Framework on Performance Management in Automotive Industry: A Case Study
Abstract
1. Introduction
2. Literature Review
3. Research Methodology
- -
- Identifying basic information related to the studied subject;
- -
- Highlighting the relationship between performance and other variables;
- -
- Verification of the authenticity of the information collected from the studied social documents: financial performance, results, management and organization, other problems faced by the organization.
3.1. Methodology
- -
- Information related to the studied problem—identification of the factors that influence the performance of organizations in the automotive sector;
- -
- Sampling framework—at the headquarters of the car service organizations in Bucharest;
- -
- Target group—managers;
- -
- Sample—selection by statistical method based on reasoning—10 organizations, 10 managers;
- -
- Time required for designing and testing the questionnaires—January–March 2018.
- Companies were constantly expanding;
- They had a local presence and were some of the top brands in the automotive industry;
- They had policies regarding the implementation and maintenance of the integrated quality–security–environment management system;
- They had a vision, mission and objectives related to the performance, which were well-defined and oriented towards quality, security and the environment; continuous improvement; customers; employees; performance; risk; safety; social responsibility.
3.2. Hypotheses
4. Data Analysis
5. Results
6. Comments on the Results: Hypothesis Testing
6.1. Verification of Hypothesis H1
6.2. Verification of Hypothesis H2
7. Conclusions
- -
- For the evaluation of the external condition, the organization should apply at least two evaluation methods and compare the results with those of the competitors;
- -
- Comparison with competitors should be a comparison based on several criteria (not only one), with the assignment of a reference value for each indicator;
- -
- The indicators should be selected by involving the managers at the level of each department.
Author Contributions
Funding
Institutional Review Board Statement
Informed Consent Statement
Data Availability Statement
Conflicts of Interest
References
- Adèr, Herman J., Gideon J. Mellenbergh, and David J. Hand. 2008. Advising On Research Methods: A Consultant’s Companion. Huizen: Johannes van Kessel Publishing. [Google Scholar]
- Akhmetshin, Elvir Munirovich, Vladimir Lvovich Vasilev, Natalia Ivanovna Vlasova, Aleksandr Vasilevich Kazakov, Xenia Yurievna Kotova, and Ruslan Hizrailevich Ilyasov. 2019. Improving Management Functions at an Enterprise: Levels of the Internal Control System. Quality Access to Success 20: 39–43. [Google Scholar]
- Catoiu, Iacob (coord). 2002. Marketing Researches. Bucharest: Uranus Publishing House, p. 311. [Google Scholar]
- Chardine-Baumann, Emilie, and Valerie Botta-Genoulaz. 2014. A framework for sustainable performance assessment of supply chain management practices. Computers & Industrial Engineering 76: 138–47. [Google Scholar]
- Chelcea, Septimiu. 2001. Methodology of Sociological Research: Quantitative and Qualitative Methods. Bucharest: Economic Publishing House. [Google Scholar]
- Chelcea, Septimiu. 2004. Initiation in Sociological Research. Bucharest: Communication Publishing House, p. 105. [Google Scholar]
- Draghici, Anca, Anca-Diana Popescu, and Luminita Maria Gogan. 2014. A proposed model for monitoring organizational performance. Procedia—Social and Behavioral Sciences 124: 544–51. [Google Scholar] [CrossRef][Green Version]
- EFQM. 2020. Available online: http://www.efqm.org (accessed on 10 February 2021).
- Fechete, Ec F. 2016. Research on Industrial Systems Performance Management. Doctoral thesis, Transilvania University, Brasov, Romania. [Google Scholar]
- Hong, Jinpyo, and Boyoung Kim. 2020. Service Quality, Relationship Benefit and Experience Value in the Auto Repair Services Sector. Journal of Open Innovation: Technology, Market, and Complexity 6: 30. [Google Scholar] [CrossRef]
- Hong, Jinpyo, Boyoung Kim, and Sungho Oh. 2020. The Relationship Benefits of Auto Maintenance and Repair Service: A Case Study of Korea. Behavioral Sciences 10: 115. [Google Scholar] [CrossRef] [PubMed]
- Isaksson, Raine. 2006. Total Quality Management for sustainable development: Process based system models. Business Process Management Journal 12: 632–45. [Google Scholar] [CrossRef]
- ISO 10006:2005. 2017. Quality Management Systems. Guidelines for Quality Management in Projects. Available online: www.iso.org (accessed on 20 August 2021).
- ISO 9001:2015. 2005. Quality Management Systems. Requirements. Available online: www.iso.org (accessed on 16 February 2018).
- ISO 9004:2018. 2005. Managing for the Sustained Success of an Organization—A Quality Management Approach. Available online: www.iso.org (accessed on 29 January 2021).
- ISO/TR 10014:2021. 2021. Guidelines for Managing the Economics of Quality. Available online: www.iso.org (accessed on 20 August 2021).
- Jeong, Sukjae, Jaehyun Han, and Jihyun Kim. 2016. A Systematic Approach to Identify Promising New Items for Small to Medium Enterprises: A Case Study. Sustainability 8: 1158. [Google Scholar] [CrossRef]
- Jiang, Jiehui, and Kandachar Prabhu. 2008. New Market, New Challenge, New Opportunity (2)-User Context Research. Paper presented at the 30th Annual International IEEE EMBS Conference, Vancouver, BC, Canada, August 21–24; pp. 1583–86. [Google Scholar]
- Johannsen, Florian. 2013. A holistic approach for integrating methods in quality management. Paper presented at the 11th International Conference on Wirtschaftsinformatik (WI2013), Leipzig, Germany, February 27–March 1, vol. 2, pp. 999–1014. [Google Scholar]
- Khoshkangini, Reza, Peyman Sheikholharam Mashhadi, Peter Berck, Saeed Gholami Shahbandi, Sepideh Pashami, Sławomir Nowaczyk, and Tobias Niklasson. 2020. Early Prediction of Quality Issues in Automotive Modern Industry. Information 11: 354. [Google Scholar] [CrossRef]
- Lee, Pyoungsoo, and Yong Won Seo. 2017. Directions for Social Enterprise from an Efficiency Perspective. Sustainability 9: 1914. [Google Scholar] [CrossRef]
- Ling, Mei Goh, Sook Yeo Fern, Kah Lim Boon, and Seng Tan Huat. 2016. Understanding Customer Satisfaction of Internet Banking: A Case Study In Malacca. Procedia Economics and Finance 37: 80–85. [Google Scholar] [CrossRef]
- Liu, Weihua, Enze Bai, Liwei Liu, and Wanying Wei. 2017. A Framework of Sustainable Service Supply Chain Management: A Literature Review and Research Agenda. Sustainability 9: 421. [Google Scholar] [CrossRef]
- Malevskaia-Malevich, Ekaterina D., and A. Sergey Leonov. 2018. Factor Analysis Model of the Total Cost of Quality in the Enterprise Production Process. Paper presented at the 32nd Conference of the International Business Information Management Association (IBIMA), Seville, Spain, November 15–16; pp. 5886–90. [Google Scholar]
- Medne, Aija, and Inga Lapina. 2019. Sustainability and Continuous Improvement of Organization: Review of Process-Oriented Performance Indicators. Journal of Open Innovation Technology Market and Complexity 5: 49. [Google Scholar] [CrossRef]
- Mitchell, Mark L., and Janina M. Jolley. 2001. Research Design Explained, 4th ed. Beverly: Wadsworth Publisher. [Google Scholar]
- Mitreva, Elizabeta, Simona Gjurevska, Nako Taskov, and Hristijan Gjorshevski. 2019. Application of Methods and Techniques for Free Production in a Company for Manufacture of Bread and Bakery Products. Quality Access to Success 20: 141–45. [Google Scholar]
- Molina-Azorín, José F., Juan J. Tarí, Enrique Claver-Cortés, and Maria D. López-Gamero. 2009. Quality management, environmental management and firm performance: Areview of empirical studies and issues of integration. International Journal of Management Reviews 11: 197–222. [Google Scholar] [CrossRef]
- Munn, Pamela, and Eric Drever. 2004. Using Questionnaires in Small-Scale Research: A Beginner’s Guide. Glasgow: Scottish Council for Research in Education Center. [Google Scholar]
- Najwa, Abu Bakar, Selamat Ali, and Krejcar Ondrej. 2019. Improving Agent Quality in Dynamic Smart Cities by Implementing an Agent Quality Management Framework. Applied Sciences 9: 5111. [Google Scholar]
- Nenadál, Jaroslav, David Vykydal, and David Waloszek. 2018. Organizational Excellence: Approaches, Models and their use in Czech Organizations. Quality Innovation Prosperity 22: 47–64. [Google Scholar] [CrossRef]
- Nguyen, Minh Hue, Anh Chi Phan, and Yoshiki Matsui. 2018. Contribution of Quality Management Practices to Sustainability Performance of Vietnamese Firms. Sustainability 10: 375. [Google Scholar] [CrossRef]
- Okolnishnikova, Irina, Georgiy M. Greyz, Yulia G. Kuzmenko, and Viktor M. Katochkov. 2018. Selection of Logistics Performance Indicators. Paper presented at the 32nd Conference of the International Business Information Management Association (IBIMA), Seville, Spain, November 15–16; pp. 7395–400. [Google Scholar]
- Olaru, Marieta, Dorin Maier, Diana Nicoara, and Andreea Maier. 2014. Establishing the basis for Development of an Organization by Adopting the Integrated Management Systems: Comparative Study of Various Models and Concepts of Integration. Procedia—Social and Behavioral Sciences 109: 693–97. [Google Scholar] [CrossRef]
- Parameshwaran, Rajagopalan, and Parthi S. Srinivasan. 2008. An Integrated Closed-loop Model for Service Performance Management. International Journal of Services and Operations Management 4: 34–55. [Google Scholar] [CrossRef]
- Popescu, Dan, Antoni Garcia-Sanchez, Valentina Nicolae, Cristina State, and Livia Toanca. 2015. Empirical Research Regarding the Importance of Volunteering for the Sustainable Development of Social Economy Enterprises. Economic Computation and Economic Cybernetics Studies and Research 49: 49–67. [Google Scholar]
- Proksch, Dorian, Julia Busch-Casler, Marcus Max Haberstroh, and Andreas Pinkwart. 2019. National health innovation systems: Clustering the OECD countries by innovative output in healthcare using a multi indicator approach. Research Policy 48: 169–79. [Google Scholar] [CrossRef]
- Roth, Aleda V., and Larry J. Manor. 2009. Insights into service operations management: A research agenda. Production and Opererations Management 12: 145–64. [Google Scholar] [CrossRef]
- Schaltegger, Stefan, and Marcus Wagner. 2006. Integrative management of sustainability performance, measurement and reporting. International Journal of Accounting, Auditing and Performance Evaluation (IJAAPE) 3: 1–19. [Google Scholar] [CrossRef]
- Schwab, Donald P. 2005. Research Methods for Organizational Studies, 2nd ed. New York: Psychology Press. [Google Scholar]
- Siva, Vanajah, Ida Gremyr, Bjarne Bergquist, Rickard Garvare, Thomas Zobel, and Raine Isaksson. 2016. The support of Quality Management to sustainable development: A literature review. Journal of Cleanner Production 138, Pt 2: 148–57. [Google Scholar]
- Spector, Paul E. 2012. Industrial and Organizatiional Psychology. Research and Practice, 6th ed. Singapore: John Wiley and Sons. [Google Scholar]
- Staš, David, Radim Lenort, Pavel Wicher, and David Holman. 2015. Green Transport Balanced Scorecard Model with Analytic Network Process Support. Sustainability 7: 15243–61. [Google Scholar] [CrossRef]
- Tigist, Fetene Adane, and Mihai Nicolescu. 2018. Towards a Generic Framework for the Performance Evaluation of Manufacturing Strategy: An Innovative Approach. Journal of Manufacturing and Materials Processing 2: 23. [Google Scholar]
- To, Wai Ming, Billy TW Yu, and Peter KC Lee. 2018. How Quality Management System Components Lead to Improvement in Service Organizations: A System Practitioner Perspective. Administrative Sciences 8: 73. [Google Scholar] [CrossRef]
- Wagner, I. 2021. Automotive Industry Worldwide—Statistics & Facts. Available online: https://www.statista.com/topics/1487/automotive-industry/ (accessed on 20 August 2021).
- Werner-Lewandowska, Karolina, and Paulina Golinska-Dawson. 2021. Sustainable Logistics Management Maturity—The Theoretical Assessment Framework and Empirical Results from Poland. Sustainability 13: 5102. [Google Scholar] [CrossRef]
- Wismantoro, Yohan, Herry Subagyo, and Vincent Didiek Wiet Aryanto. 2019. Model for Website Service Quality and Technology Acceptance Factors: A Case Study of Online Shoppers in Indonesia. Quality Access to Success 20: 89–94. [Google Scholar]
- Yee, Rachel WY., Peter KC. Lee, Andy CL Yeung, and TC Edwin Cheng. 2013. The relationships among leadership, goal orientation, and service quality in high-contact service industries: An empirical study. International Journal of Production Economics 141: 452–64. [Google Scholar] [CrossRef]
- Young, Sik Cho, Joo Yung Y. Jung, and Kevin Linderman. 2017. The QM evolution: Behavioral quality management as a firm’s strategic resource. International Journal of Production Economics 191: 233–49. [Google Scholar]















| Section (S) | Respondent Answer | Assessment | Scores |
|---|---|---|---|
| S1; S2; S3: 3.3 to 3.5; S4; S5; S6: 6.1; 6.3 to 6.5. | No | We do not perform this activity | 0 |
| Partial | There is a plan for carrying out this activity | 3 | |
| Yes | We are implementing this activity | 5 | |
| S3: 3.1 | ISO 9001 | Reference standard | 10 |
| Other documents | Other quality requirements | 5 | |
| Not applicable | We are not implementing this activity | 0 | |
| S3: 3.2 | No | We are not implementing this activity | 0 |
| Yes, ISO 9001 + 1 system | ISO 9001 + 1 system | 5 | |
| Yes, ISO 9001 + 2 systems | ISO 9001 + 2 systems | 8 | |
| Yes, ISO 9001 + 3 systems or more than 3 | ISO 9001 + 3 systems or more than 3 | 10 | |
| S6: 6.2 | No | We are not implementing this activity | 0 |
| When changes are made to the premises that formed the basis for their establishment | We perform checks on the premises | 3 | |
| Yes | There is a well-established plan for carrying out this activity | 5 |
| Section (S) | Respondent Answer | Assessment | Scores |
|---|---|---|---|
| S7 | No | The results are not measured, or the objectives have not been met | 0 |
| Partial | Most of the objectives have been met | 3 | |
| Yes | The objectives have been met or even advanced | 5 |
| S1 | S2 | S3 | S4 | S5 | S6 | S7 | |
|---|---|---|---|---|---|---|---|
| Total max/criteria | 25 | 25 | 35 | 25 | 25 | 25 | 25 |
| Total max/questionnaire | 185 | ||||||
| Target Group | Number of Questionnaires Sent | Received Answers | Validated Answers | Canceled Answers * | Answers Received (%) | Validated Answers (%) | Canceled Answers * (%) |
|---|---|---|---|---|---|---|---|
| Managers | 10 | 7 | 6 | 1 | 70 | 85.71 | 14.28 |
| No. | Manufacturers | Units Sold | |||
|---|---|---|---|---|---|
| 2018 | 2017 | 2016 | 2015 | ||
| 1 | Dacia | 51,242 | 29,974 | 27,597 | 26,840 |
| 2 | Group VW | 14,601 | 9361 | 8339 | 7184 |
| 3 | Renault | 12,523 | 7708 | 6910 | 4900 |
| 4 | Ford | 9503 | 8043 | 6834 | 5749 |
| 5 | Toyota | 5179 | 3752 | 3089 | 2863 |
| 6 | Mazda | 2259 | 1897 | 1653 | 1467 |
| No. | Manufacturers | Turnover (RON) | Strategies Related to Performance Management | |
|---|---|---|---|---|
| 2018 | 2017 | |||
| 1 | Dacia | 29,496,295.0 | 27,573,421.0 | Customer Satisfaction, Quality, Process Improvement |
| 2 | Group VW | 158,202,631.0 | 151,591,646.0 | Environment, Customer Orientation, Compliance |
| 3 | Renault | 188,319,360.0 | 154,096,604.0 | Efficiency, Quality, Standardization, Environment |
| 4 | Ford | 177,259,928.0 | 148,459,972.0 | Human Resource Development, Clients, Quality, Eco, Social Responsibility |
| 5 | Toyota | 152,051,923.0 | 12,785,133.0 | Continuous Improvement, Customers, Employees, Risk, Safety, Environmental Quality, Efficiency |
| 6 | Mazda | 733,006,910.0 | 70,358,697.0 | Customer Satisfaction, Quality Environment Security, Processes, Technology |
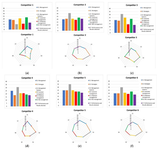
| Unit/Section | C1 | C2 | C3 | C4 | C5 | C6 | Total |
|---|---|---|---|---|---|---|---|
| S1 | 19 | 20 | 21 | 25 | 25 | 20 | 130 |
| S2 | 18 | 21 | 20 | 18 | 25 | 20 | 122 |
| S3 | 10 | 31 | 31 | 31 | 35 | 30 | 168 |
| S4 | 21 | 21 | 25 | 21 | 25 | 21 | 134 |
| S5 | 11 | 19 | 14 | 21 | 23 | 19 | 107 |
| S6 | 23 | 23 | 23 | 19 | 23 | 23 | 134 |
| S7 | 13 | 21 | 13 | 18 | 21 | 18 | 104 |
| Total | 115 | 156 | 147 | 153 | 177 | 151 |
| No | Strategies Related to Performance Management | Percentage of Achievement of the Criteria (%) |
|---|---|---|
| 1 | Customer satisfaction | 84% |
| Quality | 28.6% | |
| Process improvement | 52% | |
| 2 | Environment | 88.6% |
| Customer orientation | 84% | |
| Conformity | 84% | |
| 3 | Efficiency | 52% |
| Quality—Environment | 88.6% | |
| Standardization | 80% | |
| 4 | Human resource development | 84% |
| Clients | 84% | |
| Quality Eco | 88.6% | |
| Social Responsibility | 72% | |
| 5 | Continuous improvement | 100% |
| Customers | 100% | |
| Employees | 92% | |
| Risk and Safety | 92% | |
| Quality and Environment | 84% | |
| 6 | Customer satisfaction | 85.7% |
| Quality—Environment | 72% | |
| Security Processes | 84% | |
| Technology | 80% | |
| Global results | 81% |
| No | Categories of Problems | No. of Appearances | Frequency (%) |
|---|---|---|---|
| 1 | Insufficient employee involvement | 2 | 11.11 |
| 2 | Lack of indicators on employee satisfaction | 2 | 11.11 |
| 3 | Negative feedback received from customers | 3 | 16.67 |
| 4 | Lack of integrated information systems | 1 | 5.556 |
| 5 | Employee motivation tools are limited | 1 | 5.556 |
| 6 | Large staff turnover | 4 | 22.22 |
| 7 | Long duration of solving service interventions | 1 | 5.556 |
| 8 | Lack of a program for the integration of ethnic minorities | 1 | 5.556 |
| 9 | Asynchronization of expenses with receipts | 2 | 11.11 |
| 10 | Lack of a program to attract young high school/college graduates | 1 | 5.556 |
| Total: | 8 | 100 | |
Publisher’s Note: MDPI stays neutral with regard to jurisdictional claims in published maps and institutional affiliations. |
© 2021 by the authors. Licensee MDPI, Basel, Switzerland. This article is an open access article distributed under the terms and conditions of the Creative Commons Attribution (CC BY) license (https://creativecommons.org/licenses/by/4.0/).
Share and Cite
Lascu, E.; Severin, I.; Lascu, F.D.; Gudana, R.A.; Nalbitoru, G.; Ignat, N.D. Framework on Performance Management in Automotive Industry: A Case Study. J. Risk Financial Manag. 2021, 14, 480. https://doi.org/10.3390/jrfm14100480
Lascu E, Severin I, Lascu FD, Gudana RA, Nalbitoru G, Ignat ND. Framework on Performance Management in Automotive Industry: A Case Study. Journal of Risk and Financial Management. 2021; 14(10):480. https://doi.org/10.3390/jrfm14100480
Chicago/Turabian StyleLascu, Elena, Irina Severin, Florina Daniela Lascu, Razvan Adrian Gudana, Gabriela Nalbitoru, and Nicoleta Daniela Ignat. 2021. "Framework on Performance Management in Automotive Industry: A Case Study" Journal of Risk and Financial Management 14, no. 10: 480. https://doi.org/10.3390/jrfm14100480
APA StyleLascu, E., Severin, I., Lascu, F. D., Gudana, R. A., Nalbitoru, G., & Ignat, N. D. (2021). Framework on Performance Management in Automotive Industry: A Case Study. Journal of Risk and Financial Management, 14(10), 480. https://doi.org/10.3390/jrfm14100480

