on Smart Grid Communications, Venice, Italy, 3–6 November 2014; pp. 716–721. [Google Scholar] [CrossRef]
- Bhatti, R.; Salam, Z.; Aziz, M.J.B.A.; Yee, K.P.; Ashique, R.H. Electric vehicles charging using photovoltaic: Status and technological review. Renew. Sustain. Energy Rev. 2016, 54, 34–47. [Google Scholar] [CrossRef]
- Tian, W.; Jiang, W.; Shahidehpour, M.; Krishnamurthy, M. Vehicle charging stations with solar canopy: A realistic case study within a smart grid environment. In Proceedings of the 2014 IEEE Transportation Electrification Conference and Expo, Bejing, China, 31 August–3 September 2014; pp. 1–6. [Google Scholar] [CrossRef]
- Brenna, M.; Dolara, A.; Foiadelli, F.; Leva, S.; Longo, M. Urban scale photovoltaic charging stations for electric vehicles. IEEE Trans. Sustain. Energy 2014, 5, 1234–1241. [Google Scholar] [CrossRef]
- Chukwu, U.C.; Mahajan, S.M. V2G parking lot with PV rooftop for capacity enhancement of a distribution system. IEEE Trans. Sustain. Energy 2014, 5, 119–127. [Google Scholar] [CrossRef]
- Tulpule, P.J.; Marano, V.; Yurkovich, S.; Rizzoni, G. Economic and environmental impacts of a PV powered workplace parking garage charging station. Appl. Energy 2013, 108, 323–332. [Google Scholar] [CrossRef]
- Fattori, F.; Anglani, N.; Muliere, G. Combining photovoltaic energy with electric vehicles, smart charging and vehicle-to-grid. Solar Energy 2014, 110, 438–451. [Google Scholar] [CrossRef]
- Sbordone, D.; Bertini, I.; Di Pietra, B.; Falvo, M.C.; Genovese, A.; Martirano, L. EV fast charging stations and energy storage technologies: A real implementation in the smart micro grid paradigm. Electr. Power Syst. Res. 2015, 120, 96–108. [Google Scholar] [CrossRef]
- Safak Bayram, I.; Michailidis, G.; Devetsikiotis, M.; Bhattacharya, S.; Chakrabortty, A.; Granelli, F. Local energy storage sizing in plug-in hybrid electric vehicle charging stations under blocking probability constraints. In Proceedings of the 2011 IEEE SmartGridComm Conference, Brussels, Belgium, 17–20 October 2011; pp. 78–83. [Google Scholar] [CrossRef]
- Pequito, S.; Popli, N.; Kar, S.; Ilic, M.D.; Aguilar, A.P. A framework for actuator placement in large scale power systems: Minimal strong structural controllability. In Proceedings of the 2013 5th IEEE International Workshop on Computational Advances in Multi-Sensor Adaptive Processing (CAMSAP), St. Martin, France, 15–18 December 2013; pp. 416–419. [Google Scholar] [CrossRef]
- Bruno, S.; La Scala, M.; Stecchi, U. Monitoring and control of a smart distribution network in extended real time DMS framework. In Proceedings of the CIGRE 2011 Bologna Symposium–The Electric Power System of the Future: Integrating Supergrids and Microgrids, Bologna, Italy, 13–15 September 2011. paper 177. [Google Scholar]
- Aluisio, B.; Dicorato, M.; Forte, G.; Trovato, M. A Monte-Carlo based procedure for optimal sizing of integrated electric vehicle supply infrastructure. In Proceedings of the IEEE ISGT Europe 2017 Conference, Turin, Italy, 26–29 September 2017; pp. 1–6. [Google Scholar] [CrossRef]
- Aluisio, B.; Dicorato, M.; Ferrini, I.; Forte, G.; Trovato, M. AC and DC solutions for electric vehicle microgrid: Sizing and reliability analysis. In Proceedings of the IEEE 2018 EEEIC/I&CPS Europe International Conference, Palermo, Italy, 12–15 June 2018; pp. 1–6. [Google Scholar] [CrossRef]
- Chandra Mouli, G.R.; Bauer, P.; Zeman, M. System design for a solar powered electric vehicle charging station for workplaces. Appl. Energy 2016, 168, 434–443. [Google Scholar] [CrossRef]
- Preetham, G.; Shireen, W. Photovoltaic charging station for plug-in hybrid electric vehicles in a smart grid environment. In Proceedings of the 2012 IEEE PES ISGT Conference, Berlin, Germany, 16–20 January 2012; pp. 1–8. [Google Scholar] [CrossRef]
- Ashique, R.H.; Salam, Z.; Bin Abdul Aziz, M.J.; Bhatti, A.R. Integrated photovoltaic-grid dc fast charging system for electric vehicle: A review of the architecture and control. Renew. Sustain. Energy Rev. 2017, 69, 1243–1257. [Google Scholar] [CrossRef]
- Kaur, S.; Kaur, T.; Khanna, R.; Singh, P. A state of the art of DC microgrids for electric vehicle charging. In Proceedings of the 4th IEEE ISPC 2k17 Conference, Solan, India, 21–23 September 2017; pp. 381–386. [Google Scholar] [CrossRef]
- Chen, Y.; Wei, W.; Zhang, F.; Liu, C.; Meng, C. Design of PV hybrid DC/AC microgrid for electric vehicle charging station. In Proceedings of the 2017 ITEC Asia-Pacific Conference, Harbin, China, 7–10 August 2017; pp. 1–6. [Google Scholar] [CrossRef]
- Liao, Y.-T.; Lu, C.N. Dispatch of EV charging station energy resources for sustainable mobility. IEEE Trans. Transp. Electrif. 2015, 1, 86–93. [Google Scholar] [CrossRef]
- Tushar, W.; Yuen, C.; Huang, S.; Smith, D.B.; Poor, H.V. Cost minimization of charging stations with photovoltaics: An approach with EV classification. IEEE Trans. Intell. Transp. Syst. 2016, 17, 156–169. [Google Scholar] [CrossRef]
- Lu, X.; Liu, N.; Chen, Q.; Zhang, J. Multi-objective optimal Scheduling of a DC micro-grid consisted of PV system and EV charging station. In Proceedings of the 2014 IEEE ISGT Asia Conference, Kuala Lumpur, Malaysia, 20–23 May 2014; pp. 487–491. [Google Scholar] [CrossRef]
- Marra, F.; Traeholt, C.; Larsen, E. Planning future electric vehicle central charging station connected to low-voltage distribution network. In Proceedings of the 2012 3rd IEEE International Symposium on Power Electronics for Distributed Generation Systems (PEDG), Aalborg, Denmark, 8 January 2012; pp. 636–641. [Google Scholar] [CrossRef]
- Corchero, C.; Cruz-Zambrano, M.; Heredia, F.-J.; Caro, J.-I.; Igualada-Gonzalez, L.; Romero-Ortega, A. Optimal sizing of microgrid, a fast charging station case. In Proceedings of the 2012 European Energy market (EEM) Conference, Florence, Italy, 10–12 May 2012; pp. 1–6. [Google Scholar] [CrossRef]
- Machiels, N.; Leemput, N.; Van Roy, J.; Geth, F.; Driesen, J. Design criteria for electric vehicle fast charge infrastructure based on Flemish mobility behavior. IEEE Trans. Smart Grid 2014, 5, 320–327. [Google Scholar] [CrossRef]
- Ugirumurera, J.; Haas, Z.J. Optimal capacity sizing for completely green charging systems for electric vehicles. IEEE Trans. Transp. Electrif. 2017, 3, 565–577. [Google Scholar] [CrossRef]
- Wang, C.; Jiao, B.; Guo, L.; Yuan, K.; Sun, B. Optimal planning of stand-alone microgrids incorporating reliability. J. Mod. Power Syst. Clean Energy 2014, 2, 195–205. [Google Scholar] [CrossRef]
- Dominguez, E.X.; Arboleya, P. Reliability assessment in photovoltaic nanogrids by means of principal components analysis. In Proceedings of the IEEE 2016 PES General Meeting, Boston, MA, USA, 17–21 July 2016; pp. 1–5. [Google Scholar] [CrossRef]
- Duffie, J.A.; Beckman, W.A. Solar Engineering of Thermal Processes, 4th ed.; John Wiley & Sons: Hoboken, NJ, USA, 2013. [Google Scholar]
- Zheng, L.; Zhu, J.; Wang, G.; He, T.; Wei, Y. Novel methods for estimating lithium-ion battery state of energy and maximum available energy. Appl. Energy 2016, 178, 1–8. [Google Scholar] [CrossRef]
- Wunderground—Weather Station Network. Available online: www.wunderground.com (accessed on 1 January 2018).
- Soloveichik, G.L. Battery technologies for large-scale stationary energy storage. Annu. Rev. Chem. Biomol. Eng. 2011, 2, 503–527. [Google Scholar] [CrossRef]
- Fathabadi, H. Novel high efficiency DC/DC boost converter for using in photovoltaic systems. Solar Energy 2016, 125, 22–31. [Google Scholar] [CrossRef]
- ARERA, the Italian Regulatory Authority for Energy, Networks and Environment, Electricity Prices for Customers. Available online: https://www.arera.it/it/prezzi.htm# (accessed on 31 October 2018). (In Italian).
- Aluisio, B.; Conserva, A.; Dicorato, M.; Forte, G.; Trovato, M. Optimal operation planning of V2G-equipped microgrid in the presence of EV aggregator. Electr. Power Syst. Res. 2017, 152, 295–305. [Google Scholar] [CrossRef]
- Nemhauser, G.L.; Wolsey, L.A. Integer and Combinatorial Optimization; John Wiley & Sons: New York, NY, USA, 1999. [Google Scholar]








| Season | Weather Conditions | |||||
|---|---|---|---|---|---|---|
| Sunny | Cloudy | Rainy | ||||
| Scen. | Scen. | Scen. | ||||
| Winter | 1 | 13 | 2 | 46 | 3 | 31 |
| Mid-season | 4 | 78 | 5 | 69 | 6 | 35 |
| Summer | 7 | 64 | 8 | 25 | 9 | 4 |
| Technology | |||
|---|---|---|---|
| Monocrystalline | 0.195 | 0.153 | 1514 |
| Polycrystalline | 0.245 | 0.148 | 1416 |
| Technology | [35] | ||||||
|---|---|---|---|---|---|---|---|
| LiPo | 3.7 | 0.95 | 1/0.2 | 561.2 | 0.5/0.5 | 0.020 | 175 |
| ZEBRA | 19.8 | 0.92 | 1/0.2 | 183.0 | 0.66/0.66 | 0.250 | 250 |
| Li-Ion | 2.0 | 0.95 | 1/0.2 | 39.2 | 0.59/0.59 | 0.008 | 300 |
| Converter Type | Sizes [kW] | Efficiency [36] | Installation Cost [€] |
|---|---|---|---|
| DC/DC monodir. (PV) | 5, 10, 20, 30 | = 0.975 | |
| DC/DC bidir. (CS) | 10, 20 | = 0.970 | |
| DC/DC bidir. (ESS) | 10, 20, 30, 60 | = 0.970 | |
| Two-port AC/DC | 10, 20, 30, 60 | = 0.960 |
| EVs | Scenarios | ||||||||
|---|---|---|---|---|---|---|---|---|---|
| 1 | 2 | 3 | 4 | 5 | 6 | 7 | 8 | 9 | |
| EV1 | 0.10 | 0.13 | 0.08 | 0.07 | 0.08 | 0.07 | 0.11 | 0.12 | 0.09 |
| EV2 | 0.43 | 0.35 | 0.36 | 0.17 | 0.20 | 0.14 | 0.13 | 0.11 | 0.14 |
| EV3 | 0.10 | 0.08 | 0.14 | 0.07 | 0.11 | 0.10 | 0.11 | 0.05 | 0.10 |
| EV4 | 0.47 | 0.46 | 0.55 | 0.28 | 0.45 | 0.36 | 0.17 | 0.21 | 0.23 |
| EV5 (night) | 0.14 | 0.13 | 0.15 | 0.17 | 0.30 | 0.13 | 0.1 | 0.13 | 0.07 |
| EV5 (mid-day) | 0.98 | 0.93 | 1.06 | 1.16 | 2.12 | 0.89 | 0.68 | 0.90 | 0.47 |
| Device or Technology | Number | kW | kWh |
|---|---|---|---|
| PV polycrystalline modules | 46 | 11.27 | |
| ESS LiPo batteries | 0 | 0 | |
| Bidirectional EV stations | 5 | 10 (each) | |
| Grid connection | 1 | 10 | |
| PV converter | 1 | 20 | |
| ESS converter | 0 | ||
| Two-port grid converter | 1 | 10 |
| Cost Component | Value [€] |
|---|---|
| Building cost | 83,483.6 |
| Yearly operation cost | 518.5 |
| Lifetime operation cost | 6449.8 |
| Total EVSI cost | 89,933.4 |
© 2019 by the authors. Licensee MDPI, Basel, Switzerland. This article is an open access article distributed under the terms and conditions of the Creative Commons Attribution (CC BY) license (http://creativecommons.org/licenses/by/4.0/).
Share and Cite
Aluisio, B.; Dicorato, M.; Ferrini, I.; Forte, G.; Sbrizzai, R.; Trovato, M. Optimal Sizing Procedure for Electric Vehicle Supply Infrastructure Based on DC Microgrid with Station Commitment. Energies 2019, 12, 1901. https://doi.org/10.3390/en12101901
Aluisio B, Dicorato M, Ferrini I, Forte G, Sbrizzai R, Trovato M. Optimal Sizing Procedure for Electric Vehicle Supply Infrastructure Based on DC Microgrid with Station Commitment. Energies. 2019; 12(10):1901. https://doi.org/10.3390/en12101901
Chicago/Turabian StyleAluisio, Benedetto, Maria Dicorato, Imma Ferrini, Giuseppe Forte, Roberto Sbrizzai, and Michele Trovato. 2019. "Optimal Sizing Procedure for Electric Vehicle Supply Infrastructure Based on DC Microgrid with Station Commitment" Energies 12, no. 10: 1901. https://doi.org/10.3390/en12101901
APA StyleAluisio, B., Dicorato, M., Ferrini, I., Forte, G., Sbrizzai, R., & Trovato, M. (2019). Optimal Sizing Procedure for Electric Vehicle Supply Infrastructure Based on DC Microgrid with Station Commitment. Energies, 12(10), 1901. https://doi.org/10.3390/en12101901
