Next Article in Journal
Determinants of Financial Performance in Advertising and Marketing Companies: Evidence from Central and Eastern European Countries
Previous Article in Journal
The Impact of the Legal Environment on Bank Profitability: An Empirical Analysis of the Angolan Banking Sector
Previous Article in Special Issue
Behavioral and Psychological Determinants of Cryptocurrency Investment: Expanding UTAUT with Perceived Enjoyment and Risk Factors
 
 
Font Type:
Arial Georgia Verdana
Font Size:
Aa Aa Aa
Line Spacing:
Column Width:
Background:
Article

The Role of Innovation Development in Advancing Green Finance

by
Aleksy Kwilinski
1,2,3,*,
Oleksii Lyulyov
1,3 and
Tetyana Pimonenko
1,3
1
Institute for Sustainable Development and International Relations, WSB University, 41-300 Dabrowa Gornicza, Poland
2
The London Academy of Science and Business, Unit 3, Office A, 1st Floor, 6–7 St Mary at Hill, London EC3R 8EE, UK
3
Department of Marketing, Sumy State University, 116, Kharkivska St., 40007 Sumy, Ukraine
*
Author to whom correspondence should be addressed.
J. Risk Financial Manag. 2025, 18(3), 140; https://doi.org/10.3390/jrfm18030140
Submission received: 16 February 2025 / Revised: 4 March 2025 / Accepted: 5 March 2025 / Published: 7 March 2025

Abstract

This study aims to investigate how innovation development drives green finance in the Visegrad countries by analyzing the role of R&D investments, high-tech trade, and patent activity in attracting greenfield investments. Using a vector autoregression (VAR) model with data from 2007 to 2022, this study employs forecasting techniques, impulse response functions, and variance decomposition analyses to assess the dynamic relationship between innovation and green financial flows. The findings reveal that R&D expenditures are the strongest driver of green investments, explaining over 93% of the variance in Poland and Hungary. High-tech trade significantly influences investment trends, contributing up to 84% of the variance in the Czech Republic, while patent applications initially boost greenfield investments but show diminishing returns over time. Although innovation-driven investments remain stable overall, the impact of trade and patents varies across countries, reflecting regional differences. This study identifies key challenges, such as commercialization gaps and policy disparities, highlighting the need for targeted financial and innovation policies. To sustain green finance growth, policymakers should expand R&D funding, strengthen trade infrastructure, and enhance intellectual property commercialization. Additionally, financial institutions and investors should play a more active role in developing green investment markets to support long-term economic resilience and sustainability.

1. Introduction

As the global economy undergoes a profound shift toward sustainability, the ability to finance green initiatives has become increasingly dependent on technological progress. Countries that lead in innovation development are also more successful in attracting green investment, leveraging advancements in research and technology to reduce financial risks and improve the feasibility of sustainable projects. Innovation development has emerged as a key driver of green finance, shaping the flow of investments into sustainable technologies and low-carbon economic transitions (Dzwigol, 2020). As countries seek to enhance energy efficiency (Kolosok et al., 2020; Kwilinski, 2024) and develop cutting-edge solutions to global environmental challenges, the role of innovation in facilitating green investment has become increasingly evident. Research and technological advancements influence financial mechanisms by improving the viability of green projects, reducing investment risks, and attracting sustainable capital. By fostering an environment conducive to innovation, nations can strengthen their green finance ecosystems, ensuring long-term economic resilience and competitiveness (Hafner et al., 2020).
Experts and scholars (Kwilinski et al., 2024a) emphasize that green finance could enhance innovation within the Visegrad countries (Czech Republic, Hungary, Poland, and Slovakia) as they undertake challenging transitions toward sustainable economies. These nations, as integral members of the European Union (EU), hold a critical position in advancing the bloc’s ambitious sustainability objectives, including the European Green Deal and the overarching goal of achieving carbon neutrality by 2050 (Kwilinski et al., 2024e). However, the reliance of the Visegrad countries on carbon-intensive industries and traditional energy sources, such as coal, presents substantial challenges. Green finance offers a pathway to overcome these barriers by providing capital for sustainable industrial practices, energy efficiency improvements (Panchenko et al., 2020; Ding et al., 2022), and innovations in cleaner technologies. Studies argue that green finance can drive transformative innovation in regions where industrial legacies create inertia, making it a critical tool for Visegrad countries to modernize their economies while addressing environmental concerns.
Moreover, the economic and industrial contexts of these nations highlight the urgency of green finance. The industrial bases in these countries are significant contributors to their GDPs, but they also account for a substantial share of greenhouse gas emissions. Research (Kwilinski et al., 2024b, 2024d; M. Wang et al., 2020) suggests that aligning financial resources with sustainability goals can accelerate the adoption of green technologies in regions with high emission intensity, making this alignment vital for the Visegrad countries. Despite their progress in adopting green finance mechanisms, such as green bonds and renewable energy subsidies (Ziabina & Navickas, 2022), the effectiveness of these initiatives varies widely across the region. Comparative studies by Y. Zhang et al. (2024a), Zheng et al. (2025), L. Li and Du (2024), Dong et al. (2025), and Du et al. (2024) show that regional disparities in policy implementation can affect the pace and scope of green innovation, emphasizing the need for tailored financial strategies.
Studies (Ayala-Mora et al., 2023; Boyko et al., 2024; Kwilinski, 2023b; Kwilinski et al., 2024c; Labudova & Fodranova, 2024) highlight the critical role of technological innovations in neobanks, emphasizing their potential to advance green finance through digital efficiency and sustainability while addressing cybersecurity risks. Cybersecurity awareness (Infante-Moro et al., 2022a), e-proctoring systems (Infante-Moro et al., 2022b), and e-commerce (Kwilinski, 2023a) foster trust, resource optimization, and human capital development, which are essential for green initiatives. Additionally, digital governance and prioritization frameworks (Kwilinski et al., 2023, 2024e; Kwilinski & Kardas, 2024) enhance efficiency and coordination, creating a strong foundation for innovation ecosystems supported by green finance.
Access to EU funding programs, such as Horizon Europe and the Just Transition Fund, further underscores the relevance of green finance. These funds aim to promote innovation and sustainability, particularly in regions facing economic and environmental transitions. According to a previous study (Kwilinski et al., 2024f; Wei & Hu, 2023; Xiao & Qamruzzaman, 2022), optimizing the utilization of such financial instruments can increase their impact on fostering innovation and achieving sustainability goals. However, varying degrees of institutional readiness and governance across the Visegrad countries influence the efficiency of fund deployment. The geopolitical context of these nations, which are located at the crossroads of Western and Eastern Europe, also adds a layer of complexity (Berg & Spicka, 2023). The dependence on energy imports and exposure to regional environmental risks necessitate robust green finance frameworks to ensure energy security and resilience. Nie et al. (2024) highlighted that innovation-driven green finance initiatives can strengthen energy independence while promoting sustainable development.
Additionally, the ongoing energy crisis and postpandemic recovery efforts underscore the strategic importance of green finance. As the Visegrad countries seek to rebuild their economies, green finance offers an opportunity to diversify energy sources, invest in innovative solutions, and ensure long-term sustainability. Different perspectives on this issue highlight the trade-offs between short-term economic growth and long-term environmental benefits. For instance, D. Zhang et al. (2021) argued that green finance can impose additional financial burdens on emerging economies, potentially hindering their growth. On the other hand, Abbas et al. (2024), Tolliver et al. (2021), and Hakhverdyan and Shahinyan (2022) contend that green finance fosters resilience and creates competitive advantages by encouraging green innovation and reducing reliance on volatile energy markets.
The relationship between innovation development and green finance is deeply rooted in economic and sustainability theories. Schumpeterian innovation theory (Callegari & Nybakk, 2022) underscores the role of technological progress in driving economic transformation. Innovation creates favorable conditions for attracting sustainable financial flows, as advancements in green technology reduce investment risks and enhance the financial viability of sustainable projects. Building on this, the Resource-Based View framework (Madhani, 2010) conceptualizes technological capabilities and financial resources as essential assets for competitive advantage. In this study, green finance is viewed as a financial resource that is shaped by a country’s ability to innovate. A well-developed innovation ecosystem enables economies to mobilize green financial resources effectively, driving sustainable modernization and long-term economic resilience. From a sustainability perspective, the Environmental Kuznets Curve (Stern, 1998) hypothesis suggests that economic growth initially leads to environmental degradation, but this trend reverses as technological progress and policy interventions take effect. The availability of innovation-driven green finance accelerates this transition by supporting investments in clean energy, energy efficiency, and sustainable industrial practices. In the Visegrad region, where industrial legacies have historically shaped economic structures, innovation-led financing mechanisms are essential for facilitating the shift toward a low-carbon economy.
Despite the theoretical importance of innovation in shaping green financial mechanisms, prior research has largely examined green finance as a driver of innovation rather than the reverse relationship. Existing studies tend to analyze green finance and innovation as separate domains, often overlooking the mechanisms through which technological progress, knowledge spillovers, and R&D investments influence green financial flows. To address these gaps, this study seeks to answer the following research question: How does innovation development drive green finance in the Visegrad countries, and what are the key mechanisms underlying this relationship? To investigate this, this study evaluates the role of R&D investment, high-tech trade, and patent activity in attracting greenfield investments. By employing a vector autoregression (VAR) model with data from 2007 to 2022, this study provides empirical evidence on the long-term dynamics between innovation capacity and green financial flows, offering a comprehensive analysis of their causal linkages. This study makes several key contributions. First, it shifts the focus from viewing green finance as a driver of innovation to examining how innovation development stimulates green investment. Unlike prior research, which primarily assesses the influence of financial mechanisms on innovation, this study highlights how advancements in technology, knowledge transfer, and R&D spending create favorable conditions for sustainable finance to thrive. Second, it identifies country-specific heterogeneity in the innovation–finance relationship. These differences underscore the need for tailored financial and innovation policies to maximize the effectiveness of green finance initiatives across diverse economic landscapes. Third, this study enhances the methodological approaches in green finance research by integrating impulse response function (IRF) analysis and variance decomposition. These tools allow for a more precise measurement of how innovation-related factors influence green investment over time, providing insights into the stability, magnitude, and persistence of these effects.
This study has the following structure: Literature Review—analysis of the theoretical background of green finance and innovation development; Materials and Methods—outlining the data, methods, and instruments to check the hypothesis of the investigation; Results—exploring the empirical results of testing the research hypothesis; Discussion—comparison analysis of the obtained findings with those of past similar studies; and Conclusions—summing up the results of the investigation, policy implications, limitations, and further directions for investigations.

2. Literature Review

The integration of innovation into green finance has significantly accelerated the transition to a low-carbon economy by enhancing investment efficiency, driving sustainable technological advancements, and optimizing resource utilization. Innovations such as blockchain for transparent green bonds, AI-driven risk assessment models, and fintech solutions for sustainable investment have revolutionized financial markets, making eco-friendly projects more accessible and scalable. Additionally, advancements in clean-energy technologies, circular economy models, and impact measurement tools have strengthened the effectiveness of green finance, ensuring capital is directed toward projects that maximize environmental and economic benefits. As financial institutions increasingly leverage digital solutions and data-driven decision-making, the synergy between innovation and green finance continues to reshape global markets, promoting long-term sustainability and resilience. Caglar et al. (2024) emphasize the transformative impact of green investments and innovation in promoting ecological sustainability across European countries. Their study highlights the necessity of aligning investment strategies with climate action goals to achieve meaningful environmental progress. Similarly, Chi et al. (2023) argue that green investments not only generate environmental benefits but also reshape corporate behavior, aligning organizational strategies with broader sustainability objectives. They illustrate how green funds serve as catalysts for innovation by providing financial incentives for adopting sustainable practices.
In the context of China, green investments have played a pivotal role in addressing carbon emissions. Jiang et al. (2022) explore the combined influence of green investment and ecological innovation on CO2 reduction, finding that investments in green technologies and sustainable infrastructure significantly mitigate environmental degradation while improving industrial efficiency. Supporting this perspective, Temesgen Hordofa et al. (2023) examine the interplay between eco-innovation and green investment, demonstrating their collective contribution to limiting CO2 emissions. Their findings reinforce the argument that fostering innovation in green technologies is essential for achieving emission reduction targets and advancing ecological sustainability.
H. Zhang et al. (2022) expand the discussion by linking green investment with natural resources and technological innovation, emphasizing how resource-efficient technologies drive ecological development. Their findings indicate that green investment not only reduces environmental harm but also ensures the sustainable use of natural resources, fostering long-term ecological and economic resilience.
Knowledge sharing plays a crucial role in advancing green finance and innovation (Ismail et al., 2020; Surya et al., 2024; Shi & Yang, 2025). Effective stakeholder collaboration—encompassing businesses, universities, industries, and governments—has become fundamental to fostering sustainable innovation ecosystems (Dacko-Pikiewicz, 2019a; Ismail et al., 2020; Jiu et al., 2024). Cross-border knowledge flows and strategic partnerships are essential for disseminating green technologies and best practices, particularly in cultural markets and industry-academia integration (Dacko-Pikiewicz, 2019b; Ismail et al., 2020). Additionally, consumer insights and market-driven approaches, such as smart packaging, help align green finance with commercially viable and impactful innovations (Gigauri et al., 2024). Human capital development, supported by green HR strategies and education, is vital for sustaining long-term innovation and environmental sustainability (Surya et al., 2024).
Kwilinski and Kardas (2024) and Szczepańska-Woszczyna et al. (2024) highlight the significant impact of quality management and public health efficiency on optimizing resource allocation and enhancing competitiveness. Their findings suggest that these factors play a crucial role in driving innovations aligned with green finance objectives. Moreover, Polcyn et al. (2023) and Zimbroff (2023) underscore the importance of institutional branding and adaptive programming in establishing effective knowledge-sharing mechanisms that support sustainable development.
Cao et al. (2024) identify managerial myopia as a key challenge in sustaining ESG-based green investments and innovation. Their analysis reveals that short-term, profit-driven decision-making can undermine long-term commitments to green innovation. Addressing this issue, Wan et al. (2022) emphasize the crucial role of executive vision and stakeholder engagement in fostering enterprise-level green innovation. Their research highlights that leadership commitment to sustainability goals and proactive stakeholder involvement enhance innovation outcomes and sustain competitive advantages.
Z. Lai et al. (2023) explore financial and coordination strategies for manufacturers facing green innovation capital constraints. They propose that collaborative approaches—such as partnerships with financial institutions and suppliers—can mitigate resource limitations and support innovation. Their findings underscore the importance of strategic financing mechanisms in enabling companies to pursue green innovation without compromising operational efficiency.
Empirical evidence from X. Zhang et al. (2023) demonstrates a positive relationship between green investments and corporate performance through innovation. Their study shows that firms actively engaging in green investment initiatives enhance their innovation capabilities, leading to improved financial performance and market competitiveness. Expanding on this, Y. Zhang et al. (2024a) examine listed companies in China and find that targeted green investments drive technological advancements, helping firms achieve sustainability goals and comply with regulatory requirements. Their research underscores the strategic role of green investment in transforming corporate innovation landscapes and driving industry-wide change.
He et al. (2024) emphasize the role of financial instruments, such as green bonds and innovative funding mechanisms, in directing resources toward environmentally sustainable mining practices. Similarly, Xu et al. (2024) establish a link between financial innovation and carbon intensity reduction, demonstrating how fiscal and structural energy policies—such as carbon trading systems and renewable energy financing—optimize energy use and lower greenhouse gas emissions.
Peng et al. (2023) explore the integration of artificial intelligence in aligning green finance with economic activities, highlighting AI’s potential to revolutionize green investments through real-time data analysis, risk assessment, and decision-making. Chien (2023) examines the dual role of eco-innovation and financial inclusion in driving sustainable development in China, showing how broader access to financial resources fosters widespread participation in green initiatives, thereby promoting innovation and economic resilience.
Y. Lai and Sohail (2022) argue that effective governance mechanisms—such as transparent regulatory frameworks and accountability standards—serve as key incentives for corporations to prioritize green investments. Legal and policy interventions play a crucial role in ensuring businesses adopt sustainable practices and contribute to environmental preservation. C. Li et al. (2023) and L. Li et al. (2024) extend this perspective by highlighting how international agreements and policy commitments provide a roadmap for aligning national strategies with global climate goals.
Focusing on heavily polluting enterprises, Lv and Zhou (2023) examine the impact of green finance reforms, revealing that policy-driven measures—such as subsidies, tax incentives, and stricter environmental regulations—encourage businesses to adopt green investments and innovative practices. Their findings underscore the importance of regulatory interventions in accelerating the transition toward sustainable business models.
Luo et al. (2021) emphasize the role of targeted financial innovations in enabling developing nations to adopt cleaner technologies and sustainable practices. These mechanisms, including green bonds and blended financing, support industrial transitions while addressing environmental challenges. Sharif et al. (2023) further highlight that green investments act as catalysts for innovation, driving advancements in sustainable technologies that fuel both economic expansion and environmental improvements. Their research underscores the importance of regional cooperation and policy alignment in accelerating green technological adoption.
Qamruzzaman and Karim (2023) demonstrate how technological innovation, driven by green investments, facilitates the expansion of renewable energy solutions and smart energy systems. These innovations enhance energy security while contributing to sustainability targets. On a global scale, S. Li et al. (2022) explore how technological advancements, coupled with green investment, reduce CO2 emissions by promoting clean-energy transitions and eco-friendly industrial processes. Their findings highlight the role of international collaboration and technology transfer in scaling green innovations.
Gatto et al. (2021) apply multicriteria decision analysis to assess how green innovation influences bioeconomic growth, providing policymakers with a strategic framework for evaluating sustainable investments. Khalil and Nimmanunta (2023) compare the financial and environmental outcomes of conventional and green investments, demonstrating that green finance fosters superior long-term sustainability through innovations in energy efficiency and low-carbon technologies.
Zhao et al. (2023) emphasize that technological advancements, supported by fiscal incentives such as subsidies and tax credits, amplify the effectiveness of green investments. Their research highlights the necessity of policy frameworks that integrate innovation to maximize both economic and environmental returns. Similarly, Musibau et al. (2021) use quantile analysis to show how energy innovation, fueled by green investments, strengthens industrial energy efficiency and reduces emissions. Their findings reinforce the critical role of innovation-driven advancements in expanding the impact of green finance and accelerating the transition to a sustainable economy.
Based on the literature review, this study tests the following hypotheses:
H1. 
Innovation development has a positive impact on green finance.
H2. 
The relationship between innovation development and green finance varies depending on country-specific economic conditions.

3. Materials and Methods

To explore the relationship between green finance and innovation development in selected countries, a VAR model was employed:
Y i t = α 1 Y i t 1 + α p 1 Y i t p + 1 + α p Y i t p + C X i t + u i + e i t
Y i t represents the main dependent variable, i.e., greenfield investment. The coefficients α 1 , α p 1 , and α p capture the lagged effects of green finance from previous periods on the current investment levels. These terms reflect the dynamic relationship where past finance influences future outcomes. X i t denotes the independent variables representing various aspects of innovation development. These variables demonstrate how different dimensions of a country’s innovation ecosystem contribute to green finance. C represents the coefficients of the independent variables ( X i t ), and their influence is quantified as Y i t . u i accounts for unobserved individual effects specific to each country, capturing unique, time-invariant characteristics that may affect green finance. e i t is the error term, which represents random fluctuations not explained by the model.
Green finance represents the allocation of financial resources toward environmental sustainability, with greenfield investment serving as a key mechanism for directing capital into new projects that support this transition (Ozili, 2022; Fu et al., 2023; Kwilinski et al., 2025). Unlike investments aimed at upgrading existing assets, greenfield projects introduce financial flows specifically targeted at renewable energy, clean technology, and sustainable infrastructure (Emodi et al., 2022; Zahedmanesh et al., 2024). This connection between green finance and greenfield investment underscores how financial commitments contribute to long-term ecological transformation, ensuring that capital is allocated to innovation-driven sustainability solutions (Adams et al., 2016; Chen et al., 2025). By integrating advancements in energy efficiency, circular economy models, and climate-friendly technologies, greenfield investments function as both an outcome and a driver of green finance, reflecting evolving financial priorities in response to global sustainability goals (Bashir et al., 2024; Rasoulinezhad & Taghizadeh-Hesary, 2022; Soh et al., 2024; Q. Wang et al., 2025).
Furthermore, the scale and scope of investment in sustainable industries highlight the financial commitment of governments and businesses to green economic transformation (Feng et al., 2022; Ma et al., 2023). Countries prioritizing renewable energy, clean production, and sustainable infrastructure demonstrate a financial shift toward sustainability, reinforcing greenfield investment as a relevant measure of green finance (Zeraibi et al., 2023; Raza et al., 2024). In this study, greenfield investment is chosen as the dependent variable to measure green finance, capturing its role as an indicator of financial flows directed toward sustainable economic development.
The VAR technique was chosen as it offers a dynamic and bidirectional interaction between innovation development and green finance, unlike traditional panel regression models that assume a unidirectional causal link. Moreover, the VAR model treats all variables as endogenous, meaning it does not impose strict assumptions about which variable influences the other. Furthermore, this technique is well-suited for analyzing short- and medium-term dynamics through impulse response functions (IRFs). By tracing the impact of a shock in one variable on others over time, IRFs provide a clearer understanding of the temporal transmission of effects. Additionally, variance decomposition analysis within the VAR framework quantifies the relative contribution of each independent variable to fluctuations in the dependent variable.
The following indicators were selected as independent variables to demonstrate the country’s innovation development. Business enterprise expenditures on R&D (X1) reflect the intensity of investment in R&D by private enterprises, which is a fundamental driver of innovation (Nurpeisova et al., 2020). R&D spending leads to the creation of new products, processes, and technologies, directly enhancing the innovation capacity of a country. Empirically, higher R&D investment is correlated with increased productivity, competitiveness, and economic growth. It captures the commitment of the business sector to fostering innovation. The total high-tech trade in million euros and as a percentage of total exports (X2) reflect the global competitiveness of a nation’s innovation outputs and its ability to integrate into global value chains (Braja & Gemzik-Salwach, 2020). Additionally, the share of high-tech trade in total exports provides insight into the structural composition of the economy and its reliance on innovation-driven sectors. Patent applications to the EPO by a country of applicants and inventors (X3) reflect not only the inventive capacity of a country but also its ability to protect and commercialize intellectual property (Dai et al., 2022).
The selection of Poland, Hungary, Slovakia, and the Czech Republic was based on their shared economic and policy characteristics. These nations underwent a similar transition from centrally planned economies to market-oriented systems. As part of the European Union, these countries actively participate in sustainability initiatives. However, their economic structures remain heavily reliant on conventional energy sources, creating distinct challenges in securing financial resources for green investments. In contrast to Western European countries, where green finance mechanisms are well-established, the Visegrad countries are still in the process of integrating sustainability into their financial systems. The analysis covers the period from 2007 to 2022. The descriptive statistics for the analyzed variables are presented in Table 1.
To ensure the validity and stability of the VAR model in the initial stage of the methodology, unit root tests, such as the augmented Dickey–Fuller (ADF) and Phillips–Perron (PP) tests, were conducted to confirm stationarity (Ajewole et al., 2020). The presence of both I(0) and I(1) variables necessitated the estimation of a VAR model in levels, following standard econometric practices when dealing with mixed orders of integration. To verify the stability of the estimated VAR model, the eigenvalue stability condition was applied, ensuring that all eigenvalues lay within the unit circle, confirming the model’s dynamic stability (Haslbeck et al., 2021). The optimal lag length was determined using model selection criteria, including the Akaike Information Criterion (AIC), Bayesian Information Criterion (BIC), and Quasi-Information Criterion (QIC), which identified the most appropriate model specification (Armillotta et al., 2022). To analyze the directionality of relationships between innovation development and green finance, the Wald test for Granger causality was performed (Păunică et al., 2021). Additionally, impulse response function (IRF) and variance decomposition analysis were employed to examine the dynamic interactions between variables, allowing for a structured assessment of how shocks to innovation indicators influence greenfield investment over time.

4. Results

The outputs of the unit root tests, including the ADF and PP tests, are presented in Table 2.
At the level form, most variables exhibit nonstationary, which fails to reject the null hypothesis of a unit root. However, after applying a first-difference transformation, the variables achieve stationarity, with significantly low p-values confirming the rejection of the null hypothesis. According to the obtained results, at the next stage, all calculations were performed via data transformation by taking differences and multiplying by 100 to increase these differences to a convenient scale.
Table 3 presents the results of the VAR model. The selection criteria, including the SBIC, AIC, and HQIC, were calculated to determine the optimal model specifications. Model 1 demonstrates a high explanatory power for Y across all countries, with R 2 values ranging from 0.847 (Czech Republic) to 0.947 (Hungary). This indicates a strong relationship between X1 and Y, supported by low RMSE values and statistically significant χ 2 values (p < 0.05).
Model 2 shows moderate explanatory power for Y, with lower R 2 values than Model 1 does, particularly for Slovakia ( R 2 = 0.754) and Hungary ( R 2 = 0.844). This suggests that X2 has a less stable relationship with greenfield investment. The variability is further reflected in the higher RMSE values and wider range of χ 2 statistics. Despite this, X2 remains significant across all countries, as indicated by the p values (p < 0.05). Model 3 exhibits the strongest predictive performance for X3, with exceptionally high R 2 values, especially in Poland ( R 2 = 0.9981) and the Czech Republic ( R 2 = 0.991). The very high χ 2 values, such as 5850.666 for Poland and 1152.237 for the Czech Republic, indicate that patent activity is a critical determinant of greenfield investment. The consistently low RMSE values across all countries further support the robustness of Model 3 in capturing the relationship between patent activity and investments.
Figure 1 presents a graphical representation of the eigenvalue stability conditions for the VAR models applied to the Visegrad countries.
The results show that for all countries and variables, the eigenvalues satisfy the stability condition, indicating that the models are stable and reliable. Variations in the distribution of eigenvalues across subfigures reflect differences in the dynamic interactions between greenfield investment and the respective explanatory variables in each country.
The Wald test of Granger causality (Table 4) reveals significant bidirectional causality between greenfield investment and X2 and X3 in most countries, suggesting a mutually reinforcing relationship where investments in high-tech sectors and innovations drive greenfield investments and vice versa.
In Hungary and the Slovak Republic, there is also strong bidirectional causality between greenfield investment and X1, whereas in Poland, R&D expenditure does not predict greenfield investment, although the reverse is significant. In the Czech Republic, X3 strongly influences greenfield investment, but no reverse causality is observed, indicating the critical role of intellectual property in attracting foreign investments.
Table 5 demonstrates the dynamic interactions between variables over time by quantifying their relative influence.
The variance decomposition results for Poland indicate that the influence of R&D expenditure (X1) on greenfield investment (Y) grows steadily over time, reaching approximately 36% by the eighth period. This suggests that research and development investments play an increasingly significant role in driving foreign direct investment inflows. Conversely, greenfield investment strongly impacts R&D expenditure, accounting for 81% of its variance by the eighth period, emphasizing the reinforcing nature of investment-driven innovation. High-tech trade (X2) also demonstrates a stable and substantial effect, explaining approximately 78% of greenfield investment’s variance in the eighth period, underscoring the critical role of technology-intensive exports in attracting foreign investments. Patent applications (X3) exhibit a strong bidirectional relationship with greenfield investment, with Y explaining 36% of the variance in X3, while X3 contributes 98% to Y’s variance, highlighting the feedback loop between intellectual property generation and investment inflows.
A similar but slightly weaker pattern emerges in Slovakia. R&D expenditure (X1) remains a significant factor, explaining 57% of greenfield investment’s variance by the eighth period, while Y contributes marginally (14%) to X1’s fluctuations. This indicates that innovation investment influences foreign direct investment more than it is influenced by it. High-tech trade (X2) and patent applications (X3) continue to be major drivers of greenfield investment. X2 accounts for 60% of Y’s variance, reinforcing the importance of high-tech exports in attracting investment. Patent applications (X3) show an overwhelming effect, explaining 99% of Y’s variance, demonstrating the country’s reliance on intellectual property as a competitive advantage in investment attraction.
In Hungary, the relationships among variables appear more dynamic. R&D expenditure (X1) explains 37% of greenfield investment’s variance by the eighth period, whereas Y’s influence on X1 remains modest at 37%. This suggests that while research funding significantly shapes investment patterns, the reverse effect is limited. High-tech trade (X2) has a weaker but still noticeable impact, contributing 36% to greenfield investment’s variance by the eighth period. Patent applications (X3) exhibit a strong feedback loop, with X3 explaining 84% of Y’s variance and Y, in turn, accounting for 45% of X3’s variance. These findings emphasize the mutually reinforcing relationship between intellectual property development and investment attraction.
The Czech Republic’s variance decomposition results highlight a more investment-driven innovation process. Greenfield investment strongly influences R&D expenditure (X1), explaining 55% of its variance by the eighth period, while Y contributes 18% to X1. This suggests that foreign investment inflows significantly impact research and development funding. High-tech trade (X2) emerges as a dominant driver, explaining 84% of Y’s variance, while Y’s influence on X2 remains minimal. This underscores the role of technology exports in driving investment decisions. Patent applications (X3) continue to show a significant bidirectional relationship, explaining 84% of Y’s variance, while Y contributes 45% to X3. This indicates that foreign direct investment not only follows technological innovation but also stimulates further patenting activities.
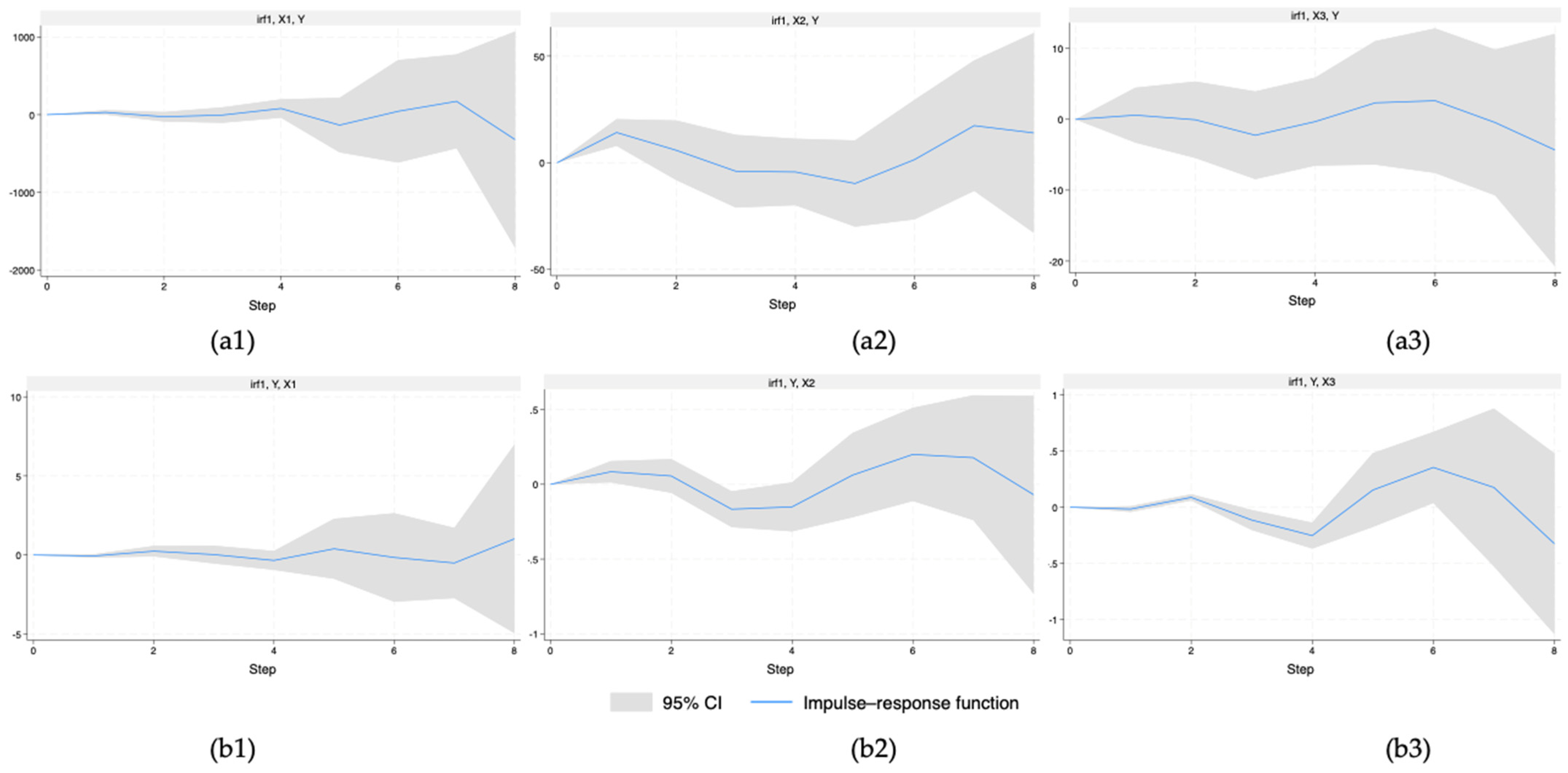
The output of the impulse response functions (IRFs) with confidence intervals for Poland is shown in Figure 2.
A shock to R&D expenditure elicits an immediate and positive response in Y, which gradually stabilizes over the forecast horizon, indicating that increased R&D expenditure significantly boosts greenfield investments in the short to medium term. Similarly, a shock to X2 leads to a pronounced positive response in Y, highlighting the role of trade in fostering investment. The effect of a shock to X3 on Y is strong and sustained, reflecting the importance of innovation and intellectual property in attracting greenfield investment. In panels b1, b2, and b3, the responses of X1, X2, and X3 to shocks in greenfield investment (Y) reveal the feedback dynamics. A shock to Y generates a moderate and persistent increase in X1, indicating that greenfield investments stimulate further innovation activities. X2 exhibits a delayed but significant positive response to a shock in Y, underscoring the reciprocal relationship between trade and investment. X3 also responds positively to shocks in Y, emphasizing the mutual reinforcement between innovation and investment.
For the Slovak Republic (Figure 3), a shock to X1 results in a positive and sustained response in Y, reflecting the critical role of R&D activities in attracting greenfield investment. Similarly, a shock to X2 generates an immediate and robust positive effect on Y, indicating that high-tech trade is a key driver of investment in the Slovak Republic. A shock to X3 elicits a strong and persistent positive response in Y, further emphasizing the importance of innovation and intellectual property in fostering foreign investment.
In the Slovak Republic, a shock to Y produces a notable and sustained increase in X1, indicating that greenfield investments stimulate further innovation efforts. X2 shows a delayed but significant positive response to a shock in Y, demonstrating the reciprocal nature of the relationship between trade and investment. X3 also responds positively to shocks in Y, confirming the mutual reinforcement between innovation and investment activities.
In Hungary (Figure 4), a shock to X1 leads to a moderate but sustained positive response in Y, indicating the long-term importance of innovation investments in stimulating greenfield projects. X2 shocks produce an immediate and significant positive response in Y, underscoring the vital role of international trade in fostering investment. Meanwhile, shocks to X3 generate a strong and persistent positive response in Y, reflecting the importance of innovation and intellectual property in attracting foreign investment.
A shock in Y results in a notable increase in X1, highlighting how investment inflows can drive innovation efforts in Hungary. X2 shows a delayed yet consistent positive response, illustrating the reciprocal relationship between trade and investment. Similarly, X3 responds positively to shocks in Y, demonstrating the reinforcing effects of investments on innovation activity in Hungary.
In the Czech Republic (Figure 5), shocks to X1, X2, and X3 lead to moderate but sustained, immediate and significant, and strong positive effects on Y, respectively.
Conversely, shocks in Y increase R&D expenditures and patent activity, reflecting the reinforcing effects of investment on innovation. High-tech trade also shows a delayed positive response to Y shocks, confirming bidirectional relationships.
The forecast results for Poland (Figure 6) reveal varying dynamics in the relationships between greenfield investments and the independent variables. For X1, the forecast demonstrates consistent fluctuations with no evident upward trend, indicating that R&D spending maintains a stable but limited influence on greenfield investments, as supported by relatively narrow confidence bands. Poland’s strategy prioritizes industrial development over high-risk, high-reward R&D investments. The absence of a strong upward trend in the forecast suggests that Poland’s innovation policies are insufficient to create transformative impacts on investment inflows. For X2, the results show irregular volatility, with occasional growth periods interrupted by declines, reflecting sensitivity to external factors such as global trade conditions or shifts in high-tech demand. This variability aligns with Poland’s transitional high-tech trade strategy, which relies on improving trade infrastructure. With respect to X3, the forecast indicates an initial positive correlation with greenfield investments, followed by a growing variability toward the later forecast period. While Poland has recently increased its focus on intellectual property through initiatives such as tax incentives for R&D and patents (IP Box), the forecasted variability suggests that these measures have yet to yield sustainable impacts on greenfield investments.
The forecast results for the Slovak Republic (Figure 7) reveal distinct dynamics in the relationships between greenfield investments and the independent variables. For X1, the forecast shows moderate fluctuations without a clear upward trend, indicating a limited and relatively stable influence of R&D spending on investments, as reflected by narrow confidence bands. This aligns with its current strategy, which is focused on industrial manufacturing rather than high-tech innovation. Slovakia’s approach, which emphasizes the automotive and electronics industries, has not yet matured into a strategy that fully integrates R&D as a driver of greenfield investment. In the case of X2, the forecast exhibits periodic volatility with intermittent growth, suggesting the influence of external factors such as global trade dynamics. The wider confidence intervals in certain periods indicate heightened uncertainty, implying that high-tech trade’s contribution to greenfield investments is context sensitive and subject to external conditions. The periodic volatility reflects Slovakia’s dependence on high-tech exports as part of its manufacturing-led economic model. While Slovakia benefits from its integration into EU supply chains, it faces heightened sensitivity to external conditions, such as geopolitical instability or disruptions in the global demand for high-tech products. For X3, the forecast initially has a positive effect on investments but transitions to increased fluctuations toward the latter part of the period. Slovakia’s strategy has traditionally underemphasized patenting and commercialization, and although recent policies focus on creating innovation clusters and supporting startups, these efforts have yet to translate into measurable improvements in greenfield investment flows.
The forecast highlights Hungary’s potential to attract greenfield investments (Figure 8). The forecast for Y relative to X1 indicates a gradual increase in greenfield investments over the forecast period. The confidence intervals are relatively narrow, suggesting a strong and stable relationship. Hungary’s strategy emphasizes industry–academia collaboration and targeted government subsidies for innovation-driven sectors such as pharmaceuticals, renewable energy, and automotive technologies. These efforts are reflected in the stable and strong relationship between R&D and greenfield investments.
The forecast for Y relative to X2 shows more pronounced fluctuations than X1 does. While there is a moderate upward trend overall, periodic declines suggest potential volatility influenced by external market conditions, such as global demand shifts or changes in trade policy. Hungary’s participation in EU value chains and its strategic focus on high-tech exports are enabling steady investment inflows, but the observed volatility underscores risks tied to geopolitical tensions and global trade disruptions. The forecast for Y relative to X3 displays an initial increase followed by a noticeable decline toward the end of the forecast period. This suggests that while patent activity initially contributes positively to greenfield investments, its influence diminishes over time. The declining trend may indicate challenges in the commercialization of patented innovations or a lack of alignment between patent activity and the investment climate. Despite Hungary’s emphasis on patents and intellectual property rights (e.g., through strengthened legal protections and incentives for innovation), the commercialization gap remains a challenge, limiting the long-term sustainability of greenfield investment growth.
The changes in Y in response to variations in X1 in the Czech Republic (Figure 9) show an initial period of minor fluctuations followed by a sharp increase. This trend suggests that sustained growth in R&D expenditures will continue to positively impact investment levels, reflecting a compounding effect where ongoing innovation-driven productivity gains make the Czech Republic increasingly attractive for greenfield investors. The upward trajectory also indicates the potential for long-term economic transformation fueled by consistent R&D investment. Its efforts to integrate R&D spending with industrial applications, particularly in automotive, aerospace, and advanced manufacturing, have positioned it as a leading destination for greenfield investments in the region.
For X2, the forecast reveals moderate fluctuations with a generally upward trend. The overall positive forecast indicates that high-tech trade will remain a significant driver of greenfield investment, supported by improved trade infrastructure and deeper integration into international markets. This dynamic underlines the potential of high-tech exports to attract steady inflows of foreign investments. Its strong integration into global supply chains and emphasis on export-oriented industries enable sustained inflows of foreign investment. For X3, the forecast initially shows a rise in greenfield investments, followed by a sharp decline toward the end of the forecast period. This pattern may indicate diminishing returns from patent activity, where the quantity of patents does not translate into proportional commercial and economic outcomes. The decline could also reflect structural issues, such as delays in the commercialization of innovations or the saturation of the innovation ecosystem. This suggests a potential need for policy adjustments to enhance the practical application of patent activity and its linkage to investment growth.

5. Discussion

The findings underscore the significant contributions of R&D expenditure, high-tech trade, and patent applications to greenfield investments in the Visegrad countries, offering critical insights into the dynamics of these relationships. R&D expenditure has a particularly strong influence on greenfield investments in Poland and Hungary, with R-squared values exceeding 0.93. This suggests that robust innovation ecosystems in these countries significantly enhance their technological capabilities, boosting investor confidence and making them attractive destinations for foreign direct investment. The Slovak Republic and the Czech Republic exhibit more moderate relationships, where feedback loops between R&D and greenfield investments highlight a mutually reinforcing dynamic. This interplay reflects the need for a continuous cycle of innovation-driven productivity gains to sustain economic growth.
High-tech trade plays a critical role in fostering greenfield investments across all countries, demonstrating a consistent bidirectional influence. This finding highlights the importance of global trade integration, where enhanced high-tech exports act as a magnet for foreign investment by showcasing a country’s industrial competitiveness. However, external factors such as global demand shifts, trade policy changes, and geopolitical uncertainties contribute to periodic volatility in this relationship, especially in Hungary and the Czech Republic. These fluctuations underscore the importance of stable trade policies and diversified trade portfolios to mitigate external risk and sustain investment growth.
Patent applications emerge as crucial drivers of greenfield investments, particularly in Poland and Hungary, where their influence is substantial. Patents serve as a signal of innovation potential to investors, enhancing a country’s reputation as a hub for cutting-edge technologies. However, the Czech Republic has exhibited diminishing returns from patent activity over time, suggesting structural challenges in translating innovation into economic outcomes. This decline may result from delays in commercialization, ecosystem saturation, or a mismatch between patent quantity and economic relevance. Addressing these challenges requires targeted reforms to bridge the gap between innovation and market application.
A comparison of these findings with those of previous studies reveals both alignment and divergence. These results align with those of Bashir et al. (2024) and Caglar et al. (2024), who emphasized the pivotal role of green innovation and greenfield investments in advancing ecological sustainability and economic resilience. These studies highlight how robust innovation ecosystems and high-tech trade networks foster resilience against economic shocks, which is consistent with the observed stability of R&D-driven investments in this analysis. Similarly, the bidirectional dynamics between greenfield investments and innovation echo the findings of Chi et al. (2023), who identified green investment as a driver of corporate green innovation. However, the findings diverge from those of Beigizadeh et al. (2022), who reported weaker connections between green investments and eco-friendly supply chains, indicating that regional disparities in innovation integration remain a challenge.
The results emphasize the need for integrated and context-specific policies that leverage the unique strengths of each country to enhance the interplay between R&D, trade, and intellectual property. By aligning innovation ecosystems, trade networks, and intellectual property frameworks with broader economic goals, the Visegrad countries can unlock their full potential as hubs for sustainable greenfield investments and long-term economic growth. These strategies will not only attract foreign capital but also foster resilience and competitiveness in an increasingly dynamic global economy.

6. Conclusions

The findings underscore the importance of tailored policies to optimize the interplay between R&D, trade, and intellectual property in driving greenfield investments. Causality analysis reveals strong bidirectional relationships between greenfield investments, high-tech trade, and patent applications. However, the exceptionally high variance explained by R&D expenditures and patent applications—reaching up to 98% in Poland—raises concerns about potential overfitting. These results suggest a need for further scrutiny of model specification, including potential omitted variables or structural dependencies affecting the estimation. Future research should explore alternative modeling approaches, such as dynamic panel data methods or machine learning techniques, to validate these relationships with greater robustness.
The forecasting results indicate that R&D expenditures significantly drive long-term investment growth, explaining over 93% of the variance in greenfield investments in Poland and Hungary. High-tech trade remains a consistent driver, contributing 78% to the variance in Slovakia, despite periodic volatility. Patent applications exhibit strong early-stage influence (explaining 84% of the variance in Hungary), but diminishing returns in countries like the Czech Republic highlight challenges in commercialization. To ensure that innovation-driven investments translate into sustainable economic benefits, the Visegrad countries must align their innovation ecosystems, trade policies, and intellectual property frameworks with long-term economic objectives.
Based on empirical findings and existing research, the following policy recommendations can help policymakers optimize financial and regulatory decisions:
  • Enhancing Innovation Funding and Commercialization Pathways: Innovation ecosystems play a critical role in greenfield investments, particularly in Poland and Hungary, where R&D expenditure explains over 93% of investment variance. While increased public and private investments in R&D are crucial, policies must go beyond simple funding allocation. Policymakers should design grants, subsidies, and tax incentives that specifically target the commercialization of research, as suggested by Bashir et al. (2024). Establishing innovation hubs, technology transfer offices, and science parks will help bridge the gap between research and market applications (Chi et al., 2023). Strengthening university-industry collaboration will ensure that R&D activities align with market demands, driving direct contributions to economic growth. Additionally, governments should support start-up incubators and accelerators to foster entrepreneurial ecosystems that enhance innovation productivity.
  • Leveraging Trade Policies to Drive Green Investment: High-tech trade is a major driver of greenfield investments, contributing up to 84% of variance in the Czech Republic. Enhancing trade infrastructure—through improved transport networks, digital trade platforms, and customs efficiency—will boost high-tech exports (Caglar et al., 2024). Diversifying trade partnerships is essential to reduce market reliance and mitigate risks from global demand fluctuations, aligning with Chien’s (2023) recommendations. Participation in regional trade agreements and global alliances can enhance the competitiveness of high-tech firms. Additionally, export guarantees, financing programs, and subsidies will facilitate international expansion and attract foreign investment (Luo et al., 2021). Integrating trade competitiveness into broader economic strategies will help position the Visegrad region as a hub for high-tech investment.
  • Strengthening Intellectual Property Protection and Innovation Diffusion: Patent activity significantly influences greenfield investments, explaining 98% of the variance in Poland. However, the diminishing returns observed in the Czech Republic highlight the challenges of translating patents into economic outcomes. Policymakers must streamline patent application processes, reduce administrative burdens, and improve intellectual property enforcement to maximize the economic value of innovation (Z. Lai et al., 2023). Innovation hubs connecting inventors with venture capitalists and market experts can accelerate commercialization, ensuring that patents lead to viable products and services (Y. Zhang et al., 2024b). Policies supporting SMEs in bridging the gap between patent ownership and product development should include funding for proof-of-concept studies and early-stage product commercialization. Collaboration between research institutions and industries through licensing agreements and public–private partnerships (Cao et al., 2024) will further enhance innovation diffusion.
  • Strengthening Regional Collaboration for Innovation and Investment: To maximize economic and technological potential, the Visegrad countries should build upon their complementary strengths by fostering deeper regional cooperation. Leveraging existing synergies through coordinated policies and joint initiatives can enhance innovation capacity and economic resilience. Establishing joint R&D programs and cross-border technology clusters can pool resources, enhance knowledge transfer, and create a unified innovation ecosystem (Bashir et al., 2024). Harmonizing intellectual property laws across the region will reduce regulatory barriers for investors and increase legal predictability (Gatto et al., 2021). Coordinated marketing efforts promoting the Visegrad region as a hub for innovation will attract foreign investment and strengthen global competitiveness (Peng et al., 2023).
  • Developing Risk Management Strategies to Stabilize Investment Volatility: High-tech trade and patent activity are subject to periodic volatility due to external market dynamics and policy shifts. Governments should develop risk management frameworks—including trade insurance mechanisms and contingency planning—to stabilize these sectors (Nuryanto et al., 2024). Increasing policy transparency and predictability will enhance investor confidence, aligning with the recommendations of He et al. (2024). Monitoring global trade trends and adopting policies that adhere to international standards will reduce uncertainty and improve economic resilience. Additionally, encouraging sectoral diversification in trade and innovation will mitigate risks associated with overreliance on specific industries or markets (Tekin & Kocaoglu, 2011).
Despite its contributions, this study has several limitations that suggest opportunities for future research. Data constraints, including inconsistencies in collection methodologies and the narrow focus on R&D expenditure, high-tech trade, and patent applications, may overlook other crucial determinants of greenfield investments. Factors such as governance quality, regulatory efficiency, environmental policies, and financial market development likely play significant roles in shaping investment decisions. Expanding the scope of explanatory variables in future studies could provide a more holistic understanding of the drivers of greenfield investments. The geographical focus on the Visegrad countries also limits the generalizability of the findings to economies with different innovation ecosystems and institutional frameworks. Future research should extend the analysis to emerging markets, developing economies, and highly industrialized nations to explore whether the observed relationships hold across diverse economic contexts. Comparative studies could shed light on how variations in trade policies, intellectual property rights enforcement, and financial support mechanisms influence greenfield investment patterns globally. Methodologically, while the Granger causality tests establish temporal relationships, they do not confirm direct causation, leaving room for alternative explanations. Future research should apply advanced econometric and machine learning techniques—such as dynamic panel models, structural equation modeling, or deep learning approaches—to improve predictive accuracy and capture complex, nonlinear interactions between innovation, trade, and investments. Additionally, incorporating network analysis could provide insights into the role of global value chains and cross-border knowledge spillovers in shaping investment flows. This study primarily focuses on short- to medium-term dynamics, yet greenfield investments are influenced by evolving economic, technological, and policy landscapes. Investigating long-term trends, including the effects of climate policies, digital transformation, and geopolitical shifts, would offer deeper insights into sustainable investment strategies. The interdisciplinary research combining insights from economics, business strategy, and environmental science could provide a richer understanding of how firms and policymakers can leverage green innovation for sustainable development. Integrating case studies, experimental research, and behavioral analysis could complement quantitative findings and offer practical recommendations for enhancing innovation-driven investment policies.

Author Contributions

Conceptualization, A.K., O.L. and T.P.; methodology, A.K., O.L. and T.P.; software, A.K., O.L. and T.P.; validation, A.K., O.L. and T.P.; formal analysis, A.K., O.L. and T.P.; investigation, A.K., O.L. and T.P.; resources, A.K., O.L. and T.P.; data curation, A.K., O.L. and T.P.; writing—original draft preparation, A.K., O.L. and T.P.; writing—review and editing, A.K., O.L. and T.P.; visualization, A.K., O.L. and T.P.; supervision, A.K., O.L. and T.P.; project administration, A.K., O.L. and T.P. All authors have read and agreed to the published version of the manuscript.

Funding

This research received no external funding.

Institutional Review Board Statement

Not applicable.

Informed Consent Statement

Not applicable.

Data Availability Statement

The data were obtained from the open statistical databases UNCTAD, Eurostat, and the World Bank.

Acknowledgments

The authors would like to express their sincere gratitude to the reviewers for their time, insightful comments, and the high level of scientific discussion, which have significantly contributed to improving this article. Their valuable feedback has helped refine this study’s arguments and enhance its clarity and rigor. Additionally, the authors extend their appreciation to the editorial board for their professionalism and dedication throughout the review and publication process. Their expertise and guidance have been instrumental in ensuring a high standard of academic integrity and scholarly excellence.

Conflicts of Interest

The authors declare no conflicts of interest.

References

  1. Abbas, S., Dastgeer, G., Nasreen, S., Kousar, S., Riaz, U., Arsh, S., & Imran, M. (2024). How financial inclusion and green innovation promote green economic growth in developing countries. Sustainability, 16(15), 6430. [Google Scholar] [CrossRef]
  2. Adams, R., Jeanrenaud, S., Bessant, J., Denyer, D., & Overy, P. (2016). Sustainability-oriented innovation: A systematic review. International Journal of Management Reviews, 18(2), 180–205. [Google Scholar] [CrossRef]
  3. Ajewole, K. P., Adejuwon, S. O., & Jemilohun, V. G. (2020). Test for stationarity on inflation rates in Nigeria using augmented Dickey-Fuller test and Phillips-Persons test. IOSR Journal of Mathematics (IOSR-JM), 16(3), 11–14. Available online: https://www.researchgate.net/profile/Vincent-Jemilohun/publication/357928721_Test_for_Stationarity_on_Inflation_Rates_in_Nigeria_using_Augmented_Dickey_Fuller_Test_and_Phillips-Persons_Test/links/61e7bdc99a753545e2df349a/Test-for-Stationarity-on-Inflation-Rates-in-Nigeria-using-Augmented-Dickey-Fuller-Test-and-Phillips-Persons-Test.pdf (accessed on 24 December 2024).
  4. Armillotta, M., Luati, A., & Lupparelli, M. (2022). Observation-driven models for discrete-valued time series. Electronic Journal of Statistics, 16(1), 1393–1433. [Google Scholar] [CrossRef]
  5. Ayala-Mora, J., Infante-Moro, A., & Infante-Moro, J. C. (2023). Electronic administration in the Council of the Judiciary of Ecuador [La administración electrónica en el Consejo de la Judicatura de Ecuador]. RISTI—Revista Ibérica de Sistemas e Tecnologias de Informação, 2023(E60), 511–523. [Google Scholar]
  6. Bashir, M. F., Inglesi-Lotz, R., Razi, U., & Shahzad, L. (2024). Economic complexity, greenfield investments, and energy innovation: Policy implications for sustainable development goals in newly industrialized economies. Environmental Science and Pollution Research, 31(24), 36013–36027. [Google Scholar] [CrossRef]
  7. Beigizadeh, R., Delgoshaei, A., Ariffin, M. K. A., Hanjani, S. E., & Ali, A. (2022). A comprehensive model for determining technological innovation level in supply chains using green investment, eco-friendly design, and customer collaboration factors. RAIRO—Operations Research, 56(4), 2775–2800. [Google Scholar] [CrossRef]
  8. Berg, S., & Spicka, J. (2023). Shaping farm workers’ political trust: The moderating role of misinformation exposure. Central European Business Review, 12(5), 177–199. [Google Scholar] [CrossRef]
  9. Boyko, A., Zimbroff, A., Mynenko, S., & Chen, Y. (2024). Anti-money laundering in the digital economy: Institutional, financial, and educational channels. Virtual Economics, 7(3), 59–80. [Google Scholar] [CrossRef]
  10. Braja, M., & Gemzik-Salwach, A. (2020). Competitiveness of high-tech exports in EU countries. Journal of International Studies, 13(1), 359–372. [Google Scholar] [CrossRef]
  11. Caglar, A. E., Avci, S. B., Ahmed, Z., & Gökçe, N. (2024). Assessing the role of green investments and green innovation in ecological sustainability: From a climate action perspective on European countries. Science of the Total Environment, 928, 172527. [Google Scholar] [CrossRef] [PubMed]
  12. Callegari, B., & Nybakk, E. (2022). Schumpeterian theory and research on forestry innovation and entrepreneurship: The state of the art, issues and an agenda. Forest Policy and Economics, 138, 102720. [Google Scholar] [CrossRef]
  13. Cao, L., Jiang, H., & Niu, H. (2024). The co-inhibiting effect of managerial myopia on ESG performance-based green investment and continuous innovation. Sustainability, 16(18), 7983. [Google Scholar] [CrossRef]
  14. Chen, F., Zhu, L., Zhang, H., & Li, Y. (2025). Innovation-Driven Cities: Reconciling economic growth and ecological sustainability. Sustainable Cities and Society, 121, 106230. [Google Scholar] [CrossRef]
  15. Chi, Y., Hu, N., Lu, D., & Yang, Y. (2023). Green investment funds and corporate green innovation: From the logic of social value. Energy Economics, 119, 106532. [Google Scholar] [CrossRef]
  16. Chien, F. (2023). The impact of green investment, eco-innovation, and financial inclusion on sustainable development: Evidence from China. Inzinerine Ekonomika-Engineering Economics, 34(1), 17–31. [Google Scholar] [CrossRef]
  17. Dacko-Pikiewicz, Z. (2019a). Building a family business brand in the context of the concept of stakeholder-oriented value. Forum Scientiae Oeconomia, 7(2), 37–51. [Google Scholar] [CrossRef]
  18. Dacko-Pikiewicz, Z. (2019b). The selected aspects of strategic management in the city are divided by the border in the context of the development of the cross-border market of cultural services. Polish Journal of Management Studies, 19(1), 130–144. [Google Scholar] [CrossRef]
  19. Dai, D., Fan, Y., Wang, G., & Xie, J. (2022). Digital economy, R&D investment, and regional green innovation—Analysis based on provincial panel data in China. Sustainability, 14(11), 6508. [Google Scholar] [CrossRef]
  20. Ding, Y., Alharbi, A. A. A., Kuo, T.-H., Malik, H. A., Nassani, A. A., Haffar, M., Suksatan, W., & Iramofu, D. P. F. (2022). Impact of CSR, innovation, and green investment on sales growth: New evidence from manufacturing industries of China and Saudi Arabia. Economic Research-Ekonomska Istraživanja, 35(1), 4537–4556. [Google Scholar] [CrossRef]
  21. Dong, X., Lv, S., & Wu, S. (2025). The green promise of digital finance: Exploring its effects and mechanisms on carbon reduction. China Economic Review, 90, 102374. [Google Scholar] [CrossRef]
  22. Du, J., Han, Y., & Cui, X. (2024). The impact of financial development on enterprise green innovation in low-carbon pilot cities. PLoS ONE, 19(6), e0301909. [Google Scholar] [CrossRef] [PubMed]
  23. Dzwigol, H. (2020). Innovation in marketing research: Quantitative and qualitative analysis. Marketing and Management of Innovations, 1, 128–135. [Google Scholar] [CrossRef]
  24. Emodi, N. V., Wade, B., Rekker, S., & Greig, C. (2022). A systematic review of barriers to greenfield investment in decarbonisation solutions. Renewable and Sustainable Energy Reviews, 165, 112586. [Google Scholar] [CrossRef]
  25. Eurostat. (2024). Database. Available online: https://ec.europa.eu/eurostat (accessed on 24 December 2024).
  26. Feng, H., Liu, Z., Wu, J., Iqbal, W., Ahmad, W., & Marie, M. (2022). Nexus between government spending’s and green economic performance: Role of green finance and structure effect. Environmental Technology & Innovation, 27, 102461. [Google Scholar]
  27. Fu, C., Lu, L., & Pirabi, M. (2023). Advancing green finance: A review of sustainable development. Digital Economy and Sustainable Development, 1(1), 20. [Google Scholar] [CrossRef]
  28. Gatto, F., Daniotti, S., & Re, I. (2021). Driving green investments by measuring innovation impacts: Multi-criteria decision analysis for regional bioeconomy growth. Sustainability, 13(21), 11709. [Google Scholar] [CrossRef]
  29. Gigauri, I., Palazzo, M., & Siano, A. (2024). Examining the market potential for smart intelligent packaging: A focus on Italian consumers. Virtual Economics, 7(2), 89–116. [Google Scholar] [CrossRef]
  30. Hafner, S., Jones, A., Anger-Kraavi, A., & Pohl, J. (2020). Closing the green finance gap—A systems perspective. Environmental Innovation and Societal Transitions, 34, 26–60. [Google Scholar] [CrossRef]
  31. Hakhverdyan, D., & Shahinyan, M. (2022). Competitiveness, innovation and productivity of the country. Marketing and Management of Innovations, 1, 108–123. [Google Scholar] [CrossRef]
  32. Haslbeck, J. M., Bringmann, L. F., & Waldorp, L. J. (2021). A tutorial for estimating time-varying vector autoregressive models. Multivariate Behavioral Research, 56(1), 120–149. [Google Scholar] [CrossRef] [PubMed]
  33. He, G., Zhu, P., & Wu, C. (2024). Financial innovation, green investment, and sustainable mineral extractions in China. Resources Policy, 90, 104696. [Google Scholar] [CrossRef]
  34. Hordofa, T., Vu, H. M., Maneengam, A., Purnomo, E. P., Pham, T. C., & Sun, L. (2022). Does eco-innovation and green investment limit CO2 emissions in China? Economic Research-Ekonomska Istraživanja, 36(1), 634–649. [Google Scholar] [CrossRef]
  35. Infante-Moro, A., Infante-Moro, J. C., & Gallardo-Pérez, J. (2022a). Key factors to increase cybersecurity awareness among employees [Factores claves para concienciar la ciberseguridad en los empleados]. Revista de Pensamiento Estratégico y Seguridad CISDE, 7(1), 69–79. [Google Scholar]
  36. Infante-Moro, A., Infante-Moro, J. C., Gallardo-Pérez, J., & Martínez-López, F. J. (2022b). Key factors in the implementation of e-proctoring in the Spanish university system. Sustainability, 14(13), 8112. [Google Scholar] [CrossRef]
  37. Ismail, N., Kot, S., Abd Aziz, A. S., & Rajiani, I. (2020). From innovation to market: Integrating university and industry perspectives toward commercializing research output. Forum Scientiae Oeconomia, 8(4), 99–115. [Google Scholar] [CrossRef]
  38. Jiang, W., Wang, X., & Wu, X. (2022). Analysis of the impact of ecological innovation and green investment on China’s CO2 emissions. Journal of Environmental and Public Health, 2022, 3783985. [Google Scholar] [CrossRef]
  39. Jiu, J., Ali, S., Nazar, R., & Khan, A. I. (2024). Breaking barriers to climate finance: Asymmetric nexus between green investment and energy innovation in Europe. Heliyon, 10(3), e25096. [Google Scholar] [CrossRef]
  40. Khalil, M. A., & Nimmanunta, K. (2023). Conventional versus green investments: Advancing innovation for better financial and environmental prospects. Journal of Sustainable Finance & Investment, 13(3), 1153–1180. [Google Scholar] [CrossRef]
  41. Kolosok, S., Pimonenko, T., Yevdokymova, A., Hajiyev, N. O., Palienko, M., & Prasol, L. (2020). Energy efficiency policy: Impact of green innovation. Marketing and Management of Innovations, 4, 50–60. [Google Scholar] [CrossRef]
  42. Kwilinski, A. (2023a). E-commerce and sustainable development in the European Union: A comprehensive analysis of SDG2, SDG12, and SDG13. Forum Scientiae Oeconomia, 11(3), 87–107. [Google Scholar] [CrossRef]
  43. Kwilinski, A. (2023b). The relationship between sustainable development and digital transformation: Bibliometric analysis. Virtual Economics, 6(3), 56–69. [Google Scholar] [CrossRef]
  44. Kwilinski, A. (2024). Understanding the nonlinear effect of digital technology development on CO2 reduction. Sustainable Development, 32(5), 5797–5811. [Google Scholar] [CrossRef]
  45. Kwilinski, A., & Kardas, M. (2024). Efficiency of full and fractional factorial designs in quality management: A case study on identifying key adhesion factors. Forum Scientiae Oeconomia, 12(3), 138–155. [Google Scholar] [CrossRef]
  46. Kwilinski, A., Lyulyov, O., & Pimonenko, T. (2023). The degree of coupling and coordination of digital business and digital governance in the context of sustainable development. Information, 14(12), 651. [Google Scholar] [CrossRef]
  47. Kwilinski, A., Lyulyov, O., & Pimonenko, T. (2024a). Green economic development and entrepreneurship transformation. Entrepreneurial Business and Economics Review, 12(4), 157–175. [Google Scholar] [CrossRef]
  48. Kwilinski, A., Lyulyov, O., & Pimonenko, T. (2024b). Reducing transport sector CO2 emissions patterns: Environmental technologies and renewable energy. Journal of Open Innovation: Technology, Market, and Complexity, 10(1), 100217. [Google Scholar] [CrossRef]
  49. Kwilinski, A., Lyulyov, O., & Pimonenko, T. (2025). The role of green finance in attaining environmental sustainability within a country’s ESG performance. Journal of Innovation & Knowledge, 10(2), 100674. [Google Scholar] [CrossRef]
  50. Kwilinski, A., Lyulyov, O., Pimonenko, T., & Pudryk, D. (2024c). Global image of countries and immigration flows. Central European Business Review, 13(4), 83–101. [Google Scholar] [CrossRef]
  51. Kwilinski, A., Merritt, P., & Wróblewski, Ł. (2024d). Advancing sustainable development goals through digital culture: A global research overview. Cultural Management: Science and Education, 8(1), 61–80. [Google Scholar] [CrossRef]
  52. Kwilinski, A., Szczepańska-Woszczyna, K., Lyulyov, O., & Pimonenko, T. (2024e). Digital public services: Catalysts for healthcare efficiency. Journal of Open Innovation: Technology, Market, and Complexity, 10(3), 100319. [Google Scholar] [CrossRef]
  53. Kwilinski, A., Szczepańska-Woszczyna, K., Lyulyov, O., & Pimonenko, T. (2024f). Government effectiveness and immigrant outflows: Their role in advancing greenfield investment globally and regionally. Polish Journal of Management Studies, 29(2), 365–379. [Google Scholar] [CrossRef]
  54. Labudova, V., & Fodranova, I. (2024). The impact of socioeconomic factors on digital skills in the population of the EU 27 countries. Virtual Economics, 7(3), 81–101. [Google Scholar] [CrossRef] [PubMed]
  55. Lai, Y., & Sohail, M. T. (2022). Revealing the effects of corporate governance on green investment and innovation: Do laws and policy matter? Frontiers in Psychology, 13, 961122. [Google Scholar] [CrossRef] [PubMed]
  56. Lai, Z., Lou, G., Zhang, T., & Fan, T. (2023). Financing and coordination strategies for a manufacturer with limited operating and green innovation capital: Bank credit financing versus supplier green investment. Annals of Operations Research, 331, 85–119. [Google Scholar] [CrossRef]
  57. Li, C., Razzaq, A., Irfan, M., & Luqman, A. (2023). Green innovation, environmental governance, and green investment in China: Exploring the intrinsic mechanisms under the framework of COP26. Technological Forecasting and Social Change, 194, 122708. [Google Scholar] [CrossRef]
  58. Li, L., & Du, L. (2024). Impact of natural resources, financial innovation, and policy robustness on economic growth: A study of China and India. Resources Policy, 93, 105080. [Google Scholar] [CrossRef]
  59. Li, L., Ma, X., Ma, S., & Gao, F. (2024). Role of green finance in regional heterogeneous green innovation: Evidence from China. Humanities and Social Sciences Communications, 11, 1011. [Google Scholar] [CrossRef]
  60. Li, S., Yu, Y., Jahanger, A., Usman, M., & Ning, Y. (2022). The impact of green investment, technological innovation, and globalization on CO2 emissions: Evidence from MINT countries. Frontiers in Environmental Science, 10, 868704. [Google Scholar] [CrossRef]
  61. Luo, R., Ullah, S., & Ali, K. (2021). Pathway toward sustainability in selected Asian countries: Influence of green investment, technology innovations, and economic growth on CO2 emission. Sustainability, 13(22), 12873. [Google Scholar] [CrossRef]
  62. Lv, D., & Zhou, C. (2023). Can green finance reform and innovation improve the green investment of heavily polluting enterprises? Sustainability, 15(15), 11677. [Google Scholar] [CrossRef]
  63. Ma, M., Zhu, X., Liu, M., & Huang, X. (2023). Combining the role of green finance and environmental sustainability on green economic growth: Evidence from G-20 economies. Renewable Energy, 207, 128–136. [Google Scholar] [CrossRef]
  64. Madhani, P. M. (2010). Resource based view (RBV) of competitive advantage: An overview. In P. Madhani (Ed.), Resource based view: Concepts and practices (pp. 3–22). The Icfai University Press. [Google Scholar]
  65. Musibau, H. O., Adedoyin, F. F., & Shittu, W. O. (2021). A quantile analysis of energy efficiency, green investment, and energy innovation in most industrialized nations. Environmental Science and Pollution Research, 28(15), 19473–19484. [Google Scholar] [CrossRef] [PubMed]
  66. Nie, P., Zhong, J., Ren, Z., & Huang, J. (2024). Sustainable financing solutions for the growth of resource-driven economies in the digital economy age. Resources Policy, 98, 105350. [Google Scholar] [CrossRef]
  67. Nurpeisova, A., Mauina, G., Niyazbekova, S., Jumagaliyeva, A., Zholmukhanova, A., Tyurina, Y. G., & Maisigova, L. A. (2020). Impact of R&D expenditures on the country’s innovative potential: A case study. Entrepreneurship and Sustainability Issues, 8(2), 682. [Google Scholar] [CrossRef]
  68. Nuryanto, U. W., Basrowi, Q., Iqbal, & Pratiwi, I. (2024). Harmonizing eco-control and eco-friendly technologies with green investment: Pioneering business innovation for corporate sustainability in the Indonesian context. Environmental Challenges, 15, 100952. [Google Scholar] [CrossRef]
  69. Ozili, P. K. (2022). Green finance research around the world: A review of literature. International Journal of Green Economics, 16(1), 56–75. [Google Scholar] [CrossRef]
  70. Panchenko, V., Harust, Y., Us, Y., Korobets, O., & Pavlyk, V. (2020). Energy-efficient innovations: Marketing, management, and law supporting. Marketing and Management of Innovations, 1, 256–264. [Google Scholar] [CrossRef]
  71. Păunică, M., Manole, A., Motofei, C., & Tănase, G. L. (2021). Resilience of the European Union economies. An analysis of Granger causality at the level of gross domestic product. Amfiteatru Economic, 23(15), 914–933. [Google Scholar] [CrossRef]
  72. Peng, G., Han, M., & Yuan, H. (2023). Artificial intelligence drives the coordinated development of green finance and the real economy: Empirical evidence from the Chinese provincial level. Journal of the Knowledge Economy, 15(3), 10257–10295. [Google Scholar] [CrossRef]
  73. Polcyn, J., Lyulyov, O., Pimonenko, T., & Vovk, V. (2023). An attempt at a simplified determination of the brand value of a university. Forum Scientiae Oeconomia, 11(3), 53–67. [Google Scholar] [CrossRef]
  74. Qamruzzaman, M., & Karim, S. (2023). Clarifying the relationship between green investment, technological innovation, financial openness, and renewable energy consumption in MINT. Heliyon, 9(11), e21083. [Google Scholar] [CrossRef]
  75. Rasoulinezhad, E., & Taghizadeh-Hesary, F. (2022). Role of green finance in improving energy efficiency and renewable energy development. Energy Efficiency, 15, 14. [Google Scholar] [CrossRef]
  76. Raza, A., Azam, K., Khan, A. U. I., & Badshah, W. (2024). Balancing growth and sustainability: The impact of Greenfield investment on trade adjusted carbon emissions. Sustainable Futures, 8, 100253. [Google Scholar] [CrossRef]
  77. Sharif, A., Kocak, S., Khan, H. H. A., Uzuner, G., & Tiwari, S. (2023). Demystifying the links between green technology innovation, economic growth, and environmental tax in ASEAN-6 countries: The dynamic role of green energy and green investment. Gondwana Research, 115, 98–106. [Google Scholar] [CrossRef]
  78. Shi, Y., & Yang, B. (2025). Green finance instruments and empowering sustainability in East Asian economies. Humanities and Social Sciences Communications, 12, 11. [Google Scholar] [CrossRef]
  79. Soh, W. N., Lau, W. T., Mazlan, N. S., & Tun, Y. L. (2024). Is green always beneficial? Assessing the true impact of greenfield investments on green economy-Evidence from selected Asean countries. International Journal of Academic Research in Business and Social Sciences, 14(5), 578–591. [Google Scholar] [CrossRef]
  80. Stern, D. I. (1998). Progress on the environmental Kuznets curve? Environment and Development Economics, 3(2), 173–196. [Google Scholar] [CrossRef]
  81. Surya, B. K., Kot, S., Astawa, I. P., Rihayana, I. G., & Arsha, I. M. R. M. (2024). Unlocking sustainability through innovation: A green HR approach for the hospitality industry. Virtual Economics, 7(2), 50–62. [Google Scholar] [CrossRef] [PubMed]
  82. Szczepańska-Woszczyna, K., Vysochyna, A., & Kwilinski, A. (2024). Public health efficiency and country competitiveness: Empirical study in prepandemic and pandemic periods. Forum Scientiae Oeconomia, 12(1), 151–166. [Google Scholar] [CrossRef]
  83. Tekin, I. H., & Kocaoglu, D. F. (2011). Bibliometric analysis of green innovations, green investments, and green venture capital. Portland International Center for Management of Engineering and Technology, Proceedings (PICMET). [Google Scholar]
  84. Tolliver, C., Fujii, H., Keeley, A. R., & Managi, S. (2021). Green innovation and finance in Asia. Asian Economic Policy Review, 16(1), 67–87. [Google Scholar] [CrossRef]
  85. UNCTAD. (2024). Value of announced greenfield FDI projects, by source 2003–2023. Available online: https://unctad.org (accessed on 24 December 2024).
  86. Wan, X., Wang, Y., Qiu, L., Zhang, K., & Zuo, J. (2022). Executive green investment vision, stakeholders’ green innovation concerns, and enterprise green innovation performance. Frontiers in Environmental Science, 10, 997865. [Google Scholar] [CrossRef]
  87. Wang, M., Wang, W., Du, S., Li, C., & He, Z. (2020). Causal relationships between carbon dioxide emissions and economic factors: Evidence from China. Sustainable Development, 28(1), 73–82. [Google Scholar] [CrossRef]
  88. Wang, Q., Sun, T., & Li, R. (2025). Does artificial intelligence (AI) enhance green economy efficiency? The role of green finance, trade openness, and R&D investment. Humanities and Social Sciences Communications, 12, 12. [Google Scholar] [CrossRef]
  89. Wei, X., & Hu, W. (2023). Revisiting the resources curse hypothesis in China: Exploring the asymmetric effect of green investment and green innovation. Resources Policy, 85, 103974. [Google Scholar] [CrossRef]
  90. Xiao, Z., & Qamruzzaman, M. (2022). Nexus between green investment and technological innovation in BRI nations: What is the role of environmental sustainability and domestic investment? Frontiers in Environmental Science, 10, 993264. [Google Scholar] [CrossRef]
  91. Xu, T., Zhao, J., & Chen, T. (2024). The role of financial innovation in carbon intensity reduction: Perspectives from energy structure transition and fiscal policies. Environmental Science and Pollution Research, 31(26), 38448–38464. [Google Scholar] [CrossRef]
  92. Zahedmanesh, A., Verbic, G., Rajarathnam, G., Weihs, G. F., Shikata, K., Matsuda, N., & Abbas, A. (2024). Optimal design of greenfield energy hubs in the context of carbon neutral energy supply. Energy, 305, 132284. [Google Scholar] [CrossRef]
  93. Zeraibi, A., Jahanger, A., Adebayo, T. S., Ramzan, M., & Yu, Y. (2023). Greenfield investments, economic complexity, and financial inclusion-environmental quality nexus in BRICS Countries: Does renewable energy transition matter? Gondwana Research, 117, 139–154. [Google Scholar] [CrossRef]
  94. Zhang, D., Mohsin, M., Rasheed, A. K., Chang, Y., & Taghizadeh-Hesary, F. (2021). Public spending and green economic growth in the BRI region: Mediating role of green finance. Energy Policy, 153, 112256. [Google Scholar] [CrossRef]
  95. Zhang, H., Shao, Y., Han, X., & Chang, H.-L. (2022). A road toward ecological development in China: The nexus between green investment, natural resources, green technology innovation, and economic growth. Resources Policy, 77, 102746. [Google Scholar] [CrossRef]
  96. Zhang, X., Song, Y., & Zhang, M. (2023). Exploring the relationship of green investment and green innovation: Evidence from Chinese corporate performance. Journal of Cleaner Production, 412, 137444. [Google Scholar] [CrossRef]
  97. Zhang, Y., Lan, M., Zhao, Y., Su, Z., Hao, Y., & Du, H. (2024a). Regional carbon emission pressure and corporate green innovation. Applied Energy, 360, 122625. [Google Scholar] [CrossRef]
  98. Zhang, Y., Shou, S., & Li, Y. (2024b). Does green investment impact corporate green innovation? Empirical evidence from Chinese-listed companies. Frontiers in Environmental Science, 12, 1468843. [Google Scholar] [CrossRef]
  99. Zhao, L., Zhang, Y., Sadiq, M., Vu, H. M., & Ngo, T. Q. (2023). Testing green fiscal policies for green investment, innovation, and green productivity amid the COVID-19 era. Economic Change and Restructuring, 56(5), 2943–2964. [Google Scholar] [CrossRef]
  100. Zheng, H., Li, D., & Cai, J. (2025). Driving green innovation: The impact of digital finance on China’s transition to clean energy. Energy, 318, 134760. [Google Scholar] [CrossRef]
  101. Ziabina, Y., & Navickas, V. (2022). Innovation in energy efficiency management: Role of public governance. Marketing and Management of Innovations, 4, 218–227. [Google Scholar] [CrossRef]
  102. Zimbroff, A. (2023). The future of extension programming postpandemic: The need for diverse approaches. The Journal of Extension, 61(2), 6. [Google Scholar] [CrossRef]
Figure 1. Graphical representation of the eigenvalue stability conditions for the Visegrad countries. Note: (a1a3)—Poland; (b1b3)—the Slovak Republic; (c1c3)—Hungary; (d1d3)—the Czech Republic; a—X1; b—X2; c—X3. Source: Developed by the authors.
Figure 1. Graphical representation of the eigenvalue stability conditions for the Visegrad countries. Note: (a1a3)—Poland; (b1b3)—the Slovak Republic; (c1c3)—Hungary; (d1d3)—the Czech Republic; a—X1; b—X2; c—X3. Source: Developed by the authors.
Jrfm 18 00140 g001
Figure 2. Impulse response functions (IRFs) with confidence intervals for Poland ((a1a3)—impulses X1, X2, X3 and response Y; (b1b3)—impulses Y and responses X1, X2, X3). Source: Developed by the authors.
Figure 2. Impulse response functions (IRFs) with confidence intervals for Poland ((a1a3)—impulses X1, X2, X3 and response Y; (b1b3)—impulses Y and responses X1, X2, X3). Source: Developed by the authors.
Jrfm 18 00140 g002
Figure 3. Impulse response functions (IRFs) with confidence intervals for the Slovak Republic ((a1a3)—impulses X1, X2, X3 and response Y; (b1b3)—impulses Y and responses X1, X2, X3). Source: Developed by the authors.
Figure 3. Impulse response functions (IRFs) with confidence intervals for the Slovak Republic ((a1a3)—impulses X1, X2, X3 and response Y; (b1b3)—impulses Y and responses X1, X2, X3). Source: Developed by the authors.
Jrfm 18 00140 g003
Figure 4. Impulse response functions (IRFs) with confidence intervals for Hungary ((a1a3)—impulses X1, X2, X3 and response Y; (b1b3)—impulses Y and responses X1, X2, X3). Source: Developed by the authors.
Figure 4. Impulse response functions (IRFs) with confidence intervals for Hungary ((a1a3)—impulses X1, X2, X3 and response Y; (b1b3)—impulses Y and responses X1, X2, X3). Source: Developed by the authors.
Jrfm 18 00140 g004
Figure 5. Impulse response functions (IRFs) with confidence intervals for the Czech Republic ((a1a3)—impulses X1, X2, X3 and response Y; (b1b3)—impulses Y and responses X1, X2, X3). Source: Developed by the authors.
Figure 5. Impulse response functions (IRFs) with confidence intervals for the Czech Republic ((a1a3)—impulses X1, X2, X3 and response Y; (b1b3)—impulses Y and responses X1, X2, X3). Source: Developed by the authors.
Jrfm 18 00140 g005
Figure 6. Results of sample forecasts with confidence bands with VAR models for Poland. (Note: (ac)—differences in independent variables X1, X2, X3; dependent variable—difference in Y). Source: Developed by the authors.
Figure 6. Results of sample forecasts with confidence bands with VAR models for Poland. (Note: (ac)—differences in independent variables X1, X2, X3; dependent variable—difference in Y). Source: Developed by the authors.
Jrfm 18 00140 g006
Figure 7. Results of sample forecasts with confidence bands with VAR models for the Slovak Republic. (Note: (ac)—differences in independent variables X1, X2, X3; dependent variable—difference in Y). Source: Developed by the authors.
Figure 7. Results of sample forecasts with confidence bands with VAR models for the Slovak Republic. (Note: (ac)—differences in independent variables X1, X2, X3; dependent variable—difference in Y). Source: Developed by the authors.
Jrfm 18 00140 g007
Figure 8. Results of sample forecasts with confidence bands with VAR models for Hungary. (Note: (ac)—differences in independent variables X1, X2, X3; dependent variable—difference in Y). Source: Developed by the authors.
Figure 8. Results of sample forecasts with confidence bands with VAR models for Hungary. (Note: (ac)—differences in independent variables X1, X2, X3; dependent variable—difference in Y). Source: Developed by the authors.
Jrfm 18 00140 g008
Figure 9. Results of sample forecasts with confidence bands with VAR models for the Czech Republic. (Note: (ac)—differences in independent variables X1, X2, X3; dependent variable—difference in Y). Source: Developed by the authors.
Figure 9. Results of sample forecasts with confidence bands with VAR models for the Czech Republic. (Note: (ac)—differences in independent variables X1, X2, X3; dependent variable—difference in Y). Source: Developed by the authors.
Jrfm 18 00140 g009
Table 1. Descriptive statistics of the analyzed variables.
Table 1. Descriptive statistics of the analyzed variables.
VariableExplanationSourceCountryMeanSDMinMax
YGreenfield investmentUNCTAD (2024)Poland1838.105909.967545.3034029.871
Slovak Republic480.846870.92912.2003532.380
Hungary886.903796.54196.3902598.820
Czech Republic2892.0122641.238505.66812,020.250
X1Business enterprise expenditure on R&DEurostat (2024)Poland2515.2711867.379535.3756285.632
Slovak Republic304.876151.97299.710615.047
Hungary1107.192457.357492.0211909.860
Czech Republic1914.593742.8801038.3553484.369
X2Total high-tech trade in million euro and as a percentage of totalPoland9005.0885198.3811875.41419,403.870
Slovak Republic4664.0061788.7731671.8086730.112
Hungary10,095.4402459.9077393.85515,128.160
Czech Republic17,474.6707593.7098769.29634,472.100
X3Patent applications to the EPO by country of applicants and inventorsPoland383.063156.774104607
Slovak Republic37.56310.7141954
Hungary105.9387.85395119
Czech Republic176.00042.19696248
Source: Developed by the authors.
Table 2. Outputs of the unit root tests.
Table 2. Outputs of the unit root tests.
CountryVariableAt LevelAt DifferenceAt LevelAt Difference
Statisticp ValueStatisticp ValueStatisticp ValueStatisticp Value
Augmented Dickey–Fuller TestPhillips–Perron Test
PolandY−4.0340.001−5.5760.000−4.0810.001−8.7030.000
X1−0.6850.974−4.4590.001−0.3640.987−4.6640.000
X2−0.5910.979−4.5580.001−0.8530.960−4.6140.001
X3−2.3290.418−4.2720.003−2.2650.453−4.5150.001
Slovak RepublicY−1.6040.481−4.1440.000−1.6530.455−4.0790.001
X1−1.5690.804−4.5110.001−1.3640.871−4.9330.000
X2−0.5130.982−5.5100.000−0.5770.980−5.8610.000
X3−4.3950.002−5.8230.000−4.6250.000−7.3050.000
HungaryY−2.5540.102−4.2250.000−2.4480.128−4.2700.000
X1−2.6410.261−4.1680.005−2.5840.287−4.4170.002
X2−1.8650.672−3.6800.023−1.8060.701−3.6300.027
X3−5.4930.000−7.5370.000−5.6790.000−10.0930.000
Czech RepublicY−0.9650.765−3.6420.005−0.8920.790−3.6090.005
X1−0.6280.977−3.9600.010−0.1560.992−4.1090.006
X2−0.6500.976−3.9620.009−0.1370.992−4.0920.006
X3−2.7750.206−4.3400.002−2.7030.234−4.6270.000
Source: Developed by the authors.
Table 3. Results of the VAR model.
Table 3. Results of the VAR model.
EquationRMSER2chi2P>chi2EquationRMSER-sqchi2P>chi2
Model 1
PolandSlovak Republic
Y41.7270.938166.7050.000Y101.4640.914118.2490.000
X111.7210.73129.8490.000X19.7960.88182.0810.000
HungaryCzech Republic
Y46.3180.947195.4690.000Y69.7210.84760.7460.000
X113.8600.68223.5350.003X14.3890.89998.2700.000
Model 2
PolandSlovak Republic
Y67.55030.837856.80890.000Y140.2090.75436.7800.000
X210.75430.730329.779250.000X210.5160.55114.7510.022
HungaryCzech Republic
Y79.2830.84459.4680.000Y83.0360.78339.5820.000
X29.5040.69725.2960.001X211.0390.76134.9510.000
Model 3
PolandSlovak Republic
Y48.20960.9174122.12910.0000Y150.4100.81347.8160.000
X32.01380.99815850.6660.0000X317.7340.905104.5810.000
HungaryCzech Republic
Y92.8770.78640.3500.000Y174.9610.72526.3860.001
X35.4560.969345.3260.000X36.2900.9911152.2370.000
Source: Developed by the authors.
Table 4. Results of the Wald test for Granger causality.
Table 4. Results of the Wald test for Granger causality.
Equation\Excludedchi2Prob > chi2Equation\Excludedchi2Prob > chi2
PolandSlovak Republic
Y\X150.1320.000Y\X115.440.001
X1\Y7.00270.136X1\Y36.220.000
Y\X212.3270.015Y\X255.7810.000
X2\Y12.2090.016X2\Y15.9730.003
Y\X334.7970.000Y\X327.3370.000
X3\Y4774.90.000X3\Y40.0630.000
HungaryCzech Republic
Y\X1100.840.000Y\X143.8060.000
X1\Y13.1740.010X1\Y48.8870.000
Y\X227.1720.000Y\X227.6390.000
X2\Y22.9740.000X2\Y18.0270.001
Y\X316.8150.002Y\X30.6160.961
X3\Y68.3530.000X3\Y351.920.000
Source: Developed by the authors.
Table 5. Empirical data of variance decomposition.
Table 5. Empirical data of variance decomposition.
FHImpulse\Response Variable
X1\YY\X1X2\YY\X2X3\YY\X3X1\YY\X1X2\YY\X2X3\YY\X3
PolandSlovak Republic
0000000000000
100.28900.46800.58100.04800.35600.013
20.7540.3110.0000.7420.0010.9850.0010.4410.0410.3830.0110.041
30.7980.3580.0050.7390.0020.9860.0450.5370.0490.6060.0110.044
40.7700.3590.0190.7540.0020.9850.1060.5820.1410.5940.1920.059
50.8140.3540.0450.7730.0020.9850.1160.5840.1370.5930.1990.347
60.8190.3430.0440.7730.0030.9860.1310.5720.1710.5900.1950.408
70.8140.3620.0540.7820.0030.9850.1370.5750.1680.6010.1970.389
80.8150.3600.0530.7820.0030.9830.1480.5590.1670.6350.1770.375
HungaryCzech Republic
0000000000000
100.40600.02800.66000.01600.72700.030
20.0850.5630.0590.2440.0480.6450.6040.0540.2710.8470.0010.377
30.1360.5310.1390.2430.0490.7640.6480.4240.2970.8560.0010.391
40.4680.5660.1600.2670.0490.7880.5840.3130.2660.7850.0030.444
50.3770.5680.3400.2970.0420.8070.8620.2320.2020.8530.0040.443
60.4180.5680.3400.2790.0420.8420.7590.2700.2510.7810.0040.455
70.3710.5380.3470.2790.0440.8480.6600.2880.1800.7890.0040.455
80.3700.5570.3660.3040.0460.8470.7830.1840.1920.8410.0040.459
Note: FP—forecast horizon. Source: Developed by the authors.
Disclaimer/Publisher’s Note: The statements, opinions and data contained in all publications are solely those of the individual author(s) and contributor(s) and not of MDPI and/or the editor(s). MDPI and/or the editor(s) disclaim responsibility for any injury to people or property resulting from any ideas, methods, instructions or products referred to in the content.

Share and Cite

MDPI and ACS Style

Kwilinski, A.; Lyulyov, O.; Pimonenko, T. The Role of Innovation Development in Advancing Green Finance. J. Risk Financial Manag. 2025, 18, 140. https://doi.org/10.3390/jrfm18030140

AMA Style

Kwilinski A, Lyulyov O, Pimonenko T. The Role of Innovation Development in Advancing Green Finance. Journal of Risk and Financial Management. 2025; 18(3):140. https://doi.org/10.3390/jrfm18030140

Chicago/Turabian Style

Kwilinski, Aleksy, Oleksii Lyulyov, and Tetyana Pimonenko. 2025. "The Role of Innovation Development in Advancing Green Finance" Journal of Risk and Financial Management 18, no. 3: 140. https://doi.org/10.3390/jrfm18030140

APA Style

Kwilinski, A., Lyulyov, O., & Pimonenko, T. (2025). The Role of Innovation Development in Advancing Green Finance. Journal of Risk and Financial Management, 18(3), 140. https://doi.org/10.3390/jrfm18030140

Article Metrics

Back to TopTop