Investigation of Separated Two-Phase Thermosiphon Loop for Relieving the Air-Conditioning Loading in Datacenter
Abstract
1. Introduction
2. Experimental Setup and Approach
2.1. STPTL’s Working Principle
2.2. Introduction to the Experimental Setup
2.3. Description of the STPTL
2.4. Experimental Approach and Operating Conditions
- Ambient air temperature (Ta): the experiment was conducted at three different ambient temperatures (21 °C, 23 °C, and 25 °C).
- Chilled water’s temperature (Tc): the experiment was conducted twice at two different temperatures, (15 °C and 20 °C).
- Chilled water’s flow rate: water flow rate was constant for all cases (15 L/min).
- Filling ratio of R-134a: the experiment was conducted at five different filling ratios (10%, 30%, 50%, 70%, and 90%). The filling ratio is based on the volume of the evaporator.
- Heating Load: The experiment was conducted at a constant heating load (4 kW) with two heaters (2 kW each) being turned on for all experiment cases. See Figure 1b.
2.5. Experimental Apparatus and Measurements
3. Data Reduction
3.1. Power Consumed by the Rack with No Thermosiphon
3.2. Power Consumed by the Rack with the Thermosiphon Loop STPTL
4. Results and Discussion
4.1. Power Consumption and Energy Savings Results
4.2. Thermal Resistance of the STPTL Calculations and Results
5. Conclusions
- The experimental results indicate that the energy saving increases with the rise of filling ratio. However, the optimum energy savings can be achieved at a filling ratio of 70%, a further increase of filling ratio leads to a reduction in energy saving. A substantial energy savings of 38.7% can be achieved at the filling ratio of 70%.
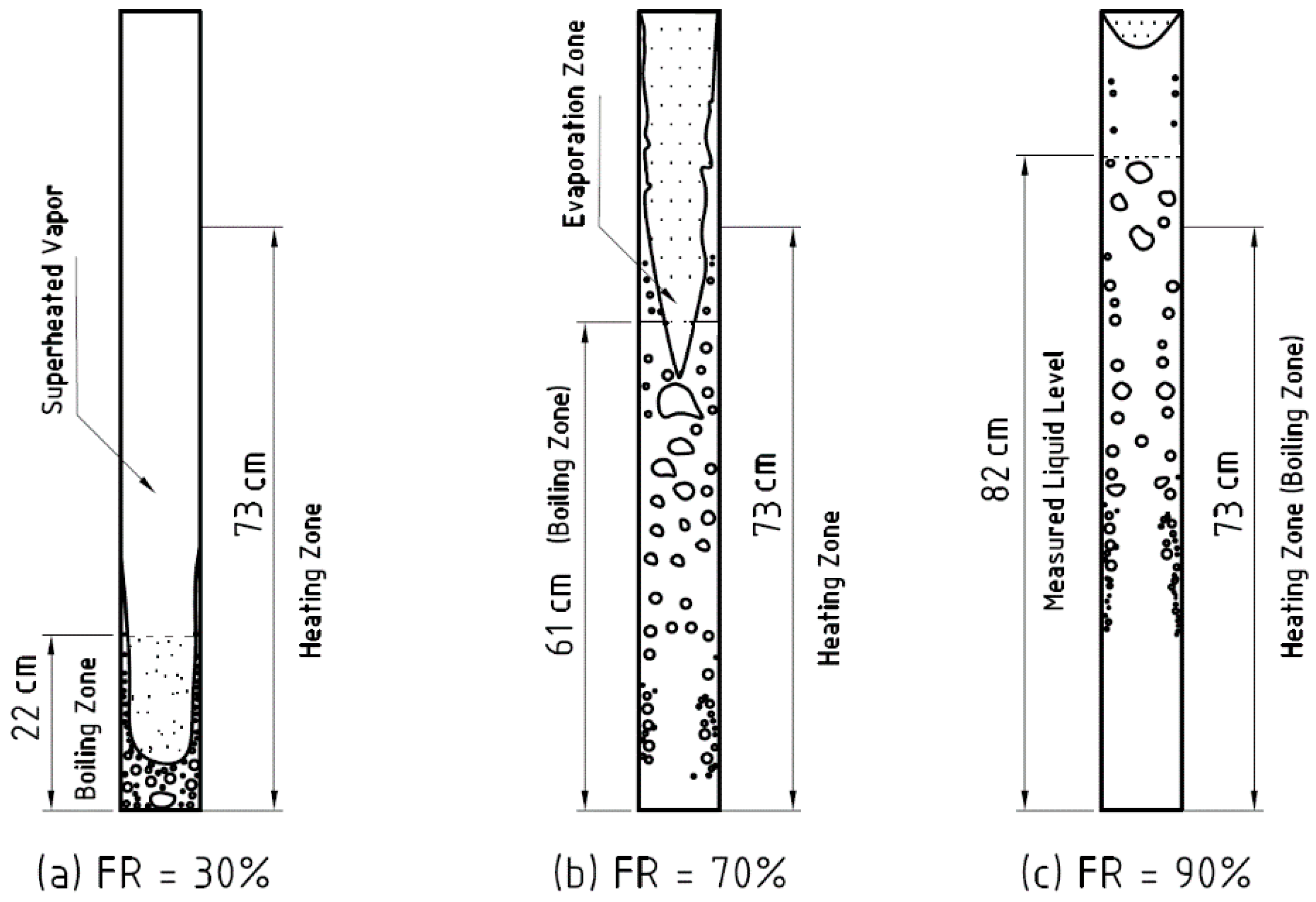
- At a low filling ratio like 10%, the evaporator starves for refrigerant and a very uneven air temperature distribution occurring at the exit of data rack. The uneven temperature distribution is relieved considerably when the evaporator is fully flooded.
- It is also found that the energy saving is in line with the rise of system pressure. Overfilling of the evaporator may lead to a decline of system pressure. This is because the evaporator is fully flooded and only nucleate boiling prevails.
- A lower overall thermal resistance occurs at high filling ratios and a higher ambient temperature. However, the effect of ambient temperature on the overall thermal resistance is negligible at high filling ratios. Yet appreciable increase in overall thermal resistance is encountered at low filling ratios due to the starvation of working fluid.
- It is found that the overall thermal resistance is in line with the predictions especially at the high filling ratios.
Author Contributions
Funding
Conflicts of Interest
| Nomenclature | |
| T | temperature (°C) |
| V | voltage (V) |
| I | electrical current (A) |
| P | electrical power consumption (W) |
| Q | heat transfer rate (W) |
| ṁ | mass flow rate (kg/s) |
| Cp | specific heat (kJ/kg⋅°C) |
| g | gravity acceleration (m/s2) |
| volume (m3) | |
| R | thermal resistance (°C/kW) |
| h | heat transfer coefficient (W/m2⋅°C) |
| A | area (m2) |
| P | pressure (kPa) |
| q | heat flux (W/m2) |
| hfg | latent heat (kJ/kg) |
| length (m) | |
| Greek symbols | |
| density (kg/m3) | |
| thermal conductivity (W/m⋅°C) | |
| Dynamic viscosity (Pa.s) | |
| Subscripts | |
| a | ambient |
| c | condenser |
| i | inlet |
| o | outlet |
| e | evaporator |
| avg | average |
| ai | air inlet |
| ao | air outlet |
| l | liquid |
| ac | air conditioner |
| f | fans |
| tr | traditional |
| t | total |
| ch | chiller |
| wa | water |
| p | pump |
| w | wall |
| sat | saturation |
| h | hot air |
| H | heater |
| th | thermal |
| b | pool boiling |
| co | film condensation |
| vapor | |
| atmospheric | |
| exp | experimental |
| pre | predicted |
| Abbreviations | |
| STPTL | separated two-phase thermosiphon loop |
| CRAC | computer room air-conditioning |
| ISMT | integrated system of mechanical refrigeration and thermosiphon |
| PFA | perfluoroalkoxy |
| T.S | thermosiphon |
| AC | air conditioner |
| T.C | thermocouple |
| PWM | pulse-width modulation |
| RTD | resistance temperature detector |
| FR | filling ratio |
| COP | coefficient of performance |
| P.C | power consumption |
| E.S | energy savings |
| SD | standard deviation |
References
- Zhang, H.; Shao, S.; Jin, T.; Tian, C. Numerical investigation of a CO2 loop thermosyphon in an integrated air conditioning system for free cooling of data centers. Appl. Therm. Eng. 2017, 126, 1134–1140. [Google Scholar] [CrossRef]
- Daraghmeh, H.M.; Wang, C.-C. A review of current status of free cooling in datacenters. Appl. Therm. Eng. 2017, 114, 1224–1239. [Google Scholar] [CrossRef]
- Han, L.; Shi, W.; Wang, B.; Zhang, P.; Li, X. Development of an integrated air conditioner with thermosyphon and the application in mobile phone base station. Int. J. Refrig. 2013, 36, 58–69. [Google Scholar] [CrossRef]
- Zhang, H.; Shao, S.; Xu, H.; Zou, H.; Tian, C. Integrated system of mechanical refrigeration and thermosyphon for free cooling of data centers. Appl. Therm. Eng. 2015, 75, 185–192. [Google Scholar] [CrossRef]
- Zhang, H.; Shao, S.; Tian, C. Simulation of the Thermosyphon Free Cooling Mode in an Integrated System of Mechanical Refrigeration and Thermosyphon for Data Centers. Energy Procedia 2015, 75, 1458–1463. [Google Scholar] [CrossRef]
- Ding, T.; Cao, H.W.; He, Z.G.; Li, Z. Experiment research on influence factors of the separated heat pipe system, especially the filling ratio and Freon types. Appl. Therm. Eng. 2017, 118, 357–364. [Google Scholar] [CrossRef]
- Zhou, F.; Tian, X.; Ma, G. Investigation into the energy consumption of a data center with a thermosyphon heat exchanger. Chin. Sci. Bull. 2011, 56, 2185–2190. [Google Scholar] [CrossRef]
- Zheng, Y.; Li, Z.; Liu, X.; Tong, Z.; Tu, R. Retrofit of air-conditioning system in data center using separate heat pipe system. In Proceedings of the 8th International Symposium on Heating, Ventilation and Air Conditioning; Springer: Berlin/Heidelberg, Germany, 2013; pp. 685–694. [Google Scholar]
- Chehade, A.; Louahlia-Gualous, H.; Le Masson, S.; Lépinasse, E. Experimental investigations and modeling of a loop thermosyphon for cooling with zero electrical consumption. Appl. Therm. Eng. 2015, 87, 559–573. [Google Scholar] [CrossRef]
- Tong, Z.; Ding, T.; Li, Z.; Liu, X.-H. An experimental investigation of an R744 two-phase thermosyphon loop used to cool a data center. Appl. Therm. Eng. 2015, 90, 362–365. [Google Scholar] [CrossRef]
- Tong, Z.; Liu, X.-H.; Li, Z.; Jiang, Y. Experimental study on the effect of fill ratio on an R744 two-phase thermosyphon loop. Appl. Therm. Eng. 2016, 99, 302–312. [Google Scholar] [CrossRef]
- Ong, K.S.; Haider-E-Alahi, M. Performance of a R-134a-filled thermosyphon. Appl. Therm. Eng. 2003, 23, 2373–2381. [Google Scholar] [CrossRef]
- Zhang, H.; Shao, S.; Xu, H.; Zou, H.; Tang, M.; Tian, C. Simulation on the performance and free cooling potential of the thermosyphon mode in an integrated system of mechanical refrigeration and thermosyphon. Appl. Energy 2017, 185, 1604–1612. [Google Scholar] [CrossRef]
- Zhang, H.; Shao, S.; Xu, H.; Zou, H.; Tang, M.; Tian, C. Numerical investigation on integrated system of mechanical refrigeration and thermosyphon for free cooling of data centers. Int. J. Refrig. 2015, 60, 9–18. [Google Scholar] [CrossRef]
- Zhang, P.; Wang, B.; Wu, W.; Shi, W.; Li, X. Heat recovery from Internet data centers for space heating based on an integrated air conditioner with thermosyphon. Renew. Energy 2015, 80, 396–406. [Google Scholar] [CrossRef]
- Ling, L.; Zhang, Q.; Yu, Y.; Liao, S.; Sha, Z. Experimental study on the thermal characteristics of micro channel separate heat pipe respect to different filling ratio. Appl. Therm. Eng. 2016, 102, 375–382. [Google Scholar] [CrossRef]
- Zhang, H.; Shi, Z.; Liu, K.; Shao, S.; Jin, T.; Tian, C. Experimental and numerical investigation on a CO2 loop thermosyphon for free cooling of data centers. Appl. Therm. Eng. 2017, 111, 1083–1090. [Google Scholar] [CrossRef]
- Lin, T.F.; Lin, W.T.; Tsay, Y.L.; Wu, J.C.; Shyu, R.J. Experimental investigation of geyser boiling in an annular two-phase closed thermosyphon. Int. J. Heat Mass Transf. 1995, 38, 295–307. [Google Scholar] [CrossRef]
- Khazaee, I.; Hosseini, R.; Noie, S.H. Experimental investigation of effective parameters and correlation of geyser boiling in a two-phase closed thermosyphon. Appl. Therm. Eng. 2010, 30, 406–412. [Google Scholar] [CrossRef]
- Jouhara, H.; Fadhl, B.; Wrobel, L.C. Three-dimensional CFD simulation of geyser boiling in a two-phase closed thermosyphon. Int. J. Hydrogen Energy 2016, 41, 16463–16476. [Google Scholar] [CrossRef]
- Imura, H.; Kusuda, H.; Ogata, J.-I.; Miyazaki, T. Sakamoto, Heat transfer in two-phase closed-type thermosyphons. Nasa ADS 1979, 45, 712–722. [Google Scholar]
- Jouhara, H.; Robinson, A.J. Experimental investigation of small diameter two-phase closed thermosyphons charged with water, FC-84, FC-77 and FC-3283. Appl. Therm. Eng. 2010, 30, 201–211. [Google Scholar] [CrossRef]
- Fadhl, B.; Wrobel, L.C.; Jouhara, H. Numerical modelling of the temperature distribution in a two-phase closed thermosyphon. Appl. Therm. Eng. 2013, 60, 122–131. [Google Scholar] [CrossRef]










| Source | STPTL’s Description | Working Fluid | Operating Conditions | Results |
|---|---|---|---|---|
| Zhang et al. [1] | ISMT that has three working modes: T.S mode, vapor compression mode and dual mode | R-744 R-22 R-134a | The indoor temperature = 27 °C and outdoor temperature = (7–22) °C | The optimal filling ratios for CO2, R22 and R134a are 120%, 100% and 90%, respectively |
| Han et al. [3] | Integrated air conditioner with thermosyphon (dual mode direct expansion evaporator) | R-22 | Heating load = 2112 W. The AC rated cooling capacity was 3200 W. Indoor temperature = 22 °C | Energy savings up to 34.3–36.9% |
| Zhang et al. [4] | A three-fluid heat exchanger is used to connect refrigeration loop and a thermosyphon loop | Unknown | Indoor temperature = 27 °C Outdoor Temperature = (7–22) °C | The annual energy saving rate is 5.4–47.3% |
| Ding et al. [6] | Separated heat pipe system. The evaporator was placed inside the datacenter rack to cover all rack surface area | R-22 R-134a R-410A | Heat source’s temperature (32~40) °C Condenser’s temperature (10~14) °C | Heat transfer ability of R-22 is 4.8% higher than R134a, while R-410A is 8.7% higher than R134a |
| Feng et al. [7] | T.S was built to use ambient energy to cool a typical data center, the volume of T.S = (0.75 × 0.32 × 0.29) mm3 | Unknown | Heating load = 1.1 kW Ta = 25 °C T.S cooling capacity = 2 kW | the annual energy consumption could be reduced by 35.4% |
| Chehade et al. [9] | Loop T.S that uses an evaporator that is composed of two compensation chambers for the liquid and vapor working fluid separated by a microchannels block. | n-pentane HFC-365mfc SES-36 HFE-7000 FC-3284 | Heating load = (100~700) W Ta = 25 °C | Results showed that increasing the liquid and vapor lines section diameters could be one of the vital keys to improve the system thermal efficiency. Also, increasing ambient temperature increases the mass flow rate in the loop and decreases the evaporator pressure drop |
| Tong et al. [10] | Finned-tube heat exchangers The heat transfer area is about 16.9 m2 | R-744 R-22 | Heat transfer rate = (1–4) kW Outdoor temperature = 18 °C | The total thermal resistance of R-744 is (22–25) % lower than that of the R22 |
| Z. Tong et al. [11] | The inner surface areas of the evaporator and condenser is (0.42 m2) each. The inner diameters of the riser and downcomer are both 6 mm. | R-744 | Tc,i was controlled between 13 and 15 °C. Heating load range (200~1700) W | Maximum heat transfer ability is achieved at the fill ratio around 100%. Lowest driving temperature difference is achieved at the fill ratio around 62% |
| Zhang et al. [13] | ISMT system consists of two circulation loops: an AC loop and a T.S loop. | R-22 | Heating load = 4.5 kW. Ta = 24 °C Filling quantity of T.S loop = 3.8 kg | Free cooling percentages of approximately 30–70%. The annual energy saving rates are 16–49% |
| Zhang et al. [14] | A tube-fin three-fluid heat exchanger and a parallel flow evaporator | R-22 | The indoor and outdoor temperature differences are (10, 15 and 20) °C | Best cooling capacity of thermosiphon mode is 7.1 kW at 20 °C temperature difference |
| Zhang et al. [15] | Integrated air conditioner combines thermosyphon and vapor compression into one device | Water | Ta = 24 °C Cooling capacity was up to 49.2 kW | The proposed system can save 33% of the energy consumed for cooling, compared with traditional system |
| Ling et al. [16] | A micro channel separated heat pipe, evaporator’s volume (750 × 780 × 25) mm3 | R-22 | 1. Dry/wet bulb Temperature = (13/7.3) °C 2. Dry/wet bulb Temperature = (8/3.4) °C | The optimal refrigerant filling ratio was 88–101%. Cooling capacity was increased by 138% when the temperature difference between indoor and the outdoor increased from 5 °C to 10°C |
| Zhang et al. [17] | CO2 loop thermosyphon with microchannel parallel-flow heat exchangers | R-744 R-22 | The indoor and outdoor temperature difference is 10 °C | The optimal filling ratio of R-744 is 150%. The heat transfer rate and circulation flow rate increased with height difference |
| Apparatus | Accuracy | Unit |
|---|---|---|
| Anemometer (LM-8000) | ±0.1 | m/s |
| Digital multimeter | ±0.01 | V, A |
| Thermocouple (T-Type) | ±0.1 | °C |
| Rotameter flow meter | ±0.2 | l/min |
| Pressure transducer | ±0.001 | V |
| Digital power meter | ±0.1 | W |
| Equation | Uncertainty | |
|---|---|---|
| 0.136 W | ||
| 0.169 W | ||
| (11.49~24.15) W | ||
| (25.51~55.88) W |
| Ta (°C) | All Cases | Pac (W) | Pch (W) | Pf (W) | Pp (W) | Pt (W) | E.S (%) |
|---|---|---|---|---|---|---|---|
| 21 | (No T.S) | 4493.7 | 0.0 | 66.48 | 0 | 4560.2 | 0.0 |
| FR (10%) | 3338.0 | 230.0 | 66.48 | 60 | 3694.5 | 19.0 | |
| FR (30%) | 3085.8 | 417.7 | 66.48 | 60 | 3630.0 | 20.4 | |
| FR (50%) | 3025.3 | 526.6 | 66.48 | 60 | 3678.4 | 19.3 | |
| FR (70%) | 2520.8 | 592.9 | 66.48 | 60 | 3240.2 | 28.9 | |
| FR (90%) | 2478.8 | 684.5 | 66.48 | 60 | 3289.8 | 27.9 | |
| 23 | (No T.S) | 3901.0 | 0.0 | 66.48 | 0 | 3967.4 | 0.0 |
| FR (10%) | 2606.0 | 142.9 | 66.48 | 60 | 2875.3 | 27.5 | |
| FR (30%) | 2483.1 | 171.4 | 66.48 | 60 | 2781.0 | 29.9 | |
| FR (50%) | 2317.1 | 276.2 | 66.48 | 60 | 2719.8 | 31.4 | |
| FR (70%) | 1933.4 | 385.7 | 66.48 | 60 | 2445.6 | 38.4 | |
| FR (90%) | 1873.6 | 447.6 | 66.48 | 60 | 2447.7 | 38.3 | |
| 25 | (No T.S) | 2604.6 | 0.0 | 66.48 | 0 | 2671.0 | 0.0 |
| FR (10%) | 2068.6 | 99.2 | 66.48 | 60 | 2294.3 | 14.1 | |
| FR (30%) | 1913.7 | 205.5 | 66.48 | 60 | 2245.7 | 15.9 | |
| FR (50%) | 1733.6 | 241.9 | 66.48 | 60 | 2102.0 | 21.3 | |
| FR (70%) | 1373.6 | 211.2 | 66.48 | 60 | 1711.3 | 35.9 | |
| FR (90%) | 1371.2 | 285.7 | 66.48 | 60 | 1783.4 | 33.2 |
| Ta (°C) | All Cases | Pac (W) | Pch (W) | Pf (W) | Pp (W) | Pt (W) | E.S (%) |
|---|---|---|---|---|---|---|---|
| 21 | (No T.S) | 4493.7 | 0.0 | 66.48 | 0 | 4560.2 | 0.0 |
| FR (10%) | 3830.7 | 166.7 | 66.48 | 60 | 4123.8 | 9.6 | |
| FR (30%) | 3153.4 | 369.0 | 66.48 | 60 | 3648.9 | 20.0 | |
| FR (50%) | 3147.9 | 381.0 | 66.48 | 60 | 3655.3 | 19.8 | |
| FR (70%) | 2601.8 | 409.8 | 66.48 | 60 | 3138.0 | 31.2 | |
| FR (90%) | 2559.8 | 473.8 | 66.48 | 60 | 3160.1 | 30.7 | |
| 23 | (No T.S) | 3901.0 | 0.0 | 66.48 | 0 | 3967.4 | 0.0 |
| FR (10%) | 3005.7 | 119.0 | 66.48 | 60 | 3251.2 | 18.1 | |
| FR (30%) | 2358.3 | 166.7 | 66.48 | 60 | 2651.5 | 33.2 | |
| FR (50%) | 2450.0 | 190.5 | 66.48 | 60 | 2766.9 | 30.3 | |
| FR (70%) | 2066.2 | 238.1 | 66.48 | 60 | 2430.8 | 38.7 | |
| FR (90%) | 2039.3 | 285.7 | 66.48 | 60 | 2451.5 | 38.2 | |
| 25 | (No T.S) | 2604.6 | 0.0 | 66.48 | 0 | 2671.0 | 0.0 |
| FR (10%) | 2148.5 | 81.0 | 66.48 | 60 | 2355.9 | 11.8 | |
| FR (30%) | 1981.3 | 125.2 | 66.48 | 60 | 2233.0 | 16.4 | |
| FR (50%) | 1964.9 | 156.2 | 66.48 | 60 | 2247.6 | 15.9 | |
| FR (70%) | 1604.9 | 166.7 | 66.48 | 60 | 1898.1 | 28.9 | |
| FR (90%) | 1617.4 | 202.4 | 66.48 | 60 | 1946.2 | 27.1 |
© 2018 by the authors. Licensee MDPI, Basel, Switzerland. This article is an open access article distributed under the terms and conditions of the Creative Commons Attribution (CC BY) license (http://creativecommons.org/licenses/by/4.0/).
Share and Cite
Daraghmeh, H.M.; Sulaiman, M.W.; Yang, K.-S.; Wang, C.-C. Investigation of Separated Two-Phase Thermosiphon Loop for Relieving the Air-Conditioning Loading in Datacenter. Energies 2019, 12, 105. https://doi.org/10.3390/en12010105
Daraghmeh HM, Sulaiman MW, Yang K-S, Wang C-C. Investigation of Separated Two-Phase Thermosiphon Loop for Relieving the Air-Conditioning Loading in Datacenter. Energies. 2019; 12(1):105. https://doi.org/10.3390/en12010105
Chicago/Turabian StyleDaraghmeh, Hafiz M., Mohammed W. Sulaiman, Kai-Shing Yang, and Chi-Chuan Wang. 2019. "Investigation of Separated Two-Phase Thermosiphon Loop for Relieving the Air-Conditioning Loading in Datacenter" Energies 12, no. 1: 105. https://doi.org/10.3390/en12010105
APA StyleDaraghmeh, H. M., Sulaiman, M. W., Yang, K.-S., & Wang, C.-C. (2019). Investigation of Separated Two-Phase Thermosiphon Loop for Relieving the Air-Conditioning Loading in Datacenter. Energies, 12(1), 105. https://doi.org/10.3390/en12010105

