An Enhanced Control Strategy for Doubly-Fed Induction Generators Based on a Virtual Harmonic Resistor and Capacitor under Nonlinear Load Conditions
Abstract
1. Introduction
2. Impedance-Based Model of a DFIG System
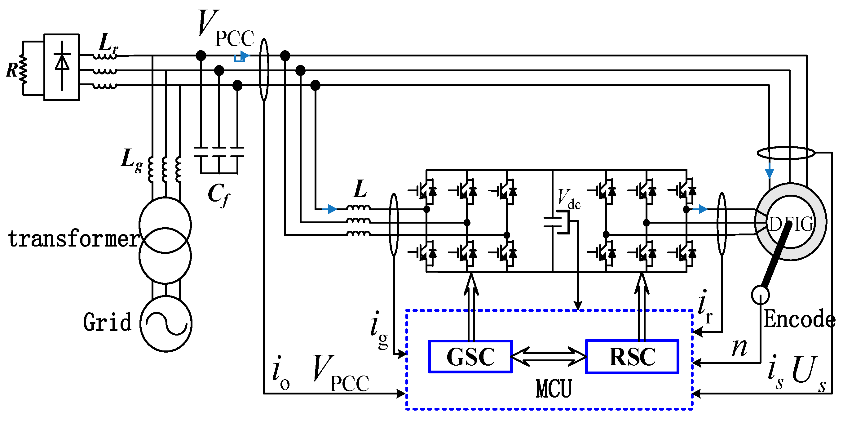
2.1. System Description
2.2. Double-Fed Wind Power System Impedance Mode
3. Harmonic Impact Factor Analysis under Different Control Strategy Conditions
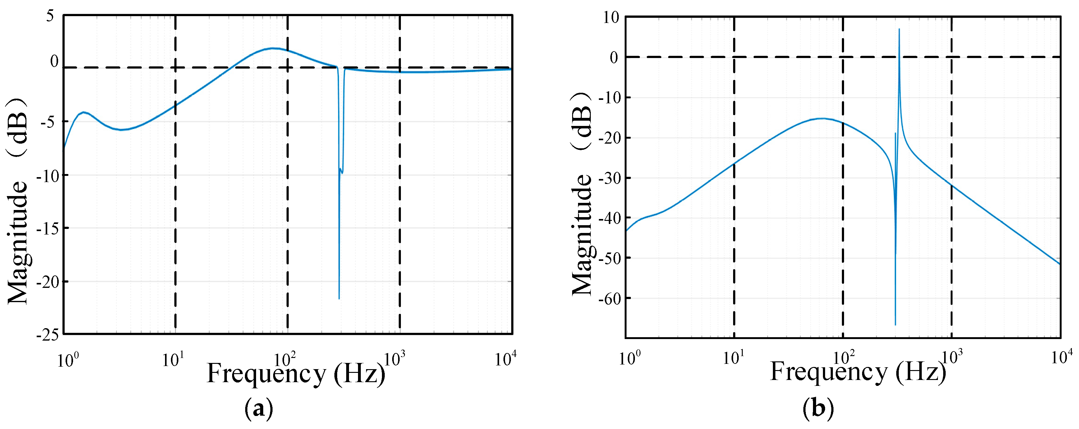
3.1. Harmonic Impact Factor Analysis under Current Suppression Control Conditions
3.2. Harmonic Impact Factor Analysis under Harmonic Voltage Suppression Conditions
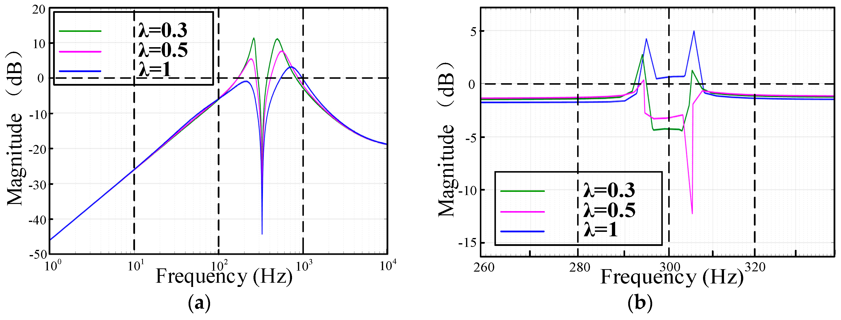
3.3. Harmonic Impact Factor Analysis under Coordinated Suppression Conditions
4. System Stability Analysis
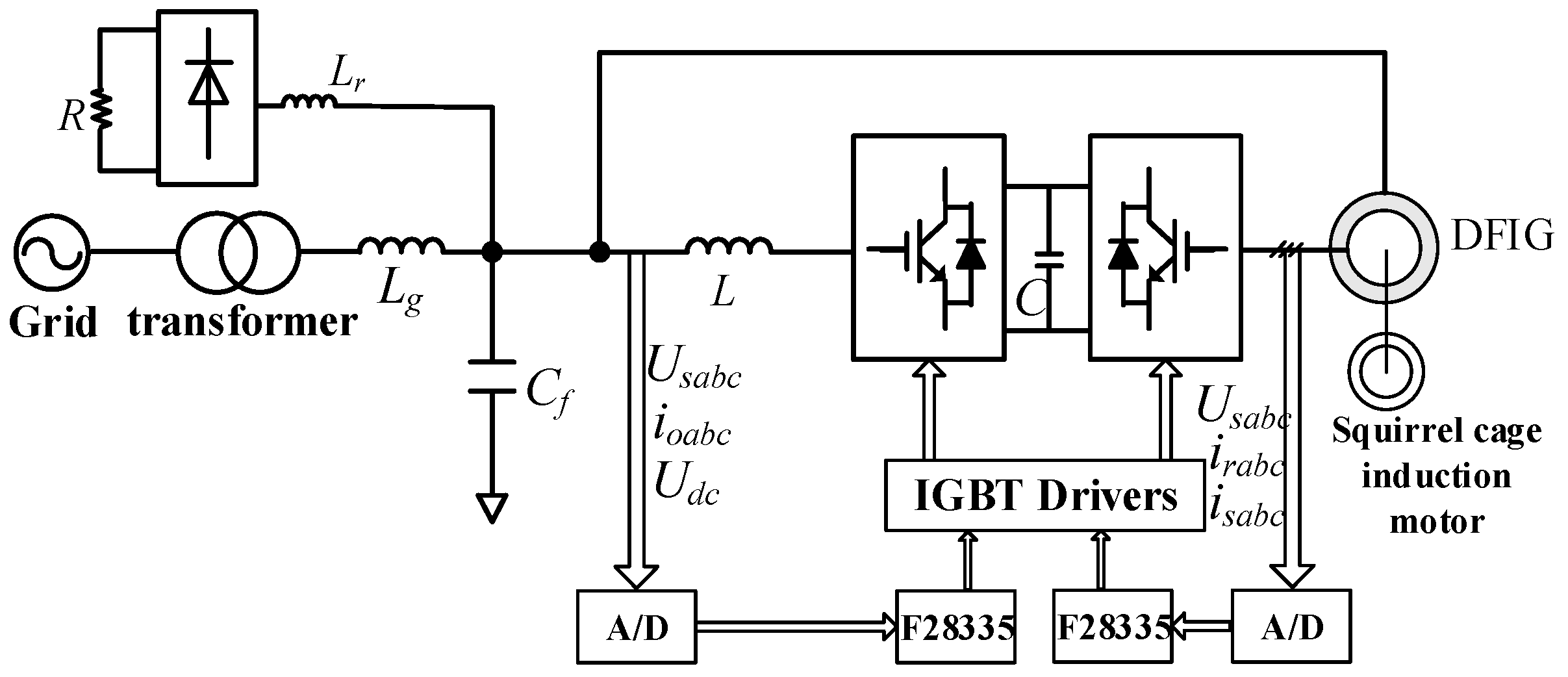
5. Experimental Validation
6. Conclusions
Author Contributions
Funding
Conflicts of Interest
Nomenclature
| io, ig | total output current, grid-side converter output current |
| is, ir | stator current, rotor current |
| VPCC, Usabc | voltage at PCC, stator voltage |
| Lg, Cf, L | grid line impedance, shunt capacitors, filter inductor of GSC |
| Ih | harmonic current source |
| Ts, KPWM | sampling period, modulation gain of pulse-width modulation |
| Kr, ωc, ω0 | the gain of the resonance regulator, the width and the resonance frequency |
| ZLg, ZCf | the impedance of the grid inductance, the impedance of the shunt capacitor |
| ZDFIG, Zgrid | output impedance of DFIG, grid impedance |
| λ | coordinated factor coefficient |
| Pg, Qg, Te | total active power, total reactive power and torque |
| d, q | subscript for component of d and q axis |
References
- Nian, H.; Song, Y. Direct Power Control of Doubly Fed Induction Generator under Distorted Grid Voltage. IEEE Trans. Power Electron. 2014, 29, 894–905. [Google Scholar] [CrossRef]
- Hu, J.; Xu, H.; He, Y. Coordinated Control of DFIG’s RSC and GSC under Generalized Unbalanced and Distorted Grid Voltage Conditions. IEEE Trans. Ind. Electron. 2013, 60, 2808–2819. [Google Scholar] [CrossRef]
- Geng, H.; Liu, C.; Yang, G. LVRT capability of DFIG-Based WECS under asymmetrical grid fault condition. IEEE Trans. Ind. Electron. 2013, 60, 2495–2509. [Google Scholar] [CrossRef]
- Yao, J.; Li, Q.; Chen, Z.; Liu, A. Coordinated Control of a DFIG-Based Wind-Power Generation System with SGSC under Distorted Grid Voltage Conditions. Energies 2013, 6, 2541–2561. [Google Scholar] [CrossRef]
- Zheng, Z.; Yang, G.; Geng, H. Coordinated Control of a Doubly-Fed Induction Generator-Based Wind Farm and a Static Synchronous Compensator for Low Voltage Ride-through Grid Code Compliance during Asymmetrical Grid Faults. Energies 2013, 6, 4660–4681. [Google Scholar] [CrossRef]
- Li, J.; Yao, J.; Zeng, X.; Liu, R.; Xu, D.; Wang, C. Coordinated Control Strategy for a Hybrid Wind Farm with DFIG and PMSG under Symmetrical Grid Faults. Energies 2017, 10, 669. [Google Scholar] [CrossRef]
- Zhou, L.; Liu, J.; Zhou, S. Improved demagnetization control of a doubly-fed induction generator under balanced grid fault. IEEE Trans. Power Electron. 2015, 30, 6695–6705. [Google Scholar] [CrossRef]
- Xiao, S.; Yang, G.; Zhou, H.; Geng, H. An LVRT control strategy based on flux linkage tracking for DFIG-based WECS. IEEE Trans. Ind. Electron. 2013, 60, 2820–2832. [Google Scholar] [CrossRef]
- Sun, D.; Wang, X. Low-Complexity Model Predictive Direct Power Control for DFIG under Both Balanced and Unbalanced Grid Conditions. IEEE Trans. Ind. Electron. 2016, 63, 5186–5196. [Google Scholar] [CrossRef]
- Yao, J.; Li, H.; Chen, Z.; Xia, X.; Chen, X.; Li, Q.; Liao, Y. Enhanced control of a DFIG-based wind-power generation system with series grid-side converter under unbalanced grid voltage conditions. IEEE Trans. Power Electron. 2013, 28, 3167–3181. [Google Scholar] [CrossRef]
- Huang, Q.; Zou, X.; Zhu, D.; Kang, Y. Scaled Current Tracking Control for Doubly Fed Induction Generator to Ride-Through Serious Grid Faults. IEEE Trans. Power Electron. 2016, 31, 2150–2165. [Google Scholar] [CrossRef]
- Song, Y.; Nian, H. Modularized control strategy and performance analysis of DFIG system under unbalanced and harmonic grid voltage. IEEE Trans. Power Electron. 2015, 30, 4831–4842. [Google Scholar] [CrossRef]
- Liu, C.; Blaabjerg, F.; Chen, W.; Xu, D. Stator current harmonic control with resonant controller for doubly fed induction generator. IEEE Trans. Power Electron. 2012, 27, 3207–3220. [Google Scholar] [CrossRef]
- IEEE Recommended Practices and Requirements for Harmonic Control in Electric Power Systems. Available online: https://ieeexplore.ieee.org/document/6826459/ (accessed on 23 September 2018).
- Xu, H.; Hu, J.; He, Y. Operation of Wind-Turbine-Driven DFIG systems under distorted grid voltage conditions: Analysis and Experimental Validations. IEEE Trans. Power Electron. 2012, 27, 2354–2366. [Google Scholar] [CrossRef]
- Xu, H.; Hu, J.; He, Y. Integrated Modeling and Enhanced Control of DFIG under Unbalanced and Distorted Grid Voltage Conditions. IEEE Trans. Energy Convers. 2012, 27, 725–736. [Google Scholar] [CrossRef]
- Phan, V.; Lee, H. Performance Enhancement of Stand-Alone DFIG Systems with Control of Rotor and Load Side Converters Using Resonant Controllers. IEEE Trans. Ind. Appl. 2012, 48, 199–210. [Google Scholar] [CrossRef]
- Hu, J.; He, Y. Reinforced Control and Operation of DFIG-Based Wind-Power-Generation System under Unbalanced Grid Voltage Conditions. IEEE Trans. Energy Convers. 2009, 24, 905–915. [Google Scholar] [CrossRef]
- Lascu, C.; Asiminoaei, L.; Boldea, I.; Blaabjerg, F. High performance current controller for selective harmonic compensation in active power filters. IEEE Trans. Power Electron. 2007, 22, 1826–1835. [Google Scholar] [CrossRef]
- Phan, V.; Lee, H. Control Strategy for harmonic elimination in stand-alone DFIG applications with nonlinear loads. IEEE Trans. Power Electron. 2011, 26, 2662–2675. [Google Scholar] [CrossRef]
- Song, Y.; Wang, X.; Blaabjerg, F. Doubly Fed Induction Generator System Resonance Active Damping through Stator Virtual Impedance. IEEE Trans. Ind. Electron. 2017, 64, 125–137. [Google Scholar] [CrossRef]
- Stratford, R.P. Rectifier Harmonics in Power Systems. IEEE Trans. Ind. Appl. 1980, IA-16, 271–276. [Google Scholar] [CrossRef]
- Peng, F.Z. Harmonic sources and filtering approaches. IEEE Ind. Appl. Mag. 2001, 7, 18–25. [Google Scholar] [CrossRef]
- Song, Y.; Wang, X.; Blaabjerg, F. Impedance-Based High Frequency Resonance Analysis of DFIG System in Weak Grids. IEEE Trans. Power Electron. 2017, 32, 3536–3548. [Google Scholar] [CrossRef]
- Sun, J. Impedance-based stability criterion for grid-connected inverters. IEEE Trans. Power Electron. 2011, 26, 3075–3078. [Google Scholar] [CrossRef]
- Song, Y.; Wang, X.; Blaabjerg, F. High-Frequency Resonance Damping of DFIG-Based Wind Power System Under Weak Network. IEEE Trans. Power Electron. 2017, 32, 1927–1940. [Google Scholar] [CrossRef]























| Parameter | Value |
|---|---|
| Rated power | 11 kW |
| Rated speed | 1475 r/min |
| Stator and rotor rated voltage | 380 V, 858 V |
| Stator and rotor rated current | 17.6 A, 8.1 A |
| Stator and rotor resistance | 0.2858 Ω, 0.2983 Ω |
| Stator and rotor inductance | 0.068923 H, 0.069381 H |
| Mutual inductance | 0.0676 H |
| Number of pole pairs | 2 |
| Simulation grid impedance | 0.8 mH, 300 μF |
| Filter inductor L | 4 mH |
| Filter inductor Lr | 0.5 mH |
| Harmonic Voltage at PCC | Component (%) | Harmonic Current at PCC | Component (%) |
|---|---|---|---|
| THD | 9.9 | THD | 4.3 |
| 5th harmonics | 9.5 | 5th harmonics | 1.8 |
| 7th harmonics | 2.3 | 7th harmonics | 0.4 |
| Harmonic Voltage at PCC | Component (%) | Harmonic Current at PCC | Component (%) |
|---|---|---|---|
| THD | 3.3 | THD | 10.6 |
| 5th harmonics | 2.4 | 5th harmonics | 9.0 |
| 7th harmonics | 0.9 | 7th harmonics | 2.8 |
| Harmonic Voltage at PCC | Component (%) | Harmonic Current at PCC | Component (%) |
|---|---|---|---|
| THD | 6.6 | THD | 7.0 |
| 5th harmonics | 6 | 5th harmonics | 5.6 |
| 7th harmonics | 1.7 | 7th harmonics | 1.0 |
© 2018 by the authors. Licensee MDPI, Basel, Switzerland. This article is an open access article distributed under the terms and conditions of the Creative Commons Attribution (CC BY) license (http://creativecommons.org/licenses/by/4.0/).
Share and Cite
Xie, Z.; Niu, L.; Zhang, X. An Enhanced Control Strategy for Doubly-Fed Induction Generators Based on a Virtual Harmonic Resistor and Capacitor under Nonlinear Load Conditions. Energies 2018, 11, 2613. https://doi.org/10.3390/en11102613
Xie Z, Niu L, Zhang X. An Enhanced Control Strategy for Doubly-Fed Induction Generators Based on a Virtual Harmonic Resistor and Capacitor under Nonlinear Load Conditions. Energies. 2018; 11(10):2613. https://doi.org/10.3390/en11102613
Chicago/Turabian StyleXie, Zhen, Lifan Niu, and Xing Zhang. 2018. "An Enhanced Control Strategy for Doubly-Fed Induction Generators Based on a Virtual Harmonic Resistor and Capacitor under Nonlinear Load Conditions" Energies 11, no. 10: 2613. https://doi.org/10.3390/en11102613
APA StyleXie, Z., Niu, L., & Zhang, X. (2018). An Enhanced Control Strategy for Doubly-Fed Induction Generators Based on a Virtual Harmonic Resistor and Capacitor under Nonlinear Load Conditions. Energies, 11(10), 2613. https://doi.org/10.3390/en11102613
