Extraction of Temperature-Dependent Thermoelectric Material Parameters of a Thermoelectric Cooler by the Non-Linear Least Squares Method
Abstract
1. Introduction
2. Modeling and Experiments
2.1. Method of TEC performance
2.2. Extraction Method of Thermoelectric Material Parameters
2.3. Experiment Platform for TEC Performance
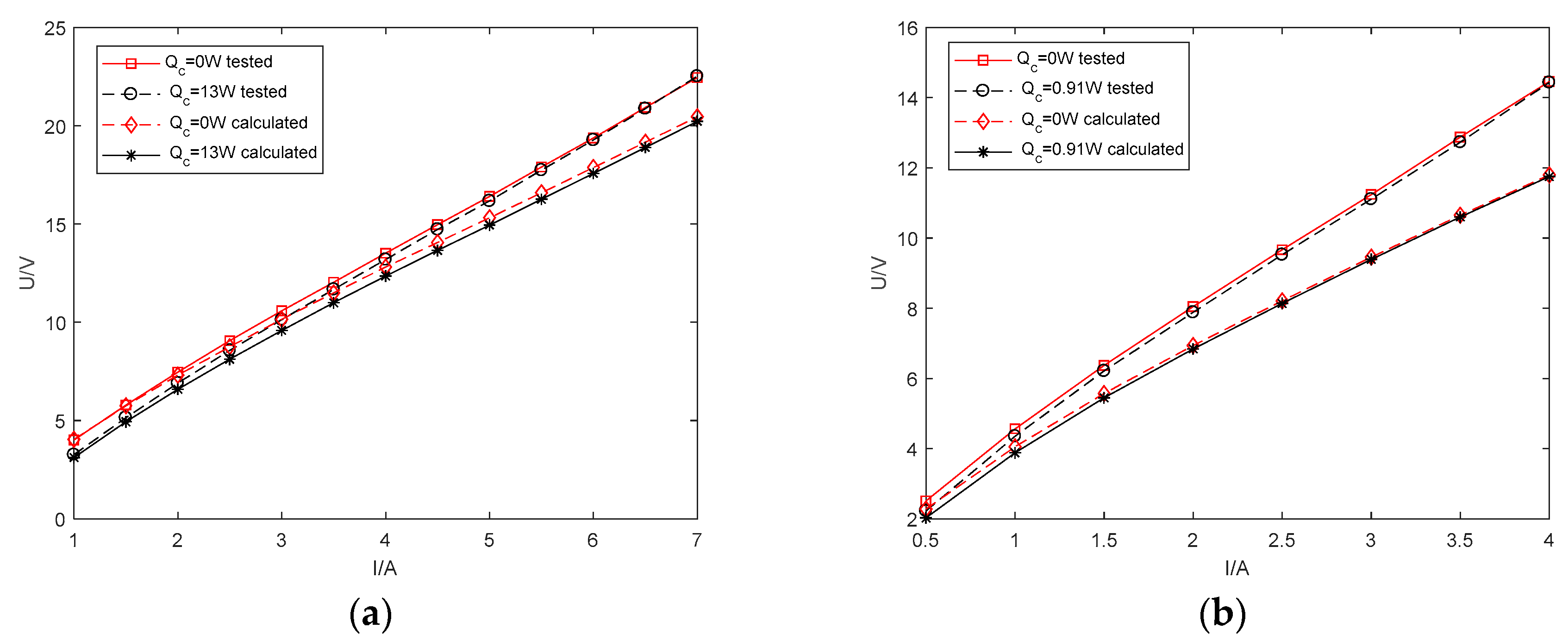
3. Simulation and Experimental Results
3.1. Verification of the Accuracy of Calculation Model for TEC Performance
3.2. Accuracy of the Extracted Material Parameters
3.3. Verification of the Validity of the Extracted Parameters
4. Conclusions
Author Contributions
Funding
Acknowledgments
Conflicts of Interest
Nomenclature
| Qc | cooling capacity (W) |
| Qh | heat dissipation of hot end (W) |
| W | Power consumption (W) |
| I | electric current (A) |
| Tc | cold side temperature (K or °C |
| Th | hot side temperature (K or °C) |
| T | temperature difference across the TEC (K or °C) |
| A | leg cross-sectional area(m2) |
| L | leg length (m) |
| U | voltage (V) |
| K | thermal conductance (WK−1) |
| R | electric resistance () |
| Rce | thermal resistance of ceramic () |
| Qi | Heat dissipation of ith element (W) |
| Wi | Power consumption of ith element (W) |
| seebeck coefficient (VK−1) | |
| electrical resistivity (m) | |
| thermal conductivity (W m−1 K−1) | |
| Thomson coefficient (V K−1) | |
| Ki | thermal conductance of ith element (WK−1) |
| Ri | electric resistance of ith element () |
| seebeck coefficient of ith element (VK−1) | |
| electrical resistivity of ith element (Ω m) | |
| thermal conductivity of ith element (W m−1 K−1) | |
| Thomson coefficient of ith element (V K−1) | |
| temperature of ith element (K or °C) | |
| T | temperature (K or °C) |
References
- Fraisse, G.; Ramousse, J.; Sgorlon, D.; Goupil, C. Comparison of different modeling approaches for thermoelectric elements. Energy Convers. Manag. 2013, 65, 351–356. [Google Scholar] [CrossRef]
- Wang, T.H.; Wang, Q.H.; Leng, C.; Wang, X.D. Parameter analysis and optimal design for two-stage thermoelectric cooler. Appl. Energy 2015, 154, 1–12. [Google Scholar] [CrossRef]
- Karimi, G.; Culham, J.R.; Kazerouni, V. Performance analysis of multi-stage thermoelectric coolers. Int. J. Refrig. 2011, 34, 2129–2135. [Google Scholar] [CrossRef]
- Hejtmánek, J.; Knížek, K.; Švejda, V.; Horna, P.; Sikora, M. Test system for thermoelectric modules and Materials. J. Electron. Mater. 2014, 43, 3726–3732. [Google Scholar] [CrossRef]
- Kallaher, R.L.; Latham, C.A.; Sharifi, F. An Apparatus for Concurrent Measurement of Thermoelectric Material Parameters. Rev. Sci. Instrum. 2013, 84, 1457. [Google Scholar] [CrossRef] [PubMed]
- Buist, R.J. Thermoelectric Material Parameters. In CRC handbook of thermoelectrics, 4th ed.; Rowe, D.M., Ed.; CRC press: Traverse City, MI, USA, 1995; chapter 14.3. [Google Scholar]
- Luo, Z. A simple method to estimate the physical characteristics of a thermoelectric cooler from vendor datasheets. Electron. Cooling 2008, 14, 22–27. [Google Scholar]
- Tan, F.L.; Fok, S.C. Methodology on sizing and selecting thermoelectric cooler from different TEC manufacturers in cooling system design. Energy Convers. Manag. 2008, 49, 1715–1723. [Google Scholar] [CrossRef]
- Zhang, H.Y. A general approach in evaluating and optimizing thermoelectric coolers. Int. J. Refrig. 2010, 33, 1187–1196. [Google Scholar] [CrossRef]
- Lineykin, S.; Ben-Yaakov, S. Modeling and Analysis of Thermoelectric Modules. IEEE Trans. Ind. Appl. 2007, 43, 505–512. [Google Scholar] [CrossRef]
- Palacios, R.; Arenas, A.; Pecharromán, R.R.; Pagola, F.L. Analytical procedure to obtain internal parameters from performance curves of commercial thermoelectric modules. Appl. Therm. Eng. 2009, 29, 3501–3505. [Google Scholar] [CrossRef]
- Dziurdzia, P.; Bratek, P.; Brzozowski, I.; Gelmuda, W.; Ostrowski, J.; Kos, A. Extraction of temperature dependent parameters for an electrothermal model of thermoelectric energy harvester. In Proceedings of the 2016 MIXDES—23rd International Conference Mixed Design of Integrated Circuits and Systems, Łódź, Poland, 23–25 June 2016; pp. 377–381. [Google Scholar] [CrossRef]
- Huang, B.J.; Chin, C.J.; Duang, C.L. A design method of thermoelectric cooler. Int. J. Refrig. 2000, 23, 208–218. [Google Scholar] [CrossRef]
- Anatychuk, L.I.; Havrylyuk, M.V. Procedure and Equipment for Measuring Parameters of Thermoelectric Generator Modules. J. Electron. Mater. 2011, 40, 1292–1297. [Google Scholar] [CrossRef]
- Mitrani, D.; Tome, J.A.; Salazar, J.; Turo, A.; Garcia, M.J.; Chavez, J.A. Methodology for extracting thermoelectric module parameters. IEEE Trans. Instrum. Meas. 2005, 54, 1548–1552. [Google Scholar] [CrossRef]
- Ahiska, R.; Dişlitaş, S. Computer controlled test system for measuring the parameters of the real thermoelectric. Energy Convers. Manag. 2011, 52, 27–36. [Google Scholar] [CrossRef]
- Chu, E.T.; Chien, H.C.; Hsieh, H.L.; Huang, J.Y.; Liu, C.K.; Yao, D.J. A Novel Method to Rapidly Determine the Key Properties of Thermoelectric Devices. In Proceedings of the 13th IEEE ITHERM Conference, San Diego, CA, USA, 29 May–1 June 2012; pp. 93–98. [Google Scholar]
- Chen, M.; Snyder, G.J. Analytical and numerical parameter extraction for compact modeling of thermoelectric coolers. Int. J. Heat Mass Transf. 2013, 60, 689–699. [Google Scholar] [CrossRef]
- Lee, H.S.; Attar, A.M.; Weera, S.L. Performance Prediction of Commercial Thermoelectric Cooler Modules using the Effective Material Properties. J. Electron. Mater. 2015, 44, 2157–2165. [Google Scholar] [CrossRef]
- Sandoz-Rosado, E.J.; Weinstein, S.J.; Stevens, R.J. On the Thomson effect in thermoelectric power devices. Int. J. Therm. Sci. 2012, 66, 1–7. [Google Scholar] [CrossRef]
- McCarty, R. A Comparison Between Numerical and Simplified Thermoelectric Cooler Models. J. Electron. Mater. 2010, 39, 1842–1847. [Google Scholar] [CrossRef]
- Xuan, X.C.; Ng, K.C.; Yap, C.; Chua, H.T. The maximum temperature difference and polar characteristic of two-stage thermoelectric coolers. Cryogenics 2002, 42, 273–278. [Google Scholar] [CrossRef]
- Homepage of Thermonamic, China. Available online: http://www.thermonamic.com/ (accessed on 18 April 2018).












| Coefficient | Melcor [22] | Handbook [6] | Namic [23] |
|---|---|---|---|
| a0 | 2.2224 × 10−5 | 4.131 × 10−5 | −1.574 × 10−5 |
| a1 | 9.306 × 10−7 | 8.189 × 10−7 | 2.137 × 10−6 |
| a2 | −9.905 × 10−10 | −8.839 × 10−10 | −2.992 × 10−9 |
| b0 | 5.112 × 10−7 | −9.379 × 10−7 | 3.972 × 10−6 |
| b1 | 1.634 × 10−8 | 3.036 × 10−8 | −9.165 × 10−9 |
| b2 | 6.279 × 10−11 | 2.232 × 10−11 | 8.487 × 10−11 |
| c0 | 6.2605 | 5.460 | 5.230 |
| c1 | −2.777 × 10−2 | −2.428 × 10−2 | −2.249 × 10−2 |
| c2 | 4.131 × 10−5 | 3.786 × 10−5 | 3.324 × 10−5 |
© 2019 by the authors. Licensee MDPI, Basel, Switzerland. This article is an open access article distributed under the terms and conditions of the Creative Commons Attribution (CC BY) license (http://creativecommons.org/licenses/by/4.0/).
Share and Cite
Nie, S.; Wang, M.; Gao, X.; Liao, J. Extraction of Temperature-Dependent Thermoelectric Material Parameters of a Thermoelectric Cooler by the Non-Linear Least Squares Method. Energies 2019, 12, 169. https://doi.org/10.3390/en12010169
Nie S, Wang M, Gao X, Liao J. Extraction of Temperature-Dependent Thermoelectric Material Parameters of a Thermoelectric Cooler by the Non-Linear Least Squares Method. Energies. 2019; 12(1):169. https://doi.org/10.3390/en12010169
Chicago/Turabian StyleNie, Shanjun, Mingfu Wang, Xiaodong Gao, and Jingyu Liao. 2019. "Extraction of Temperature-Dependent Thermoelectric Material Parameters of a Thermoelectric Cooler by the Non-Linear Least Squares Method" Energies 12, no. 1: 169. https://doi.org/10.3390/en12010169
APA StyleNie, S., Wang, M., Gao, X., & Liao, J. (2019). Extraction of Temperature-Dependent Thermoelectric Material Parameters of a Thermoelectric Cooler by the Non-Linear Least Squares Method. Energies, 12(1), 169. https://doi.org/10.3390/en12010169
