A Recognition Method of the Hydrophobicity Class of Composite Insulators Based on Features Optimization and Experimental Verification
Abstract
:1. Introduction
2. Processing of Hydrophobic Images
2.1. Acquisition of Hydrophobic Images
- (1)
- photographing in outdoor areas with enough light; and,
- (2)
- photographing should be vertical as far as possible, and the distance between the digital camera and the insulator should be consistent each time.
2.2. Image Enhancement
2.3. Morphological Operation
2.4. Images Segmentation
3. Optimizing Selection of Hydrophobic Image Features
3.1. Features Extraction
3.2. Evaluation Indexes for Features Optimization
3.3. Features Optimization
- (1)
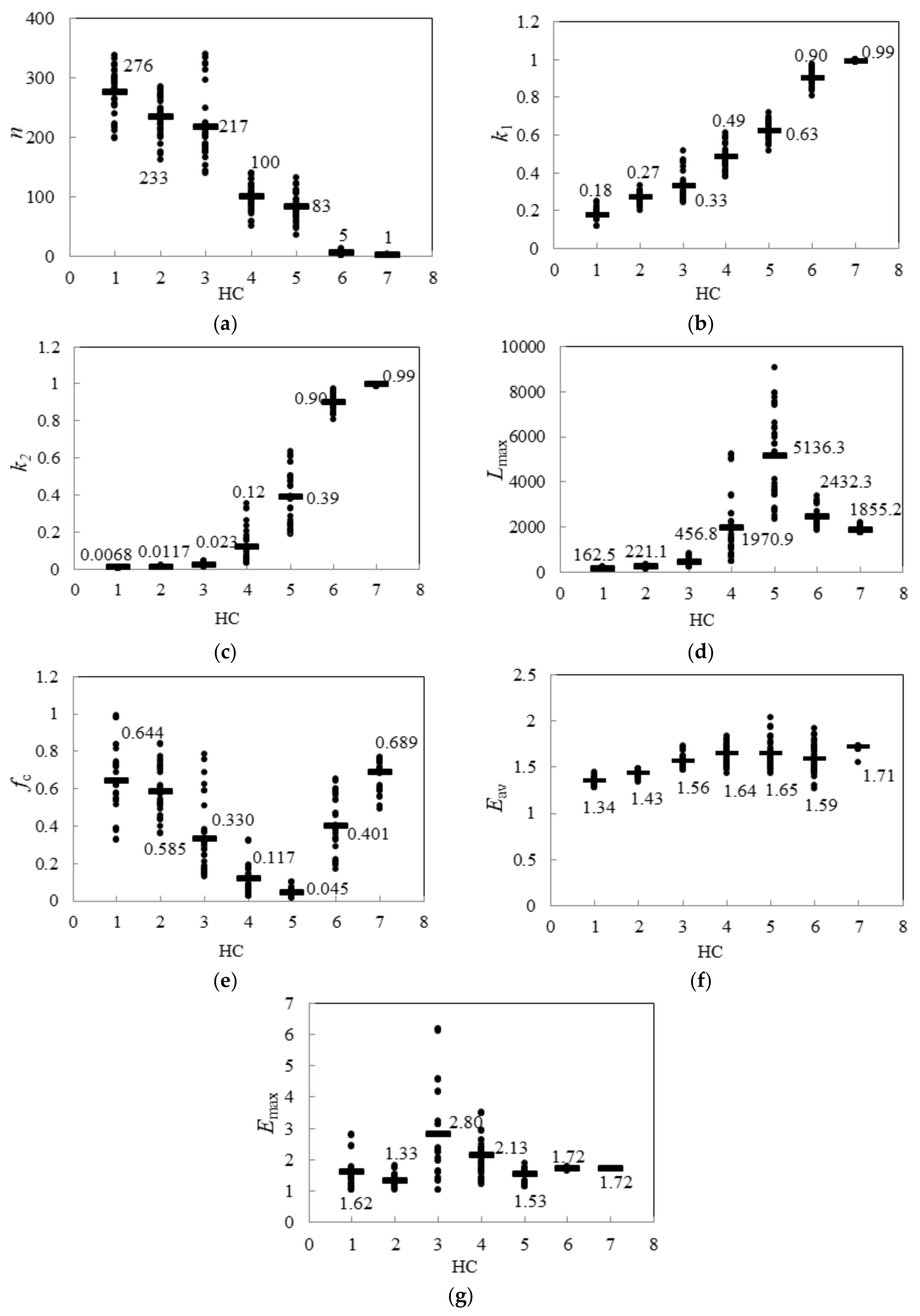
- With the augment of the HC, the water on the insulator surface changes from water droplets to then coexistent water droplets and water traces, until the water traces. As can be seen from Figure 6a, n shows a gradual downward trend. At the same time, the n of each HC demonstrates a segmented condition: HC1–HC3 increases to around 150–300, HC4 and HC5 are centered at around 50–150, and HC6 and HC7 are close to 1 due to the appearance of the whole piece of the water trace.
- (2)
- As shown in Figure 6b,c, the values of k1 and k2 both increase with the augment of the HC. The values of k1 of different HCs are obviously different, so are the values of k2.
- (3)
- As shown in Figure 6d, when the HC is 1–3, the water on the insulator surface shows the shape of small water droplets. Lmax of the largest water droplet increases with the augment of HC. When the HC is 7, the number of water traces on the surface is close to 1, as shown in Figure 6a. The largest water trace essentially covers the whole image and the shape of it is usually regular. So, the value of Lmax is close to 1796 which is the perimeter of the whole image. While when the HC is 5, the largest water trace is very irregular and has a lot of concave and convex. The presence of the concave convex greatly increases the perimeter of water trace greatly. So, at this point, Lmax has the maximum value. Lmax increases first and then decreases with the augment of HC, and the difference of Lmax between adjacent HCs is clear.
- (4)
- As shown in Figure 6e, with the augment of HC, the fc shows the trend of the U type, which decreases first and then increases. The change of fc is regular.
- (5)
4. HC Recognition Model and Experimental Verification
4.1. HC Recognition Model
- (1)
- forward transfer of information. The input layer transmits the received input information to the hidden layer. After processing and transformation, the output layer outputs the result to the outside;
- (2)
- calculation error. If the error requirement or the number of operations is equal to the maximum number of learning times, the training is finished. If not satisfied, enter the third stage; and,
- (3)
- error back propagation. The error is inverted layer by layer, and the weight correction is carried out using the method of error gradient descent. After correcting the weights of each layer, we take them into the first step.
4.2. Experimental Verification
4.2.1. Comparison with the Spray Method
4.2.2. Comparison with the Contact Angle Method
5. Conclusions
Acknowledgments
Author Contributions
Conflicts of Interest
References
- Wen, X.S.; Yuan, X.Q.; Lan, L.; Hao, L.; Wang, Y.; Li, S.D.; Lu, H.L.; Bao, Z.H. RTV silicone rubber degradation induced by temperature cycling. Energies 2017, 10, 1054. [Google Scholar] [CrossRef]
- Papailiou, K.O.; Schmuck, F. Silicone Composite Insulators: Materials, Design, Applications; Springer: Berlin, Germany, 2013. [Google Scholar]
- Du, B.X.; Li, Z.L. Hydrophobicity surface charge and DC flashover characteristics of direct-fluorinated RTV silicone rubber. IEEE Trans. Dielectr. Electr. Insul. 2015, 22, 934–940. [Google Scholar] [CrossRef]
- Jia, Z.D.; Gao, H.F.; Guan, Z.C.; Wang, L.M. Study on hydrophobicity transfer of RTV coatings based on a modification of absorption and cohesion theory. IEEE Trans. Dielectr. Electr. Insul. 2016, 13, 1317–1324. [Google Scholar] [CrossRef]
- Li, C.R.; Zhao, L.J.; Xiong, J.; Zhang, S.Q.; Yao, J.S. Influence of seasons on hydrophobicity of silicone rubber insulators in semi-wet warm-temperature zone of China. IEEE Trans. Dielectr. Electr. Insul. 2008, 15, 1081–1088. [Google Scholar]
- Tu, Y.P.; Gong, B.; Yuan, Z.K.; Wang, C.; Xu, Z.; Li, R.H.; Zhang, F.Z. Moisture induced local heating of overhead line composite insulators. IEEE Trans. Dielectr. Electr. Insul. 2017, 27, 483–489. [Google Scholar] [CrossRef]
- Hussain, M.M.; Farokhi, S.; McMeekin, S.G.; Farzaneh, M. Risk assessment of failure of outdoor high voltage polluted insulators under combined stresses near shoreline. Energies 2017, 10, 1661. [Google Scholar] [CrossRef]
- Guidance on the Measurement of Wettability of Insulator Surface; IEC/TS 62073; IEC: Geneva, Switzerland, 2003.
- Cao, H.W.; Yan, D.; Gan, J.H.; Ren, H.; Lu, M.; Lv, Z.B.; Guo, H.H. Investigation and corroboration of a novel method to estimate the hydrophobicity of composite insulators. IEEE Trans. Dielectr. Electr. Insul. 2012, 19, 2029–2032. [Google Scholar]
- Mavrikakis, N.C.; Mikropoulos, P.N. Evaluation of field-ageing effects on insulating materials of composite suspension insulators. IEEE Trans. Dielectr. Electr. Insul. 2017, 24, 490–498. [Google Scholar] [CrossRef]
- Berg, M.; Thottappillil, R.; Scuka, V. A digital image processing method for estimating the level of hydrophobicity of high voltage polymeric insulating materials. In Proceedings of the 1999 Annual Report Conference on Electrical Insulation and Dielectric Phenomena, Austin, TX, USA, 17–20 October 1999; pp. 756–762. [Google Scholar]
- Berg, M.; Thottappillil, R.; Scuka, V. Hydrophobicity estimation of HV polymeric insulating materials development of a digital image processing method. IEEE Trans. Dielectr. Electr. Insul. 2001, 8, 1098–1107. [Google Scholar] [CrossRef]
- Jarrar, I.; Assaleh, K.; El-Hag, A.H. Using a pattern recognition-based technique to assess the hydrophobicity class of silicone rubber materials. IEEE Trans. Dielectr. Electr. Insul. 2014, 21, 2611–2618. [Google Scholar] [CrossRef]
- Tokoro, T.; Nagao, M.; Kosaki, M. Image analysis of hydrophobicity of silicone rubber insulator. In Proceedings of the 1999 Annual Report Conference on Electrical Insulation and Dielectric Phenomena, Austin, TX, USA, 17–20 October 1999; pp. 763–766. [Google Scholar]
- Li, C.R.; Huang, X.M.; Zhao, L.J. Image analysis on the surface hydrophobicity of polluted silicone rubber insulators. In Proceedings of the 2008 International Conference on Condition Monitoring and Diagnosis, Beijing, China, 21–24 April 2008; pp. 21–24. [Google Scholar]
- Zhao, L.J.; Li, C.R.; Xiong, J.; Zhang, S.Q.; Yao, J.S.; Chen, X.J. Online hydrophobicity measurement for silicone rubber insulators on transmission lines. IEEE Trans. Power Deliv. 2009, 24, 806–813. [Google Scholar] [CrossRef]
- Wang, Q.B.; Huang, Y.X.; Mo, X.X.; Lai, W.X.; Dong, H.B.; Yang, Y.; Liu, J.M.; Huang, J.W.; Sun, Y.L. The hydrophobic detection of transformer composite insulator bushing based on digital image processing technique. In Proceedings of the 2016 IEEE International Conference on High Voltage Engineering and Application, Chengdu, China, 19–22 September 2016; pp. 1–4. [Google Scholar]
- Peng, K.X.; Wang, Q.D.; Wang, X.P. Spray image analysis based measurement of hydrophobic of insulator surfaces. Insul. Mater. 2005, 1, 47–51. [Google Scholar]
- Artificial Pollution Tests on High Voltage Insulators to be Used on AC Systems; IEC 60507-1991; IEC: Geneva, Switzerland, 1991.
- Spray Method Guide, Swedish Transmission Research Institution; STRI Guide 92/1; IEC: Geneva, Switzerland, 1992.
- Li, S.B.; Gao, G.Q.; Hu, G.B.; Gao, T.S.; Wei, W.F.; Wu, G.G. Aging feature extraction of oil-impregnated insulating paper using image texture analysis. IEEE Trans. Dielectr. Electr. Insul. 2017, 24, 1636–1645. [Google Scholar] [CrossRef]
- Lee, S.W.; Lee, D.J.; Park, H.S. A new methodology for gray-scale character segmentation and recognition. IEEE Trans. Pattern Anal. Mach. Intell. 1996, 18, 1045–1050. [Google Scholar]
- Stark, J.A. Adaptive image contrast enhancement using generalizations of histogram equalization. IET Image Process. 2000, 9, 889–896. [Google Scholar] [CrossRef] [PubMed]
- Huang, L.D.; Zhao, W.; Wang, J.; Sun, Z.B. Combination of contrast limited adaptive histogram equalisation and discrete wavelet transform for image enhancement. IET Image Process. 2015, 9, 908–915. [Google Scholar]
- Daut, D.G.; Zhao, D.M. A flaw detection method based on morphological image processing. IEEE Trans. Circuits Syst. Video Technol. 1993, 3, 389–398. [Google Scholar] [CrossRef]
- Kasilingam, R.; Subbu, N. Genetic algorithm based fault tolerant clustering in wireless sensor network. IET Commun. 2017, 11, 1927–1932. [Google Scholar]
- Dai, T.P.; Wang, Y.T.; Xue, X.G.; Liu, X.G.; Liu, B.H.; Guo, X.Y. Research of segmentation method on image of lingwu long jujubes based on a new extraction model of hue. IEEE Sens. J. 2017, 17, 6029–6036. [Google Scholar] [CrossRef]
- Xiang, M.; Min, J.; Wang, Z.Q.; Gao, P. A novel fault early warning model based on fault gene table for smart distribution grids. Energies 2017, 10, 1963. [Google Scholar]
- Zhu, H.L.; Lian, W.W.; Lu, L.X.; Dai, S.Y.; Hu, Y. An improved forecasting method for photovoltaic power based on adaptive BP neural network with a scrolling time window. Energies 2017, 10, 1542. [Google Scholar] [CrossRef]
- Chinese Standard DL/T864-2004. Application Guide of Composite Insulators for AC Overhand Lines with a Nominal Voltage over 1000V; Standards Press of China: Beijing, China, 2004. [Google Scholar]









![]() | Type | H/mm | L/mm | D/mm | S/cm2 |
| FXBW-10/70 | 310 | 350 | 120/108/90 | 600 |
| HC Level | n | k1 | k2 | Lmax | fc | Eav | Emax |
|---|---|---|---|---|---|---|---|
| HC1 | 276 | 0.18 | 0.0068 | 162.5 | 0.644 | 1.34 | 1.62 |
| HC2 | 233 | 0.27 | 0.0117 | 221.1 | 0.585 | 1.43 | 1.33 |
| HC3 | 217 | 0.33 | 0.023 | 456.8 | 0.330 | 1.56 | 2.80 |
| HC4 | 100 | 0.49 | 0.12 | 1970.9 | 0.117 | 1.64 | 2.13 |
| HC5 | 83 | 0.63 | 0.39 | 5136.3 | 0.045 | 1.65 | 1.53 |
| HC6 | 5 | 0.90 | 0.90 | 2432.3 | 0.401 | 1.59 | 1.72 |
| HC7 | 1 | 0.99 | 0.99 | 1855.2 | 0.689 | 1.71 | 1.72 |
| Evaluation Indexes | n | k1 | k2 | Lmax | fc | Eav | Emax |
|---|---|---|---|---|---|---|---|
| 93.07% | 33.33% | 80.83% | 76.82% | 88.78% | 8.33% | 52.50% | |
| 6.93% | 9.10% | 9.10% | 23.73% | 41.80% | 0.61% | 0 | |
| 44.14% | 24.23% | 51.14% | 48.82% | 51.57% | 5.13% | 22.26% | |
| Δs | 0.6242 | 0.2872 | 1.2985 | 0.8661 | 0.3440 | 0.0061 | 0.0610 |
| HC Level | Error Level/ Error Number | Total Error Number | Total Sample Number | Correct Rate |
|---|---|---|---|---|
| HC1 | 0 | 0 | 30 | 100% |
| HC2 | HC1/1HC3/1 | 2 | 30 | 93.3% |
| HC3 | HC2/1 | 1 | 30 | 96.7% |
| HC4 | 0 | 0 | 30 | 100% |
| HC5 | HC6/1 | 1 | 30 | 96.7% |
| HC6 | 0 | 0 | 30 | 100% |
| HC7 | 0 | 0 | 30 | 100% |
| total correct rate | – | 4 | 210 | 98.1% |
| HC Level | Reference Value θr | Recognition Results | Test Value θt | Error Number | |||
|---|---|---|---|---|---|---|---|
| Range | Average | ||||||
| HC1 | [102.51°, 117.33°] | 111.74° | HC1 | 116.27° | 103.80° | 119.05° | 1 |
| HC2 | [101.05°, 110.82°] | 105.04° | HC2 | 106.67° | 107.25° | 102.50° | 0 |
| HC3 | [94.34°, 102.90°] | 98.36° | HC3 | 101.35° | 99.27° | 101.24° | 0 |
| HC4 | [88.73°, 96.45°] | 93.08° | HC4 | 94.75° | 92.08° | 89.95° | 0 |
| HC5 | [70.44°, 89.64°] | 78.39° | HC5 | 71.92° | 79.39° | 85.17° | 0 |
| HC6 | [59.82°, 72.69°] | 63.34° | HC6 | 62.75° | 70.18° | 69.15° | 0 |
| HC7 | [52.31°, 63.25°] | 58.54° | HC7 | 60.08° | 59.21° | 52.09° | 0 |
| correct rate | – | – | – | – | – | – | 95.2% |
© 2018 by the authors. Licensee MDPI, Basel, Switzerland. This article is an open access article distributed under the terms and conditions of the Creative Commons Attribution (CC BY) license (http://creativecommons.org/licenses/by/4.0/).
Share and Cite
Yang, L.; Bi, J.; Hao, Y.; Nian, L.; Zhou, Z.; Li, L.; Liao, Y.; Zhang, F. A Recognition Method of the Hydrophobicity Class of Composite Insulators Based on Features Optimization and Experimental Verification. Energies 2018, 11, 765. https://doi.org/10.3390/en11040765
Yang L, Bi J, Hao Y, Nian L, Zhou Z, Li L, Liao Y, Zhang F. A Recognition Method of the Hydrophobicity Class of Composite Insulators Based on Features Optimization and Experimental Verification. Energies. 2018; 11(4):765. https://doi.org/10.3390/en11040765
Chicago/Turabian StyleYang, Lin, Jikai Bi, Yanpeng Hao, Lupeng Nian, Zijun Zhou, Licheng Li, Yifan Liao, and Fuzeng Zhang. 2018. "A Recognition Method of the Hydrophobicity Class of Composite Insulators Based on Features Optimization and Experimental Verification" Energies 11, no. 4: 765. https://doi.org/10.3390/en11040765
APA StyleYang, L., Bi, J., Hao, Y., Nian, L., Zhou, Z., Li, L., Liao, Y., & Zhang, F. (2018). A Recognition Method of the Hydrophobicity Class of Composite Insulators Based on Features Optimization and Experimental Verification. Energies, 11(4), 765. https://doi.org/10.3390/en11040765


