Next Article in Journal
Foreign Finance and Renewable Energy Transition in D8 Countries: The Moderating Role of Globalization
Previous Article in Journal
An Empirical Comparative Analysis of the Gold Market Dynamics of the Indian and U.S. Commodity Markets
 
 
Font Type:
Arial Georgia Verdana
Font Size:
Aa Aa Aa
Line Spacing:
Column Width:
Background:
Article

Economic Freedom and Banking Performance: Capital Buffers as the Key to Profitability and Stability in Liberalized Markets

1
Faculty of Economics and Business, Universitas Sumatera Utara, North Sumatera 20222, Indonesia
2
Global Business Department, Busan International College, Tongmyong University, Busan 48520, Republic of Korea
3
Faculty of Economics and Business, Mulawarman University, East Kalimantan 75119, Indonesia
4
Prosemora Consulting, Jakarta 13220, Indonesia
*
Author to whom correspondence should be addressed.
J. Risk Financial Manag. 2025, 18(10), 544; https://doi.org/10.3390/jrfm18100544
Submission received: 20 August 2025 / Revised: 17 September 2025 / Accepted: 19 September 2025 / Published: 25 September 2025
(This article belongs to the Section Economics and Finance)

Abstract

This study examines the moderating effect of bank capitalization on the relationship between economic freedom and banking performance, offering comparative evidence from both advanced and emerging economies. Using an unbalanced panel of 213 countries from 1993 to 2018, this study applies a two-step System Generalized Method of Moments approach to address dynamic effects, endogeneity, and unobserved heterogeneity. The results show that economic freedom exerts a negative and significant impact on bank profitability (ROA and ROE), particularly in emerging markets with weaker institutional safeguards. Strong internal capital buffers, on the other hand, mitigate these adverse effects and enhance resilience, supporting stable profitability under liberalized conditions. Regulatory capital shows a less consistent and sometimes restrictive role. Disaggregated results indicate that equity buffers most effectively cushion the risks of financial and investment freedom, whereas trade freedom is less sensitive to capital levels. The findings emphasize that successful liberalization depends on institutional capacity and capitalization strength, highlighting the importance of tailored prudential frameworks. The study contributes to debates on financial liberalization, Basel III, macroprudential regulation, and bank risk management, underscoring that a “one-size-fits-all” liberalization strategy may undermine stability and efficiency unless supported by robust capital buffers.

1. Introduction

The issue of economic freedom has historically been a significant subject in international economic discussions. It is widely believed that economic freedom promotes the development of a robust banking system, which in turn supports long-term economic growth. Empirical studies often confirm this view, showing that economic freedom is positively associated with financial development and economic outcomes (Carlsson & Lundström, 2002; Dawson, 2003; Karabegovic et al., 2003; Piątek et al., 2013). Baier et al. (2012) argue that increasing economic freedom diminishes the probability of banking crises. Similarly, Shehzad and De Haan (2009) find that financial liberalization, often used as a proxy for greater economic freedom in financial markets, can contribute to lower systemic risk.
Despite these findings, the relationship between economic freedom and bank performance remains contested. Critics warn that liberalization and deregulation may, under certain conditions, undermine stability by encouraging excessive risk-taking and weakening supervisory oversight (J. E. Stiglitz, 2009). Past financial crises have been linked to rapid liberalization (Demirgüç-Kunt & Detragiache, 1998; Kaminsky & Reinhart, 1999; Soedarmono, 2011). Economic freedom can also intensify competition, exerting downward pressure on bank profitability (Demirgüç-Kunt et al., 2003). Conversely, other studies report that liberalization enhances efficiency and performance (Al-Gasaymeh, 2018; Chortareas et al., 2013; Ghosh, 2016; Gropper et al., 2015; Mavrakana & Psillaki, 2019; Sufian & Habibullah, 2010a, 2010b). These conflicting results highlight that the effects of economic freedom are not uniform but depend on institutional and market contexts.
One of the most important contextual factors is bank capitalization. Capital buffers serve as shock absorbers, allowing banks to sustain operations and maintain confidence in times of market stress. Capital also improves long-term profitability and stability (Athanasoglou et al., 2008; Berger & Bouwman, 2013; Chortareas et al., 2013; De Jonghe, 2010; Laeven & Levine, 2009). At the same time, robust regulatory frameworks are essential for guiding bank behavior. Klomp and de Haan (2014) stress that supervisory quality and capital regulation play a vital role in mitigating risks, particularly in emerging economies. Thus, sufficient capitalization is expected to perform two critical functions: safeguarding stability and enhancing performance (Barth et al., 2004; Santoso et al., 2021; Yudaruddin, 2017).
Empirical evidence shows that developed economies, where institutions are strong and regulatory enforcement is consistent, tend to benefit more from economic freedom (de Almeida et al., 2024; Hung et al., 2024). Emerging markets, however, face weaker institutional capacity, uneven enforcement, and higher exposure to global shocks, which may limit the benefits of liberalization (Bjørnskov, 2016; Claessens & Yurtoglu, 2013). This divergence suggests that capitalization may play a moderating role in determining whether economic freedom strengthens or undermines banking outcomes.
This study builds on these debates by examining the interaction between economic freedom, bank capitalization, and bank performance across both advanced and emerging economies. Using a panel dataset of 213 countries from 1993 to 2018, we provide one of the most comprehensive analyses to date. Our work extends Demirgüç-Kunt et al. (2003), who found that economic freedom tends to reduce banks’ net interest margins, by incorporating capitalization as a moderating factor and comparing different country contexts. In doing so, we address a gap in the literature, as prior studies have largely overlooked the combined role of economic freedom and capitalization on banking outcomes.
This paper makes three contributions. First, it provides large-scale evidence that distinguishes between advanced and emerging markets, showing how institutional differences shape the freedom–performance nexus. Second, it incorporates bank capitalization as a moderating factor, clarifying how capital buffers mitigate or amplify the effects of liberalization. Third, and most importantly, the novelty of this study lies in combining these perspectives: we not only use a comprehensive global dataset but also compare two different forms of capitalization (internal equity-to-assets ratio and regulatory capital adequacy ratio) to evaluate which type of capital is more effective in supporting resilience under liberalized conditions.
In line with these aims, this study seeks to answer three core questions: does economic freedom have a significant impact on bank performance, what is the role of bank capitalization in directly influencing performance, and how does capitalization moderate the relationship between economic freedom and bank performance across different institutional contexts? By addressing these questions, the study contributes both theoretically, by clarifying the conditions under which liberalization improves or undermines bank outcomes, and practically, by informing regulators and policymakers on the importance of strengthening capitalization in tandem with financial liberalization.
The remainder of this paper is organized as follows. Section 2 reviews the relevant theoretical and empirical literature. Section 3 describes the data and methodology. Section 4 presents the empirical results, followed by a separate discussion in Section 5. Section 6 concludes the study.

2. Literature Review

2.1. Economic Freedom and Bank Performance

Economic freedom can be defined as the degree to which individuals and firms are able to make economic decisions without undue interference from government or other authorities (de Haan & Sturm, 2000; Hall & Lawson, 2014). This freedom usually encompasses multiple dimensions, including property rights, financial freedom, trade openness, and investment liberalization, which together shape the institutional and regulatory environment for economic activity (Hall & Lawson, 2014; Justesen, 2008). Historically, increased economic freedom has been associated with stronger macroeconomic outcomes, more developed financial markets, and improved institutional quality (Bergh & Karlsson, 2010; Carlsson & Lundström, 2002; Heckelman, 2000). Empirical studies also link higher levels of economic freedom with enhanced entrepreneurship, increased foreign investment, and more stable monetary environments (Angulo-Guerrero et al., 2017; Economou, 2019; Jackson, 2017; Nasir & Hassan, 2011).
Economic freedom is closely connected to the processes of deregulation and liberalization, which are often used as proxies in empirical studies. Although sometimes treated as interchangeable, these concepts carry different meanings. Deregulation refers to the removal or relaxation of domestic rules and restrictions, such as interest rate ceilings or directed credit programs (Aalbers, 2016; Battilossi & Reis, 2016). liberalization refers more broadly to opening financial markets to cross-border capital flows, foreign competition, and new financial products (Ahmed, 2013; Gopalan, 2015). Both processes expand the scope of economic freedom, but they may also create vulnerabilities when institutional capacity, regulatory enforcement, and supervisory oversight are weak.
The effects of economic freedom on banking performance differ significantly across contexts. In advanced economies, higher levels of economic freedom are generally associated with greater efficiency, profitability, and financial stability due to strong regulatory capacity and robust legal institutions (Chortareas et al., 2013; Gropper et al., 2015). In contrast, in many emerging markets, liberalization has produced mixed results. Some studies report that liberalization fosters efficiency and expands access to credit, while others note increased instability, lower profit margins, and heightened systemic risk when institutional capacity is limited (Demirgüç-Kunt et al., 2003; Santiago et al., 2020; Sarpong-Kumankoma et al., 2020). These findings suggest that the impact of economic freedom on bank performance is shaped not only by market competition but also by institutional and supervisory conditions, which explain the positive outcomes in advanced economies and the more uncertain or adverse effects observed in emerging markets.

2.2. Bank Capitalization, Moderating Role, and Bank Performance

Bank capitalization, typically proxied by equity-to-assets (CAPTA) and capital adequacy ratio (CAR), is widely recognized as a pillar of banking soundness. Well-capitalized banks are better able to absorb credit and market shocks, meet regulatory obligations, and maintain stakeholder confidence. A strong body of research confirms a positive link between capitalization and performance (Athanasoglou et al., 2008; Berger & Bouwman, 2013; De Jonghe, 2010; Yudaruddin, 2017), including in developing markets (Gupta & Mahakud, 2020; Mehzabin et al., 2022).
Equity capital influences bank profitability through its interaction with assets, liabilities, and inherent banking risk (Alkhazali et al., 2024; Mehzabin et al., 2022). Since loans often comprise a large portion of bank assets, credit risk associated with loan portfolios substantially affects ROA; strong equity buffers help absorb losses from bad loans without jeopardizing solvency (Hendrawan et al., 2023; Tabak et al., 2011). Liabilities such as deposits and wholesale funding determine funding costs and liquidity risk exposure, and greater equity capital reduces reliance on unstable funding sources, thereby lowering vulnerability in stress periods (Kayani et al., 2021). While higher equity tends to improve ROA by enhancing stability and reducing default risk, ROE may be constrained because equity dilutes financial leverage and reduces return on equity in high-capital regimes (Berger & Bouwman, 2013; Farooq et al., 2023).
Equity capital also directly enhances financial stability by acting as a loss-absorbing buffer that reduces the probability of bank default and limits systemic contagion (Dagher et al., 2016). Empirical studies show that better-capitalized banks tend to have higher Z-scores, lower non-performing loan ratios, and greater capacity to sustain lending during downturns, thereby supporting both institutional resilience and macro-financial stability (Berger & Bouwman, 2013; Bui et al., 2017; Erdas & Ezanoglu, 2022). Capital cushions further reduce procyclicality by lowering the need for sharp deleveraging in stress episodes and helping preserve credit supply, which in turn limits the amplification of systemic shocks (Berrospide & Edge, 2019).
Despite these benefits, concerns about overcapitalization have been raised. Excessive capital requirements may reduce returns by increasing funding costs and limiting leverage (Dao & Nguyen, 2020; T. D. Q. Le & Ngo, 2020). Evidence shows that under Basel III regimes, stricter requirements can lower profitability in the short term, although they may improve interim earnings stability (Dao & Nguyen, 2020; T. D. Q. Le & Ngo, 2020; T. N. L. Le et al., 2023). These trade-offs highlight that capitalization contributes to resilience but may also constrain bank competitiveness depending on institutional and market conditions.
The broader regulatory framework also influences how capitalization affects performance. Macroprudential regulation plays a critical role by setting loan-to-value ratios, liquidity standards, and systemic buffers that guide banks’ risk-taking (Luu et al., 2024). Empirical studies find that well-designed macroprudential policies foster growth by containing excessive credit cycles and reinforcing stability, while overly restrictive measures can dampen efficiency (Kogler, 2020; Walther, 2016). In emerging economies, stronger frameworks mitigate the destabilizing effects of capital flow liberalization, whereas weak frameworks may amplify financial fragility (Hodula & Ngo, 2022; Kuzman et al., 2022). These findings indicate that the effectiveness of capital buffers depends not only on banks’ internal strength but also on the regulatory setting.
The Basel III framework underscores this link by combining microprudential measures, such as higher capital quality and liquidity ratios, with macroprudential instruments like countercyclical buffers (Krug et al., 2015). Implementation, however, varies across jurisdictions, reflecting national banking structures and supervisory preferences (Howarth & Quaglia, 2016). Larger and medium-sized banks generally adapt more effectively to the new requirements, translating compliance into efficiency gains, while smaller banks face heavier administrative costs and reduced competitiveness (Gržeta et al., 2023). Further evidence shows that harmonization of Basel III standards across developing regions strengthens solvency and reduces non-performing loans, though liquidity buffers may sometimes reduce operational efficiency (Haile et al., 2025). These findings suggest that capitalization cannot be fully understood in isolation but must be evaluated within the broader international regulatory architecture.
Taken together, this literature supports the view that capitalization has direct effects on performance and resilience, but its significance is magnified when considered as a moderating factor. In highly liberalized markets, capital buffers may shield banks from the volatility and competitive pressures that accompany deregulation. Alraheb et al. (2019) and Giannetti (2003) argue that economic openness enhances access to funding but also introduces risks that only well-capitalized banks can manage effectively. Santoso et al. (2021) provide further support, showing that capital amplifies market power and stability in environments with limited regulatory capacity.
This moderating role appears even more salient in emerging and developing economies, where institutional fragility and policy uncertainty are prevalent. In such settings, internal capital buffers function as both shock absorbers and credibility signals, enhancing banks’ ability to weather liberalization-induced disruptions (Saleh & Abu Afifa, 2020; Trung, 2021). Conversely, in advanced markets, where legal enforcement, deposit insurance, and macroprudential oversight are stronger, the dependence on internal capital may be lower.

2.3. Theoretical Framework and Hypotheses

This study draws on two complementary theoretical perspectives to explain how economic freedom and bank capitalization jointly influence bank performance. The market discipline perspective suggests that greater economic freedom, by promoting competition and transparency, encourages banks to operate more efficiently and prudently (Clark & Lee, 2006; De Vita et al., 2024). In this framework, well-functioning markets reward sound institutions and penalize inefficient ones, which should translate into stronger profitability and stability (Bulut, 2012). However, when regulation is weak, the same competitive pressures can lead to excessive risk-taking and financial fragility (Demirgüç-Kunt et al., 2003; Haq et al., 2025).
The buffer capital perspective emphasizes the stabilizing role of strong capitalization. Capital acts as both a cushion against losses and a signal of credibility, allowing banks to maintain solvency, access funding more easily, and sustain lending during downturns (Alkhazali et al., 2024; Berger & Bouwman, 2013). In contexts of liberalization and greater economic freedom, capitalization provides an internal safeguard that helps banks withstand increased volatility and competitive pressures (Dursun-de Neef et al., 2023; Trung, 2021). Together, these perspectives suggest that the impact of economic freedom on bank performance depends critically on capitalization levels and the broader institutional setting.
Building on these theoretical foundations, this study tests three hypotheses. First, we expect economic freedom to have a positive effect on bank performance in advanced economies, where strong institutions and effective supervision support competitive efficiency. Second, we expect bank capitalization to have a positive effect on performance across both contexts, as well-capitalized banks are better able to absorb shocks and sustain returns. Third, we expect bank capitalization to moderate the relationship between economic freedom and performance, such that banks with higher capitalization are more resilient to the potential adverse effects of liberalization, especially in emerging markets. Accordingly, the conceptual framework is illustrated in Figure 1 and the following hypotheses are proposed:
H1. 
Economic freedom has a positive effect on bank performance (ROA and ROE);
H2. 
Bank capitalization has a positive effect on bank performance (ROA and ROE);
H3. 
Bank capitalization moderates the relationship between economic freedom and bank performance.

3. Materials and Methods

3.1. Research Materials

This study utilizes an unbalanced panel dataset at the country level, sourced from the World Bank’s Global Financial Development Database (GFDD), encompassing 213 countries from 1993 to 2018. The period ends in 2018 because, although newer data exist, post-2018 coverage is incomplete across several key indicators, which would compromise cross-country comparability.
Countries are classified into advanced and emerging economies based on the International Monetary Fund (IMF) World Economic Outlook classification (IMF, 2023). Advanced economies are defined by higher per capita income, more developed financial systems, and stronger legal and regulatory institutions, whereas emerging economies typically exhibit lower income, less mature banking systems, and greater vulnerability to external shocks.
Bank performance is proxied by return on assets (ROA) and return on equity (ROE), which are standard measures of banking profitability (Athanasoglou et al., 2008; Berger & Bouwman, 2013). ROA captures the ability of management to generate earnings from assets, while ROE reflects the returns to shareholders and incorporates leverage effects.
The main explanatory variables are economic freedom (EF) and bank capitalization. Economic freedom is measured using the Heritage Foundation’s Index of Economic Freedom, which aggregates 12 indicators across four pillars, namely Rule of Law, Government Size, Regulatory Efficiency, and Market Openness, into a composite score ranging from 0 to 100. Each component is scored on a scale from 0 to 100, with higher scores indicating greater freedom. The pillar scores are calculated as the simple average of their component indicators, and the overall index is the unweighted average of the four pillars. This methodology has been widely adopted in empirical research on finance and banking to capture institutional and policy environments (Al-Gasaymeh, 2018; Mavrakana & Psillaki, 2019).
Bank capitalization is proxied by the capital-to-assets ratio (CAPTA), which reflects the proportion of equity relative to total assets and represents the financial buffer that enhances solvency and reduces risk (Athanasoglou et al., 2008; De Jonghe, 2010; Yudaruddin, 2017). In addition, the capital adequacy ratio (CAR) is incorporated into the moderating role analysis to capture risk-adjusted capitalization. CAR is calculated as the ratio of regulatory capital (Tier 1 and Tier 2) to risk-weighted assets, where risk weights account for credit, market, and operational exposures.
Control variables commonly used in the literature are also included. Bank competition (COMP) is proxied by the Boone indicator, which measures the elasticity of profits with respect to marginal costs (Boone, 2008). This index is widely used in cross-country banking studies because it reflects efficiency-based competition rather than simple market concentration. Compared with structural measures such as CR or HHI, or behavioral alternatives such as the Lerner index or Panzar–Rosse H-statistic, the Boone indicator is less sensitive to differences in banking structures across countries and provides greater comparability in heterogeneous datasets (Schaeck & Cihák, 2014; van Leuvensteijn et al., 2011). Credit risk is proxied by the non-performing loan ratio (NPL) (Lafuente et al., 2019). The loan-to-deposit ratio (LDR) reflects credit provision relative to available funding sources. Operational inefficiency is measured by the overhead cost ratio (OVER), calculated as operating expenses over total assets (Dietrich & Wanzenried, 2011; Tan, 2016). Liquidity (LIQ) is defined as the ratio of liquid assets, including cash, reserves with central banks, and government securities, to deposits and short-term funding (Demirgüç-Kunt & Detragiache, 1998). Macroeconomic conditions are proxied by GDP growth (GDPG) (Mamatzakis & Bermpei, 2014). Net interest margin (NIM) is included as an indicator of intermediation efficiency, reflecting banks’ ability to generate interest income relative to their earning assets. In the analysis, NIM is used as a complementary performance measure to test the robustness of results, particularly in capturing how economic freedom and capitalization affect the efficiency of banks’ interest-related activities.
A detailed summary of all variables, their measurements, and data sources is provided in Table 1.

3.2. Research Methods

This study employs a two-stage empirical strategy to examine the effects of economic freedom and bank capitalization on bank performance across countries. The baseline specification follows a dynamic panel data approach, allowing for path dependency in bank performance and mitigating potential endogeneity and reverse causality concerns.
In the first stage, the following dynamic equation is estimated:
P E R F i t =   β 0 + β 1   P E R F i , t 1 + β 2 E F i , t + β 3 C A P T A i , t +   j = 1 j β 4 C V i , t j +   ε i t
where P E R F i t represents the bank performance of country i at time t, proxied by either return on assets (ROA) or return on equity (ROE). The term P E R F i , t 1 is the lagged dependent variable that accounts for the persistence of performance over time. E F i , t denotes the Index of Economic Freedom, while C A P T A i , t is the capital-to-assets ratio capturing the level of bank capitalization. C V i , t j refers to the vector of control variables, including competition, non-performing loans, loan-to-deposit ratio, overhead costs, liquidity, and GDP growth, with j indexing the number of controls. β 0 is the constant term, β 1 , β 2 , β 3 , and β4j are the slope parameters measuring the marginal effects of each explanatory variable, and ε i t is the disturbance term.
In the second stage, the moderating role of capitalization in shaping the relationship between economic freedom and bank performance is tested by including an interaction term:
P E R F i t =   β 0 + β 1   P E R F i , t 1 + β 2 E F i , t + β 3 C A P T A i , t   + β 4 E F i , t × C A P T A i , t +   j = 1 j β 5 C V i , t j +   ε i t
In this specification, the interaction term E F i , t × C A P T A i , t captures whether the effect of economic freedom on performance depends on the level of bank capitalization. The coefficient β4 therefore indicates the moderating effect, showing whether higher capital buffers amplify or weaken the influence of economic freedom on bank profitability and stability.
This specification is estimated separately for advanced economies and emerging markets, classified according to the International Monetary Fund (IMF) World Economic Outlook (IMF, 2023). Distinguishing between these groups makes it possible to assess whether institutional and structural differences moderate the relationship under study. The dynamic panel models are estimated using the two-step System Generalized Method of Moments (System GMM) estimator of Arellano and Bover (1995) and Blundell and Bond (1998), which is suitable for datasets with large cross-sectional units and shorter time dimensions. This estimator accounts for unobserved heterogeneity, simultaneity bias, and endogeneity by using lagged levels and differences in the regressors as instruments, under the assumption of no serial correlation in the error term.
To enhance the reliability of the estimates, the Windmeijer (2005) finite-sample correction is applied to the standard errors, and instrument proliferation is limited through the use of collapsed instruments. Model validity is evaluated using the Arellano–Bond test for second-order serial correlation [AR(2)] and the Hansen J-test for over-identifying restrictions, with failure to reject the null in both cases indicating consistency of the GMM estimators.
During manuscript preparation, Grammarly was used to improve grammar and clarity. AI use was limited to language enhancement and did not influence data analysis, model specification, or interpretation of results.

4. Results

4.1. Descriptive Statistics and Correlation

Descriptive statistics for every variable in both advanced and emerging market economies are shown in Table 2. The average return on assets (ROA) is 1.37%, while the return on equity (ROE) averages 14.30%. When market classification is taken into account, advanced economies show lower average ROA (M = 0.92%) and ROE (M = 10.28%) than emerging markets (M = 1.62% and M = 16.53%, respectively). This suggests that banks operating in less developed financial systems are more profitable.
There is also a noticeable difference in the Economic Freedom (EF) index, with advanced markets having a much higher average score (M = 69.97) than emerging markets (M = 54.90). Interestingly, emerging markets have generally higher levels of bank capitalization as measured by the capital-to-assets ratio (CAPTA) and the regulatory capital adequacy ratio (CAR), suggesting that these areas have stronger capital buffers.
The Boone indicator (COMP), which measures market competition, shows that advanced economies are under more competitive pressure (M = −1.26) than emerging ones (M = −0.14). Key control variables like credit risk (non-performing loans, or NPL), liquidity (LIQ), and the overhead cost ratio (OVER) also show notable variations. The statistical significance of these differences across all variables is confirmed by independent samples t-tests.
Pearson correlation coefficients between the primary variables are shown in Table 3. Given their shared function as profitability indicators, ROA and ROE have a strong correlation (r = 0.6785, p < 0.001). Both ROA and ROE have a negative correlation with EF, indicating that there may be a negative relationship between bank performance and economic liberalization. Furthermore, there is a strong positive correlation between CAPTA and CAR (r = 0.7038, p < 0.001), suggesting that the two capitalization measures are aligned. The inclusion of these variables in the regression models is validated by the fact that all correlation coefficients are below the traditional multicollinearity threshold (r < 0.80).

4.2. Baseline Regression Results

The baseline regression results are shown in Table 4. Columns (1) through (6) report dynamic panel estimates using ROA and ROE as dependent variables for the full sample, as well as for advanced and emerging markets separately. The findings show that Economic Freedom (EF) has a statistically significant and adverse impact on bank performance on both profitability metrics. In emerging markets, where the coefficients are larger in magnitude and more statistically significant, this effect is more noticeable.
The negative correlation suggests that greater economic freedom, which is typified by less regulation and more market openness, can reduce profit margins, especially in banking systems with weak structural foundations. These results are in line with earlier research that suggested liberalization reduces market power, tightens interest margins, and increases competition.
Furthermore, the idea that stronger capitalization improves performance in more developed banking systems is supported by the positive correlation between CAPTA and ROA in advanced markets (p < 0.01). In contrast, the Boone indicator (COMP) shows a strong and positive correlation with performance, especially in emerging markets where profitability seems to be supported by less fierce competition (i.e., higher COMP values).

4.3. Moderating Role of Bank Capitalization (CAPTA)

Figure 2 shows the expected values of return on equity (ROE) and return on assets (ROA) across increasing levels of economic freedom, demonstrating the moderating effect of bank capitalization (CAPTA) on the relationship between EF and bank performance. To provide a better understanding of the interaction effects seen in the regression analysis, each line represents various combinations of market type (emerging or advanced) and capitalization level (low or high).
The slope for advanced markets appears almost flat under both low and high capitalization, as seen in Figure 2a, which shows ROA. This suggests that in more developed financial systems, economic freedom has a negligible impact on bank profitability. Conversely, when capitalization is low, emerging markets exhibit a more pronounced decline in ROA; at high capitalization, the slope becomes more moderate. This pattern suggests that banks in emerging economies are better able to handle the structural changes and competitive pressures brought about by greater economic freedom when they have stronger capital positions.
Figure 2b shows the relationship for ROE and demonstrates a stronger moderating effect. In advanced markets, ROE decreases significantly under low capitalization, but the negative trend is weakened—and nearly neutralized—when capitalization is high. A similar trend can be seen in emerging markets, where the negative effect of economic freedom on ROE is much lessened as capitalization rises. These patterns support the idea that banks with a lot of capital are more stable and can turn economic liberalization into better performance.
The visual trends shown in Figure 2 come from the interaction models that were estimated in this study. Appendix A, Table A1 shows the full regression outputs, including coefficients and significance levels. This table gives the full statistical basis for these results.
The analysis is further extended by investigating the moderating influence of regulatory capital, measured by the capital adequacy ratio (CAR), on the relationship between economic freedom and bank performance. Figure 3 shows how this interaction looks. It shows the predicted values of ROA and ROE at different levels of economic freedom, broken down by market classification (advanced vs. emerging) and regulatory capital levels (low vs. high).
As shown in Figure 3a, which displays ROA, advanced markets show a flat response to economic freedom regardless of CAR levels, indicating limited sensitivity to liberalization in more stable financial systems. In contrast, emerging markets exhibit a notably steeper decline in ROA under low CAR conditions, while this effect becomes considerably more moderate when CAR is high. This suggests that regulatory capital plays a buffering role in less mature financial markets, mitigating the adverse impact of economic freedom on profitability.
Figure 3b reinforces this conclusion through the lens of ROE. The negative slope in emerging markets with low CAR reflects a strong decline in bank performance as economic freedom increases. However, when CAR is high, this downward trend is substantially reduced, demonstrating the stabilizing effect of adequate capital reserves. In advanced markets, meanwhile, both low- and high-CAR scenarios produce relatively stable ROE values, consistent with expectations that mature regulatory frameworks already provide structural protections.
Overall, these findings highlight the role of regulatory capital in supporting bank resilience under liberal economic conditions, particularly in emerging markets. Although the moderating effect of CAR is less pronounced in advanced economies, it remains directionally consistent and underscores the importance of capital adequacy standards in mitigating systemic risk. Full regression results underlying these visualizations are presented in Appendix A, Table A2.
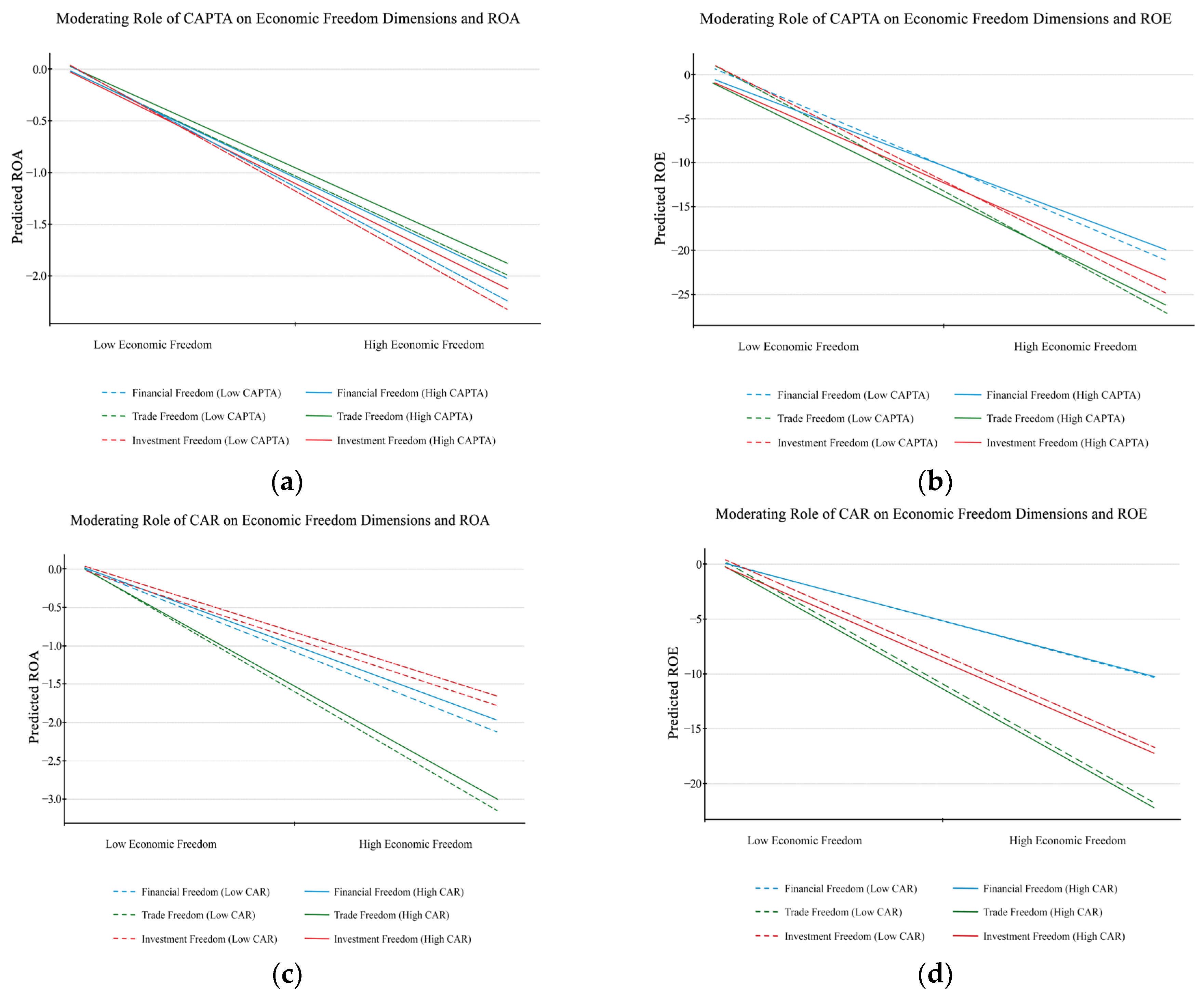
Figure 4 extends this analysis by concentrating on the interaction between bank capital (CAPTA and CAR) and specific dimensions of economic freedom—specifically, financial freedom (FIN), trade freedom (TRADE), and investment freedom (INVT)—in relation to bank performance (ROA and ROE). Each subplot shows how predicted performance changes when capitalization or regulatory capital is low or high.
Figure 4a shows that both FIN and INVT have significant interaction effects with CAPTA (t = 2.03 and t = 1.99, respectively; p < 0.05). This means that higher bank capitalization lessens the negative effects of financial and investment liberalization on ROA. Under high-CAPTA conditions, the slopes are flatter, which means they are more resistant. On the other hand, TRADE does not show a significant interaction effect (t = 0.43), and the lines stay almost parallel.
Figure 4b reveals that CAPTA significantly moderates the relationship between all three economic freedom dimensions and ROE. The interaction terms for FIN, TRADE, and INVT are statistically significant (t > 2.00), and INVT has the strongest effect on the other two. These findings suggest that banks with greater capitalization are more resilient to competitive pressures and can capitalize on liberalized markets, particularly regarding equity performance.
Figure 4c,d, on the other hand, shows that regulatory capital (CAR) does not have a big effect on the link between economic freedom and either ROA or ROE. The interaction terms across FIN, TRADE, and INVT are not statistically significant (t < 1.30), and the predicted trend lines for low and high CAR remain nearly parallel. This implies that CAR, at least in the observed context, plays a limited role in conditioning the impact of economic freedom on bank performance.
Together, these findings suggest that bank capitalization (CAPTA) serves as a more robust and consistent moderating factor than regulatory capital (CAR), especially in mitigating the negative effects of financial and investment liberalization. The complete statistical outputs supporting these results are available in Appendix A, Table A3.

4.4. Robustness Tests Using Lagged Variables

To ensure robustness of the baseline and interaction models, lagged specifications of EF, CAPTA, and CAR are employed. Table 5 shows that the main findings persist when lagged variables are introduced, with EF remaining negatively significant and EF × CAPTA/EF × CAR maintaining their positive and significant effects on both ROA and ROE.
This temporal robustness supports the causal interpretation of the observed relationships. It implies that past levels of economic freedom and bank capitalization have a measurable influence on current bank performance, reinforcing the role of strategic capital planning in dynamic regulatory environments.

4.5. Alternative Performance Measure: Net Interest Margin

Table 6 introduces net interest margin (NIM) as a complementary indicator of banking performance, reflecting the efficiency of interest income generation rather than overall profitability. The results remain consistent with the baseline findings: economic freedom exerts a statistically significant and negative influence on NIM, while the interaction between economic freedom and capitalization (EF × CAPTA) is positively associated with NIM at conventional levels of significance. This suggests that greater economic liberalization tends to compress margins in lending and deposit markets, but stronger capitalization helps to offset this effect, supporting more stable intermediation efficiency under competitive pressures.

5. Discussion

The results indicate that economic freedom exerts a negative impact on bank performance, as measured by ROA and ROE, meaning Hypothesis 1 is not supported. This pattern emerges consistently across specifications and country groups. Our empirical evidence therefore suggests that, rather than enhancing efficiency, greater liberalization can undermine profitability. These findings align with Socol and Iuga (2025), who show that increases in financial freedom reduce banking performance due to stronger competition and market liberalization pressures, including competition from non-bank financial institutions such as hedge funds and private equity firms. We now cross-reference these observed patterns with interpretations in prior literature.
Earlier studies often reported positive effects of economic freedom on growth and efficiency (Bergh & Karlsson, 2010; Heckelman & Powell, 2010). However, much of that literature focused on advanced economies with robust supervisory institutions, where liberalization can promote discipline and innovation. By contrast, our evidence covering emerging and developing countries indicates that weaker supervisory capacity, higher vulnerability to capital inflows, and fragile institutional environments amplify risks (Abdullah et al., 2018; Masrizal et al., 2024; Santiago et al., 2020). The destabilizing dynamics observed here are consistent with D. J. Stiglitz (2009), who argued that deregulation fosters excessive risk-taking and may encourage unethical practices such as misrepresentation of credit quality, predatory lending, or accounting manipulation (Korinek & Kreamer, 2014). These mechanisms provide institutional and behavioral explanations for the negative outcomes observed in our results.
At the same time, our findings support a non-monotonic interpretation of liberalization outcomes. In advanced markets, stronger legal and regulatory frameworks, coupled with instruments like Basel III capital requirements, allow banks to absorb risks and benefit from openness (Adam et al., 2023; Claessens & Yurtoglu, 2013; Gropper et al., 2015). In fragile systems, however, liberalization without adequate safeguards undermines stability, validating recent insights on the importance of macroprudential policies in conditioning the effects of capital flows and competition (Hodula & Ngo, 2022; Kuzman et al., 2022).
Cross-country differences in banking structures further explain the heterogeneity of outcomes. Advanced economies typically feature deeper capital markets, more diversified funding structures, stronger regulatory enforcement, and robust deposit insurance systems. Emerging markets, by contrast, remain more reliant on bank intermediation, often depend on foreign funding, and operate under weaker supervisory institutions (Li, 2019; Makler & Ness, 2002). Basel III implementation has also magnified these divides: large banks in advanced markets generally adapt well, whereas smaller banks in emerging economies often face efficiency losses from compliance burdens (Gržeta et al., 2023). These structural contrasts mean that similar increases in economic freedom have very different consequences across market groups, amplifying the negative effects in fragile systems while fostering efficiency in mature ones.
Turning to capitalization, the equity-to-assets ratio (CAPTA) has a consistently positive impact on ROA, thereby supporting Hypothesis 2. This highlights the stabilizing role of internal capital buffers in absorbing shocks, consistent with Athanasoglou et al. (2008) and Berger and Bouwman (2013). The effect on ROE is weaker, reflecting diminishing returns to equity and the costs of overcapitalization (Dao & Nguyen, 2020; T. D. Q. Le & Ngo, 2020). By contrast, the capital adequacy ratio (CAR) shows weaker or negative links to profitability. Importantly, CAR functions as a nominant variable: very low levels heighten fragility, while excessively high levels constrain lending and reduce returns (Athanasoglou et al., 2008; Malovaná & Ehrenbergerová, 2022). This duality reflects broader macroprudential debates: while higher capital and liquidity standards can mitigate systemic risks (Luu et al., 2024; Walther, 2016), excessive conservatism may depress lending and slow growth. This trade-off reinforces CAR’s role in balancing profitability and stability.
The interaction effects strongly support Hypothesis 3. CAPTA consistently moderates the adverse impact of economic freedom, enabling banks to withstand volatility, reduce reliance on unstable funding, and maintain performance under liberalized conditions (Al-Zoubi & Sha’ban, 2023; Mehzabin et al., 2022; Santoso et al., 2021). This moderating role is especially important in emerging markets, where weak institutions heighten vulnerability (Saleh & Abu Afifa, 2020; Trung, 2021). In advanced economies, reliance on capital buffers is less pronounced because external safeguards, such as deposit insurance, risk-based supervision, and predictable macroeconomic environments, already provide stability. This echoes resilience-focused research suggesting that robust internal capitalization complements formal regulatory frameworks in ensuring post-crisis recovery and long-run stability (Greenwood et al., 2017; Haile et al., 2025).
Disaggregating economic freedom into financial, trade, and investment dimensions further clarifies these dynamics. CAPTA significantly mitigates the negative effects of financial and investment freedom on profitability, particularly ROE, while its interaction with trade freedom is weaker. This indicates that liberalization of credit and capital flows is more destabilizing than trade openness unless supported by strong equity buffers (Alraheb et al., 2019; Giannetti, 2003). Macroprudential measures such as loan-to-value caps or dynamic provisioning are particularly relevant in this regard, as they offset the risks of financial and investment liberalization when equity buffers alone are insufficient (Hodula & Ngo, 2022; Kogler, 2020). By contrast, CAR shows weaker and inconsistent moderating effects: while higher CAR supports resilience in some emerging markets, its externally imposed nature appears less adaptive to market pressures compared with internal capitalization. This suggests that regulatory capital standards alone may lack the flexibility or strategic responsiveness needed in dynamic policy environments. These findings echo concerns raised by Dao and Nguyen (2020) and T. D. Q. Le and Ngo (2020), highlighting the potential disconnect between formal regulation and practical risk absorption capacity.
The control variables provide further insights into banking performance. Non-performing loans (NPLs) reduce profitability by lowering interest income and raising provisioning costs, which directly erodes capital and efficiency (Athanasoglou et al., 2008; Lafuente et al., 2019). Overhead costs also depress ROA and ROE, as higher operating expenses relative to income signal inefficiency in resource allocation (Dietrich & Wanzenried, 2011; Tan, 2016).
GDP growth, somewhat counterintuitively, is negatively associated with profitability. Expansionary phases often intensify competition, compress lending margins, and encourage riskier credit expansion, thereby lowering returns (Shehzad & De Haan, 2009; Tan & Floros, 2012). Similarly, high loan-to-deposit ratios (LDR) reduce efficiency by exposing banks to liquidity shortages and funding risks, especially in systems with underdeveloped capital markets (Ghosh, 2016).
Liquidity (LIQ), by contrast, strengthens profitability by enhancing shock absorption and depositor confidence, which stabilizes earnings even during downturns (Alkhazali et al., 2024; Athanasoglou et al., 2008). Competition (COMP), measured by the Boone index, shows mixed results: while intense competition erodes margins, it may also drive efficiency and innovation, explaining the dual outcomes observed (Ariss, 2010; Boone, 2008).
Finally, the profitability gap between advanced and emerging markets is consistent with structural features of their banking systems. Advanced economies report lower ROA and ROE due to narrower spreads, stronger competition, and the presence of non-bank financial alternatives, while emerging economies sustain higher profitability through weaker competition, underdeveloped capital markets, and higher risk premiums (Erdas & Ezanoglu, 2022). These findings confirm that institutional and structural differences are decisive in shaping how liberalization and capitalization jointly affect performance.
Taken together, the findings reinforce that the negative effects of economic freedom in this study are not a contradiction of prior literature but rather a reflection of institutional variation. By embedding the results within the broader debates on Basel III, macroprudential regulation, and banking resilience, the analysis highlights that bank capitalization, particularly internal buffers, emerges as the key safeguard conditioning whether liberalization erodes or enhances profitability and stability.

6. Conclusions

This study investigates the relationship between economic freedom, bank capitalization, and banking performance across a global sample of countries. By examining the moderating role of capital in the economic freedom–performance nexus, the analysis provides new insights into how liberalization and internal buffers interact in diverse institutional environments. Based on the empirical findings, the key conclusions can be summarized as follows:
  • Economic freedom exerts a negative effect on bank profitability, particularly in countries with weaker regulatory capacity and financial supervision.
  • Internal capitalization (CAPTA) plays a stabilizing role by consistently moderating this adverse effect, while regulatory capital (CAR) has a weaker and less consistent impact.
  • The outcomes of liberalization are heterogeneous, depending on institutional quality, macroeconomic conditions, and capital strength, highlighting the need for contextualized approaches to reform.
These results carry both theoretical and practical implications. Theoretically, they challenge the conventional assumption that economic freedom uniformly enhances financial performance, suggesting instead a conditional relationship shaped by institutional safeguards and capital structures. Practically, the findings call for nuanced policy design in which financial openness is complemented by adequate capitalization and macroprudential regulation. To make these implications more explicit, they can be outlined as follows:
  • Theoretically, the study enriches the literature by showing that liberalization can have either stabilizing or destabilizing effects depending on capitalization and institutional conditions.
  • Practically, the results highlight that CAPTA serves as a reliable safeguard, whereas CAR requires careful calibration to balance profitability with systemic stability.
  • Policy frameworks should align liberalization with macroprudential tools, such as countercyclical buffers and liquidity requirements, to mitigate systemic risk and enhance resilience.
  • For banks’ capital management, the results recommend prioritizing strong internal equity buffers, maintaining prudent leverage ratios, and adopting dynamic provisioning practices to ensure both profitability and stability in liberalized markets.
This study is subject to some limitations, which also suggest promising avenues for future research:
  • The sample period ends in 2018, excluding more recent global shocks such as COVID-19; extending the sample to 2024 would allow a more comprehensive assessment of resilience under extreme conditions.
  • The reliance on World Bank sector-level data restricts granularity; future studies should use micro-level bank data to capture heterogeneity in capitalization strategies, competition, and risk-taking behavior.
  • Nonlinear and dynamic effects remain unexplored; further research should consider threshold models or regime-switching frameworks to capture potential turning points in the liberalization–performance relationship.
  • The study does not include the cost-to-income (C/I) ratio, which is widely used as an efficiency metric in the banking literature. Consistent coverage across 213 countries and the long time span made its inclusion infeasible. Future research with more harmonized datasets could incorporate C/I to enrich the set of performance indicators.
  • Institutional quality was only indirectly discussed; future work should explicitly integrate governance and supervisory indicators to better explain cross-country variation.
Overall, this study underscores that economic freedom cannot be evaluated in isolation but must be contextualized within institutional frameworks and financial architectures. Strong internal capital buffers emerge as a decisive factor in safeguarding performance and ensuring resilience, particularly in emerging markets where supervisory institutions remain underdeveloped.

Author Contributions

Conceptualization, W.A.P. and A.W.; methodology, R.Y. and A.Z.A.; software, A.W. and A.Z.A.; validation, W.A.P., A.W. and R.Y.; formal analysis, W.A.P.; investigation, A.W. and A.Z.A.; resources, W.A.P.; data curation, A.W. and A.Z.A.; writing—original draft preparation, A.W.; writing—review and editing, W.A.P.; visualization, A.W. and A.Z.A.; supervision, W.A.P.; project administration, R.Y.; funding acquisition, W.A.P. All authors have read and agreed to the published version of the manuscript.

Funding

This research received no external funding.

Institutional Review Board Statement

Not applicable.

Informed Consent Statement

Not applicable.

Data Availability Statement

The data used in this study are publicly available from established sources. Bank-level indicators such as ROA, ROE, CAPTA, CAR, COMP, NPL, LDR, OVER, and LIQ were obtained from the Global Financial Development Database of the World Bank (https://www.worldbank.org/en/publication/gfdr/data/global-financial-development-database, accessed on 18 October 2020). Macroeconomic variables, including GDP growth, were sourced from the World Bank’s World Development Indicators (https://databank.worldbank.org/source/world-development-indicators, accessed on 18 October 2020). Economic freedom data were retrieved from the Heritage Foundation’s Index of Economic Freedom (https://www.heritage.org/index/, accessed on 18 October 2020). All data used are publicly accessible and properly cited in the manuscript. No proprietary or restricted-access datasets were used in this research.

Conflicts of Interest

Author Aina Zatil Aqmar is employed by the company Prosemora Consulting. The remaining authors declare that the research was conducted in the absence of any commercial or financial relationships that could be construed as a potential conflict of interest.

Appendix A

Table A1. Interaction between economic freedom and bank capitalization (CAPTA) on bank performance.
Table A1. Interaction between economic freedom and bank capitalization (CAPTA) on bank performance.
VariablesAll CountriesAdvanced MarketsEmerging Markets
ROAROEROAROEROAROE
(1)(2)(4)(5)(2)(3)
VAR. DEP. (−1)0.2767 ***0.2822 ***0.4457 ***0.3621 ***0.1550 *0.2821 ***
EF−0.0558 ***−0.5950 ***−0.0057−0.5124 **−0.0894 **−0.7014 ***
CAPTA−0.1875 **−2.5620 ***0.0598−3.2011 **−0.3002 *−2.7406 ***
EF × CAPTA0.0039 ***0.0416 ***0.000080.0527 **0.0062 *0.0404 **
COMP0.0024 **0.00450.00110.00350.7552−0.0635
NPL−0.0506 ***−0.4176 ***−0.0241−0.5018 ***−0.0667 ***−0.4260 ***
LDR−0.0021−0.0136 **−0.0003−0.0007−0.0037−0.0192 **
OVER0.01320.08510.04580.28780.01330.0453
LIQ0.00250.0446 **0.00270.0489 *0.00360.0468
GDP−0.0928 ***−0.6987 ***−0.0472 **−0.5460 ***−0.1161 ***−0.8497 ***
Constant6.5695 ***65.527 ***1.405952.290 ***9.4080 ***78.952 ***
Year dummyYesYesYesYesYesYes
Observations14761476626626850850
Num. of countries12512547477878
AR(2) test0.4660.2060.1290.2210.3720.475
Hansen-J test0.5900.5450.3650.3850.6340.847
Note: * p < 0.10; ** p < 0.05; *** p < 0.01 (two-tailed tests).
Table A2. Interaction between economic freedom and regulatory capital ratio (CAR) on bank performance.
Table A2. Interaction between economic freedom and regulatory capital ratio (CAR) on bank performance.
VariablesAll CountriesAdvanced MarketsEmerging Markets
ROA ROE ROA ROE ROA ROE
(1)(2)(3)(4)(5)(6)(7)(8)(9)(10)(11)(12)
VAR. DEP. (−1)0.2895 ***0.2823 ***0.3107 ***0.3054 ***0.4147 ***0.4169 ***0.3327 ***0.3349 ***0.1768 **0.1724 **0.3527 ***0.3405 ***
EF−0.0228 ***−0.0614 ***−0.1861 ***−0.466 *** −0.0098−0.0011−0.05560.3820−0.0215 **−0.0843 **−0.1690 **−0.7057 ***
CAR0.0482 ***−0.08960.0196−0.9861 *0.0684 ***0.09950.36222.23550.0462 **−0.1532−0.1430−1.8257 **
EF × CAR 0.0024 ** 0.0172 ** −0.0004 −0.0276 0.0036 * 0.0301 **
COMP0.0047 ***0.0048 ***0.0199 **0.0199 **0.0023 *0.00210.0221 *0.0207 *0.58900.53900.75800.4129
NPL−0.0546 ***−0.0561 ***−0.3896 ***−0.396 ***−0.0345 *−0.0327 *−0.5384 ***−0.5153 **−0.0672 ***−0.0672 ***−0.3606 ***−0.3556 ***
LDR−0.0019−0.0018−0.0161 *−0.0159 *−0.0005−0.0005−0.0046−0.0044−0.0028−0.0027−0.0182 *−0.0184 *
OVER−0.0012−0.00050.01020.02030.06190.0644 *0.27510.2279−0.0038−0.0045−0.0774−0.0672
LIQ−0.00002−0.00020.0408 **0.0382 ** −0.0017−0.00140.02520.02710.00290.00220.0711 **0.0672 **
GDP−0.1012 ***−0.0960 ***−0.5925 **−0.5609 **−0.0437−0.0414−0.5598−0.5434−0.1050 ***−0.1004 ***−0.3657−0.3871 *
Constant4.5531 ***6.6212 ***37.344 ***52.852 ***1.33090.677920.332*−10.0094.9684 ***8.2623 ***32.711 ***63.311 ***
Control VariablesYesYesYesYesYesYesYesYesYesYesYesYes
Dummy YearsYesYesYesYesYesYesYesYesYesYesYesYes
Observations1518151815181518647647647647871871871871
Num. of countries1271271271274848484879797979
AR(2) test0.3960.3940.2090.2140.1380.1370.2220.2250.2950.2820.4990.504
Hansen-J test0.6720.6560.7400.7240.1790.2390.2230.2160.6970.6900.8530.939
Note: * p < 0.10; ** p < 0.05; *** p < 0.01 (two-tailed tests).
Table A3. Interaction between dimensions of economic freedom, bank capitalization (CAPTA), and regulatory capital ratio (CAR).
Table A3. Interaction between dimensions of economic freedom, bank capitalization (CAPTA), and regulatory capital ratio (CAR).
Panel A. Interaction Between EQTA and Economic Freedom Dimensions
VariablesROA ROE
(1)(2)(3)(4)(5)(6)(7)(8)(9)(10)(11)(12)
VAR. DEP. (−1)0.2767 ***0.2761 ***0.2781 ***0.2775 ***0.2813 ***0.2733 *** 0.2948 ***0.2909 ***0.2975 ***0.2960 ***0.2980 ***0.2866 ***
FIN−0.0089 ***−0.0214 *** −0.0919 ***−0.2050 ***
TRADE −0.0161 ***−0.0194 * −0.1325 ***−0.2663 **
INVT −0.0084 ***−0.0223 *** −0.0761 ***−0.2419 ***
CAPTA0.0527 ***−0.02290.0584 ***0.02910.0487 ***−0.0325−0.0353−0.6745 **0.0347−1.0444 **−0.0477−0.9738 ***
FIN × CAPTA 0.0013 ** 0.0122 **
TRADE × CAPTA 0.0003 0.0145 **
INVT × CAPTA 0.0014 ** 0.0169 ***
Constant3.9923 ***4.6781 ***4.3900 ***4.6420 ***4.1979 ***4.9344 ***36.162 ***42.255 ***37.801 ***47.318 ***35.568 ***44.887 ***
(5.23)(5.14)(5.07)(4.40)(5.19)(5.41)(5.46)(6.01)(5.38)(5.81)(5.45)(7.05)
Control VariablesYesYesYesYesYesYesYesYesYesYesYesYes
Dummy YearsYesYesYesYesYesYesYesYesYesYesYesYes
Observations147414741473147314731473147414741473147314731473
Num. of countries125125125125125125125125125125125125
AR(2) test0.4530.4560.4610.4640.4470.4550.2100.2080.2040.1920.2190.221
Hansen-J test0.5960.5920.6840.6830.4490.4210.6000.6300.5520.5890.5240.518
Panel B. Interaction between CAR and Economic Freedom Dimensions
VariablesROA ROE
(1)(2)(3)(4)(5)(6)(7)(8)(9)(10)(11)(12)
VAR. DEP. (−1)0.2891 ***0.2915 ***0.2980 ***0.2935 ***0.2900 ***0.2803 ***0.2968 ***0.2975 ***0.2950 ***0.2921 ***0.2956 ***0.2938 ***
FIN−0.0125 ***−0.0205 *** −0.0990 ***−0.1025
TRADE −0.0198 ***−0.0307 ** −0.1481 ***−0.2194 **
INVT −0.0102 ***−0.0171 * −0.0783 ***−0.1704 **
CAPTA0.0470 ***0.01880.0526 ***0.00430.0470 ***0.02730.00188−0.01140.0720−0.2554−0.0086−0.3080
FIN × CAR 0.00053 0.00023
TRADE × CAR 0.00069 0.0046
INVT × CAR 0.00041 0.0057
Constant4.0554 ***4.4598 ***4.3835 ***5.154 ***4.0876 ***4.4654 ***34.214 ***34.291 ***36.172 ***41.028 ***34.262 ***39.043 ***
Control VariablesYesYesYesYesYesYesYesYesYesYesYesYes
Dummy YearsYesYesYesYesYesYesYesYesYesYesYesYes
Observations151615161515151515151515151615161515151515151515
Num. of countries127127127127127127127127127127127127
AR(2) test0.4010.3920.4090.4130.3960.3980.1920.1930.1860.1830.1990.205
Hansen-J test0.6290.6410.6770.6890.5200.4640.6950.6890.6680.6660.5500.527
Note: FIN = Index of Financial Freedom employed, which is measured on a scale from 0 to 100. TRADE = Index of Trade Freedom employed, which is measured on a scale from 0 to 100. INVT = Index of Investment Freedom employed, which is measured on a scale from 0 to 100. * p < 0.10; ** p < 0.05; *** p < 0.01 (two-tailed tests).

References

  1. Aalbers, M. B. (2016). Regulated deregulation. In S. Springer, K. Birch, & J. MacLeavy (Eds.), Handbook of neoliberalism (pp. 563–573). Routledge. [Google Scholar] [CrossRef]
  2. Abdullah, F., Achsani, N. A., & Irawan, T. (2018). The effect of financial liberalization and capital flows on income volatility in Asia-Pacific. Bulletin of Monetary Economics and Banking, 20(3), 257–278. [Google Scholar] [CrossRef]
  3. Adam, B. M., Sarpong-Kumankoma, E., & Fiador, V. (2023). Economic freedom, corruption and bank stability: Evidence from sub-Saharan Africa. Journal of Financial Crime, 31(4), 781–794. [Google Scholar] [CrossRef]
  4. Ahmed, A. D. (2013). Effects of financial liberalization on financial market development and economic performance of the SSA region: An empirical assessment. Economic Modelling, 30, 261–273. [Google Scholar] [CrossRef]
  5. Al-Gasaymeh, A. (2018). Economic freedom, country risk and cost efficiency in Jordan and the GCC countries. Global Business Review, 21(1), 1–17. [Google Scholar] [CrossRef]
  6. Alkhazali, O., Helmi, M. H., Mirzaei, A., & Saad, M. (2024). The impact of capital on bank profitability during the COVID-19 pandemic. Global Finance Journal, 62, 100994. [Google Scholar] [CrossRef]
  7. Alraheb, T. H., Nicolas, C., & Tarazi, A. (2019). Institutional environment and bank capital ratios. Journal of Financial Stability, 43, 1–24. [Google Scholar] [CrossRef]
  8. Al-Zoubi, M., & Sha’ban, M. (2023). Bank performance, capital and size: A comparative analysis in MENA and EU. Eurasian Economic Review, 13(3), 677–702. [Google Scholar] [CrossRef]
  9. Angulo-Guerrero, M. J., Pérez-Moreno, S., & Abad-Guerrero, I. M. (2017). How economic freedom affects opportunity and necessity entrepreneurship in the OECD countries. Journal of Business Research, 73, 30–37. [Google Scholar] [CrossRef]
  10. Arellano, M., & Bover, O. (1995). Another look at the instrumental variable estimation of error-components models. Journal of Econometrics, 68(1), 29–51. [Google Scholar] [CrossRef]
  11. Ariss, R. T. (2010). Competitive conditions in Islamic and conventional banking: A global perspective. Review of Financial Economics, 19(3), 101–108. [Google Scholar] [CrossRef]
  12. Athanasoglou, P. P., Brissimis, S. N., & Delis, M. D. (2008). Bank-specific, industry-specific and macroeconomic determinants of bank profitability. Journal of International Financial Markets, Institutions and Money, 18(2), 121–136. [Google Scholar] [CrossRef]
  13. Baier, S. L., Clance, M., & Dwyer, G. P. (2012). Banking crises and economic freedom. In J. Gwartney, R. A. Lawson, & J. Hall (Eds.), Economic Freedom of the World: 2013 Annual Report (pp. 201–217). The Fraser Institute. [Google Scholar]
  14. Barth, J. R., Caprio, G., & Levine, R. (2004). Bank regulation and supervision: What works best? Journal of Financial Intermediation, 13(2), 205–248. [Google Scholar] [CrossRef]
  15. Battilossi, S., & Reis, J. (2016). Introduction: The making of financial regulation and deregulation: A long view. In S. Battilossi (Ed.), State and financial systems in Europe and the USA (pp. 1–20). Routledge. [Google Scholar]
  16. Berger, A. N., & Bouwman, C. H. S. (2013). How does capital affect bank performance during financial crises? Journal of Financial Economics, 109(1), 146–176. [Google Scholar] [CrossRef]
  17. Bergh, A., & Karlsson, M. (2010). Government size and growth: Accounting for economic freedom and globalization. Public Choice, 142(1), 195–213. [Google Scholar] [CrossRef]
  18. Berrospide, J. M., & Edge, R. M. (2019). The effects of bank Capital buffers on bank lending and firm activity: What can we learn from five years of stress-test results? (No. 2019-050). Finance and Economics Discussion Series. Board of Governors of the Federal Reserve System. [Google Scholar] [CrossRef]
  19. Bjørnskov, C. (2016). Economic freedom and economic crises. European Journal of Political Economy, 45, 11–23. [Google Scholar] [CrossRef]
  20. Blundell, R., & Bond, S. (1998). Initial conditions and moment restrictions in dynamic panel data models. Journal of Econometrics, 87(1), 115–143. [Google Scholar] [CrossRef]
  21. Boone, J. (2008). A new way to measure competition. The Economic Journal, 118(531), 1245–1261. [Google Scholar] [CrossRef]
  22. Bui, C., Scheule, H., & Wu, E. (2017). The value of bank capital buffers in maintaining financial system resilience. Journal of Financial Stability, 33, 23–40. [Google Scholar] [CrossRef]
  23. Bulut, L. (2012). Market disciplining of the developing countries’ sovereign governments. Contemporary Economic Policy, 30(4), 463–488. [Google Scholar] [CrossRef]
  24. Carlsson, F., & Lundström, S. (2002). Economic freedom and growth: Decomposing the effects. Public Choice, 112(3), 335–344. [Google Scholar] [CrossRef]
  25. Chortareas, G. E., Girardone, C., & Ventouri, A. (2013). Financial freedom and bank efficiency: Evidence from the European Union. Journal of Banking & Finance, 37(4), 1223–1231. [Google Scholar] [CrossRef]
  26. Claessens, S., & Yurtoglu, B. B. (2013). Corporate governance in emerging markets: A survey. Emerging Markets Review, 15, 1–33. [Google Scholar] [CrossRef]
  27. Clark, J. R., & Lee, D. R. (2006). Freedom, Entrepreneurship and Economic Progress. The Journal of Entrepreneurship, 15(1), 1–17. [Google Scholar] [CrossRef]
  28. Dagher, J., Dell’Ariccia, M. G., Laeven, M. L., Ratnovski, M. L., & Tong, M. H. (2016). Benefits and costs of bank capital (SDN/16/04; IMF Staff Discussion Note). International Monetary Fund. [Google Scholar]
  29. Dao, B. T. T., & Nguyen, K. A. (2020). Bank capital adequacy ratio and bank performance in Vietnam: A simultaneous equations framework. The Journal of Asian Finance, Economics and Business, 7(6), 39–46. [Google Scholar] [CrossRef]
  30. Dawson, J. W. (2003). Causality in the freedom–growth relationship. European Journal of Political Economy, 19(3), 479–495. [Google Scholar] [CrossRef]
  31. de Almeida, S. J., Esperidião, F., & de Moura, F. R. (2024). The impact of institutions on economic growth: Evidence for advanced economies and Latin America and the Caribbean using a panel VAR approach. International Economics, 178, 100480. [Google Scholar] [CrossRef]
  32. de Haan, J., & Sturm, J.-E. (2000). On the relationship between economic freedom and economic growth. European Journal of Political Economy, 16(2), 215–241. [Google Scholar] [CrossRef]
  33. De Jonghe, O. (2010). Back to the basics in banking? A micro-analysis of banking system stability. Journal of Financial Intermediation, 19(3), 387–417. [Google Scholar] [CrossRef]
  34. Demirgüç-Kunt, A., & Detragiache, E. (1998). Financial liberalization and financial fragility. In IMF Working Paper. (98/83; Issue 1917). IMF Working Paper. International Monetary Fund (IMF). [Google Scholar]
  35. Demirgüç-Kunt, A., Laeven, L., & Levine, R. (2003). Regulations, market structure, institutions, and the cost of financial intermediation (No. 9890). National Bureau of Economic Research Working Paper Series. National Bureau of Economic Research. [Google Scholar] [CrossRef]
  36. De Vita, G., Tanna, S., & Luo, Y. (2024). How consistent are measures of financial liberalization in assessing its impact on bank cost efficiency? A cross–country empirical analysis. Journal of Business Economics, 94(9), 1169–1199. [Google Scholar] [CrossRef]
  37. Dietrich, A., & Wanzenried, G. (2011). Determinants of bank profitability before and during the crisis: Evidence from Switzerland. Journal of International Financial Markets, Institutions and Money, 21(3), 307–327. [Google Scholar] [CrossRef]
  38. Dursun-de Neef, H. Ö., Schandlbauer, A., & Wittig, C. (2023). Countercyclical capital buffers and credit supply: Evidence from the COVID-19 crisis. Journal of Banking & Finance, 154, 106930. [Google Scholar] [CrossRef]
  39. Economou, F. (2019). Economic freedom and asymmetric crisis effects on FDI inflows: The case of four South European economies. Research in International Business and Finance, 49, 114–126. [Google Scholar] [CrossRef]
  40. Erdas, M. L., & Ezanoglu, Z. (2022). How do bank-specific factors impact non-performing loans: Evidence from G20 countries. Journal of Central Banking Theory and Practice, 11(2), 97–122. [Google Scholar] [CrossRef]
  41. Farooq, M. O., Miah, M. D., Kabir, M. N., & Hassan, M. K. (2023). The impact of banks’ capital buffer on equity return: Evidence from Islamic and conventional banks of GCC countries. Journal of Islamic Accounting and Business Research, 16(1), 188–217. [Google Scholar] [CrossRef]
  42. Ghosh, S. (2016). Does economic freedom matter for risk-taking? Evidence from MENA banks. Review of Behavioral Finance, 8(2), 114–136. [Google Scholar] [CrossRef]
  43. Giannetti, M. (2003). Do better institutions mitigate agency problems? Evidence from corporate finance choices. Journal of Financial and Quantitative Analysis, 38(1), 185–212. [Google Scholar] [CrossRef]
  44. Gopalan, S. (2015). Financial liberalization and foreign bank entry in emerging and developing economies: What does the literature tell us? Journal of International Commerce, Economics and Policy, 06(02), 1550007. [Google Scholar] [CrossRef]
  45. Greenwood, R., Stein, J. C., Hanson, S. G., & Sunderam, A. (2017). Strengthening and streamlining bank capital regulation. Brookings Papers on Economic Activity, 2017(2), 479–565. [Google Scholar] [CrossRef]
  46. Gropper, D. M., Jahera, J. S., & Park, J. C. (2015). Political power, economic freedom and Congress: Effects on bank performance. Journal of Banking & Finance, 60, 76–92. [Google Scholar] [CrossRef]
  47. Gržeta, I., Žiković, S., & Tomas Žiković, I. (2023). Size matters: Analyzing bank profitability and efficiency under the Basel III framework. Financial Innovation, 9(1), 43. [Google Scholar] [CrossRef]
  48. Gupta, N., & Mahakud, J. (2020). Ownership, bank size, capitalization and bank performance: Evidence from India. Cogent Economics & Finance, 8(1), 1808282. [Google Scholar] [CrossRef]
  49. Haile, M. A., Jayamohan, M. K., & Mulugeta, W. (2025). Does regulatory convergence shape banking resilience in Africa? Heliyon, 11(1), e41347. [Google Scholar] [CrossRef] [PubMed]
  50. Hall, J. C., & Lawson, R. A. (2014). Economic freedom of the world: An accounting of the literature. Contemporary Economic Policy, 32(1), 1–19. [Google Scholar] [CrossRef]
  51. Haq, M., Srivastava, N., & Wang, Z. (2025). Bank capital and liquidity risk: Influence of crisis and regulatory intervention. Review of Quantitative Finance and Accounting. [Google Scholar] [CrossRef]
  52. Heckelman, J. C. (2000). Economic freedom and economic growth: A short-run causal investigation. Journal of Applied Economics, 3(1), 71–91. [Google Scholar] [CrossRef]
  53. Heckelman, J. C., & Powell, B. (2010). Corruption and the institutional environment for growth. Comparative Economic Studies, 52(3), 351–378. [Google Scholar] [CrossRef]
  54. Hendrawan, M. H., Defung, F., & Wardhani, W. (2023). Un/desired impact of capital buffers: Evidence from Indonesian bank profitability and risk-taking. Cogent Economics & Finance, 11(2), 2245217. [Google Scholar] [CrossRef]
  55. Hodula, M., & Ngo, N. A. (2022). Finance, growth and (macro)prudential policy: European evidence. Empirica, 49(2), 537–571. [Google Scholar] [CrossRef]
  56. Howarth, D., & Quaglia, L. (2016). The comparative political economy of Basel III in Europe. Policy and Society, 35(3), 205–214. [Google Scholar] [CrossRef]
  57. Hung, N. T., Oanh, T. T. K., & Trang, C. T. T. (2024). The impact of economic freedom on economic growth in countries with high and low regulatory quality—Lessons for Viet Nam. Humanities and Social Sciences Communications, 11(1), 1237. [Google Scholar] [CrossRef]
  58. IMF. (2023). Country composition of WEO groups. International Monetary Fund. [Google Scholar]
  59. Jackson, J. J. (2017). Economic freedom and social capital: Pooled mean group evidence. Applied Economics Letters, 24(6), 370–373. [Google Scholar] [CrossRef]
  60. Justesen, M. K. (2008). The effect of economic freedom on growth revisited: New evidence on causality from a panel of countries 1970–1999. European Journal of Political Economy, 24(3), 642–660. [Google Scholar] [CrossRef]
  61. Kaminsky, G. L., & Reinhart, C. M. (1999). The twin crises: The causes of banking and balance-of-payments problems. American Economic Review, 89(3), 473–500. [Google Scholar] [CrossRef]
  62. Karabegovic, A., Samida, D., Schlegel, C. M., & McMahon, F. (2003). North American economic freedom: An index of 10 Canadian provinces and 50 US states. European Journal of Political Economy, 19(3), 431–452. [Google Scholar] [CrossRef]
  63. Kayani, G. M., Akhtar, Y., Yiguo, C., Yousaf, T., & Shahzad, S. J. H. (2021). The role of regulatory capital and ownership structure in bank liquidity creation: Evidence from emerging Asian economies. SAGE Open, 11(2), 21582440211006052. [Google Scholar] [CrossRef]
  64. Klomp, J., & de Haan, J. (2014). Bank regulation, the quality of institutions, and banking risk in emerging and developing countries: An empirical analysis. Emerging Markets Finance and Trade, 50(6), 19–40. [Google Scholar] [CrossRef]
  65. Kogler, M. (2020). Risk shifting and the allocation of capital: A Rationale for macroprudential regulation. Journal of Banking & Finance, 118, 105890. [Google Scholar] [CrossRef]
  66. Korinek, A., & Kreamer, J. (2014). The redistributive effects of financial deregulation. Journal of Monetary Economics, 68, S55–S67. [Google Scholar] [CrossRef]
  67. Krug, S., Lengnick, M., & Wohltmann, H.-W. (2015). The impact of Basel III on financial (in)stability: An agent-based credit network approach. Quantitative Finance, 15(12), 1917–1932. [Google Scholar] [CrossRef]
  68. Kuzman, T., Lazarevic, J., & Nedeljkovic, M. (2022). Capital flows liberalisation and macroprudential policies: The effects on credit cycles in emerging economies. Economic Analysis and Policy, 73, 602–619. [Google Scholar] [CrossRef]
  69. Laeven, L., & Levine, R. (2009). Bank governance, regulation and risk taking. Journal of Financial Economics, 93(2), 259–275. [Google Scholar] [CrossRef]
  70. Lafuente, E., Vaillant, Y., & Vendrell-Herrero, F. (2019). Conformance and performance roles of bank boards: The connection between non-performing loans and non-performing directorships. European Management Journal, 37(5), 664–673. [Google Scholar] [CrossRef]
  71. Le, T. D. Q., & Ngo, T. (2020). The determinants of bank profitability: A cross-country analysis. Central Bank Review, 20(2), 65–73. [Google Scholar] [CrossRef]
  72. Le, T. N. L., Nasir, M. A., & Huynh, T. L. D. (2023). Capital requirements and banks performance under Basel-III: A comparative analysis of Australian and British banks. The Quarterly Review of Economics and Finance, 87, 146–157. [Google Scholar] [CrossRef]
  73. Li, S. (2019). The impact of bank regulation and supervision on competition: Evidence from emerging economies. Emerging Markets Finance and Trade, 55(10), 2334–2364. [Google Scholar] [CrossRef]
  74. Luu, H. N., Nguyen, T. T. P., Pham, T. T. M., & Nguyen, T. N. (2024). Friend or foe? The impact of macroprudential policy on economic growth. Journal of Economic Policy Reform, 27(1), 87–106. [Google Scholar] [CrossRef]
  75. Makler, H. M., & Ness, W. L. (2002). How financial intermediation challenges national sovereignty in emerging markets. The Quarterly Review of Economics and Finance, 42(5), 827–851. [Google Scholar] [CrossRef]
  76. Malovaná, S., & Ehrenbergerová, D. (2022). The effect of higher capital requirements on bank lending: The capital surplus matters. Empirica, 49(3), 793–832. [Google Scholar] [CrossRef]
  77. Mamatzakis, E., & Bermpei, T. (2014). What drives investment bank performance? The role of risk, liquidity and fees prior to and during the crisis. International Review of Financial Analysis, 35, 102–117. [Google Scholar] [CrossRef]
  78. Masrizal, Sukmana, R., Fianto, B. A., & Abd Majid, M. S. (2024). Economic freedom and its subcomponents: Effects on Islamic bank performance. Journal of Economic Studies, 52(5), 951–967. [Google Scholar] [CrossRef]
  79. Mavrakana, C., & Psillaki, M. (2019). Do economic freedom and board structure matter for bank stability and bank performance? (No. 95709; MPRA Paper). University Library of Munich. [Google Scholar]
  80. Mehzabin, S., Shahriar, A., Hoque, M. N., Wanke, P., & Azad, M. A. K. (2022). The effect of capital structure, operating efficiency and non-interest income on bank profitability: New evidence from Asia. Asian Journal of Economics and Banking, 7(1), 25–44. [Google Scholar] [CrossRef]
  81. Nasir, Z. M., & Hassan, A. (2011). Economic freedom, exchange rates stability and FDI in South Asia. The Pakistan Development Review, 50(4), 423–433. [Google Scholar] [CrossRef]
  82. Piątek, D., Szarzec, K., & Pilc, M. (2013). Economic freedom, democracy and economic growth: A causal investigation in transition countries. Post-Communist Economies, 25(3), 267–288. [Google Scholar] [CrossRef]
  83. Saleh, I., & Abu Afifa, M. (2020). The effect of credit risk, liquidity risk and bank capital on bank profitability: Evidence from an emerging market. Cogent Economics & Finance, 8(1), 1814509. [Google Scholar] [CrossRef]
  84. Santiago, R., Fuinhas, J. A., & Marques, A. C. (2020). The impact of globalization and economic freedom on economic growth: The case of the Latin America and Caribbean countries. Economic Change and Restructuring, 53(1), 61–85. [Google Scholar] [CrossRef]
  85. Santoso, W., Yusgiantoro, I., Soedarmono, W., & Prasetyantoko, A. (2021). The bright side of market power in Asian banking: Implications of bank capitalization and financial freedom. Research in International Business and Finance, 56, 101358. [Google Scholar] [CrossRef]
  86. Sarpong-Kumankoma, E., Abor, J. Y., Aboagye, A. Q. Q., & Amidu, M. (2020). Economic freedom, competition and bank stability in Sub-Saharan Africa. International Journal of Productivity and Performance Management, 70(7), 1510–1527. [Google Scholar] [CrossRef]
  87. Schaeck, K., & Cihák, M. (2014). Competition, Efficiency, and Stability in Banking. Financial Management, 43(1), 215–241. [Google Scholar] [CrossRef]
  88. Shehzad, C. T., & De Haan, J. (2009). Financial reform and banking crises (No. 2870). CESifo Working Paper Series. CESifo. [Google Scholar]
  89. Socol, A., & Iuga, I. C. (2025). Does democracy matter in banking performance? Exploring the linkage between democracy, economic freedom and banking performance in the European Union member states. International Journal of Finance & Economics, 30(1), 86–116. [Google Scholar] [CrossRef]
  90. Soedarmono, W. (2011). Bank capital inflows, institutional development and risk: Evidence from publicly-traded banks in Asia. Bulletin of Monetary Economics and Banking, 14(2), 127–139. [Google Scholar] [CrossRef]
  91. Stiglitz, D. J. (2009). Moving beyond market fundamentalism to a more balanced economy. Annals of Public and Cooperative Economics, 80(3), 345–360. [Google Scholar] [CrossRef]
  92. Stiglitz, J. E. (2009). The anatomy of a murder: Who killed America’s economy? Critical Review. Critical Review, 21(2–3), 329–339. [Google Scholar] [CrossRef]
  93. Sufian, F., & Habibullah, M. S. (2010a). Does economic freedom fosters banks’ performance? Panel evidence from Malaysia. Journal of Contemporary Accounting & Economics, 6(2), 77–91. [Google Scholar] [CrossRef]
  94. Sufian, F., & Habibullah, M. S. (2010b). Has economic freedom fostered bank performance? Panel evidence from China. China Economic Journal, 3(3), 255–279. [Google Scholar] [CrossRef]
  95. Tabak, B. M., Fazio, D. M., & Cajueiro, D. O. (2011). The effects of loan portfolio concentration on Brazilian banks’ return and risk. Journal of Banking & Finance, 35(11), 3065–3076. [Google Scholar] [CrossRef]
  96. Tan, Y. (2016). The impacts of risk and competition on bank profitability in China. Journal of International Financial Markets, Institutions and Money, 40, 85–110. [Google Scholar] [CrossRef]
  97. Tan, Y., & Floros, C. (2012). Bank profitability and GDP growth in China: A note. Journal of Chinese Economic and Business Studies, 10(3), 267–273. [Google Scholar] [CrossRef]
  98. Trung, N. K. Q. (2021). Determinants of bank performance in Vietnamese commercial banks: An application of the camels model. Cogent Business & Management, 8(1), 1979443. [Google Scholar] [CrossRef]
  99. van Leuvensteijn, M., Bikker, J. A., van Rixtel, A. A. R. J. M., & Sørensen, C. K. (2011). A new approach to measuring competition in the loan markets of the euro area. Applied Economics, 43(23), 3155–3167. [Google Scholar] [CrossRef]
  100. Walther, A. (2016). Jointly optimal regulation of bank capital and liquidity. Journal of Money, Credit and Banking, 48(2–3), 415–448. [Google Scholar] [CrossRef]
  101. Windmeijer, F. (2005). A finite sample correction for the variance of linear efficient two-step GMM estimators. Journal of Econometrics, 126(1), 25–51. [Google Scholar] [CrossRef]
  102. Yudaruddin, R. (2017). The impact of economic conditions on bank profitability of regional development bank in Indonesia. International Journal of Applied Business and Economic Research, 15(19), 1–12. [Google Scholar]
Figure 1. Conceptual framework showing direct and moderated relationships influencing bank performance.
Figure 1. Conceptual framework showing direct and moderated relationships influencing bank performance.
Jrfm 18 00544 g001
Figure 2. Moderating Effect of Bank Capitalization (CAPTA) on the Relationship between Economic Freedom and Bank Performance. (a) Predicted values of return on assets (ROA) indicate that in advanced markets, the slope is nearly flat under both low and high capitalization, suggesting limited sensitivity to economic freedom. In emerging markets, low capitalization is associated with steep declines in ROA as economic freedom increases, while high capitalization moderates this effect; (b) Predicted values of return on equity (ROE) show stronger moderation: in both advanced and emerging markets, the negative effect of economic freedom is pronounced under low capitalization but is substantially weakened under high capitalization, highlighting the stabilizing role of capital buffers.
Figure 2. Moderating Effect of Bank Capitalization (CAPTA) on the Relationship between Economic Freedom and Bank Performance. (a) Predicted values of return on assets (ROA) indicate that in advanced markets, the slope is nearly flat under both low and high capitalization, suggesting limited sensitivity to economic freedom. In emerging markets, low capitalization is associated with steep declines in ROA as economic freedom increases, while high capitalization moderates this effect; (b) Predicted values of return on equity (ROE) show stronger moderation: in both advanced and emerging markets, the negative effect of economic freedom is pronounced under low capitalization but is substantially weakened under high capitalization, highlighting the stabilizing role of capital buffers.
Jrfm 18 00544 g002
Figure 3. Moderating Effect of Regulatory Capital (CAR) on the Relationship between Economic Freedom and Bank Performance. (a) Predicted values of return on assets (ROA) show that advanced markets remain largely unaffected by changes in CAR, while emerging markets experience steep declines in ROA under low CAR that are substantially moderated when CAR is high; (b) Predicted values of return on equity (ROE) confirm this pattern: in emerging markets, high CAR reduces the negative effect of economic freedom on ROE, whereas advanced markets exhibit relatively stable outcomes regardless of CAR levels. These patterns highlight the stabilizing role of capital adequacy in liberalized financial systems, especially in emerging markets.
Figure 3. Moderating Effect of Regulatory Capital (CAR) on the Relationship between Economic Freedom and Bank Performance. (a) Predicted values of return on assets (ROA) show that advanced markets remain largely unaffected by changes in CAR, while emerging markets experience steep declines in ROA under low CAR that are substantially moderated when CAR is high; (b) Predicted values of return on equity (ROE) confirm this pattern: in emerging markets, high CAR reduces the negative effect of economic freedom on ROE, whereas advanced markets exhibit relatively stable outcomes regardless of CAR levels. These patterns highlight the stabilizing role of capital adequacy in liberalized financial systems, especially in emerging markets.
Jrfm 18 00544 g003
Figure 4. Moderating Effect of Bank Capitalization and Regulatory Capital on the Relationship between Economic Freedom and Bank Performance. (a) Predicted values of return on assets (ROA) show that higher CAPTA moderates the negative effects of financial freedom (FIN) and investment freedom (INVT), flattening the slopes and indicating greater resilience, while trade freedom (TRADE) remains largely unaffected; (b) Predicted values of return on equity (ROE) indicate that CAPTA significantly moderates all three dimensions (FIN, TRADE, and INVT), with the strongest buffering effect observed for INVT, suggesting that well-capitalized banks can better withstand competitive pressures under liberalization; (c) Predicted values of ROA under different CAR levels reveal that slopes across FIN, TRADE, and INVT remain nearly parallel, suggesting limited moderating influence of CAR on asset-based performance; (d) Predicted values of ROE likewise show little differentiation between low and high CAR, indicating that regulatory capital plays a relatively minor role in conditioning the effects of economic freedom dimensions compared to internal capitalization buffers.
Figure 4. Moderating Effect of Bank Capitalization and Regulatory Capital on the Relationship between Economic Freedom and Bank Performance. (a) Predicted values of return on assets (ROA) show that higher CAPTA moderates the negative effects of financial freedom (FIN) and investment freedom (INVT), flattening the slopes and indicating greater resilience, while trade freedom (TRADE) remains largely unaffected; (b) Predicted values of return on equity (ROE) indicate that CAPTA significantly moderates all three dimensions (FIN, TRADE, and INVT), with the strongest buffering effect observed for INVT, suggesting that well-capitalized banks can better withstand competitive pressures under liberalization; (c) Predicted values of ROA under different CAR levels reveal that slopes across FIN, TRADE, and INVT remain nearly parallel, suggesting limited moderating influence of CAR on asset-based performance; (d) Predicted values of ROE likewise show little differentiation between low and high CAR, indicating that regulatory capital plays a relatively minor role in conditioning the effects of economic freedom dimensions compared to internal capitalization buffers.
Jrfm 18 00544 g004
Table 1. Summary of variable measurement.
Table 1. Summary of variable measurement.
VariableDefinitionSource
ROABank return on assets (%, after tax)Global Financial Development Database, World Bank
ROEBank return on equity (%, after tax)Global Financial Development Database, World Bank
EFIndex of Economic Freedom (scale 0–100)Heritage Foundation
CAPTABank capital to total assets (%)Global Financial Development Database, World Bank
COMPBoone indicator: a proxy for competition, elasticity of profits to marginal costsGlobal Financial Development Database, World Bank
NPLBank non-performing loans to gross loans (%)Global Financial Development Database, World Bank
LDRBank credit to bank deposits (%)Global Financial Development Database, World Bank
OVERBank overhead costs to total assets (%)Global Financial Development Database, World Bank
LIQLiquid assets to deposits and short-term funding (%)Global Financial Development Database, World Bank
GDPGLog of GDP at market prices (current US$)World Bank Development Indicators (WDI)
CARRegulatory capital to risk-weighted assets (%)Global Financial Development Database, World Bank
Table 2. Descriptive statistics by market classification.
Table 2. Descriptive statistics by market classification.
VariablesAll CountriesAdvanced MarketsEmerging MarketsDiff.
in Mean
Obs.MeanMedianStd. Dev.Obs.MeanStd. Dev.Obs.MeanStd. Dev.
ROA38221.371.422.23 13530.922.2724691.622.170.69 ***
ROE383014.3 14.6617.1 135310.2812.64247716.5318.866.25 ***
EF364359.6 59.8511.1 114969.977.55249454.909.20−15.07 ***
CAPTA20469.8910.054.02 8567.963.09119011.274.053.30 ***
CAR211016.6 16.785.40 89615.153.84121417.766.082.61 ***
COMP2513−0.55 −0.347.82 930−1.2612.61603−0.142.021.11 ***
NPL20877.22 7.467.39 8814.806.0212068.990.224.19 ***
LDR436592.5 93.2660.1 1358105.947.74300786.4664.11−19.52 ***
OVER38513.87 3.943.56 13542.141.6924974.813.942.66 ***
LIQ394638.338.7322.9 137135.5919.56257539.8724.424.28 ***
GDP494823.523.532.42170324.572.46324522.92.21−1.61 ***
Note: *** p < 0.01 (two-tailed tests).
Table 3. Correlation matrix.
Table 3. Correlation matrix.
VariablesROAROEEFEQTACARCOMPNPLLDROVERLIQGDPVIF
ROA1.0000 2.14
ROE0.67851.0000 2.02
EF−0.1584−0.16661.0000 1.38
CAPTA0.28320.0961−0.28751.0000 2.60
CAR0.27090.0600−0.19960.70381.0000 2.46
COMP0.03260.0053−0.11260.0879−0.00181.0000 1.06
NPL−0.1400−0.1395−0.34960.14160.17590.07321.0000 1.33
LDR−0.1431−0.13500.1050−0.0347−0.16300.1029−0.15021.0000 1.11
OVER0.16510.1275−0.37270.37990.26150.06180.1614−0.09891.0000 1.31
LIQ0.09890.1324−0.04140.00380.2592−0.14550.0394−0.13130.10611.0000 1.23
GDP−0.2507−0.20440.2668−0.4529−0.42700.0317−0.26880.1517−0.2666−0.18481.00001.48
Table 4. Baseline regressions: Economic freedom, bank capitalization, and bank performance.
Table 4. Baseline regressions: Economic freedom, bank capitalization, and bank performance.
VariablesAll CountriesAdvanced MarketsEmerging Markets
ROAROEROAROEROAROE
(1)(2)(3)(4)(5)(6)
Dep.var (−1)0.2807 ***0.2935 ***0.4465 ***0.3749 ***0.1597 *0.2911 ***
EF−0.0184 ***−0.1806 ***−0.0051−0.0250−0.0191 *−0.2155 ***
CAPTA0.0536 ***−0.02650.0652 ***0.4870 ***0.0515−0.4271 ***
COMP0.0038 ***0.0215 **0.00110.01410.8401 *0.4162
NPL−0.0494 ***−0.3972 ***−0.0241−0.4483 ***−0.0668 ***−0.4175 ***
LDR−0.0024−0.0159 *−0.0003−0.0044−0.0036−0.0192 **
OVER0.01030.05850.04570.26740.01120.0317
LIQ0.00140.0347 *0.00270.0508 *0.00340.0485 *
GDP−0.0982 ***−0.7380 ***−0.0472 **−0.4354 **−0.1088 ***−0.7532 ***
Constant4.4544 ***41.377 ***1.3637 **14.998 *5.2587 ***48.657 ***
Year dummyYesYesYesYesYesYes
Observations14761474626626850850
Num. of countries12512547477878
AR(2) test0.4540.2210.1290.2400.3740.485
Hansen-J test0.6150.5470.3680.3850.6670.813
Note: * p < 0.10; ** p < 0.05; *** p < 0.01 (two-tailed tests).
Table 5. Robustness test using lagged EF, CAPTA, and CAR.
Table 5. Robustness test using lagged EF, CAPTA, and CAR.
VariablesROA ROE ROA ROE
(1)(2)(3)(4)(5)(6)(7)(8)
VAR. DEP. (−1)0.2794 ***0.2743 ***0.2415 ***0.2328 ***0.3302 ***0.3201 ***0.3314 ***0.3202 ***
EF (−1)−0.0230 ***−0.0725 ***−0.0252 ***−0.0885 ***−0.1487 **−0.5207 ***−0.1425 **−0.4528 **
CAPTA (−1)0.0296 *−0.2935 *** −0.1462−2.3565 ***
CAR (−1) 0.0283 **−0.2043 ** −0.0859−1.1833 **
EF × CAPTA (−1) 0.0052 *** 0.0366 ***
EF × CAR (−1) 0.0039 *** 0.0189 *
Constant5.5752 ***8.4437 ***5.7688 ***9.2576 ***41.4905 ***63.043 ***39.521 ***56.559 ***
Control VariablesYesYesYesYesYesYesYesYes
Dummy YearsYesYesYesYesYesYesYesYes
Observations14171417144814481417141714481448
Num. of countries125125126126125125126126
AR(2) test0.3380.3400.3690.3790.3860.3650.4350.413
Hansen-J test0.5310.5630.6550.6850.4610.4160.4550.371
Note: * p < 0.10; ** p < 0.05; *** p < 0.01 (two-tailed tests).
Table 6. Additional indicator of banking performance: Net Interest Margin (NIM).
Table 6. Additional indicator of banking performance: Net Interest Margin (NIM).
VariablesNet Interest Margin (NIM)
(1)(2)(3)(4)
VAR. DEP. (−1)0.4050 ***0.4036 ***0.4026 ***0.4047 ***
EF−0.0335 ***−0.0625 ***−0.0367 ***−0.0499 *
CAPTA0.1016 ***−0.0866
CAR 0.0458 ***0.0019
EF × CAPTA 0.0030 *
EF × CAR 0.0007
Constant7.3815 ***9.1572 ***8.6151 ***9.3128 ***
Control VariablesYesYesYesYes
Dummy YearsYesYesYesYes
Observations1476147615181518
Num. of countries125125127127
AR(2) test0.6020.6090.8640.819
Hansen-J test0.4700.4690.4240.380
Note: * p < 0.10; *** p < 0.01 (two-tailed tests). NIM = Bank net interest margin (%).
Disclaimer/Publisher’s Note: The statements, opinions and data contained in all publications are solely those of the individual author(s) and contributor(s) and not of MDPI and/or the editor(s). MDPI and/or the editor(s) disclaim responsibility for any injury to people or property resulting from any ideas, methods, instructions or products referred to in the content.

Share and Cite

MDPI and ACS Style

Pratomo, W.A.; Warokka, A.; Yudaruddin, R.; Aqmar, A.Z. Economic Freedom and Banking Performance: Capital Buffers as the Key to Profitability and Stability in Liberalized Markets. J. Risk Financial Manag. 2025, 18, 544. https://doi.org/10.3390/jrfm18100544

AMA Style

Pratomo WA, Warokka A, Yudaruddin R, Aqmar AZ. Economic Freedom and Banking Performance: Capital Buffers as the Key to Profitability and Stability in Liberalized Markets. Journal of Risk and Financial Management. 2025; 18(10):544. https://doi.org/10.3390/jrfm18100544

Chicago/Turabian Style

Pratomo, Wahyu Ario, Ari Warokka, Rizky Yudaruddin, and Aina Zatil Aqmar. 2025. "Economic Freedom and Banking Performance: Capital Buffers as the Key to Profitability and Stability in Liberalized Markets" Journal of Risk and Financial Management 18, no. 10: 544. https://doi.org/10.3390/jrfm18100544

APA Style

Pratomo, W. A., Warokka, A., Yudaruddin, R., & Aqmar, A. Z. (2025). Economic Freedom and Banking Performance: Capital Buffers as the Key to Profitability and Stability in Liberalized Markets. Journal of Risk and Financial Management, 18(10), 544. https://doi.org/10.3390/jrfm18100544

Article Metrics

Back to TopTop