Next Article in Journal
Modeling NYSE Composite US 100 Index with a Hybrid SOM and MLP-BP Neural Model
Previous Article in Journal
Determination of the Optimal Retention Level Based on Different Measures
Previous Article in Special Issue
Portfolios Dominating Indices: Optimization with Second-Order Stochastic Dominance Constraints vs. Minimum and Mean Variance Portfolios
 
 
Font Type:
Arial Georgia Verdana
Font Size:
Aa Aa Aa
Line Spacing:
Column Width:
Background:
Article

Accurate Evaluation of Expected Shortfall for Linear Portfolios with Elliptically Distributed Risk Factors

Board of Governors of the Federal Reserve System, 20th St. and Constitution Ave. N.W., Washington, DC 20551, USA
*
Authors to whom correspondence should be addressed.
J. Risk Financial Manag. 2017, 10(1), 5; https://doi.org/10.3390/jrfm10010005
Submission received: 31 July 2016 / Revised: 28 December 2016 / Accepted: 24 January 2017 / Published: 2 February 2017
(This article belongs to the Special Issue Advances in Modeling Value at Risk and Expected Shortfall)

Abstract

:
We provide an accurate closed-form expression for the expected shortfall of linear portfolios with elliptically distributed risk factors. Our results aim to correct inaccuracies that originate in Kamdem (2005) and are present also in at least thirty other papers referencing it, including the recent survey by Nadarajah et al. (2014) on estimation methods for expected shortfall. In particular, we show that the correction we provide in the popular multivariate Student t setting eliminates understatement of expected shortfall by a factor varying from at least four to more than 100 across different tail quantiles and degrees of freedom. As such, the resulting economic impact in financial risk management applications could be significant. We further correct such errors encountered also in closely related results in Kamdem (2007 and 2009) for mixtures of elliptical distributions. More generally, our findings point to the extra scrutiny required when deploying new methods for expected shortfall estimation in practice.

1. Introduction

Important advantages of expected shortfall (ES) over value at risk (VaR) as a coherent risk measure (see [1]) have drawn the attention of financial risk managers, regulators and academics alike. For instance, a key element of a recent proposal by the Basel Committee on Banking Supervision [2] is moving the quantitative risk metrics system in regard to trading book capital requirement policies from 99% VaR to 97.5% ES. The surge in interest in ES estimation methods also has been reflected in the recent and extensive survey by Nadarajah et al. [3], which emphasizes many new developments and covers over 140 references on the subject. In this context, using elliptically distributed risk factors emerges as an appealing choice in multivariate settings because elliptical distributions can model heavy-tailed, and thus riskier, financial return distributions flexibly while remaining analytically tractable. These benefits, however, require restricting all risk factors to have equally heavy tails. Although imposing any particular parametric distributional assumptions can be avoided by using non-parametric approaches to ES estimation, such as those in [4,5] among many others, doing so requires sacrificing analytical tractability (see [3] for further details). Within the class of elliptical models, one popular example is given by the multivariate Student t distribution, which allows for setting the tail index, and consequently the thickness of the tails, directly as a function of the number of degrees of freedom.
Further restricting attention to linear portfolios, the main purpose of this paper is to correct the inaccuracies in Kamdem [6] for the analytical expressions and numerical results for ES in both the elliptical and the multivariate Student t cases. In particular, the ES expressions derived in [6] for both the general case of any elliptical distribution and the special case of a multivariate Student t distribution are too large by a factor of two. Furthermore, we find that the power in the ES formula for multivariate Student t should be ( ν 1 2 ) , rather than ( ν + 1 2 ) as derived in [6]. This second error more than offsets the missing scaling factor of 1 / 2 , implying that fixing both errors will increase estimates of ES for portfolios of risk factors that are distributed according to a multivariate Student t distribution. Both the linear and nonlinear errors are propagated in the survey paper by Nadarajah et al. [3] and are confounded by additional numerical errors found in [6] for the tabulated values for ES in the multivariate Student t case. More specifically, we find that the inaccurate analytical expression derived in [6] does not match the reported numerical values in [6] for ES in the multivariate Student t case and neither one of them matches the correct expression and values we derive.
Including the recent survey by Nadarajah et al. [3], the inaccurate results in [6] have been referenced in at least 30 subsequent English publications without correction [3,7,8,9,10,11,12,13,14,15,16,17,18,19,20,21,22,23,24,25,26,27,28,29,30,31,32,33,34,35,36]. Ten more papers not written in English also cite [6]; our ability to read these papers is limited, but they do not seem to correct the inaccuracies in [6] either. In particular, while Lu’s Ph.D. thesis [36] contains a stand-alone derivation of the correct analytical expression for ES in the multivariate Student t case, it still reports the inaccurate ES expression in [6] for the general elliptical case; it also does not correct any of the numerical inaccuracies in [6] for the multivariate Student t case. Similarly, the work in [18] provides a stand-alone derivation of the correct ES expression only for the multivariate Student t case, addressing neither the general elliptical case nor the need to correct numerical results in [6]. Moreover, in addition to being incomplete, neither of these implicit corrections of part of the results in [6] has drawn attention to the errors originating in [6] that have spilled over into all of the above other references. As such, the inaccuracies in [6] that we aim to correct have yet to be explicitly recognized and acknowledged more broadly. As evidenced also by their propagation to the recent survey [3] both in the general elliptical case and the special multivariate Student t case, it is likely for the inaccurate results to be further utilized and propagated if left uncorrected.
In terms of magnitude of the resulting tail risk measurement errors, applying our correction in the popular multivariate Student t setting, particularly the derivation of the correct power ( ν 1 2 ) in addition to applying the necessary scaling factor of 1 / 2 from the general elliptical case, eliminates understatement of ES by a factor varying from at least four to more than 100 across different tail quantiles and degrees of freedom. For the 97.5% quantile specified by [2] and the range of 3–8 degrees of freedom commonly used in risk management applications, the corrections produce ES estimates that are around six times larger. Clearly, the resulting economic impact in financial risk management applications could be significant. As another contribution of our paper, we eliminate such economically significant inaccuracies that have propagated also in the closely related results in [7,8] for ES in the case of mixtures of elliptical distributions.
Another viable approach to obtaining the accurate ES expression for linear portfolios in elliptically distributed risk factors we derive would be to express the returns of such portfolios as corresponding univariate elliptically distributed random variables and making appropriate substitutions in the respective ES formula for the univariate case. We show the equivalence of this alternative approach by specializing the expressions we derive to the univariate Student t case. In response to helpful direction from an anonymous referee, we further note that Landsman and Valdez [37] (Theorems 1 and 2), preceding the results in [6], have formally advocated this approach for representing ES for linear combinations of jointly elliptical variables. However, neither [6], nor the recent survey [3] on estimation methods for ES or any of the other references mentioned above, have made the connection provided herein to the results in [37] as an alternative way to correct the errors in [6].
The paper proceeds as follows. Section 2 derives the correct ES expression in the general elliptical case. Section 3 deals with the additional correction that needs to be made in the multivariate Student t case. Section 4 validates the corrected ES expressions via a mapping to the univariate Student t case. Section 5 conducts an assessment of the resulting economic impact. Section 6 extends the correction to mixtures of elliptical distributions, and more particularly multivariate Student t mixtures. Section 7 concludes the paper.

2. Accurate ES in the General Elliptical Case

Following the notations in [6], we consider a linear portfolio with a weight row vector δ = ( δ 1 , δ 2 , , δ n ) in n elliptically distributed risky returns X = X 1 , , X n with mean μ, scale matrix Σ = A A , and probability density function (pdf) of X taking the form
f X x = Σ 1 / 2 g x μ Σ 1 x μ
for some non-negative density generator function g, where, for any square matrix, · represents the determinant.
The expected shortfall at a quantile α associated with the continuous portfolio returns Δ Π δ X = δ 1 X 1 + + δ n X n is then given by
ES α = E Δ Π | Δ Π VaR α = 1 α E Δ Π · 1 Δ Π VaR α = 1 α δ x VaR α δ x f x d x ,
where VaR α is defined by Pr Δ Π < VaR α = α . The notation follows the usual convention of recording portfolio losses as negative numbers, but stating VaR and ES as positive quantities of money. For further discussion of ES, including definitions applicable for discontinuous returns, see [38].
After the same two changes of variables as in [6] (Section 2), we arrive at
ES α = 1 α δ A z 1 δ μ VaR α δ A z 1 + δ μ g z 2 d z = 1 α δ A z 1 δ μ VaR α δ A z 1 g z 2 d z + δ μ ,
where the norm · is defined as the Euclidean norm. We note that the first change of variables in [6], y = x μ A 1 , transforms the distribution into a spherical distribution with the same generating function [39] (Corollary 2.1 and Definition 2.2). The spherical distribution is invariant to rotations like the second change of variables, y = z R , where R is the rotation in [6].
By writing z 2 = z 1 2 + z 2 and introducing spherical coordinates z = r ξ , ξ S n 2 , the integral on the right-hand side above can be expressed as
ES α = δ μ + S n 2 α 0 r n 2 q α δ A z 1 g z 1 2 + r 2 d z 1 d r ,
where S n 2 = 2 π n 1 2 Γ ( n 1 2 ) is the surface measure of the unit-sphere in R n 1 , Γ ( a ) = 0 e t t a 1 d t is the Gamma function, and q α = δ μ + VaR α δ A . We can then change the variable z 1 to z 1 and the variable r to u as given by u = z 1 2 + r 2 , which then implies that d u = 2 r d r so that d r = d u 2 r = d u 2 u z 1 2 and r = u z 1 2 . Substituting the change of variables leads to the following equivalent expression for ES α ,
ES α = δ μ S n 2 α q α 0 r n 2 δ A z 1 g z 1 2 + r 2 d r d z 1 = δ μ S n 2 δ A 2 α q α z 1 2 z 1 u z 1 2 n 3 2 g u d u d z 1 .
Changing the order of the two integrals further yields
ES α = δ μ S n 2 δ A 2 α q α 2 q α u z 1 u z 1 2 n 3 2 g u d z 1 d u = δ μ S n 2 δ A 2 α q α 2 g u q α u z 1 u z 1 2 n 3 2 d z 1 d u .
Because the inner integral simplifies to 1 n 1 u q α 2 n 1 2 , and by definition δ A = δ Σ δ 1 / 2 , we obtain the following final result,
ES α = δ μ + δ A S n 2 2 α q α 2 1 n 1 u q α 2 n 1 2 g u d u = δ μ + δ Σ δ 1 / 2 2 π n 1 2 2 α Γ n 1 2 n 1 = 2 Γ n + 1 2 q α 2 u q α 2 n 1 2 g u d u = δ μ + δ Σ δ 1 / 2 π n 1 2 2 α Γ ( n + 1 2 ) q α 2 u q α 2 n 1 2 g u d u .
Thus, we have proved the following theorem for ES in the general elliptical case:
Theorem 1.
The expected shortfall E S α at quantile α of a linear portfolio δ X in elliptically distributed risk factors X with pdf defined by f X x = Σ 1 / 2 g x μ Σ 1 x μ is given by
E S α = δ μ + δ Σ δ 1 / 2 π n 1 2 2 α Γ ( n + 1 2 ) q α 2 u q α 2 n 1 2 g u d u ,
where q α = δ μ + V a R α δ Σ δ 1 / 2 .
Remark 1.
From [6] (Theorem 2.1), q α is the unique solution of a transcendental equation; the specific equation will depend on the type of elliptical distribution.
Comparing the above result to the corresponding expressions in [6] (Equation (4.1) in Theorem 4.1) as well as in [3] (Equation (15) in Section 3.20), we conclude that our second term on the right-hand side of Equation (1) is smaller by a factor of 2. In particular, this corrects a two-fold overstatement of ES in the zero-mean case of typical interest in many short-term financial risk management applications. To highlight the difference, the formulas are compared for the zero-mean unit-scale case (i.e., δ μ = 0 , δ Σ δ 1 / 2 = 1 ) in Figure 1 on the following page, where the factor has been increased in size and colored red.

3. Accurate ES in the Multivariate Student t Case

The formula in Equation (1) can be specialized to derive ES α for any specific distribution in the family of multivariate elliptical distributions, by replacing g u with the appropriate generating function. A special case commonly used in risk management applications is given by the multivariate Student t distribution, which for a specified degrees of freedom ν, has the following pdf,
f X x = Γ ( ν + n 2 ) Γ ( ν 2 ) Σ ν π n 1 + x μ Σ 1 x μ ν n + ν 2 .
We note that the pdf of a multivariate Student t distribution can be defined different ways; we are both following [6] and using what [40] (p. 1) calls “the most common and natural form” of the pdf of a multivariate Student t distribution. Substituting g u = Γ ( ν + n 2 ) Γ ( ν 2 ) ν π n 1 + u ν n + ν 2 into Equation (1) above further specializes the obtained general expression for ES to the multivariate Student t case, so that
ES α = δ μ + δ Σ δ 1 / 2 π n 1 2 2 α Γ ( n + 1 2 ) Γ ( ν + n 2 ) Γ ( ν 2 ) ν π n q α 2 u q α 2 n 1 2 1 + u ν n + ν 2 d u = δ μ + δ Σ δ 1 / 2 1 2 α ν n π Γ ( ν + n 2 ) Γ ( ν 2 ) Γ ( n + 1 2 ) q α 2 u q α 2 n 1 2 1 + u ν n + ν 2 d u .
By [6] (Lemma 2.1), where B a , b = Γ a Γ b Γ a + b is the Euler Beta function, we have the following equality
q α 2 u q α 2 n 1 2 1 + u ν n + ν 2 d u = ν n + ν 2 q α 2 + ν ν 1 2 B ν 1 2 , n + 1 2 .
Substituting the equality into the prior equation yields in turn:
ES α = δ μ + δ Σ δ 1 / 2 1 2 α ν n π Γ ( ν + n 2 ) Γ ( ν 2 ) Γ ( n + 1 2 ) ν n + ν 2 q α 2 + ν ν 1 2 B ν 1 2 , n + 1 2 = δ μ + δ Σ δ 1 / 2 1 2 α ν n π Γ ( ν + n 2 ) Γ ( ν 2 ) Γ ( n + 1 2 ) ν n + ν 2 q α 2 + ν ν 1 2 Γ ( ν 1 2 ) Γ ( n + 1 2 ) Γ ( n + ν 2 ) = δ μ + δ Σ δ 1 / 2 ν ν 2 2 α π Γ ( ν 1 2 ) Γ ( ν 2 ) q α 2 + ν ν 1 2 .
With this, we obtain the following result for ES in the multivariate Student t case:
Theorem 2.
The expected shortfall E S α at quantile α of a linear portfolio δ X in risk factors X having multivariate Student t distribution with pdf f X x = Γ ν + n 2 Γ ν 2 Σ ν π n 1 + x μ Σ 1 x μ ν n + ν 2 is given by
E S α = δ μ + e s α , ν · δ Σ δ 1 / 2 ,
with
e s α , ν = ν ν 2 2 α π Γ ( ν 1 2 ) Γ ( ν 2 ) q α , ν 2 + ν ν 1 2
and
q α , ν = δ μ + V a R α δ Σ δ 1 / 2 ,
where q α , ν is uniquely determined by solving a transcendental equation given by [6] (Theorem 2.2) and [3] (Section 3.20).
Remark 2.
Accurate numerical values of q α , ν for different α and ν of interest are reproduced in Table A1 in the appendix as tabulated also by [6] (Section 2.2).
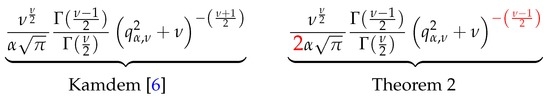
A close inspection of our expression for e s α , ν in Equation (4) above in comparison to the corresponding equations in [6] (Theorem 4.2) and [3] (Section 3.20) reveals a difference of 1 in the power of the last term q α , ν 2 + ν ν 1 2 in addition to the extra scaling factor by 2 inherited from the correction made above in the general elliptical case. In particular, the correct power of that term is ( ν 1 2 ) rather than ( ν + 1 2 ) . This nonlinear error is larger than the missing scaling factor. Combined, these two corrections eliminate an understatement of ES by a factor of q α , ν 2 + ν 2 > 1 in the zero-mean multivariate Student t setting with ν 2 degrees of freedom of particular interest in many applications. Again to highlight the difference, the formulas are compared for the zero-mean unit-scale case in Figure 2, where the different power term is colored red in addition to the scaling factor being increased in size and colored red. If ν > 2 , the zero-mean unit-scale case can be transformed to unit-variance by further multiplying by ν 2 ν .
Before conducting a numerical assessment of this combined effect of correcting the two separate inaccuracies in the ES expressions found in the general elliptical case and the multivariate Student t case overlooked in both [3,6], we first provide an alternative way to reconcile our results through the univariate Student t case.

4. Comparison to the Univariate Student t Case

The ES expression in Theorem 2 holds for any linear portfolio. In particular, it should hold if only a single asset is held, for example if δ = [ 1 , 0 , , 0 ] . Consequently, the formula for expected shortfall for the multivariate Student t should reproduce the formula for a univariate Student t.
The results in [41] (Section 2.2.2) show that the expected shortfall for a zero-mean unit-scale univariate Student t random variable is given by
ES α = 1 α π ν Γ ( ν + 1 2 ) Γ ( ν 2 ) 1 + q α 2 ν ν + 1 2 ν + q α 2 ν 1 .
Note that we can restrict attention to the zero-mean unit-scale case without loss of generality given the affine properties of ES for Student t or any elliptical distribution.
Collecting terms and using known identities allows us to equivalently express this as
ES α = 1 α π Γ ( ν + 1 2 ) Γ ( ν 2 ) ν + q α 2 ν + 1 2 ν ν 2 ν + q α 2 ν 1 = 1 α π ν 1 2 Γ ( ν 1 2 ) Γ ( ν 2 ) ν + q α 2 ν + 1 2 ν ν 2 ν + q α 2 ν 1 = 1 α π Γ ( ν 1 2 ) 2 Γ ( ν 2 ) ν + q α 2 ν 1 2 ν ν 2 = ν ν 2 2 α π Γ ( ν 1 2 ) Γ ( ν 2 ) q α 2 + ν ν 1 2 .
This result matches exactly our Equation (4) from Theorem 2 with n = 1 for the zero-mean unit-scale case. Equations (23) and (27) in Landsman and Valdez [37] present a seemingly different closed-form ES expression for univariate Student t distribution. Although it is not the same as Equation (6), substituting with known equalities and rearranging terms makes it identical to Equation (6) in line with the accuracy of our expression specialized to the univariate case.
Conversely, combining this expression from the univariate case with the location-scale properties of the multivariate Student t distribution (as an elliptical distribution) with respect to δ μ and δ Σ δ 1 / 2 can also be used to reconcile our expressions in Theorem 2 with the ones that can be obtained following the approach by [37] (Theorems 1 and 2), which precedes the inaccurate results in [6] that we correct. The consistency of our results in the univariate case also readily applies to general elliptical distributions. By contrast, the formulas contained in both [3,6] for elliptical distributions and multivariate Student t distributions are not consistent with the respective univariate formulas.

5. Economic Impact of the Correction

In order to assess the resulting economic impact, we study numerically the combined effect of the above corrections of the inaccuracies in the ES expressions found in [3,6] as well as additional numerical errors we uncover in the respective tabulated values in [6]. For ν 2 , without loss of generality, it suffices to restrict attention to the zero-mean unit-scale multivariate Student t setting as from Equation (3) it follows that the key value needed for computing ES for multivariate Student t risk factors is e s α , ν defined in Equation (4). We therefore compare values of e s α , ν calculated with the accurate formula derived in Section 2 and Section 3, the inaccurate formula in [6] (Theorem 4.2) and [3] (Section 3.20), as well as the corresponding inaccurately tabulated numerical values in [6] (Section 4.1) based on the same underlying values of q α , ν 2 replicated in Table A1 in the appendix.
In particular, we tabulate in Table 1 on the next page the accurate (panel A) and inaccurate (panel B) values of e s α , ν as well as their ratio (panel D) across different tail quantiles α = 0.01 , 0.025 , 0.05 and degrees of freedom ν = 2 , 3, 4, 5, 6, 7, 8, 9, 10, 100, 200, 250. It stands out that the ratio q α , ν 2 + ν / 2 of the accurate versus inaccurate values reported in panel D of Table 1 is quite large and varies from at least just above four (for α = 0.05 and ν = 3 or 4) to more than 100 (for ν 200 ). The later discrepancies occur as the results should be converging to the results for a Gaussian distribution; the results in panel A are converging to the Gaussian ones unlike the values in panel B.
Importantly, in the case of α = 0.025 , the minimum ratio of the accurate to inaccurate values of ES is about 6. Given that moving the quantitative risk metrics system in regard to trading book capital requirement policies from 99% VaR to 97.5% ES (i.e., in our notation α = 0.025 ) is a key element of the recent proposal by [2], the numerical results imply that the correction would eliminate at least a six-fold, and potentially much larger, understatement of risk per unit of standard deviation or volatility in the popular zero-mean multivariate Student t setting. Clearly, the resulting economic impact in financial risk management applications could be significant.
Noting again the magnitude and potential economic impact of our correction, one could look for possible reasons as to why such large inaccuracies in the otherwise quite popular multivariate Student t setting could have gone unnoticed. One important observation to make in this regard is that, as recently noted by [42] among others, the literature on backtesting ES is fairly new, thereby leaving a potential loophole for any such errors in ES computations to go unnoticed for a while because financial industry applications may not yet perform routine and powerful enough ES backtesting.
Another possibility to keep in mind is that instead of using the inaccurate expressions in [3,6], one could alternatively take directly the values of e s α , ν tabulated in [6] (Section 4.1), and reproduced in panel C of Table 1. These numerical values happen to be offset by yet another separate mistake by a factor of 10, thereby mechanically, but still inaccurately, shifting the discrepancy in the opposite more conservative direction across much of the range of tabulated different tail quantiles and degrees of freedom. To illustrate this, panel E reports the ratio of the accurate analytical values (panel A) to the inaccurate numerically tabulated values (panel C). In particular, the magnitude of ES underestimation when using the wrongly tabulated values in panel C still remains very large for ν much larger than 10. However, for most other values of ν, there is at least some partial cancellation effect with all other errors as a result of this third inaccuracy in [6]; the result for 97.5% ES specified by [2] and the range of 3–8 degrees of freedom commonly used in risk management applications would be to bring most discrepancies down to the order of 0.6 , thereby shifting the direction of the numerical errors from underestimation to overestimation of ES.
Last but not least, as pointed out above, the accurate ES expressions we provide can also be obtained following the alternative approach by Landsman and Valdez [37] preceding [6]. Thus, although the inaccurate results in [6] have spread across [3,7,8,9,10,11,12,13,14,15,16,17,18,19,20,21,22,23,24,25,26,27,28,29,30,31,32,33,34,35,36], it cannot be ruled out that, at least in some cases, the errors in [6] could have been avoided by following [37] instead.
All in all, partial offsetting of different errors, challenges with ES backtesting, as well as the potential use of viable alternative approaches such as [37] could have played a role for ES discrepancies of even such large magnitude and potential economic impact as the ones we report in panel D of Table 1 to elude detection for some time. Our findings provide a word of caution about the scrutiny required when deploying any new methods for ES estimation in practice, as may be happening as a result of the proposed new guidelines issued by the Basel Committee on Banking Supervision [2].

6. Accurate ES for Mixtures of Elliptical Distributions and Multivariate Student t Mixtures

As another useful application, we further eliminate similar economically significant inaccuracies that have propagated also in closely related results for ES in the case of mixtures of elliptical distributions studied by [7,8]. Distribution mixtures are known to provide another flexible and tractable way for modelling an even richer set of heavy tailed distributions in risk management applications. In particular, using a similar derivation to [6], both [7,8] provide inaccurate closed-form ES expressions for the general case of mixtures of elliptical distributions as well as the special case of multivariate Student t mixtures with identical variance–covariance matrix Σ i = Σ . The expressions for ES in [7,8] have inherited the omission of the scaling factor 1 / 2 corrected above. Therefore, for the sake of completeness, we provide accurate ES expressions first for the general case of multivariate elliptical distribution mixtures (Theorem 3) and then also for the special case of multivariate Student t mixtures (Theorem 4).
Theorem 3.
The expected shortfall E S α , β i i = 1 m , g i i = 1 m at quantile α of a linear portfolio δ X in risk factors X following a mixture of elliptical distributions with pdf f X x = i = 1 m β i Σ i 1 / 2 g i x μ i Σ i 1 x μ i , where i = 1 m β i = 1 is given by
E S α , β i i = 1 m , g i i = 1 m = i = 1 m β i δ μ i + π n 1 2 2 α Γ n + 1 2 i = 1 m β i δ Σ i δ 1 / 2 × q α , i 2 u q α , i 2 n 1 2 g i u d u ,
where q α , i = δ μ i + V a R α , i / δ Σ i δ 1 / 2 and V a R α , i is defined by Pr δ Y < V a R α , i = α with Y following an elliptical distribution with pdf f Y y = Σ i 1 / 2 g i y μ i Σ i 1 y μ i .
As above, we further specialize this result for the special case of multivariate Student t mixtures with μ i = μ and Σ i = Σ for i = 1 , 2 , , m .
Theorem 4.
The expected shortfall E S α , β i i = 1 m , ν i i = 1 m at quantile α of a linear portfolio δ X in risk factors X following a mixture of multivariate Student t distributions with pdf f X x = i = 1 m β i Γ ν i + n 2 Γ ν i 2 Σ ν i π n 1 + x μ Σ 1 x μ ν i n + ν i 2 , where i = 1 m β i = 1 is given by
E S α , β i i = 1 m , ν i i = 1 m = δ μ + e s α , β i i = 1 m , ν i i = 1 m · δ Σ δ 1 / 2 ,
with
e s α , β i i = 1 m , ν i i = 1 m = i = 1 m β i ν i ν i 2 2 α π Γ ( ν i 1 2 ) Γ ( ν i 2 ) q α , β i i = 1 m , ν i i = 1 m 2 + ν i ν i 1 2
and
q α , β i i = 1 m , ν i i = 1 m = δ μ + V a R α , β i i = 1 m , ν i i = 1 m δ Σ δ 1 / 2 ,
where q α , β i i = 1 m , ν i i = 1 m = δ μ + V a R α , β i i = 1 m , ν i i = 1 m / δ Σ δ 1 / 2 , V a R α , β i i = 1 m , ν i i = 1 m is defined by Pr δ X < V a R α , β i i = 1 m , ν i i = 1 m = α and q α , β i i = 1 m , ν i i = 1 m is uniquely determined by solving a transcendental equation given by Corollary 3.8 in [8].
Remark 3.
Accurate numerical values of q α , β i i = 1 2 , ν i i = 1 2 for different α, β 1 , β 2 = 1 β 1 , ν 1 and ν 2 of interest are reproduced in Table A2 in the appendix as tabulated also in [7] (Tables 1 and 2) and [8] (Tables 2 and 3).
The difference between Equation (7) and the corresponding equations in [7] (Theorem 4.1) and [8] (Theorem 5.1) is the scaling factor of two in the denominator. Likewise, the difference between Equation (9) and the corresponding equation in [7] (Theorem 4.2) and [8] (Theorem 5.4) is only the scaling factor of two in the denominator. Importantly, there is no additional error in the power of the last term, unlike the one encountered in [6] and corrected in Section 3. Nonetheless, the numerically tabulated values for ES in [7,8] differ from the accurate ones by a significantly larger scaling factor than two.
To illustrate these additional numerical errors, we tabulate the correct and incorrect analytically obtained values of ES for a mixture of multivariate Student t distributions, respectively, in panel A and panel B of Table 2 on the next page; the ratio of the accurate values in panel A to the inaccurate ones in panel B is reported in panel D and is exactly 1/2 as expected. However, the numerically tabulated values in both [7,8], which are reproduced in panel C of Table 2, are completely different from those in either panel B or panel A of Table 2. It is unclear how [7,8] have generated these values because they cannot be obtained from the formula in Theorem 4.2 in [7] and Theorem 5.4 in [8]. Furthermore, they do not match the accurate formula we provide in Theorem 4 either. In addition, the values in Table 4 of [8] are exactly the same as the incorrect ones in [6] reflecting the inaccurate tabulation of ES in the case of a multivariate Student t distribution. Panel E of Table 2 reports the ratios of the accurate values in panel A to the inaccurate numerically tabulated ones in panel C. With most ratios in panel E significantly larger than one, the correction we provide can eliminate very large and economically significant underestimation of ES also for the considered mixtures of distributions in Theorems 3 and 4 above.

7. Conclusions

Elliptically distributed risk factors are popular in financial risk management applications because they can model heavy tails while still offering a great deal of flexibility and analytical tractability. Our accurate closed-form expressions for the expected shortfall of linear portfolios with elliptically-distributed risk factors correct major inaccuracies in the results by Kamdem [6] for both the general elliptical case and the special multivariate Student t case. The inaccurate results in [6] have been referenced by at least thirty other papers [3,7,8,9,10,11,12,13,14,15,16,17,18,19,20,21,22,23,24,25,26,27,28,29,30,31,32,33,34,35,36], including the recent comprehensive survey of ES estimation methods by Nadarajah et al. [3]. We note that our accurate results can be reconciled also following the alternative approach by Landsman and Valdez [37], Theorems 1 and 2, preceding the inaccurate derivations by [6] and all of these other studies referring to [6]. In terms of its magnitude, our correction in the zero-mean multivariate Student t setting eliminates potential understatement of ES by a factor varying from at least four to more than 100 across different tail quantiles and degrees of freedom. As such, the economic impact from using our accurate ES expressions in financial risk management applications with elliptically-distributed risk factors can be significant. We also eliminate economically significant inaccuracies that have further propagated in the closely related results in [7,8] for ES of mixtures of elliptical distributions.
Another important application for the accurate closed-form results for ES with elliptically distributed, or mixtures of elliptically distributed, risk factors is gauging the statistical precision of non-parametric ES estimation methods relying on Monte Carlo simulations in the spirit of the analysis in [43]. In particular, the ability to study the performance of alternative non-parametric ES estimators in controlled experiments for multivariate heavy-tailed settings with accurately known analytical results can help provide some useful guidance in the context of the proposal by the Basel Committee on Banking Supervision [2] to move the quantitative risk metrics system in regard to trading book capital requirement policies from 99% VaR to 97.5% ES. More generally, our findings point to the extra scrutiny required when deploying new methods for ES estimation in practice, especially also in light of the widely acknowledged separate challenges with backtesting expected shortfall.

Acknowledgments

The authors thank the Federal Reserve Board Research Library Lead Librarian Helen Keil-Losch for comprehensive bibliographic assistance as well as Justin Skillman for related research assistance. The paper also greatly benefited from the anonymous comments provided by three referees and an editor.

Author Contributions

The research problem was identified by D.D.; the analytical solution and all numerical results were obtained independently by both D.D. and D.H.O.; the paper was written jointly by D.D. and D.H.O., and it was edited by T.D.N.

Conflicts of Interest

All authors currently work at the Federal Reserve Board. The views expressed in this paper are those of the authors and should not be interpreted as reflecting the views of the Federal Reserve Board or any other person associated with the Federal Reserve System.

Appendix

Table A1. Accurate numerical values of q α , ν for different α and ν in the case of multivariate Student t. The table reproduces numerical values of q α , ν for different α and ν of interest as tabulated in [6] (Section 2.2) for the purposes of computing expected shortfall.
Table A1. Accurate numerical values of q α , ν for different α and ν in the case of multivariate Student t. The table reproduces numerical values of q α , ν for different α and ν of interest as tabulated in [6] (Section 2.2) for the purposes of computing expected shortfall.
ν2345678910100200250
q 0.010 , ν 6.9654.5413.7473.3653.1432.9982.8962.8212.7642.3642.3452.341
q 0.025 , ν 4.3033.1822.7762.5712.4472.3652.3062.2622.2281.9841.9721.969
q 0.050 , ν 2.9202.3532.1322.0151.9431.8951.8601.8121.6601.6601.6531.651
Table A2. Accurate numerical values of q α , β i i = 1 2 , ν i i = 1 2 for different α, β 1 , β 2 = 1 β 1 ,   ν 1 , and ν 2 in the case of multivariate Student t mixture. The table reproduces numerical values of q α , β i i = 1 2 , ν i i = 1 2 for different α, β 1 , β 2 = 1 β 1 , ν 1 , and ν 2 of interest as tabulated in [7] (Tables 1 and 2) and [8] (Tables 2 and 3) for the purposes of computing expected shortfall.
Table A2. Accurate numerical values of q α , β i i = 1 2 , ν i i = 1 2 for different α, β 1 , β 2 = 1 β 1 ,   ν 1 , and ν 2 in the case of multivariate Student t mixture. The table reproduces numerical values of q α , β i i = 1 2 , ν i i = 1 2 for different α, β 1 , β 2 = 1 β 1 , ν 1 , and ν 2 of interest as tabulated in [7] (Tables 1 and 2) and [8] (Tables 2 and 3) for the purposes of computing expected shortfall.
ν 1 , ν 2 α = 0.01 α = 0.001
( 2 , 3 ) ( 3 , 4 ) ( 4 , 6 ) ( 7 , 15 ) ( 2 , 3 ) ( 3 , 4 ) ( 4 , 6 ) ( 7 , 15 )
q α , 0.25 , ν 1 , ν 2 5.1033.9403.2912.70013.5588.0145.7754.051
q α , 0.30 , ν 1 , ν 2 5.2213.9803.3212.72014.2218.1775.8834.111
q α , 0.35 , ν 1 , ν 2 5.3414.0193.3512.74014.8748.3385.9904.169
q α , 0.40 , ν 1 , ν 2 5.4634.0593.3812.76015.5178.4976.0944.226
q α , 0.45 , ν 1 , ν 2 5.5854.0993.4122.78016.1488.6546.1964.282
q α , 0.50 , ν 1 , ν 2 5.7094.1393.4422.80016.7678.8086.2964.335

References

  1. P. Artzner, F. Delbaen, J.M. Eber, and D. Heath. “Coherent measures of risk.” Math. Financ. 9 (1999): 203–228. [Google Scholar] [CrossRef]
  2. Basel Committee on Banking Supervision. Consultative Document. Fundamental Review of the Trading Book: A Revised Market Risk Framework. Basel, Switzerland: BIS, 2013. [Google Scholar]
  3. S. Nadarajah, B. Zhang, and S. Chan. “Estimation methods for expected shortfall.” Quant. Finance 14 (2014): 271–291. [Google Scholar] [CrossRef]
  4. O. Scaillet. “Nonparametric estimation and sensitivity analysis of expected shortfall.” Math. Financ. 14 (2004): 115–129. [Google Scholar] [CrossRef]
  5. O. Scaillet. “Nonparametric estimation of conditional expected shortfall.” Insur. Risk Manag. J. 74 (2005): 639–660. [Google Scholar]
  6. J.S. Kamdem. “Value-at-risk and expected shortfall for linear portfolios with elliptically distributed risk factors.” Int. J. Theor. Appl. Finan. 8 (2005): 537–551. [Google Scholar] [CrossRef]
  7. J.S. Kamdem. “VaR and ES for linear portfolios with mixture of elliptic distributions risk factors.” Comput. Vis. Sci. 10 (2007): 197–210. [Google Scholar] [CrossRef]
  8. J.S. Kamdem. “Δ-VaR and Δ-TVaR for portfolios with mixture of elliptic distributions risk factors and DCC.” Insur. Math. Econ. 44 (2009): 325–336. [Google Scholar] [CrossRef]
  9. G. Bormetti, E. Cisana, G. Montagna, and O. Nicrosini. “A non-Gaussian approach to risk measures.” Phys. A Stat. Mech. Appl. 376 (2007): 532–542. [Google Scholar] [CrossRef]
  10. S. Birbil, J. Frenk, B. Kaynar, and N. Noyan. Risk Measures and Their Applications in Asset Management. Technical Report; Rotterdam, The Netherlands: Econometric Institute, 2008. [Google Scholar]
  11. J.S. Kamdem, and A. Genz. “Approximation of multiple integrals over hyperboloids with application to a quadratic portfolio with options.” Comput. Stat. Data Anal. 52 (2008): 3389–3407. [Google Scholar] [CrossRef]
  12. R.J. Elliott, and H. Miao. “VaR and expected shortfall: A non-normal regime switching framework.” Quant. Finance 9 (2009): 747–755. [Google Scholar] [CrossRef]
  13. A. Genz, and F. Bretz. Computation of Multivariate Normal and t Probabilities. Berlin/Heidelberg, Germany: Springer, 2009. [Google Scholar]
  14. J.S. Kamdem. “VaR and ES for linear portfolios with mixture of generalized Laplace distributions risk factors.” Ann. Finance 8 (2009): 123–150. [Google Scholar] [CrossRef]
  15. G. Bormetti, V. Cazzola, G. Livan, G. Montagna, and O. Nicrosini. “A generalized Fourier transform approach to risk measures.” J. Stat. Mech. Theor. Exp. 2010 (2010). [Google Scholar] [CrossRef]
  16. J.S. Kamdem. “Sharp estimates for the CDF of quadratic forms of MPE random vectors.” J. Multivar. Anal. 101 (2010): 1755–1771. [Google Scholar] [CrossRef]
  17. M.L. Yueh, and M.C. Wong. “Analytical VaR and expected shortfall for quadratic portfolios.” J. Deriv. 17 (2010): 33–44. [Google Scholar] [CrossRef]
  18. C.F. Jiang, and Y.K. Yang. “Tail conditional variance of portfolio and applications in financial engineering.” Syst. Eng. Procedia 2 (2011): 213–221. [Google Scholar] [CrossRef]
  19. J.S. Kamdem. “Businesses risks aggregation with copula.” J. Quant. Econ. 9 (2011): 58–72. [Google Scholar]
  20. D. Paindaveine, and M. Šiman. “On directional multiple-output quantile regression.” J. Multiv. Anal. 102 (2011): 193–212. [Google Scholar] [CrossRef]
  21. Z. Chen, and Z. Song. “Dynamic portfolio optimization under multi-factor model in stochastic markets.” OR Spectr. 34 (2012): 885–919. [Google Scholar] [CrossRef]
  22. S.A. Broda. “The expected shortfall of quadratic portfolios with heavy-tailed risk factors.” Math. Financ. 22 (2012): 710–728. [Google Scholar] [CrossRef]
  23. I. Pimenova. “Semi-Parametric Estimation of Elliptical Distribution in Case of High Dimensionality.” Master’s Thesis, Humboldt-Universität zu Berlin, Berlin, Germany, 2012. [Google Scholar]
  24. Y.J. Liu, and W.G. Zhang. “Fuzzy portfolio optimization model under real constraints.” Insur. Math. Econ. 53 (2013): 704–711. [Google Scholar] [CrossRef]
  25. P. Makdissi, D. Sylla, and M. Yazbeck. “Decomposing health achievement and socioeconomic health inequalities in presence of multiple categorical information.” Econ. Model. 35 (2013): 964–968. [Google Scholar] [CrossRef]
  26. P. Date, and R. Bustreo. “Measuring the risk of a non-linear portfolio with fat-tailed risk factors through a probability conserving transformation.” IMA J. Manag. Math. 27 (2014): 157–180. [Google Scholar] [CrossRef]
  27. A.M. Moussa, J.S. Kamdem, A. Shapiro, and M. Terraza. “CAPM with fuzzy returns and hypothesis testing.” Insur. Math. Econ. 55 (2014): 40–57. [Google Scholar] [CrossRef]
  28. A.M. Moussa, J.S. Kamdem, and M. Terraza. “Fuzzy value-at-risk and expected shortfall for portfolios with heavy-tailed returns.” Econ. Model. 39 (2014): 247–256. [Google Scholar] [CrossRef]
  29. C. Sun, Y. Zhang, S. Peng, and W. Zhang. “The inequalities of public utility products in China: From the perspective of the Atkinson index.” Renew. Sustain. Energy Rev. 51 (2015): 751–760. [Google Scholar] [CrossRef]
  30. C.F. Jiang, H.Y. Peng, and Y.K. Yang. “Tail variance of portfolio under generalized Laplace distribution.” Appl. Math. Comput. 282 (2016): 187–203. [Google Scholar] [CrossRef]
  31. E. Cisana. “Non-Gaussian Stochastic Models and Their Applications in Econophysics.” Ph.D. Thesis, University of Pavia, Pavia, Italy, 2007. [Google Scholar]
  32. A. Diallo, and A. Mbairadjim Moussa. Addressing Agent Specific Extreme Price Risk in the Presence of Heterogeneous Data Sources: A Food Safety Perspective. Technical Report; Montpellier, France: LAMETA, Université de Montpellier I, 2014. [Google Scholar]
  33. P. Abad, and S. Benito. “Variance reduction technique for calculating value at risk in fixed income portfolios.” Stat. Oper. Res. Trans. 34 (2010): 21–44. [Google Scholar]
  34. M. Spangler, and R. Werner. “Potential Future Market Risk: Coping with Long Term Model Risk.” Working Paper, 2010. Available online: https://ssrn.com/abstract=1587937 (accessed on 31 January 2017).
  35. J.S. Kamdem. “Downside Risk and Kappa Index of Non-Gaussian Portfolio with LPM.” Working Paper, 2010. Available online: https://hal.archives-ouvertes.fr/hal-00733043 (accessed on 31 January 2017).
  36. N. Lu. “Statistical Issues in Coherent Risk Management.” Ph.D. Thesis, North Carolina State University, Raleigh, NC, USA, 2004. [Google Scholar]
  37. Z. Landsman, and E. Valdez. “Tail conditional expectations for elliptical distributions.” N. Am. Actuar. J. 7 (2003): 55–71. [Google Scholar] [CrossRef]
  38. C. Acerbi, and D. Tasche. “On the coherence of expected shortfall.” J. Bank. Finance 26 (2002): 1487–1503. [Google Scholar] [CrossRef]
  39. A.K. Gupta, T. Varga, and T. Bodnar. Elliptically Contoured Models in Statistics and Portfolio Theory, 2nd ed. Berlin/Heidelberg, Germany: Springer, 2013. [Google Scholar]
  40. S. Kotz, and S. Nadarajah. Multivariate T-Distributions and Their Applications, 1st ed. Cambridge, UK: Cambridge University Press, 2004. [Google Scholar]
  41. S.A. Broda, and M.S. Paolella. “Expected shortfall for distributions in finance.” In Statistical Tools for Finance and Insurance. Edited by P. Čížek, K.W. Härdle and R. Weron. Berlin/Heidelberg, Germany: Springer, 2011, pp. 57–99. [Google Scholar]
  42. C. Acerbi, and B. Szekely. “Backtesting expected shortfall.” Risk, 2014, 3–8. [Google Scholar]
  43. Y. Yamai, and T. Yoshiba. “Comparative analyses of expected shortfall and value-at-risk: Their estimation error, decomposition, and optimization.” Monet. Econ. Stud. 20 (2002): 87–121. [Google Scholar]
Figure 1. Comparison of the formula for expected shortfall for an elliptical distribution at quantile α, ES α , from Theorem 4.1 in [6] with the accurate one from Theorem 1 for the zero-mean unit-scale case.
Figure 1. Comparison of the formula for expected shortfall for an elliptical distribution at quantile α, ES α , from Theorem 4.1 in [6] with the accurate one from Theorem 1 for the zero-mean unit-scale case.
Jrfm 10 00005 g001
Figure 2. Comparison of the formula for expected shortfall for the multivariate Student t distribution at quantile α, ES α , from Theorem 4.2 in [6] with the accurate one from Theorem 2 for the zero-mean unit-scale case.
Figure 2. Comparison of the formula for expected shortfall for the multivariate Student t distribution at quantile α, ES α , from Theorem 4.2 in [6] with the accurate one from Theorem 2 for the zero-mean unit-scale case.
Jrfm 10 00005 g002
Table 1. Numerical comparison of the accurate versus inaccurate expressions for expected shortfall in the multivariate Student t case. The table reports the accurate analytical (panel A), inaccurate analytical (panel B), and inaccurate numerically tabulated (panel C) values of e s α , ν , the multivariate Student t distribution governing the individual risky returns in a linear, mean-zero, and unit-scale portfolio, as well as the respective ratios of accurate versus inaccurate analytical (panel D) and accurate analytical versus inaccurate numerically tabulated (panel E) values across different tail quantiles α = 0.01 , 0.025 , 0.05 (different rows) and degrees of freedom ν = 2 , 3, 4, 5, 6, 7, 8, 9, 10, 100, 200, 250 (different columns). The accurate analytical expression in panel A reflects the derivations in this paper (Theorems 1 and 2). The inaccurate expression in panel B is originally due to Kamdem [6] (Theorem 4.2) and is reproduced in Nadarajah et al. [3] (Section 3.20), while the inaccurate values in panel C are the ones numerically tabulated in [6] (Section 4.1).
Table 1. Numerical comparison of the accurate versus inaccurate expressions for expected shortfall in the multivariate Student t case. The table reports the accurate analytical (panel A), inaccurate analytical (panel B), and inaccurate numerically tabulated (panel C) values of e s α , ν , the multivariate Student t distribution governing the individual risky returns in a linear, mean-zero, and unit-scale portfolio, as well as the respective ratios of accurate versus inaccurate analytical (panel D) and accurate analytical versus inaccurate numerically tabulated (panel E) values across different tail quantiles α = 0.01 , 0.025 , 0.05 (different rows) and degrees of freedom ν = 2 , 3, 4, 5, 6, 7, 8, 9, 10, 100, 200, 250 (different columns). The accurate analytical expression in panel A reflects the derivations in this paper (Theorems 1 and 2). The inaccurate expression in panel B is originally due to Kamdem [6] (Theorem 4.2) and is reproduced in Nadarajah et al. [3] (Section 3.20), while the inaccurate values in panel C are the ones numerically tabulated in [6] (Section 4.1).
ν2345678910100200250
Panel A: The accurate analytical e s α , ν = ν ν 2 2 α π Γ ν 1 2 Γ ν 2 q α , ν 2 + ν ν 1 2 derived in Section 2 and Section 3 above
e s 0.010 , ν 14.0717.0045.2214.4524.0333.7703.5913.4623.3632.7222.6942.688
e s 0.025 , ν 8.8325.0403.9943.5223.2563.0872.9702.8842.8192.3792.3582.354
e s 0.050 , ν 6.1643.8743.2032.8902.7112.5952.5142.5152.8912.0932.0782.075
Panel B: The inaccurate analytical e s α , ν = ν ν 2 α π Γ ν 1 2 Γ ν 2 q α , ν 2 + ν ν + 1 2 in [6] (Theorem 4.2) and [3] (Section 3.20)
e s 0.010 , ν 0.5570.5930.5790.5460.5080.4720.4380.4080.3810.0520.0260.021
e s 0.025 , ν 0.8610.7680.6820.6070.5430.4900.4460.4090.3770.0460.0230.019
e s 0.050 , ν 1.1710.9080.7500.6380.5550.4900.4390.4090.4530.0410.0210.016
Panel C: The inaccurate numerically tabulated e s α , ν in [6] (Section 4.1)
e s 0.010 , ν 5.5725.9315.7885.4565.0804.7164.3824.0823.8140.5160.2640.209
e s 0.025 , ν 8.6117.6786.8226.0685.4334.9034.4604.0863.7680.4580.2310.185
e s 0.050 , ν 11.7129.0757.4976.3805.5464.9014.3883.9713.6260.4070.2050.164
Panel D: Ratio q α , ν 2 + ν / 2 of the accurate analytical e s α , ν (panel A) to the inaccurate analytical e s α , ν (panel B)
e s 0.010 , ν 25.25311.8089.0208.1617.9387.9948.1958.4808.81952.795102.750127.741
e s 0.025 , ν 10.2566.5645.8545.8045.9946.2966.6597.0597.48251.968101.944126.939
e s 0.050 , ν 5.2634.2694.2724.5304.8885.2955.7296.1436.37851.378101.365126.363
Panel E: Ratio of the accurate analytical e s α , ν (panel A) to the inaccurate numerically tabulated e s α , ν (panel C)
e s 0.010 , ν 2.5251.1810.9020.8160.7940.7990.8190.8480.8825.27910.20312.860
e s 0.025 , ν 1.0260.6560.5850.5800.5990.6300.6660.7060.7485.19710.19512.696
e s 0.050 , ν 0.5260.4270.4270.4530.4890.5290.5730.6330.7975.13810.13412.635
Table 2. Numerical comparison of the accurate versus inaccurate expression for expected shortfall in the case of a multivariate Student t mixture. The table reports the accurate analytical (panel A), inaccurate analytical (panel B), and inaccurate numerically tabulated (panel C) values of e s α , β , ν 1 , ν 2 , the mixture of multivariate Student t distributions governing the individual risky returns in a linear, mean-zero, and unit-scale portfolio, as well as the respective ratios of accurate versus inaccurate analytical (panel D) and accurate analytical versus inaccurate numerically tabulated (panel E) values across different tail quantiles  α = 0.01 and 0.001 (left and right panel), different mixture weights β = 0.25 , 0.30 , 0.35 , 0.40 , 0.45 , 0.50 (different rows), and different pairs of degrees of freedom  ν 1 , ν 2 = 2 , 3 , 3 , 4 , 4 , 6 , 7 , 15 (different columns). The accurate expression in panel A reflects the derivations in this paper (Theorems 3 and 4). The inaccurate expression in panel B is originally due to [7] (Theorem 4.2) and [8] (Theorem 5.4), while the inaccurate values in panel C are the ones numerically tabulated in [7] (Tables 3 and 4) and [8] (Tables 5 and 6).
Table 2. Numerical comparison of the accurate versus inaccurate expression for expected shortfall in the case of a multivariate Student t mixture. The table reports the accurate analytical (panel A), inaccurate analytical (panel B), and inaccurate numerically tabulated (panel C) values of e s α , β , ν 1 , ν 2 , the mixture of multivariate Student t distributions governing the individual risky returns in a linear, mean-zero, and unit-scale portfolio, as well as the respective ratios of accurate versus inaccurate analytical (panel D) and accurate analytical versus inaccurate numerically tabulated (panel E) values across different tail quantiles  α = 0.01 and 0.001 (left and right panel), different mixture weights β = 0.25 , 0.30 , 0.35 , 0.40 , 0.45 , 0.50 (different rows), and different pairs of degrees of freedom  ν 1 , ν 2 = 2 , 3 , 3 , 4 , 4 , 6 , 7 , 15 (different columns). The accurate expression in panel A reflects the derivations in this paper (Theorems 3 and 4). The inaccurate expression in panel B is originally due to [7] (Theorem 4.2) and [8] (Theorem 5.4), while the inaccurate values in panel C are the ones numerically tabulated in [7] (Tables 3 and 4) and [8] (Tables 5 and 6).
ν 1 , ν 2 α = 0.01 α = 0.001
( 2 , 3 ) ( 3 , 4 ) ( 4 , 6 ) ( 7 , 15 ) ( 2 , 3 ) ( 3 , 4 ) ( 4 , 6 ) ( 7 , 15 )
Panel A: The accurate analytical e s α , β , ν 1 , ν 2 derived in Section 6
e s α , 0.25 , ν 1 , ν 2 8.9945.7094.3663.29024.98111.4747.5104.790
e s α , 0.30 , ν 1 , ν 2 9.3725.8034.4303.32726.63411.7957.6994.882
e s α , 0.35 , ν 1 , ν 2 9.7455.8964.4923.36228.22012.1057.8794.969
e s α , 0.40 , ν 1 , ν 2 10.1115.9884.5543.39829.74312.4068.0525.051
e s α , 0.45 , ν 1 , ν 2 10.4716.0784.6143.43231.21012.6978.2185.128
e s α , 0.50 , ν 1 , ν 2 10.8256.1684.6743.46632.62512.9798.3775.201
Panel B: The inaccurate analytical e s α , β , ν 1 , ν 2 derived in [7,8]
e s α , 0.25 , ν 1 , ν 2 17.98711.4188.7326.58049.96122.94915.0209.580
e s α , 0.30 , ν 1 , ν 2 18.74511.6068.8596.65353.26923.59015.3989.764
e s α , 0.35 , ν 1 , ν 2 19.48911.7928.9846.72556.44024.21115.7599.937
e s α , 0.40 , ν 1 , ν 2 20.22211.9769.1086.79559.48624.81116.10410.101
e s α , 0.45 , ν 1 , ν 2 20.94212.1579.2296.86462.42025.39316.43510.256
e s α , 0.50 , ν 1 , ν 2 21.65012.3369.3486.93265.25125.95716.75310.402
Panel C: The inaccurate tabulated e s α , β , ν 1 , ν 2 in [7] (Tables 3 and 4) and [8] (Tables 5 and 6)
e s α , 0.25 , ν 1 , ν 2 6.3661.2940.2430.00320.8963.0330.5770.007
e s α , 0.30 , ν 1 , ν 2 7.0191.4100.2790.00323.1643.3230.6660.007
e s α , 0.35 , ν 1 , ν 2 7.6471.5230.3140.00425.2713.5880.7160.008
e s α , 0.40 , ν 1 , ν 2 8.2511.6310.3480.00427.2393.8370.7760.009
e s α , 0.45 , ν 1 , ν 2 8.8341.7370.3800.00529.0894.0710.8310.009
e s α , 0.50 , ν 1 , ν 2 9.3961.8390.4100.00530.8354.2900.8810.010
Panel D: Ratio 1 / 2 of the accurate values of e s α , β , ν 1 , ν 2 in Panel A to those in Panel B
e s α , 0.25 , ν 1 , ν 2 0.5000.5000.5000.5000.5000.5000.5000.500
e s α , 0.30 , ν 1 , ν 2 0.5000.5000.5000.5000.5000.5000.5000.500
e s α , 0.35 , ν 1 , ν 2 0.5000.5000.5000.5000.5000.5000.5000.500
e s α , 0.40 , ν 1 , ν 2 0.5000.5000.5000.5000.5000.5000.5000.500
e s α , 0.45 , ν 1 , ν 2 0.5000.5000.5000.5000.5000.5000.5000.500
e s α , 0.50 , ν 1 , ν 2 0.5000.5000.5000.5000.5000.5000.5000.500
Panel E: Ratio of the accurate values of e s α , β , ν 1 , ν 2 in Panel A to those in Panel C
e s α , 0.25 , ν 1 , ν 2 1.4134.41217.9671096.6331.1953.78313.016684.271
e s α , 0.30 , ν 1 , ν 2 1.3354.11615.8771108.8331.1503.55011.560697.414
e s α , 0.35 , ν 1 , ν 2 1.2743.87114.306840.5751.1173.37411.005621.088
e s α , 0.40 , ν 1 , ν 2 1.2253.67113.085849.3751.0923.23310.376561.167
e s α , 0.45 , ν 1 , ν 2 1.1853.49912.143686.4001.0733.1199.889569.756
e s α , 0.50 , ν 1 , ν 2 1.1523.35411.400693.1801.0583.0259.508520.110

Share and Cite

MDPI and ACS Style

Dobrev∗, D.; Nesmith, T.D.; Oh, D.H. Accurate Evaluation of Expected Shortfall for Linear Portfolios with Elliptically Distributed Risk Factors. J. Risk Financial Manag. 2017, 10, 5. https://doi.org/10.3390/jrfm10010005

AMA Style

Dobrev∗ D, Nesmith TD, Oh DH. Accurate Evaluation of Expected Shortfall for Linear Portfolios with Elliptically Distributed Risk Factors. Journal of Risk and Financial Management. 2017; 10(1):5. https://doi.org/10.3390/jrfm10010005

Chicago/Turabian Style

Dobrev∗, Dobrislav, Travis D. Nesmith, and Dong Hwan Oh. 2017. "Accurate Evaluation of Expected Shortfall for Linear Portfolios with Elliptically Distributed Risk Factors" Journal of Risk and Financial Management 10, no. 1: 5. https://doi.org/10.3390/jrfm10010005

APA Style

Dobrev∗, D., Nesmith, T. D., & Oh, D. H. (2017). Accurate Evaluation of Expected Shortfall for Linear Portfolios with Elliptically Distributed Risk Factors. Journal of Risk and Financial Management, 10(1), 5. https://doi.org/10.3390/jrfm10010005

Article Metrics

Back to TopTop