Forecasting the Evolution of the Digital Economy in the Industry of the European Union
Abstract
1. Introduction
2. Literature Review
2.1. The Digital Economy
2.2. Measuring the Digital Economy
2.3. Digitalization and National Economies
3. Data and Methodology
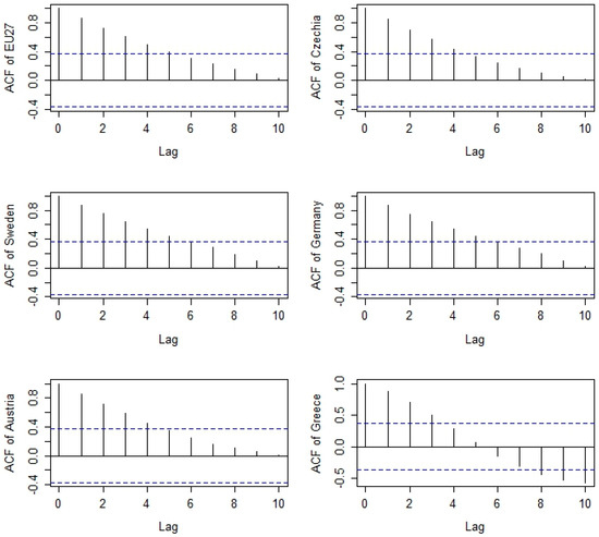
4. Results
4.1. Descriptive Statistics
4.2. Predictive Models
5. Discussion and Conclusions
Author Contributions
Funding
Data Availability Statement
Conflicts of Interest
References
- Aptekman, Alexander, Вадим Kalabin, Виталий Klintsov, Елена Kuznetsova, Владимир Kulagin, and Игoрь Yasenovets. 2017. Digital Russia: A new reality. Tsifrovaya Rossiya: Novaya Realnost. [Google Scholar]
- Asen, Rob, and Burkhard Blechschmidt. 2016. Making Digital Real and Rewarding. Cognizanti 9: 2–13. [Google Scholar]
- Bahl, Manish. 2016. The Work Ahead: The Future of Businesses and Jobs in Asia Pacific’s Digital Economy. Cognizant. Available online: https://thoughtlabgroup.com/wp-content/uploads/2019/04/the-work-ahead-the-future-of-business-and-jobs-in-asia-pacifics-digital-economy-codex2255.pdf (accessed on 1 June 2024).
- Barata, Amrin. 2019. Strengthening national economic growth and equitable income through sharia digital economy in Indonesia. Journal of Islamic Monetary Economics and Finance 5: 145–68. [Google Scholar] [CrossRef]
- Barefoot, Kevin, Dave Curtis, William Jolliff, Jessica R. Nicholson, and Robert Omohundro. 2018. Defining and Measuring the Digital Economy; Washington, DC: US Department of Commerce Bureau of Economic Analysis, vol. 15, p. 210.
- Bressanelli, Gianmarco, Federico Adrodegari, Marco Perona, and Nicola Saccani. 2018. Exploring how usage-focused business models enable circular economy through digital technologies. Sustainability 10: 639. [Google Scholar] [CrossRef]
- Brynjolfsson, Erik, and Avinash Collis. 2019. How Should We Measure the Digital Economy. Harvard Business Review 97: 140–48. [Google Scholar]
- Bukht, Rumana, and Richard Heeks. 2017. Defining, Conceptualizing and Measuring the Digital Economy. Development Informatics Working Paper 68. Manchester: University of Manchester. [Google Scholar]
- Bulturbayevich, Mullabayev Baxtiyarjon, and Mahmudov Baxriddin Jurayevich. 2020. The impact of the digital economy on economic growth. International Journal of Business, Law, and Education 1: 4–7. [Google Scholar] [CrossRef]
- Carlsson, Bo. 2004. The Digital Economy: What is the new and what is not? Structural Change and Economic Dynamics 15: 246–64. [Google Scholar] [CrossRef]
- Chatfield, Chris. 2003. Time Series Analysis: An Introduction, 6th ed. New York: Chapman and Hall/CRC. [Google Scholar]
- Chatfield, Chris, and Haipeng Xing. 2019. The Analysis of Time Series: An Introduction with R. London: Chapman and Hall/CRC. [Google Scholar]
- Dickey, David A., and Wayne A. Fuller. 1979. Distribution of the estimators for autoregressive time series with a unit root. Journal of the American Statistical Association 74: 427–31. [Google Scholar]
- Ding, Chenhui, Chao Liu, Chuiyong Zheng, and Feng Li. 2022. Digital economy, technological innovation and high-quality economic development: Based on spatial effect and mediation effect. Sustainability 14: 216. [Google Scholar] [CrossRef]
- Dong, Feng, Mengyue Hu, Yujin Gao, Yajie Liu, Jiao Zhu, and Yuling Pan. 2022. How does digital economy affect carbon emissions? Evidence from global 60 countries. Science of The Total Environment 852: 158401. [Google Scholar] [CrossRef]
- European Commission. 2024. The Digital Economy and Society Index (DESI). Available online: https://digital-strategy.ec.europa.eu/en/policies/desi (accessed on 20 May 2024).
- Eurostat. 2024. National Accounts Aggregates by Industry (Up to NACE A*64). Available online: https://ec.europa.eu/eurostat/databrowser/view/nama_10_a64__custom_12554570/default/table?lang=en (accessed on 16 August 2024).
- Fernández-Portillo, Antonio, Manuel Almodóvar-González, and Ricardo Hernández-Mogollón. 2020. Impact of ICT development on economic growth. A study of OECD European union countries. Technology in Society 63: 101420. [Google Scholar] [CrossRef]
- Garner, Damon Eric. 2002. The Effects of Electronic Commerce on the Economy. Baltimore: Morgan State University. [Google Scholar]
- Global System for Mobile Association. 2022. The Mobile Economy 2022. Available online: https://www.gsma.com/mobileeconomy/wp-content/uploads/2022/02/280222-The-Mobile-Economy-2022.pdf (accessed on 20 May 2024).
- Grigorescu, Adriana, Elena Pelinescu, Amalia Elena Ion, and Monica Florica Dutcas. 2021. Human capital in digital economy: An empirical analysis of central and eastern European countries from the European Union. Sustainability 13: 2020. [Google Scholar] [CrossRef]
- Guryanova, A. V., T. V. Korotaeva, and G. A. Chedzhemov. 2019. Digital economy as a social phenomenon: Ethical challenges and perspectives of development. European Proceedings of Social and Behavioural Sciences. [Google Scholar] [CrossRef]
- Haftu, Girmay Giday. 2019. Information communications technology and economic growth in Sub-Saharan Africa: A panel data approach. Telecommunications Policy 43: 88–99. [Google Scholar] [CrossRef]
- Hassani, Hossein, and Mohammad Reza Yeganegi. 2020. Electing optimal lag order in Ljung–Box test. Physica A: Statistical Mechanics and Its Applications 541: 123700. [Google Scholar] [CrossRef]
- Hyndman, Rob, George Athanasopoulos, Christoph Bergmeir, Gabriel Caceres, Leanne Chhay, Mitchell O’Hara-Wild, Fotios Petropoulos, Slava Razbash, Earo Wang, and Farah Yasmeen. 2024. Forecast: Forecasting Functions for Time Series and Linear Models. R Package Version 8.23.0. Available online: https://pkg.robjhyndman.com/forecast/ (accessed on 16 August 2024).
- Hyndman, Rob J., and Yeasmin Khandakar. 2008. Automatic time series forecasting: The forecast package for R. Journal of Statistical Software 27: 1–22. [Google Scholar] [CrossRef]
- Kenney, Martin, and John Zysman. 2016. The rise of the platform economy. Issues in Science and Technology 32: 61. [Google Scholar]
- Kim, Taeha. 2022. Economics of Patent Policy in the Digital Economy. Tucson: The University of Arizona. [Google Scholar]
- Kristoffersen, Eivind, Fenna Blomsma, Patrick Mikalef, and Jingyue Li. 2020. The smart circular economy: A digital-enabled circular strategies framework for manufacturing companies. Journal of Business Research 120: 241–61. [Google Scholar] [CrossRef]
- Lane, Neal. 1999. Advancing the digital economy into the 21st century. Information Systems Frontiers 1: 317–20. [Google Scholar] [CrossRef]
- Limna, Pongsakorn, Tanpat Kraiwanit, and Supaprawat Siripipatthanakul. 2022. The growing trend of digital economy: A review article. International Journal of Computing Sciences Research 6: 1–11. [Google Scholar] [CrossRef]
- Ljung, Greta M., and George E. P. Box. 1978. On a measure of lack of fit in time series models. Biometrika 65: 297–303. [Google Scholar] [CrossRef]
- Maglio, Paul P., and Jim Spohrer. 2008. Fundamentals of service science. Journal of the Academy of Marketing Science 36: 18–20. [Google Scholar] [CrossRef]
- Magoutas, Anastasios I., Maria Chaideftou, Dimitra Skandali, and Panos T. Chountalas. 2024. Digital Progression and Economic Growth: Analyzing the Impact of ICT Advancements on the GDP of European Union Countries. Economies 12: 63. [Google Scholar] [CrossRef]
- Manyika, James, and Charles Roxburgh. 2011. The Great Transformer: The Impact of the Internet on Economic Growth and Prosperity. New York: McKinsey Global Institute. [Google Scholar]
- Meisenberg, Gerhard. 2014. Cognitive human capital and economic growth in the 21st century. In Economic Growth in the 21st Century: New Research. Edited by Tara Abrahams. New York: Nova Publishers, pp. 49–106. [Google Scholar]
- Milskaya, Elena, and Olga Seeleva. 2019. Main directions of development of infrastructure in digital economy. IOP Conference Series: Materials Science and Engineering 497: 012081. [Google Scholar] [CrossRef]
- Nakamura, Leonard I., Jon Samuels, and Rachel H. Soloveichik. 2017. Measuring the ‘Free’ Digital Economy within the GDP and Productivity Accounts. Research Department, FRB of Philadelphia Working Paper No. 17–37. Philadelphia: FRB of Philadelphia. [Google Scholar]
- Oloyede, Abdulkarim A., Nasir Faruk, Nasir Noma, Ebinimi Tebepah, and Augustine K. Nwaulune. 2023. Measuring the impact of the digital economy in developing countries: A systematic review and meta-analysis. Heliyon 9: e17654. [Google Scholar] [CrossRef] [PubMed]
- Pang, Jianing, Fangyi Jiao, and Yimeng Zhang. 2022. An analysis of the impact of the digital economy on high-quality economic development in China—A study based on the effects of supply and demand. Sustainability 14: 16991. [Google Scholar] [CrossRef]
- Pouri, Maria J., and Lorenz M. Hilty. 2021. The digital sharing economy: A confluence of technical and social sharing. Environmental Innovation and Societal Transitions 38: 127–39. [Google Scholar] [CrossRef]
- Qian, LLihua, Qi Fang, and Zhu Lu. 2020. Research on the synergy of green economy and digital economy in stimulus policies. Southwest Finance 413: 3–13. [Google Scholar]
- R Core Team. 2024. R: A Language and Environment for Statistical Computing; Vienna: R Foundation for Statistical Computing. Available online: https://www.R-project.org/ (accessed on 16 August 2024).
- Reinert, Eric. 2018. How Rich Wealth Enriched… and Why Poor Countries Remain Poor. London: Hachette UK. [Google Scholar]
- Sawng, Yeong-wha, Pang-ryong Kim, and JiYoung Park. 2021. ICT investment and GDP growth: Causality analysis for the case of Korea. Telecommunications Policy 45: 102157. [Google Scholar] [CrossRef]
- Select USA. 2024. Software and Information Technology Industry Overview. Available online: https://www.trade.gov/selectusa-software-and-information-technology-industry (accessed on 1 June 2024).
- Sidorov, Anatoly, and Pavel Senchenko. 2020. Regional digital economy: Assessment of development levels. Mathematics 8: 2143. [Google Scholar] [CrossRef]
- Smart1marketing. 2024. Average Time Spent per Day with Digital Media in the United States from 2011 to 2024. Available online: https://smart1marketing.com/blog/average-time-spent-per-day-with-digital-media-in-the-united-states-from-2011-to-2024 (accessed on 3 June 2024).
- Statista. 2024. Percentage of Population Using the Internet in the United States from 2000 to 2024. Available online: https://www.statista.com/statistics/209117/us-internet-penetration/ (accessed on 21 May 2024).
- Škare, Marinko, and Domingo Riberio Soriano. 2021. A dynamic panel study on digitalization and firm’s agility: What drives agility in advanced economies 2009–2018. Technological Forecasting and Social Change 163: 120418. [Google Scholar] [CrossRef]
- Tapscott, Don. 1996. The Digital Economy: Promise and Peril in the Age of Networked Intelligence. New York: McGraw-Hill. [Google Scholar]
- Tayibnapis, Ahmad Zafrullah, Lucia Endang Wuryaningsih, and Radita Gora. 2018. The development of digital economy in Indonesia. International Journal of Management and Business Studies 8: 14–18. [Google Scholar]
- Tian, Jinfang, and Yiran Liu. 2021. Research on total factor productivity measurement and influencing factors of digital economy enterprises. Procedia Computer Science 187: 390–95. [Google Scholar] [CrossRef]
- TT Consultants. 2024. The State of the U.S. Innovation: USPTO Patent Statistics Report 2023. Available online: https://ttconsultants.com/the-state-of-u-s-innovation-uspto-patent-statistics-report-2023/ (accessed on 17 June 2024).
- Turban, Efraim, David King, Jae Lee, Merrill Warkentin, and H. Michael Chung. 2002. Electronic Commerce 2002: A Managerial Perspective. Hoboken: Prentice Hall. [Google Scholar]
- United States Census Bureau. 2024. Quarterly Retail E-Commerce Sales. Available online: https://www.census.gov/retail/ecommerce.html (accessed on 30 May 2024).
- Unold, Jacek. 2003. Basic Aspects of the Digital Economy. Folia Oeconomica 167: 41–49. [Google Scholar]
- Voronkova, Valentyna H., Vitalina A. Nikitenko, Tatyana V. Teslenko, and Vlada E. Bilohur. 2020. Impact of the worldwide trends on the development of the digital economy. Amazonia Investiga 9: 81–90. [Google Scholar] [CrossRef]
- Wang, Yuchan. 2022. Development of the digital economy: A case study of 5G technology. In Digital Transformation in Industry: Digital Twins and New Business Models. Cham: Springer International Publishing, pp. 215–25. [Google Scholar] [CrossRef]
- Wen, Ma Cheng, and Song Lin Wang. 2024. Research on Digital Economy and High Qualiy Development of Regional Economy. Value, Function, Cost 4: 2614. [Google Scholar] [CrossRef]
- Williams, Luyanda Dube. 2021. Concepts of Digital Economy and Industry 4.0 in Intelligent and information systems. International Journal of Intelligent Networs 2: 122–29. [Google Scholar] [CrossRef]
- Wu, Ying, Yanpeng Wu, Josep M. Guerrero, and Juan C. Vasquez. 2021. Digitalization and decentralization driving transactive energy Internet: Key technologies and infrastructures. International Journal of Electrical Power and Energy Systems 126: 106593. [Google Scholar] [CrossRef]
- Xia, Lei, Sh Baghaie, and Mohammad Sajadi. 2024. The digital economy: Challenges and opportunities in the new era of technology and electronic communications. Ain Shams Engineering Journal 15: 102411. [Google Scholar] [CrossRef]
- Xue, Yan, Chang Tang, Haitao Wu, Jianmin Liu, and Yu Hao. 2022. The emerging driving force of energy consumption in China: Does digital economy development matter? Energy Policy 165: 112997. [Google Scholar] [CrossRef]
- Zhang, Lu, Renyan Mu, Yuanfang Zhan, Jiahong Yu, Liyi Liu, Yongsheng Yu, and Jixin Zhang. 2022. Digital economy, energy efficiency, and carbon emissions: Evidence from provincial panel data in China. Science of the Total Environment 852: 158403. [Google Scholar] [CrossRef] [PubMed]
- Zhang, Wei, Siqi Zhao, Xiaoyu Wuan, and Yuan Yao. 2021. Study on the effect of digital economy on high-quality economic development in China. PLoS ONE 16: 112997. [Google Scholar] [CrossRef] [PubMed]







| Entity | Dickey–Fuller Statistic | p Value |
|---|---|---|
| 27 members of the E.U. | 0.45854 | 0.99 |
| Czechia | −0.09539 | 0.99 |
| Sweden | 0.37755 | 0.99 |
| Germany | −0.5183 | 0.974 |
| Austria | −2.0498 | 0.5535 |
| Greece | −2.5571 | 0.3594 |
| Entity | Year | Lo 95 | Average | Hi 95 |
|---|---|---|---|---|
| Sweden | 2023 | 144.3263 | 152.6712 | 161.0162 |
| 2024 | 146.8673 | 159.7585 | 172.6497 | |
| 2025 | 149.6988 | 166.8457 | 183.9927 | |
| 2026 | 152.5430 | 173.9330 | 195.3230 | |
| 2027 | 155.3082 | 181.0202 | 206.7322 | |
| Austria | 2023 | 130.1762 | 136.7415 | 143.3068 |
| 2024 | 130.5322 | 139.8170 | 149.1017 | |
| 2025 | 131.5210 | 142.8924 | 154.2639 | |
| 2026 | 132.8373 | 145.9679 | 159.0985 | |
| 2027 | 134.3629 | 149.0434 | 163.7239 | |
| Germany | 2023 | 133.7849 | 140.3211 | 146.8574 |
| 2024 | 134.8586 | 144.1022 | 153.3459 | |
| 2025 | 136.5622 | 147.8833 | 159.2044 | |
| 2026 | 138.5920 | 151.6644 | 164.7369 | |
| 2027 | 140.8301 | 155.4456 | 170.0610 | |
| E.U. | 2023 | 153.7376 | 158.5934 | 163.4491 |
| 2024 | 158.5705 | 166.8147 | 175.0589 | |
| 2025 | 163.2169 | 175.0361 | 186.8552 | |
| 2026 | 167.5958 | 183.2574 | 198.9190 | |
| 2027 | 171.6982 | 191.4788 | 211.2594 | |
| Czechia | 2023 | 187.0672 | 194.9955 | 202.9238 |
| 2024 | 193.2329 | 207.4156 | 221.5983 | |
| 2025 | 198.1006 | 220.7882 | 243.4758 | |
| 2026 | 201.6717 | 233.6686 | 265.6656 | |
| 2027 | 204.2966 | 246.8034 | 289.3101 | |
| Greece | 2023 | 116.4877 | 132.1272 | 147.7666 |
| 2024 | 112.2928 | 135.7195 | 159.1462 | |
| 2025 | 108.4593 | 137.9105 | 167.3618 | |
| 2026 | 104.6621 | 138.5867 | 172.5114 | |
| 2027 | 100.8457 | 137.7581 | 174.6705 |
Disclaimer/Publisher’s Note: The statements, opinions and data contained in all publications are solely those of the individual author(s) and contributor(s) and not of MDPI and/or the editor(s). MDPI and/or the editor(s) disclaim responsibility for any injury to people or property resulting from any ideas, methods, instructions or products referred to in the content. |
© 2024 by the authors. Licensee MDPI, Basel, Switzerland. This article is an open access article distributed under the terms and conditions of the Creative Commons Attribution (CC BY) license (https://creativecommons.org/licenses/by/4.0/).
Share and Cite
Karavasilis, I.; Vrana, V.; Karavasilis, G. Forecasting the Evolution of the Digital Economy in the Industry of the European Union. J. Risk Financial Manag. 2024, 17, 393. https://doi.org/10.3390/jrfm17090393
Karavasilis I, Vrana V, Karavasilis G. Forecasting the Evolution of the Digital Economy in the Industry of the European Union. Journal of Risk and Financial Management. 2024; 17(9):393. https://doi.org/10.3390/jrfm17090393
Chicago/Turabian StyleKaravasilis, Iordanis, Vasiliki Vrana, and George Karavasilis. 2024. "Forecasting the Evolution of the Digital Economy in the Industry of the European Union" Journal of Risk and Financial Management 17, no. 9: 393. https://doi.org/10.3390/jrfm17090393
APA StyleKaravasilis, I., Vrana, V., & Karavasilis, G. (2024). Forecasting the Evolution of the Digital Economy in the Industry of the European Union. Journal of Risk and Financial Management, 17(9), 393. https://doi.org/10.3390/jrfm17090393

