Multifield Calculation and Analysis of Excitation Winding Interturn Short Circuit Fault in Turbo-Generator
Abstract
:1. Introduction
2. Electromagnetic Characteristic Analysis of EWISC
2.1. Calculation Model of Stator/Rotor Electromagnetic Field
- (1)
- Because the simulation was two-dimensional, the end effect and the stator outer speromagnetism were ignored, considering the generator magnetic field with consistent axial distribution.
- (2)
- Because the eddy current effect was very small compared to the winding current and because the simulation was two-dimensional, the eddy current effect of alternating magnetic field in conductive materials was ignored, considering the generator field is a nonlinear static and steady magnetic field.
- (3)
- The isotropic permeability of ferromagnetic materials.
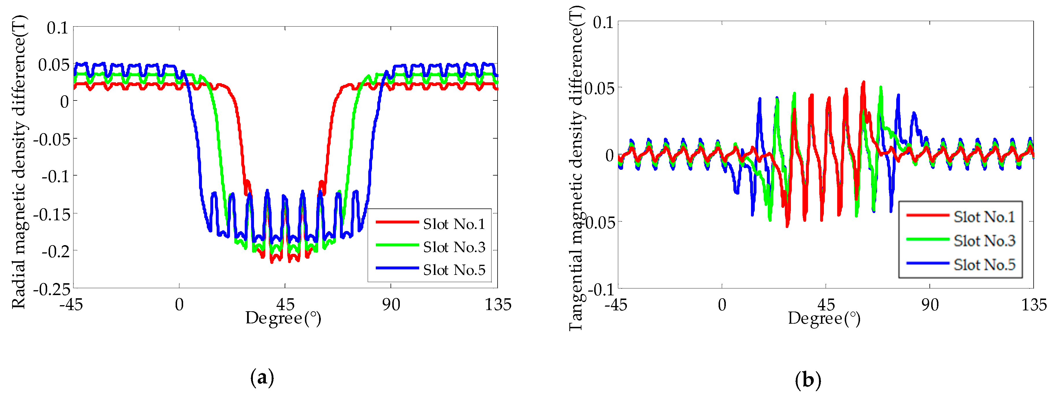
2.2. Influence of EWISC Fault on Air Gap Magnetic Field
3. Thermal Characteristic Analysis of EWISC
3.1. Calculation Model of Rotor Temperature Field
- (1)
- The subdivision planes on both sides of the model were considered as adiabatic surfaces.
- (2)
- The effects of stator heating on the rotor temperature field were ignored; the heat exchange of the outer surface of the rotor could be equivalent to the heat convection with air gaps.
- (3)
- Because the loss of the rotor surface was very small compared with the copper consumption of the winding, the surface loss and the friction loss of rotor were ignored, and copper consumption of the excitation winding was considered the only source of heat.
- (4)
- Because the rotor winding current was DC current, the current skin effect was ignored, and the load was considered evenly distributed on the section of the rotor winding.
- (5)
- The insulation effect of the winding was ignored.
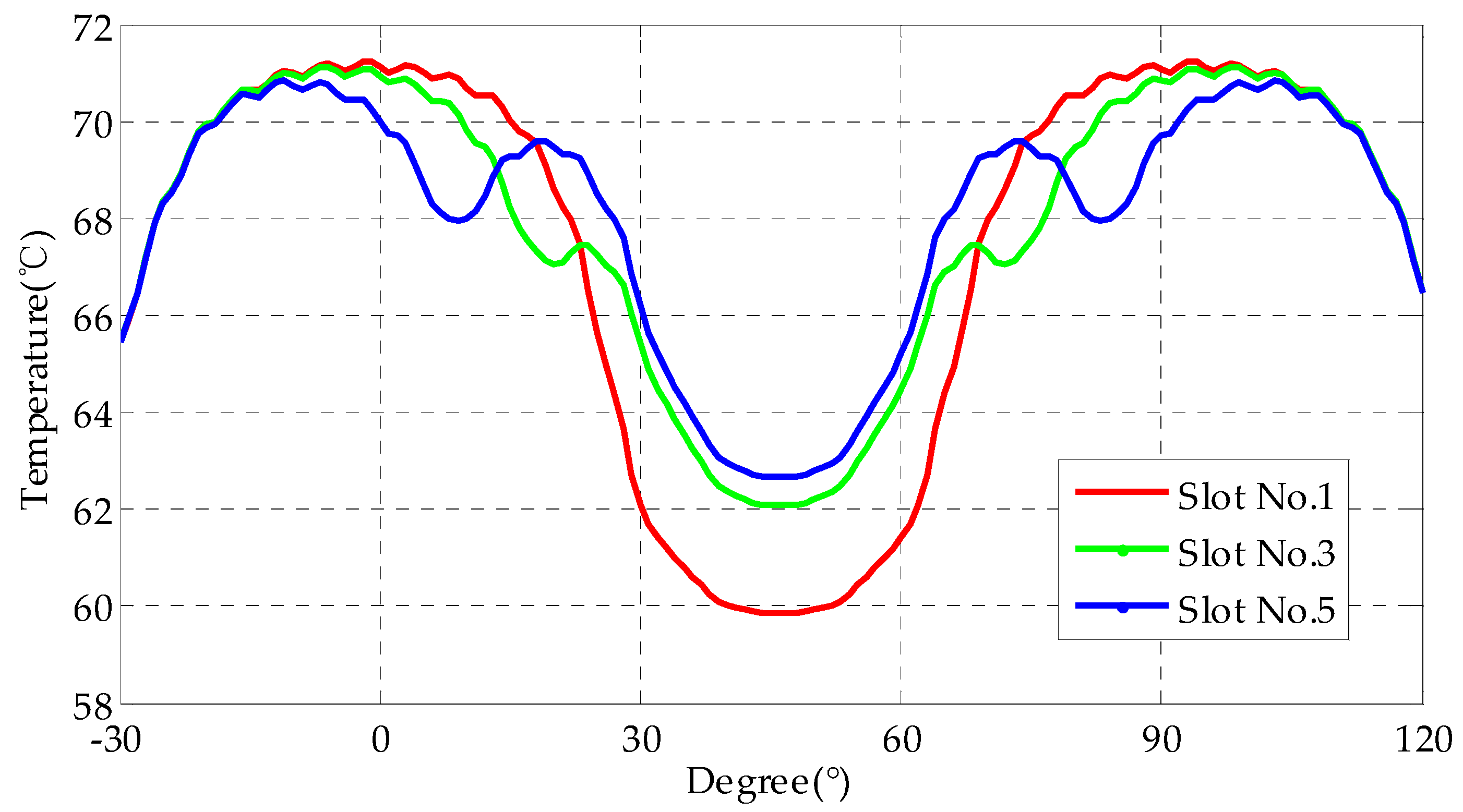
3.2. Influence of EWISC Fault on Rotor Temperature Field
4. Thermal Stress Characteristic Analysis of EWISC
5. Conclusions
- (1)
- The EWISC fault will weaken the air gap magnetic field of the generator and cause an unbalanced distribution of the magnetic field. The greater the fault degree is, the closer the fault position is to the large tooth, and the more serious is the attenuation of air gap magnetic density.
- (2)
- The EWISC fault will cause the distortion of the temperature field of the rotor. The more serious the short circuit is, the closer the fault position is to the large tooth, and the more serious is the temperature imbalance of the rotor.
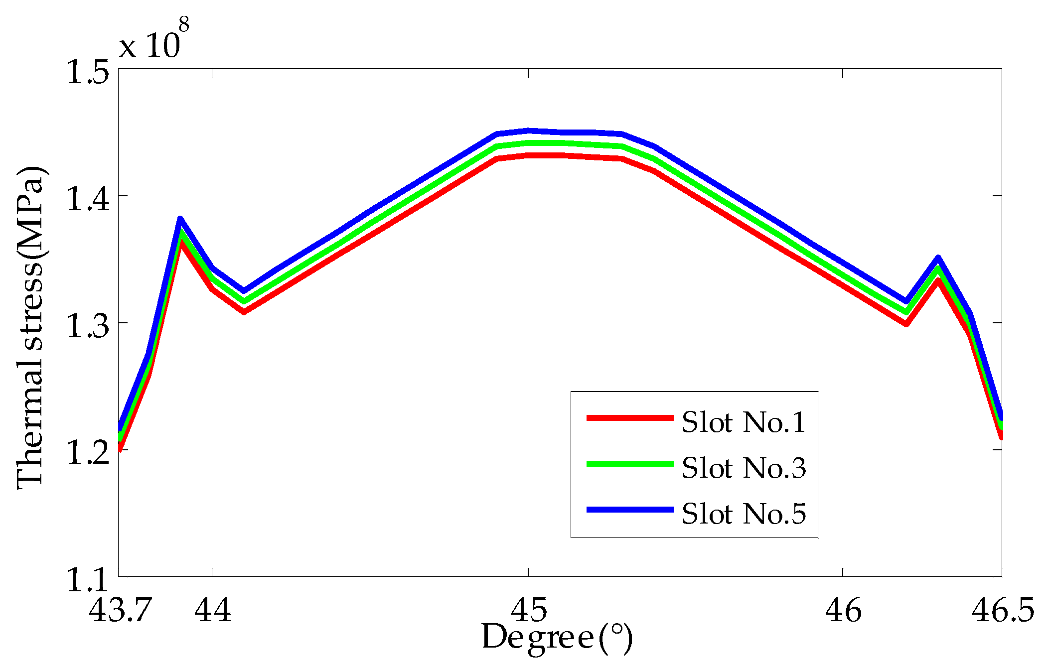
- (3)
- The EWISC fault will increase the local thermal stress of rotor. The more serious the fault is, the closer the fault is to the large tooth, and the greater is the local temperature difference of rotor is, the greater the thermal stress.
- (4)
- The EWISC fault will not cause the overall thermal stress of the rotor to exceed the yield limit of the material. The EWISC will not cause the plastic deformation of the rotor and will not damage the rotor structure. The thermal deformation of the rotor is a recoverable elastic deformation.
- (5)
- The EWISC fault causes the unbalanced distribution of the rotor temperature field, which causes the different elastic deformation of the rotor. This will lead to the thermal bending of the rotor, resulting in unbalanced vibration of the rotor. Previous studies have only considered the rotor vibration caused by electromagnetic imbalance [6], which is obviously not comprehensive enough, so it is worthwhile to consider the rotor vibration caused by electromagnetic and thermal imbalance simultaneously.
Author Contributions
Funding
Acknowledgments
Conflicts of Interest
Notations
| Az | z axis component of the vector magnetic potential |
| μ | permeability of magnetic conductive material |
| Jz | z axis component of the current density |
| θs | space electric angle |
| Bx | x-components of magnetic density |
| By | y-components of magnetic density |
| Bn | radial components of magnetic density |
| Bt | tangential components of magnetic density |
| kx | heat transfer coefficients of the media in x direction |
| ky | heat transfer coefficients of the media in y direction |
| kz | heat transfer coefficients of the media in z direction |
| kn | heat transfer coefficients of the media in boundary normal direction |
| qv | heating rate of unit volume |
| T | temperature of the model calculation area |
| Tf | temperature of the surrounding fluid |
| α | heat convection coefficient |
| ε | model boundary |
| Hg | body load heat generation rate |
| If | excitation current |
| Rf | resistance of excitation winding |
| V | volume of excitation winding |
| w | hydrogen flow rate |
| ws | rotor angular speed |
| d | equivalent diameter |
| PH | fluid pressure |
| T0 | zero centigrade (K) |
| αH | heat convection coefficients of the rotor ducts |
| αδ | heat convection coefficient of the rotor cylinder surface |
| B | element stress matrix |
| D | elastic stiffness matrix |
| ε0 | element thermal stress matrix |
| U | node displacement vector matrix |
| temperature rise | |
| αx | x-direction thermal expansion coefficients |
| αy | y-direction thermal expansion coefficients |
| αz | z-direction thermal expansion coefficients |
| σ | stress vector |
References
- Kinitsky, V. Calculation of internal fault currents in synchronous machines. IEEE Trans. Power Appar. Syst. 1965, 84, 381–389. [Google Scholar] [CrossRef]
- Kinitsky, V. Digital computer calculation of internal fault currents in a synchronous machine. IEEE Trans. Power Appar. Syst. 1968, 87, 1675–1679. [Google Scholar] [CrossRef]
- Reichmeider, P.; Gross, C.; Querrey, D.; Novosel, D.; Salon, S. Internal faults in synchronous machines. I. The machine model. IEEE Trans. Energy Convers. 2000, 15, 376–379. [Google Scholar] [CrossRef]
- Megahed, A.; Malik, O. Synchronous generator internal fault computation and experimental verification. IEE Proc. Gener. Transm. Dis. 1998, 145, 604–610. [Google Scholar] [CrossRef]
- Li, R.; Li, C.; Peng, X.; Wei, W. Electromagnetic vibration simulation of a 250-mw large hydropower generator with rotor eccentricity and rotor deformation. Energies 2017, 10, 2155. [Google Scholar] [CrossRef]
- Braun, D.; Koeppl, G. Intermittent line-to-ground faults in generator stator windings and consequences on neutral grounding. IEEE Trans. Power Del. 2010, 25, 876–881. [Google Scholar] [CrossRef]
- Nadarajan, S.; Panda, S.; Bhangu, B.; Gupta, A. Hybrid model for wound-rotor synchronous generator to detect and diagnose turn-to-turn short-circuit fault in stator windings. IEEE Trans. Ind. Electron. 2015, 62, 1888–1900. [Google Scholar] [CrossRef]
- Li, Y.; Li, H.; Zhao, H. The new criterion on inter turn short-circuit fault diagnose of steam turbine generator rotor windings. Proc. CSEE 2003, 23, 112–116. [Google Scholar]
- Wu, Y.; Li, Y.; Li, H. Diagnosis of non-Salient pole synchronous generator rotor’s typical faults based on shaft voltage. Trans. CES 2010, 25, 178–184. [Google Scholar]
- Wu, Y.; Li, Y. Experimental study of rotor inter-turn short circuit fault diagnosis in turbine generator based on characteristic frequency of end-leakage-flux. Trans. CES 2014, 29, 107–115. [Google Scholar]
- Nippes, P. Early warning of developing problems in rotating Machinery as provided by monitoring shaft Voltages and grounding currents. IEEE Trans. Energy Convers. 2004, 19, 340–345. [Google Scholar] [CrossRef]
- Wu, Y.; Li, Y. Diagnosis of Rotor Winding Interturn Short-Circuit in Turbine Generators Using Virtual Power. IEEE Trans. Energy Convers. 2015, 30, 183–188. [Google Scholar]
- Zhang, C.; Xia, L.; Wu, Z.; Hou, X.; Huang, H. Transfer law of fault characteristics of interturn short circuit in synchronous generator rotor winding. Power Syst. Prot. Control 2011, 39, 52–57. [Google Scholar]
- Zhang, G.; Wu, J.; Hao, L. Analysis on the Amplitude and Frequency Characteristics of the Rotor Unbalanced Magnetic Pull of a Multi-Pole Synchronous Generator with Inter-Turn Short Circuit of Field Windings. Energies 2018, 11, 60. [Google Scholar] [CrossRef]
- Zhang, G.; Wu, J.; Hao, L. Fast calculation model and theoretical analysis of rotor unbalanced magnetic pull for inter-turn short circuit of field windings of non-salient pole generators. Energies 2017, 10, 732. [Google Scholar] [CrossRef]
- Hao, L.; Wu, J.; Zhou, Y. Theoretical analysis and calculation model of the electromagnetic torque of nonsalient-pole synchronous machines with interturn short circuit in field windings. IEEE Trans. Energy Convers. 2015, 30, 110–121. [Google Scholar] [CrossRef]
- Albright, D.R. Interturn short-circuit detector for turbine-generator rotor windings. IEEE Trans. Power Appar. Syst. 1971, 90, 478–483. [Google Scholar] [CrossRef]
- Fišer, R.; Lavrič, H.; Bugeza, M.; Makuc, D. Computations on Magnetic Field Anomalies in Synchronous Generator Due to Rotor Excitation Coil Faults. IEEE Trans. Magn. 2013, 49, 2303–2306. [Google Scholar] [CrossRef]
- Wu, Y.; Ma, M.; Li, Y. A new detection coil capable of performing online diagnosis of excitation winding short-circuits in steam-turbine generators. IEEE Trans. Energy Convers. 2018, 33, 106–115. [Google Scholar]
- Wang, L.; Li, Y.; Li, J. Diagnosis of inter-turn short circuit of synchronous generator rotor winding based on volterra kernel identification. Energies 2018, 11, 2524. [Google Scholar] [CrossRef]
- Li, H.; Li, J. Review on temperature computation and application in electric machine. J. North China Elect. Power Univ. (Natl. Sci. Ed.) 2005, 32, 1–5. [Google Scholar]
- Lu, Y.; Li, W.; Ma, X.; Jin, H. Numerical simulation of temperature field in rotor of large turbo generator with air-coolant. Proc. CSEE 2007, 27, 7–13. [Google Scholar]
- Li, W.; Hou, Y.; Zhou, F.; Cheng, S. Calculating method of rotor temperature with radial and tangential air-cooling system. Proc. CSEE 2000, 20, 74–78. [Google Scholar]
- Li, W.; Li, J.; Li, D. Influence of variable section rotor ventilation ducts on temperature and fluid fields of a full air-cooled large hydro-generator rotor. Trans. CES 2017, 32, 42–49. [Google Scholar]
- Li, H.; Li, J. Analysis and calculation of turbogenerators stator temperature field on cooling circuit blocked. Proc. CSEE 2005, 25, 163–168. [Google Scholar]
- Yin, Q.; Li, W.; Yu, H.; Sun, H. Calculation and analysis of electromagnetic field and temperature field under broken strands for a large synchronous generator. Trans. CES 2011, 26, 59–67. [Google Scholar]
- Li, W.; Han, J.; Huo, F.; Zhou, X.; Zhang, Y.; Li, Y. Influence of the end ventilation structure change on the temperature distribution in the end region of large water-hydrogen-hydrogen cooled turbogenerator. IEEE Trans. Energy Convers. 2013, 28, 278–288. [Google Scholar]
- Li, W.; Li, Y.; Su, Y.; Wang, P.; Liu, W. Research on stator main insulation temperature field of air-cooled turbo-generator after main insulation shelling. Energies 2018, 11, 1101. [Google Scholar] [CrossRef]
- Xie, Y.; Guo, J.; Chen, P.; Li, Z. Coupled fluid-thermal analysis for induction motors with broken bars operating under the rated load. Energies 2018, 11, 2024. [Google Scholar] [CrossRef]
- Cao, Z.; Li, W.; Li, J.; Zhang, X.; Li, D.; Zhang, M. Research on the temperature field of high-voltage high power line start permanent magnet synchronous machines with different rotor cage structure. Energies 2017, 10, 1829. [Google Scholar] [CrossRef]
- Li, L.; Li, W.; Li, D.; Li, J.; Fan, Y. Research on strategies and methods suppressing permanent magnet demagnetization in permanent magnet synchronous motors based on a multi-physical field and rotor multi-topology structure. Energies 2018, 11, 40. [Google Scholar] [CrossRef]
- Li, D.; Wen, Y.; Li, W.; Feng, B.; Cao, J. Three-dimensional temperature field calculation and analysis of an axial-radial flux-type permanent magnet synchronous motor. Energies 2018, 11, 1208. [Google Scholar] [CrossRef]
- Cao, Z.; Li, W.; Zhang, X.; Fan, Y.; Zeng, J. Influence of single/dual ventilation path on fluid field and temperature field of HVLSSR-PMSM with air-cooled hybrid ventilation systems. Energies 2018, 11, 1343. [Google Scholar] [CrossRef]
- Xie, Y.; Wang, L.; Yu, Y. Magnetic field variation in squirrel-cage induction motor operating on asymmetric rotor. Proc. CSEE 2011, 31, 100–108. [Google Scholar]
- Sprooten, J.; Maun, J. Influence of saturation level on the effect of broken bars in induction motors using fundamental electromagnetic laws and finite element simulations. IEEE Trans. Energy Convers. 2009, 24, 557–564. [Google Scholar] [CrossRef]
- Zhang, D.; Li, W.; Zhou, F.; Hou, Y. Numerical calculation of air gap magnetic field of a salient synchronous generator with the consideration of the effect of turn insulation. Proc. Int. Conf. Power Syst. Technol. 2002, 2, 774–778. [Google Scholar]
- Wang, Y.; Yang, L.; Chen, X.; Sun, F. Study on 3D thermal field and thermal stress field of the induction motor rotor. Elect. Mach. Control 2010, 14, 27–32. [Google Scholar]
- Li, W.; Ding, S.; Jin, H.; Luo, Y. Numerical Calculation of Multicoupled Fields in Large Salient Synchronous Generator. IEEE Trans. Magn. 2007, 43, 1449–1452. [Google Scholar] [CrossRef]
- Wei, Y.; Meng, D.; Wen, J. Heat Transfer Inner Electric Machines; China Machine Press: Beijing, China, 1998. [Google Scholar]


















| Item | Value |
|---|---|
| Rated capacity/MVA | 1277.8 |
| Rated power/MW | 1150 |
| Rated voltage/kV | 24 |
| Rated current/A | 30,739 |
| Rated power factor | 0.9 |
| Number of pole-pairs | 2 |
| Rated frequency/Hz | 50 |
| Rated rotating speed /rpm | 1500 |
| No-load excitation current/A | 2189 |
| Rated excitation current/A | 5889 |
| Item | Value |
|---|---|
| Rotor outer diameter/mm | 1950 |
| Rotor length/mm | 7950 |
| Number of rotor slots | 48 |
| Number of rotor deep slots | 40 |
| Number of rotor shallow slots | 8 |
| Slot width/mm | 46 |
| Deep slots depth/mm | 269 |
| Shallow slots depth/mm | 244 |
| Subslot width/mm | 32 |
| Subslot depth/mm | 42.15 |
| Rotor radial duct pitch/mm | 75 |
| Number of turns of each deep slot | 7 |
| Number of turns of each shallow slot | 6 |
© 2018 by the authors. Licensee MDPI, Basel, Switzerland. This article is an open access article distributed under the terms and conditions of the Creative Commons Attribution (CC BY) license (http://creativecommons.org/licenses/by/4.0/).
Share and Cite
Ma, M.; Li, Y.; Wu, Y.; Dong, C. Multifield Calculation and Analysis of Excitation Winding Interturn Short Circuit Fault in Turbo-Generator. Energies 2018, 11, 2626. https://doi.org/10.3390/en11102626
Ma M, Li Y, Wu Y, Dong C. Multifield Calculation and Analysis of Excitation Winding Interturn Short Circuit Fault in Turbo-Generator. Energies. 2018; 11(10):2626. https://doi.org/10.3390/en11102626
Chicago/Turabian StyleMa, Minghan, Yonggang Li, Yucai Wu, and Chenchen Dong. 2018. "Multifield Calculation and Analysis of Excitation Winding Interturn Short Circuit Fault in Turbo-Generator" Energies 11, no. 10: 2626. https://doi.org/10.3390/en11102626
APA StyleMa, M., Li, Y., Wu, Y., & Dong, C. (2018). Multifield Calculation and Analysis of Excitation Winding Interturn Short Circuit Fault in Turbo-Generator. Energies, 11(10), 2626. https://doi.org/10.3390/en11102626

