Thermal Performance of a Vertical U-Shaped Thermosyphon Containing a Phase-Change Material Suspension Fluid
Abstract
:1. Introduction
2. Materials and Methods
2.1. The Experimental Loop and the Measurement Instrument
2.2. Preparation and Properties Measurement of PCM Suspensions
- A small amount of distilled water was added into a circular beaker; the required emulsifiers were then added into the beaker.
- Octadecane was added into the beaker.
- A magnetic stir bar was placed in the beaker and the beaker was placed on an electromagnetic stirrer to allow the mixture in the beaker to be mixed for 60 min to emulsify the octadecane and water. During the mixing process, the temperature of the mixture was maintained above the melting point of octadecane. The concentration of the mixed solution was higher than the concentration of the emulsion that we were planning to formulate.
- Subsequently, a suitable amount of distilled water was added into the beaker to dilute the suspension fluid to the desired concentration. The mixture was then mixed for 20 min on the electromagnetic stirrer, after which the formulation of the suspension fluid was completed.
- The suspension fluid was transferred from the beaker to a glass tube. The glass tube was allowed to stand still for 2 h, during which time observations were made to determine whether the octadecane particles were homogeneously dispersed and whether separation and agglutination phenomena had occurred.
- The glass tube was then placed and allowed to cool down for 20 min in a refrigerator. Once the temperature of the emulsion decreased below the melting point of octadecane, the glass tube was removed from the refrigerator and the suspension fluid in the tube was observed to determine if the octadecane particles were homogeneously dispersed in water.
- After the suspension fluid was repeatedly heated, dissolved, allowed to stand still, and cooled down to determine whether the octadecane particles continued to be homogeneously dispersed in water, the obtained suspension fluid was then used for subsequent experiments.
2.3. UncertaintyAnalysis
3. Results and Discussion
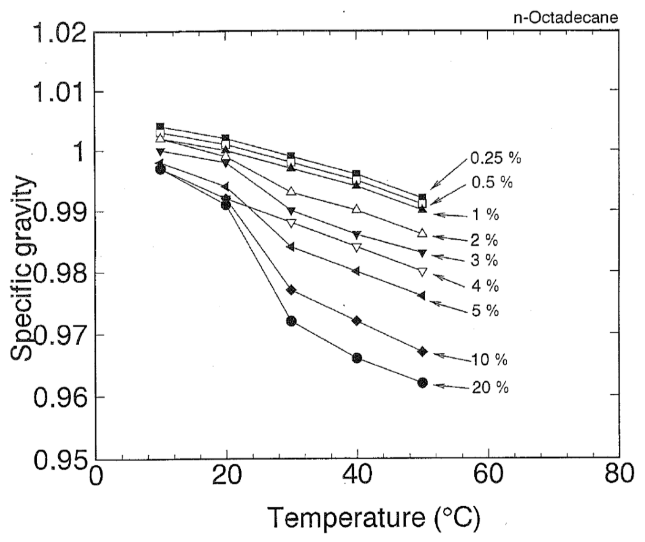
3.1. Properties of PCM Suspensions
3.2. Basic Observations
3.3. Effect of Tw
3.4. Effect of qh
3.5. Effect of fp
4. Conclusions
- When pure water was used as the working fluid, the steady-state temperature distributions of the fluid in the loop under different cooling temperature exhibited similar variation trends. When the PCM suspension fluid was used as the working fluid, the effect of cooling temperature on the temperature of the fluid varied under different PCM suspension concentration (fp).
- When fp changed, there was a critical value at which the solid–liquid phase-change effect and the viscosity and specific heat effects could reach equilibrium. When fp was higher than this critical value, the addition of the PCM suspension had no positive effect on reducing the highest temperature of the fluid in the loop but instead resulted in an increase in the temperature of the fluid in the loop. The critical fp value varied under different experimental parameters. Further and more detailed experiments are needed to understand the phenomena.
Acknowledgments
Author Contributions
Conflicts of Interest
References
- Vijayan, P.K.; Sharma, M.; Pilkhwal, D.S.; Saha, D.; Sinha, R.K. A comparative study of single-phase, two-phase, and supercritical natural circulation in a rectangular loop. J. Eng. Gas Turbines Power 2010, 132, 102913. [Google Scholar] [CrossRef]
- Misale, M.; Garibaldi, P.; Tarozzi, L.; Barozzi, G.S. Influence of thermal boundary conditions on the dynamic behaviour of a rectangular single-phase natural circulation loop. Int. J. Heat Fluid Flow 2011, 32, 413–423. [Google Scholar] [CrossRef]
- Liu, Y.M.; Chung, K.M.; Chang, K.C.; Lee, T.S. Performance of Thermosyphon Solar Water Heaters in Series. Energies 2012, 5, 3266–3278. [Google Scholar] [CrossRef]
- Lai, C.M.; Chen, R.H.; Huang, C.S. Development and thermal performance of a wall heat collection prototype. Build. Environ. 2012, 57, 156–164. [Google Scholar] [CrossRef]
- Desrayaud, G.; Fichera, A.; Lauriat, G. Two-dimensional numerical analysis of a rectangular closed-loop thermosiphon. Appl. Therm. Eng. 2013, 50, 187–196. [Google Scholar] [CrossRef]
- Buschmann, M.H. Nanofluids in thermosyphons and heat pipes: Overview of recent experiments and modelling approaches. Int. J. Therm. Sci. 2013, 72, 1–17. [Google Scholar] [CrossRef]
- Huminic, G.; Huminic, A. Numerical study on heat transfer characteristics of thermosyphon heat pipes using nanofluids. Energy Convers. Manag. 2013, 76, 393–399. [Google Scholar] [CrossRef]
- Ho, C.J.; Chen, Y.Z.; Tu, F.J.; Lai, C.M. Thermal performance of water-based suspensions of phase change nanocapsules in a natural circulation loop with a mini-channel heat sink and heat source. Appl. Therm. Eng. 2014, 64, 376–384. [Google Scholar] [CrossRef]
- Nkwetta, D.N.; Haghighat, F. Thermal energy storage with phase change material—A state-of-the art review. Sustain. Cities Soc. 2014, 10, 87–100. [Google Scholar] [CrossRef]
- Nkwetta, D.N.; Vouillamoz, P.E.; Haghighat, F.; El-Mankibi, M.; Moreau, A.; Daoud, A. Impact of Phase Change Materials Types and Positioning on Hot Water Tank Thermal Performance: Using Measured Water Demand Profile. Appl. Therm. Eng. 2014, 67, 460–468. [Google Scholar] [CrossRef]
- Hart, R.; Thornton, F. Microencapsulation of Phase Change Materials; Final Report Contract No. 82-80; Ohio Department of Energy: Columbus, OH, USA, 1982.
- Hassan, A.; Laghari, M.S.; Rashid, Y. Micro-Encapsulated Phase Change Materials: A Review of Encapsulation, Safety and Thermal Characteristics. Sustainability 2016, 8, 1046. [Google Scholar] [CrossRef]
- Ho, C.J.; Lin, J.F.; Chiu, S.Y. Heat transfer of solid-liquid phase-change material suspensions in circular pipes: Effects of wall conduction. Numer. Heat Transf. Part A Appl. 2004, 45, 171–190. [Google Scholar] [CrossRef]
- Ho, C.J.; Huang, J.B.; Tsai, P.S.; Yang, Y.M. Water-based suspensions of Al2O3 nanoparticles and MEPCM particles on convection effectiveness in a circular tube. Int. J. Therm. Sci. 2011, 50, 736–748. [Google Scholar] [CrossRef]
- Ho, C.J.; Huang, J.B.; Chen, C.P.; Tsai, P.S.; Yang, Y.M. Forced convection performance of a MEPCM suspension through an iso-flux heated circular tube: An experimental study. Heat Mass Transf. 2012, 48, 487–496. [Google Scholar] [CrossRef]
- Ho, C.J.; Chiu, S.Y.; Lin, J.F. Heat transfer characteristics of a rectangular natural circulation loop containing solid-liquid phase-change material suspensions. Int. J. Numer. Methods Heat Fluid Flow 2005, 15, 441–461. [Google Scholar] [CrossRef]
- Moffat, R.J. Using uncertainty analysis in the planning of an experiment. J. Fluid. Eng. 1985, 107, 173–178. [Google Scholar] [CrossRef]
- Inaba, H.; Morita, S.; Nozu, S. Physical Properties of Oil-Water Emulsion with Solid-Liquid Phase Change. In Proceedings of the International Symposium on Transport Phenomena in Thermal Engineering 1993, Seoul, Korea, 9–13 May 1993; pp. 47–52. [Google Scholar]
- Harhira, M.; Sengupta, S.; Roy, S.K. Natural convection heat transfer from a vertical flat plate with phase change material suspensions. J. Enhanc. Heat Transf. 1997, 4, 17–34. [Google Scholar] [CrossRef]
© 2017 by the authors. Licensee MDPI, Basel, Switzerland. This article is an open access article distributed under the terms and conditions of the Creative Commons Attribution (CC BY) license (http://creativecommons.org/licenses/by/4.0/).
Share and Cite
Ho, C.J.; Hsu, H.-I.; Ho, T.-A.; Lai, C.-M. Thermal Performance of a Vertical U-Shaped Thermosyphon Containing a Phase-Change Material Suspension Fluid. Energies 2017, 10, 974. https://doi.org/10.3390/en10070974
Ho CJ, Hsu H-I, Ho T-A, Lai C-M. Thermal Performance of a Vertical U-Shaped Thermosyphon Containing a Phase-Change Material Suspension Fluid. Energies. 2017; 10(7):974. https://doi.org/10.3390/en10070974
Chicago/Turabian StyleHo, Ching Jenq, Heng-I Hsu, Tai-Ann Ho, and Chi-Ming Lai. 2017. "Thermal Performance of a Vertical U-Shaped Thermosyphon Containing a Phase-Change Material Suspension Fluid" Energies 10, no. 7: 974. https://doi.org/10.3390/en10070974
APA StyleHo, C. J., Hsu, H.-I., Ho, T.-A., & Lai, C.-M. (2017). Thermal Performance of a Vertical U-Shaped Thermosyphon Containing a Phase-Change Material Suspension Fluid. Energies, 10(7), 974. https://doi.org/10.3390/en10070974