Baltic Power Systems’ Integration into the EU Market Coupling under Different Desynchronization Schemes: A Comparative Market Analysis
Abstract
1. Introduction
- A European integrated day-ahead market model with an interzonal congestion management approach (34 European countries modeled as one node)
- A regional redispatch market model with an intrazonal congestion management approach (a detailed power grid model of the Baltic states).
2. Desynchronization Schemes for the Baltic States and Corresponding Primary Frequency Regulations
- BCEN Scheme: Baltic synchronization with the CEN synchronous area via Poland.
- BNS Scheme: Baltic synchronization with the Nordic synchronous area through newly constructed HVAC undersea cables between Estonia and Finland.
- BAS Scheme: Baltic states’ autonomous synchronous operation.
2.1. Primary Reserve Regulation in the CEN Synchronous Area
2.2. Primary Reserve Regulation in Nordic Synchronous Area
2.3. Primary Reserve in the Baltics under Autonomous Synchronous Operation
3. EU Market-Clearing and Congestion Management in Baltic States
4. Modeling Assumptions
- (a)
- Each connection is characterized by its net transfer capacity (NTC) [28,29], i.e., the maximum power exchange capacity between two areas compatible with security standards [21]. Assuming high liquidity of the day-ahead electricity market, the NTC is considered fully available for the day-ahead market, thus, it is assumed that ATC = NTC. This assumption is in line with the current ATC-based network modeling in EUPHEMIA. Under the ATC-based model, the impact of HVDC or HVAC interconnection types are inherently considered in calculation of NTCs.
- (b)
- In each zone, except for the Baltics, all the generators of the same type are lumped in one equivalent generator, with rated capacity equal to the sum of the individual generators [30]. Inside the Baltics, large generators are individually represented (30 in Estonia, 20 in Latvia, and 22 in Lithuania).
- (c)
- We considered the ENTSO-E winter-peak snapshot in January (19:00 p.m.) and summer-peak snapshot in July (11:00 a.m.) [30]. The aggregated electricity demand in the Baltic states is 5520 MW in the winter peak and 3780 MW in the summer peak.
- (d)
- The output power of wind and solar power plants in the summer-peak snapshot were assumed equal to the average generation profiles during 11:00 a.m. for the July days in [31,32], and modified based on the installed capacities under ENTSO-E Vision 3. Similarly, for the winter-peak snapshot, the average of the generation data for wind and solar power plants during the January 19:00 p.m. days was extracted from [31,32].
- (e)
- Primary reserve was assumed to be provided by thermal and hydro power plants equipped with droop control on the governor system. Considering 5% droop on generators’ governor system [33], and full activation of primary reserve in response to a 200 mHz frequency drop, it was approximated that all the online thermal and hydro generators inside the Baltic states can provide up to 8% of their available capacity for primary reserve. This assumption is not in contrast to the reserve requirement in Table 2. However, it limits the maximum available primary reserve capacity inside each Baltic country.
- (f)
- Primary reserve service was not co-optimized with energy in the day-ahead electricity market and was supposed to be provided through a separate approach, before energy market clearing, e.g., through long-term contracts or individual ancillary service markets. This assumption is in line with the current European market model. Therefore, first we allocated the primary reserve requirement to all the thermal and hydro power plants of each bidding zone according to the merit order list, based on their marginal generation costs. The primary reserve market modeling and pricing mechanism is out of the scope of this study.
- (g)
- The VOLL was considered to be 1000 €/MWh. Since demand response programs were not considered in this study, we considered a high VOLL to avoid load curtailment as long as possible.
5. Comparative Analysis of Synchronization Schemes
5.1. EU Integrated Day-Ahead Market Performance
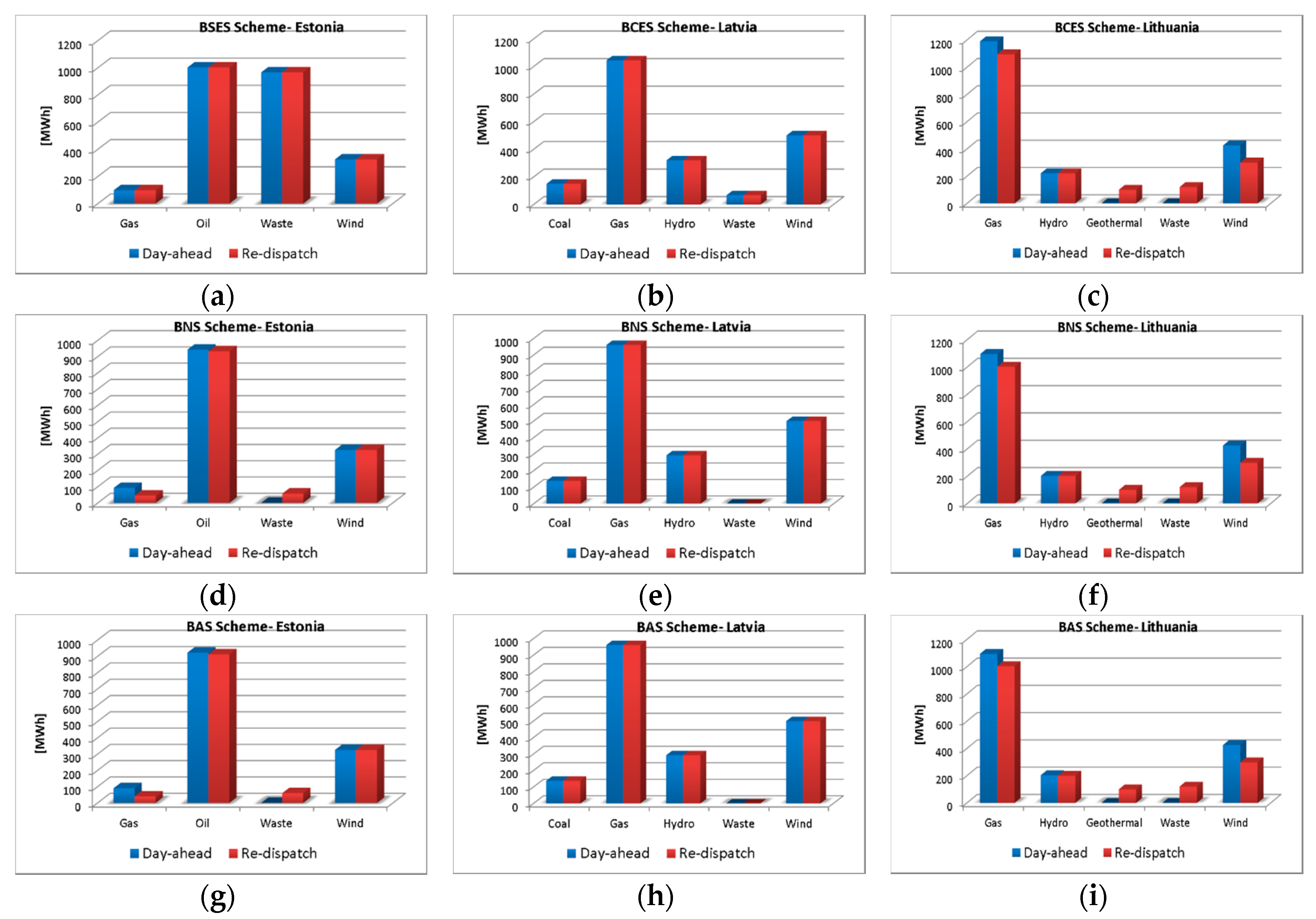
5.2. Congestion Management Results within the Baltic States
5.3. Primary Reserve Adequacy in the Baltic States
6. Conclusions and Discussion
Author Contributions
Funding
Acknowledgments
Conflicts of Interest
Abbreviations
| IPS/UPS | Integrated/Unified Power System |
| EU | European Union |
| HVAC | High Voltage Alternating Current |
| HVDC | High Voltage Direct Current |
| BRELL | Belarus, Russia, Estonia, Latvia, Lithuania |
| TSO | Transmission System Operators |
| CEN | Continental Europe Network |
| CM | Congestion Management |
| NTC | Net Transfer Capacity |
| FCR | Frequency Containment Reserve |
| FCR-D | frequency containment reserve under disturbance |
| EUPHEMIA | EU+ Pan-European Hybrid Electricity Market Integration Algorithm |
| ATC | Available Transfer Capacity |
| VOLL | Value Of Lost Load |
| Symbols | |
| Set of conventional generators, indexed by | |
| Set of renewable generators, indexed by | |
| Set of electricity consumers, indexed by | |
| Set of transmission network nodes, indexed by | |
| Set of conventional generators connected to node , indexed by | |
| Set of renewable generators connected to node , indexed by | |
| Set of electricity consumers connected to node , indexed by | |
| Total re-dispatch/congestion management cost | |
| Total energy generation in control region during k-1th year | |
| Total capacity required as primary reserve in the synchronous area | |
| Primary reserve capacity provided by each control region | |
| Dimensioning fault in the control region during the year | |
| Upward adjustment offer prices by conventional generator in re-dispatch market | |
| Downward adjustment offer prices by conventional generator in re-dispatch market | |
| Upward adjustment power provided by conventional generator in re-dispatch market | |
| Downward adjustment power provided by conventional generator in re-dispatch market | |
| Penalty price of renewable curtailment in re-dispatch market | |
| Curtailed power of renewable generator in re-dispatch market | |
| Curtailment cost of customer in re-dispatch market (VOLL under inelastic demand assumption) | |
| Curtailed load of customer in re-dispatch market for congestion management | |
| Scheduled output power of conventional generator in day-ahead market | |
| Maximum power of conventional generator | |
| Minimum power of conventional generator due to technical limits | |
| Reserve capacity provided by conventional generator | |
| Power flow from node to node | |
| Power demand of customer in day-ahead market | |
| Susceptance of transmission line between nodes and | |
| Voltage angle of node | |
References
- L’Abbate, A.; Careri, F.; Calisti, R.; Rossi, S.; Fulli, G. Long-term HVDC developments in the European power system: the Baltic case in GridTech analysis. In Proceedings of the IEEE 5th International Conference on Power Engineering, Energy and Electrical Drives, Riga, Latvia, 11–13 May 2015. [Google Scholar]
- Litgrid Website. Available online: http://www.litgrid.eu/index.php/about-us/international-activities-/621 (accessed on 20 September 2017).
- Radziukynas, V.; Klementavicius, A.; Kadisa, S.; Radziukyniene, N. Challenges for the Baltic Power System connecting synchronously to Continental European Network. Electr. Power Syst. Res. 2016, 140, 54–64. [Google Scholar] [CrossRef]
- Nord Pool Website. Available online: http://www.nordpoolspot.com/How-does-it-work/ (accessed on 22 September 2017).
- Bompard, E.; Carpaneto, E.; Huang, T.; Pi, R.J.; Fulli, G.; Purvins, A.; Mutule, A. Electricity independence of the Baltic States: Present and future perspectives, Sustainable Energy. Grids Netw. 2017, 10, 55–64. [Google Scholar] [CrossRef]
- European Commission. Integration of the Baltic States into the EU Electricity System. Available online: https://publications.europa.eu/en/publication-detail/-/publication/8d3b7da2-562e-11e7-a5ca-01aa75ed71a1/language-en/format-PDF/source-31392329 (accessed on 10 September 2017).
- FinGrid, Statnett, Svenska Kraftnat, Evengrinet.dk. Impact of Baltic Synchronization on the Nordic Power System Stability. 2016. Available online: https://www.svk.se/siteassets/om-oss/rapporter/impact-of-baltic-synchronization-on-the-nordic-power-system-stability.pdf (accessed on 20 September 2017).
- Newbery, D.; Strbac, G.; Viehoff, I. The benefits of integrating European electricity markets. Energy Policy 2016, 94, 253–263. [Google Scholar] [CrossRef]
- ENTSO-E. Regional Investment Plan 2015—Baltic Sea; ENTSO-E: Brussels, Belgium, 2015. [Google Scholar]
- Ding, F.; Fuller, J.D. Nodal, Uniform, or zonal pricing: Distribution of economic surplus. IEEE Trans. Power Syst. 2005, 20, 875–882. [Google Scholar] [CrossRef]
- ENTSO-E, Baltic Synchronization. Available online: http://tyndp.entsoe.eu/insight-reports/baltic-synchronisation/ (accessed on 20 September 2017).
- ENTSO-E. Principals for Determining the Transfer Capacities in the Nordic Power Market; ENTSO-E: Brussels, Belgium, 2017. [Google Scholar]
- ENTSO-E. Nordic Balancing Philosophy. June 2016. Available online: https://www.entsoe.eu/Documents/Publications/SOC/Nordic/Nordic_Balancing_Philosophy_160616_Final_external.pdf (accessed on 22 November 2017).
- ENTSO-E. Then-Year Network Development Plan 2010–2020. Non-Binding Community-Wide Ten-Year Network Development Plan Pilot Project Final Report; ENTSO-E: Brussels, Belgium, 28 June 2010. [Google Scholar]
- UCTE. Policy 1: Load-Frequency Control and Performance; UCTE: Ottawa, ON, Canada, 2009. [Google Scholar]
- ENTSO-E. TYNDP 2016 Scenario Development Report; ENTSO-E: Brussels, Belgium, 2015. [Google Scholar]
- Grande, O.S.; Doorman, G.; Bakken, B.H. Exchange of Balancing Resources between the Nordic Asynchronous System and The Netherlands/Germany/Poland; SINTEF Energiforskning AS: Trondheim, Norway, 2008. [Google Scholar]
- EUPHEMIA Public Description, PCR Market Coupling Algorithm. Version 1.5. December 2016. Available online: https://www.nordpoolspot.com/globalassets/download-center/pcr/euphemia-public-documentation.pdf (accessed on 10 September 2017).
- Bjorndal, E.; Bjorndal, M.; Gribkovskaia, V. A Nodal Pricing Model for the Nordic Electricity Market; Discussion Paper; Department of Business and Management Science, Norwegian School of Economics: Bergen, Norway, December 2014. [Google Scholar]
- Aravena, I.; Papavasiliou, A. Renewable energy integration in zonal markets. IEEE Trans. Power Syst. 2017, 32, 1334–1349. [Google Scholar]
- Oggioni, G.; Smeers, Y. Market failure of market coupling and counter-trading in Europe: An illustrative model based discussion. Energy Econ. 2013, 35, 74–87. [Google Scholar] [CrossRef]
- Beus, M.; Pavic, I.; Stritof, I.; Capuder, T.; Pandzic, H. Electricity market design in Croatia within the European electricity market—Recommendations for further development. Energies 2018, 11, 346. [Google Scholar] [CrossRef]
- Ellenbeck, S.; Beneking, A.; Ceglarz, A.; Schmidt, P.; Battaglini, A. Security of supply in European electricity markets-determinants of investment decisions and the European Energy Union. Energies 2015, 8, 5198–5216. [Google Scholar] [CrossRef]
- Poncela, M.; Purvins, A.; Chondrogiannis, S. Pan-European analysis on power system flexibility. Energies 2018, 11, 1765. [Google Scholar] [CrossRef]
- Bompard, E.; Correia, P.; Gross, G.; Amelin, M. Congestion-management schemes: A comparative analysis under a unified framework. IEEE Trans. Power Syst. 2003, 18, 346–352. [Google Scholar] [CrossRef]
- Delikaraoglou, S.; Morales, J.M.; Pinson, P. Impact of inter- and intra-regional coordination in markets with a large renewable component. IEEE Trans. Power Syst. 2016, 3, 5061–5070. [Google Scholar] [CrossRef]
- Energy Exemplar Website, PLEXOS Simulation Software. Available online: www.energyexemplar.com (accessed on 10 September 2017).
- Tennet. Model for Capacity Calculation; TenneT: Arnhem, The Netherlands, July 2012. [Google Scholar]
- Energy, E.U. Transport and GHG Emissions Trends to 2050; EU Reference Scenario; European Commission: Brussels, Belgium, 2016. [Google Scholar]
- ENTSO-E. Scenario Outlook and Adequacy Forecast 2014–2030; ENTSO-E: Brussels, Belgium, 2014. [Google Scholar]
- ENTSO-E. Ten-Year Network Development Plan 2016. Available online: http://tyndp.entsoe.eu/2016/reference/#downloads (accessed on 20 January 2018).
- Staffell, I.; Pfenninger, S. Using bias-corrected reanalysis to simulate current and future wind power output. Energy 2016, 114, 1224–1239. [Google Scholar] [CrossRef]
- Zalzar, S.; Shafiyi, M.A.; Yousefi-Talouki, A.; Ghazizadeh, M.S. A smart charging algorithm for integration of EVs in providing primary reserve as manageable demand-side resource. Int. Trans. Electr. Energy Syst. 2017, 27, e2283. [Google Scholar] [CrossRef]




| Schemes | Status | Required Primary Reserve Capacity (MW) | ||||
|---|---|---|---|---|---|---|
| Estonia | Latvia | Lithuania | Nordic Countries (without the Baltic States) | CEN Countries (without the Baltic States) | ||
| BCES | Baltic synchronization with Continental Europe | 9 | 8 | 15 | 1400 | 2968 |
| BNS | Baltic synchronization with Nordics | 66 | 110 | 122 | 1102 | 3000 |
| BAS | Baltic island operation | 253 | 175 | 272 | 1400 | 3000 |
| Country | Dimensioning Fault (MW) | FCR Contribution Coefficient | FCR Requirement (MW) |
|---|---|---|---|
| Finland | 1300 | 0.2273 | 0.2273 × 1400 = 318 |
| Sweden | 1400 | 0.2448 | 0.2448 × 1400 = 343 |
| Norway | 1200 | 0.2098 | 0.2098 × 1400 = 294 |
| Denmark | 600 | 0.1049 | 0.1049 × 1400 = 147 |
| Estonia | 270 | 0.0472 | 0.0472 × 1400 = 66 |
| Latvia | 450 | 0.0787 | 0.0787 × 1400 = 110 |
| Lithuania | 500 | 0.0874 | 0.0874 × 1400 = 122 |
| Market Performance Metrics | BCES Scheme | BNS Scheme | BAS Scheme | |||
|---|---|---|---|---|---|---|
| Winter Peak | Summer Peak | Winter Peak | Summer Peak | Winter Peak | Summer Peak | |
| Baltic’s Day-head Price (€/MWh) | 61.5 | 21.3 | 61.5 | 21.3 | 61.5 | 21.3 |
| Baltic’s Net export (MW) | 789 | −2121 | −546.5 | −1445 | −569.5 | −967.8 |
| Europe-wide Settlement/Merchandize Surplus (€) (The difference between the aggregate amount paid by consumers and the aggregate amount paid to generators.) | 20,025 | 261,840 | 20,165 | 261,840 | 20,165 | 261,840 |
| Baltic’s Generation Surplus (€) | 161,893 | 31,575 | 155,822 | 13,644 | 155,012 | −4304 |
| Europe-wide Generation Surplus (€) | 24,515,438 | 5,366,120 | 24,509,367 | 5,348,189 | 24,508,556 | 5,330,241 |
| Schemes | Redispatch Cost (€/h) | Renewable Curtailment (MWh) | ||||
|---|---|---|---|---|---|---|
| Estonia | Latvia | Lithuania | Estonia | Latvia | Lithuania | |
| BCES | 0 | 0 | 7877 | 0 | 0 | 125 |
| BNS | 493 | 0 | 7996 | 0 | 0 | 127 |
| BAS | 499 | 0 | 8175 | 0 | 0 | 130 |
| Country | Available Primary Reserve (MW) | Primary Reserve Requirement (MW) | Primary Reserve Deficit (MW) | ||||
|---|---|---|---|---|---|---|---|
| Scheme 1 | Scheme 2 | Scheme 3 | Scheme 1 | Scheme 2 | Scheme 3 | ||
| Estonia | 88 | 9 | 66 | 253 | 0 | 0 | 165 |
| Latvia | 121 | 8 | 110 | 175 | 0 | 0 | 54 |
| Lithuania | 113 (+170) | 15 | 122 | 272 | 0 | 0 | 0 |
© 2018 by the authors. Licensee MDPI, Basel, Switzerland. This article is an open access article distributed under the terms and conditions of the Creative Commons Attribution (CC BY) license (http://creativecommons.org/licenses/by/4.0/).
Share and Cite
Bompard, E.; Zalzar, S.; Huang, T.; Purvins, A.; Masera, M. Baltic Power Systems’ Integration into the EU Market Coupling under Different Desynchronization Schemes: A Comparative Market Analysis. Energies 2018, 11, 1945. https://doi.org/10.3390/en11081945
Bompard E, Zalzar S, Huang T, Purvins A, Masera M. Baltic Power Systems’ Integration into the EU Market Coupling under Different Desynchronization Schemes: A Comparative Market Analysis. Energies. 2018; 11(8):1945. https://doi.org/10.3390/en11081945
Chicago/Turabian StyleBompard, Ettore, Shaghayegh Zalzar, Tao Huang, Arturs Purvins, and Marcelo Masera. 2018. "Baltic Power Systems’ Integration into the EU Market Coupling under Different Desynchronization Schemes: A Comparative Market Analysis" Energies 11, no. 8: 1945. https://doi.org/10.3390/en11081945
APA StyleBompard, E., Zalzar, S., Huang, T., Purvins, A., & Masera, M. (2018). Baltic Power Systems’ Integration into the EU Market Coupling under Different Desynchronization Schemes: A Comparative Market Analysis. Energies, 11(8), 1945. https://doi.org/10.3390/en11081945

