Elevated Platelet-to-Lymphocyte Ratio and Neutrophil-to-Lymphocyte Ratio after First Cycle of Chemotherapy and Better Survival in Esophageal Cancer Patients Receiving Concurrent Chemoradiotherapy
Abstract
1. Introduction
2. Methods
2.1. Radiotherapy
2.2. Chemotherapy
2.3. Hematological Profile before and after CCRT
2.4. Outcome Analysis and Adverse Events
2.5. Statistical Analysis
3. Results
3.1. Patient and Tumor Characteristics
3.2. Univariate and Multivariate Cox Regression Analysis for OS and DSS
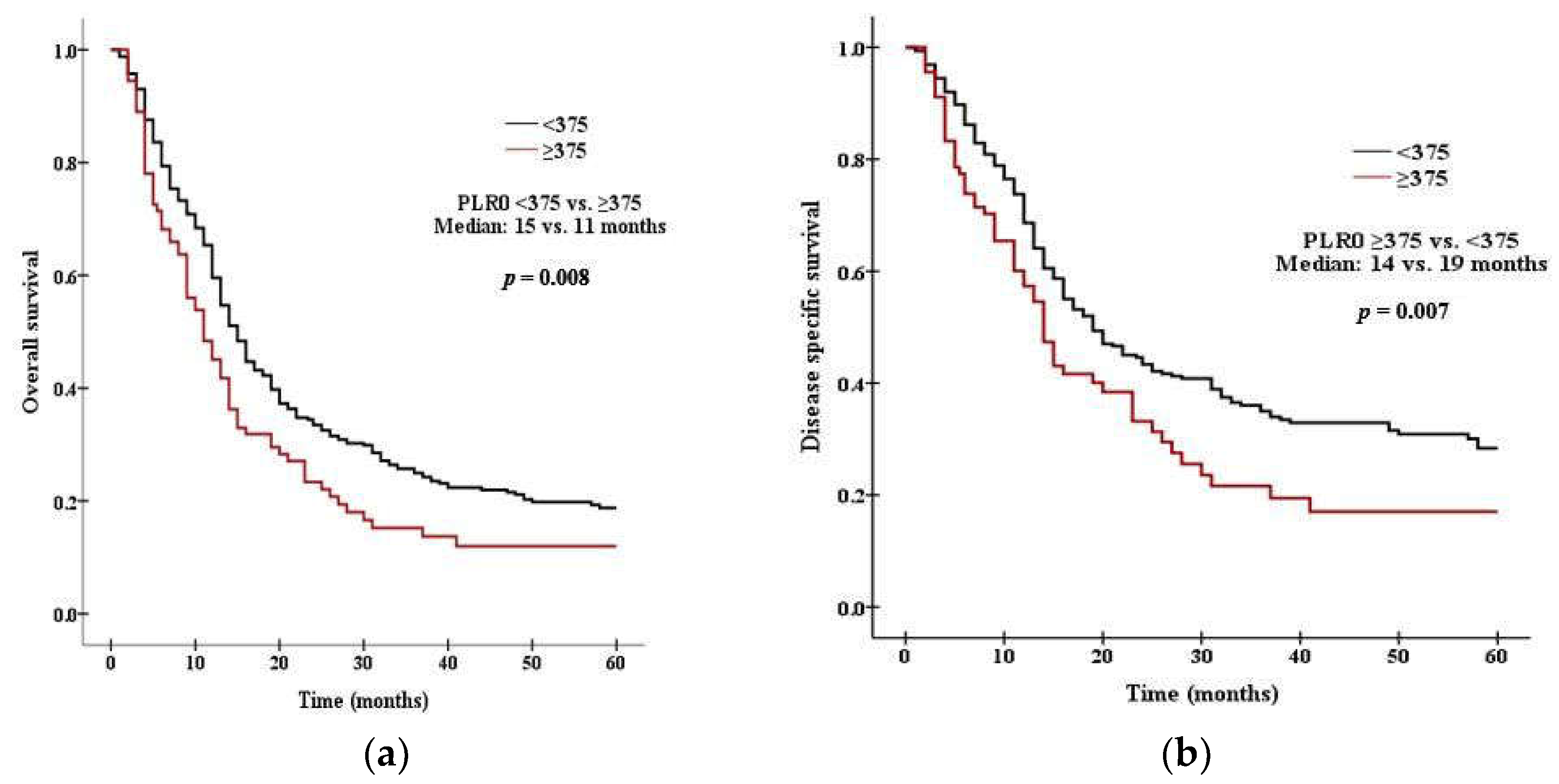
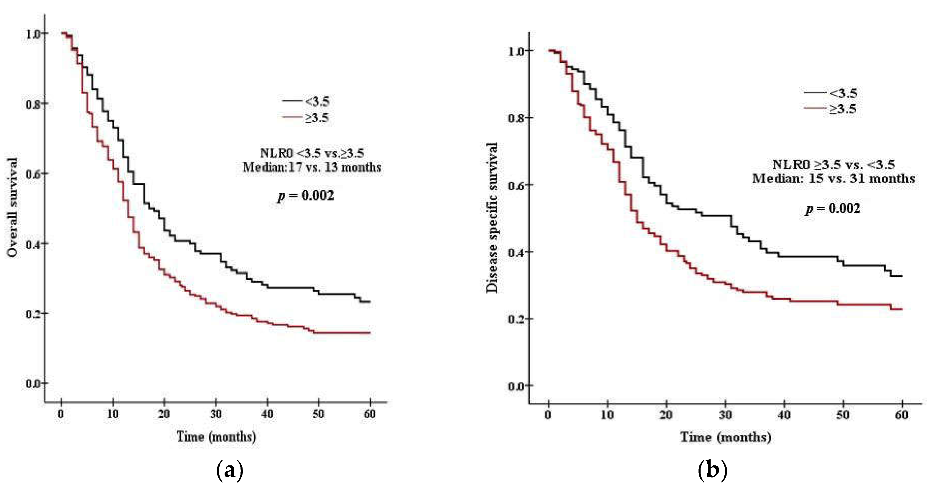
3.3. Survival Analysis According to PLR and NLR
4. Discussion
Author Contributions
Funding
Institutional Review Board Statement
Informed Consent Statement
Data Availability Statement
Conflicts of Interest
References
- Short, M.W.; Burgers, K.G.; Fry, V.T. Esophageal Cancer. Am. Fam. Physician 2017, 95, 22–28. [Google Scholar] [PubMed]
- Liu, Y.; Zheng, Z.; Li, M.; Zhang, Y.; Zhao, F.; Gong, H.; Lin, H.; Huang, W.; Chen, X.; Xu, Z.; et al. Comparison of concurrent chemoradiotherapy with radiotherapy alone for locally advanced esophageal squamous cell cancer in elderly patients: A randomized, multicenter, phase II clinical trial. Int. J. Cancer 2022, 151, 607–615. [Google Scholar] [CrossRef] [PubMed]
- Li, C.; Tan, L.; Liu, X.; Wang, X.; Zhou, Z.; Chen, D.; Feng, Q.; Liang, J.; Lv, J.; Wang, X.; et al. Concurrent chemoradiotherapy versus radiotherapy alone for patients with locally advanced esophageal squamous cell carcinoma in the era of intensity modulated radiotherapy: A propensity score-matched analysis. Thorac. Cancer 2021, 12, 1831–1840. [Google Scholar] [CrossRef] [PubMed]
- Yang, H.; Liu, H.; Chen, Y.; Zhu, C.; Fang, W.; Yu, Z.; Mao, W.; Xiang, J.; Han, Y.; Chen, Z.; et al. Neoadjuvant Chemoradiotherapy Followed by Surgery Versus Surgery Alone for Locally Advanced Squamous Cell Carcinoma of the Esophagus (NEOCRTEC5010): A Phase III Multicenter, Randomized, Open-Label Clinical Trial. J. Clin. Oncol. 2018, 36, 2796–2803. [Google Scholar] [CrossRef] [PubMed]
- Shapiro, J.; van Lanschot, J.J.B.; Hulshof, M.; van Hagen, P.; van Berge Henegouwen, M.I.; Wijnhoven, B.P.L.; van Laarhoven, H.W.M.; Nieuwenhuijzen, G.A.P.; Hospers, G.A.P.; Bonenkamp, J.J.; et al. Neoadjuvant chemoradiotherapy plus surgery versus surgery alone for oesophageal or junctional cancer (CROSS): Long-term results of a randomised controlled trial. Lancet Oncol. 2015, 16, 1090–1098. [Google Scholar] [CrossRef]
- Nam, S.Y.; Jeon, S.W.; Lee, S.J.; Kwon, Y.H.; Lee, H.S.; Kim, S.K. Clinical Factors to Predict the Response to Concurrent Chemoradiotherapy and Survival in Esophageal Cancer Patients. Gut Liver 2020, 14, 450–458. [Google Scholar] [CrossRef] [PubMed]
- Zhao, Q.T.; Zhang, X.P.; Zhang, H.; Duan, G.C. Prognostic role of platelet to lymphocyte ratio in esophageal cancer: A meta-analysis. Oncotarget 2017, 8, 112085–112093. [Google Scholar] [CrossRef] [PubMed]
- Yodying, H.; Matsuda, A.; Miyashita, M.; Matsumoto, S.; Sakurazawa, N.; Yamada, M.; Uchida, E. Prognostic Significance of Neutrophil-to-Lymphocyte Ratio and Platelet-to-Lymphocyte Ratio in Oncologic Outcomes of Esophageal Cancer: A Systematic Review and Meta-analysis. Ann. Surg. Oncol. 2016, 23, 646–654. [Google Scholar] [CrossRef] [PubMed]
- Li, B.; Xiong, F.; Yi, S.; Wang, S. Prognostic and Clinicopathologic Significance of Neutrophil-to-Lymphocyte Ratio in Esophageal Cancer: An Update Meta-Analysis. Technol. Cancer Res. Treat. 2022, 21, 15330338211070140. [Google Scholar] [CrossRef] [PubMed]
- Pirozzolo, G.; Gisbertz, S.S.; Castoro, C.; van Berge Henegouwen, M.I.; Scarpa, M. Neutrophil-to-lymphocyte ratio as prognostic marker in esophageal cancer: A systematic review and meta-analysis. J. Thorac. Dis. 2019, 11, 3136–3145. [Google Scholar] [CrossRef] [PubMed]
- Skorus, U.A.; Kenig, J. Outcome of esophageal cancer in the elderly-systematic review of the literature. Wideochir. Inne. Tech. Maloinwazyjne 2017, 12, 341–349. [Google Scholar] [CrossRef] [PubMed]
- Duron, J.J.; Duron, E.; Dugue, T.; Pujol, J.; Muscari, F.; Collet, D.; Pessaux, P.; Hay, J.M. Risk factors for mortality in major digestive surgery in the elderly: A multicenter prospective study. Ann. Surg. 2011, 254, 375–382. [Google Scholar] [CrossRef] [PubMed]
- Melis, M.; McLoughlin, J.M.; Dean, E.M.; Siegel, E.M.; Weber, J.M.; Shah, N.; Kelley, S.T.; Karl, R.C. Correlations between neoadjuvant treatment, anemia, and perioperative complications in patients undergoing esophagectomy for cancer. J. Surg. Res. 2009, 153, 114–120. [Google Scholar] [CrossRef] [PubMed]
- Shimada, H.; Oohira, G.; Okazumi, S.; Matsubara, H.; Nabeya, Y.; Hayashi, H.; Takeda, A.; Gunji, Y.; Ochiai, T. Thrombocytosis Associated with Poor Prognosis in Patients with Esophageal Carcinoma. J. Am. Coll. Surg. 2004, 198, 737–741. [Google Scholar] [CrossRef] [PubMed]
- Wang, J.; Liu, H.; Shao, N.; Tan, B.; Song, Q.; Jia, Y.; Cheng, Y. The clinical significance of preoperative plasma fibrinogen level and platelet count in resectable esophageal squamous cell carcinoma. World J. Surg. Oncol. 2015, 13, 157. [Google Scholar] [CrossRef] [PubMed]
- Wu, Y.F.; Chu, S.C.; Chang, B.S.; Cheng, Y.T.; Wang, T.F. Hematologic Markers as Prognostic Factors in Nonmetastatic Esophageal Cancer Patients under Concurrent Chemoradiotherapy. BioMed Res. Int. 2019, 2019, 1263050. [Google Scholar] [CrossRef] [PubMed]
- Hyder, J.; Boggs, D.H.; Hanna, A.; Suntharalingam, M.; Chuong, M.D. Changes in neutrophil-to-lymphocyte and platelet-to-lymphocyte ratios during chemoradiation predict for survival and pathologic complete response in trimodality esophageal cancer patients. J. Gastrointest. Oncol. 2016, 7, 189–195. [Google Scholar] [CrossRef] [PubMed]
- Zachariah, B.; Jacob, S.S.; Gwede, C.; Cantor, A.; Patil, J.; Casey, L.; Zachariah, A.B. Effect of fractionated regional external beam radiotherapy on peripheral blood cell count. Int. J. Radiat. Oncol. Biol. Phys. 2001, 50, 465–472. [Google Scholar] [CrossRef]
- Crawford, J.; Dale, D.C.; Lyman, G.H. Chemotherapy-induced neutropenia: Risks, consequences, and new directions for its management. Cancer 2004, 100, 228–237. [Google Scholar] [CrossRef] [PubMed]
- Mones, J.V.; Soff, G. Management of Thrombocytopenia in Cancer Patients. Cancer Treat. Res. 2019, 179, 139–150. [Google Scholar] [CrossRef] [PubMed]




| Variables. | N (%) or Mean ± SD | |
|---|---|---|
| Age (years) | <65 | 337 (80.20) |
| ≥65 | 83 (19.80) | |
| Gender | Male | 397 (94.50) |
| Female | 23 (5.50) | |
| ECOG performance status | 0–1 | 385 (91.7%) |
| 2–3 | 35 (8.3%) | |
| Primary site | Upper 1/3 | 122 (29.0) |
| Middle 1/3 | 178 (42.4) | |
| Lower 1/3 | 120 (28.6) | |
| Staging | I | 20 (4.8) |
| II | 118 (28.1) | |
| III | 223 (53.1) | |
| IV | 59 (14.0) | |
| T stage | T0-1 | 25 (6.0) |
| T2-4 | 393 (94.0) | |
| N stage | N0-1 | 232 (55.5) |
| N2-3 | 186 (44.5) | |
| M stage | 0 | 361 (86.0) |
| 1 | 59 (14.0) | |
| Differentiation | well | 5 (1.2) |
| Moderate | 321 (76.4) | |
| Poor | 48 (11.4) | |
| unkown | 46 (11.0) | |
| Operation | No | 270 (64.30) |
| Yes | 150 (35.70) | |
| RT dose (cGY) | ≥5000 | 376 (89.5) |
| <5000 | 44 (10.5) | |
| Cisplatin dose (mg/m2) | ≥150 | 336 (80) |
| <150 | 84 (20) | |
| WBC0 (K/ mm3) | 7.8 ± 3.01 | |
| Hb0 (g/dL) | 12.4 ± 1.98 | |
| PLT0 (109/L) | 258 ± 98.71 | |
| WBC1 (K/ mm3) | 5.4 ± 3.5 | |
| Hb1 (g/dL) | 11.9 ± 1.88 | |
| PLT1 (109/L) | 199 ± 94.8 | |
| NLR0 | ≥3.5 | 276 (65.7) |
| <3.5 | 144 (34.3) | |
| PLR0 | ≥375 | 91 (21.7) |
| <375 | 329 (78.3) | |
| NLR1 | ≥6.9 | 220 (52.4) |
| <6.9 | 200 (47.6) | |
| PLR1 | ≥463 | 187 (44.5) |
| <463 | 233 (55.5) | |
| NLR1/NLR0 | ≥1 | 289 (68.8) |
| <1 | 131 (31.2) | |
| PLR1/PLR0 | ≥1 | 323 (76.9) |
| <1 | 97 (23.1) | |
| Univariate Analysis | Multivariate Analysis | |||||||
|---|---|---|---|---|---|---|---|---|
| OS | DSS | OS | DSS | |||||
| Characteristics | cHR (95%CI) | p Value | cHR (95%CI) | p Value | aHR (95%CI) | p Value | aHR (95%CI) | p Value |
| Age (years) | ||||||||
| ≥65 vs. <65 | 1.148 (0.881–1.496) | 0.308 | 1.019 (0.742–1.399) | 0.909 | ||||
| Gender | ||||||||
| female vs. male | 0.795 (0.481–1.314) | 0.372 | 0.792 (0.443–1.414) | 0.43 | ||||
| ECOG performance status | ||||||||
| 3–4 vs. 0–1 | 1.702 (1.192–2.43) | 0.003 | 1.68 (1.11–2.543) | 0.014 | 1.498 (1.039–2.162) | 0.031 | 1.566 (1.025–2.392) | 0.038 |
| Clinical staging | ||||||||
| III–IV vs. I–II | 1.709 (1.347–2.168) | <0.001 | 2.024 (1.524–2.69) | <0.001 | 1.66 (1.303–2.116) | <0.001 | 1.988 (1.49–2.651) | <0.001 |
| Operation | ||||||||
| yes vs. no | 0.458 (0.362–0.58) | <0.001 | 0.457 (0.349–0.6) | <0.001 | 0.473 (0.372–0.601) | <0.001 | 0.473 (0.359–0.622) | <0.001 |
| RT dose (cGY) | ||||||||
| >5000 vs. <5000 | 0.631 (0.453–0.878) | 0.006 | 0.738 (0.491–1.108) | 0.143 | ||||
| Cisplatin dose (mg/m2) | ||||||||
| >150 vs. <150 | 0.576 (0.443–0.748) | <0.001 | 0.558 (0.413–0.753) | <0.001 | 0.565 (0.431–0.741) | <0.001 | 0.515 (0.378–0.7) | <0.001 |
| Hb0 (g/dL) | ||||||||
| ≥10 vs. <10 | 0.648 (0.473–0.888) | 0.007 | 0.766 (0.52–1.13) | 0.179 | ||||
| PLT0 (109/L) | ||||||||
| ≥150 vs. <150 | 0.801 (0.576–1.115) | 0.189 | 0.984 (0.651–1.487) | 0.937 | ||||
| NLR0 | ||||||||
| ≥3.5 vs. <3.5 | 1.427 (1.132–1.798) | 0.003 | 1.513 (1.156–1.98) | 0.003 | ||||
| PLR0 | ||||||||
| ≥375 vs. <375 | 1.4 (1.085–1.808) | 0.01 | 1.475 (1.103–1.973) | 0.009 | 1.463 (1.13–1.895) | 0.004 | 1.532 (1.143–2.054) | 0.005 |
| Hb1 (g/dL) | ||||||||
| ≥10 vs. <10 | 0.648 (0.489–0.857) | 0.002 | 0.74 (0.527–1.039) | 0.082 | ||||
| PLT1 (109/L) | ||||||||
| ≥150 vs. <150 | 0.788 (0.629–0.988) | 0.039 | 0.909 (0.697–1.187) | 0.484 | 0.74 (0.588–0.932) | 0.011 | ||
| NLR1 | ||||||||
| ≥6.9 vs. <6.9 | 1.025 (0.827-1.27) | 0.819 | 1.013 (0.792-1.298) | 0.916 | ||||
| PLR1 | ||||||||
| ≥463 vs. <463 | 1.043 (0.841-1.294) | 0.699 | 1.013 (0.79-1.299) | 0.917 | ||||
| PLR1/PLR0 | ||||||||
| ≥1 vs. <1 | 0.798 (0.622–1.024) | 0.076 | 0.724 (0.546–0.959) | 0.024 | ||||
| NLR1/ NLR0 | ||||||||
| ≥1 vs. <1 | 0.777 (0.619–0.975) | 0.029 | 0.733 (0.565–0.95) | 0.019 | ||||
Publisher’s Note: MDPI stays neutral with regard to jurisdictional claims in published maps and institutional affiliations. |
© 2022 by the authors. Licensee MDPI, Basel, Switzerland. This article is an open access article distributed under the terms and conditions of the Creative Commons Attribution (CC BY) license (https://creativecommons.org/licenses/by/4.0/).
Share and Cite
Tseng, R.-H.; Lai, K.-M.; Tsai, C.-Y.; Yan, S.-L. Elevated Platelet-to-Lymphocyte Ratio and Neutrophil-to-Lymphocyte Ratio after First Cycle of Chemotherapy and Better Survival in Esophageal Cancer Patients Receiving Concurrent Chemoradiotherapy. Curr. Oncol. 2022, 29, 8825-8834. https://doi.org/10.3390/curroncol29110694
Tseng R-H, Lai K-M, Tsai C-Y, Yan S-L. Elevated Platelet-to-Lymphocyte Ratio and Neutrophil-to-Lymphocyte Ratio after First Cycle of Chemotherapy and Better Survival in Esophageal Cancer Patients Receiving Concurrent Chemoradiotherapy. Current Oncology. 2022; 29(11):8825-8834. https://doi.org/10.3390/curroncol29110694
Chicago/Turabian StyleTseng, Ruo-Han, Kuan-Ming Lai, Chien-Yu Tsai, and Sheng-Lei Yan. 2022. "Elevated Platelet-to-Lymphocyte Ratio and Neutrophil-to-Lymphocyte Ratio after First Cycle of Chemotherapy and Better Survival in Esophageal Cancer Patients Receiving Concurrent Chemoradiotherapy" Current Oncology 29, no. 11: 8825-8834. https://doi.org/10.3390/curroncol29110694
APA StyleTseng, R.-H., Lai, K.-M., Tsai, C.-Y., & Yan, S.-L. (2022). Elevated Platelet-to-Lymphocyte Ratio and Neutrophil-to-Lymphocyte Ratio after First Cycle of Chemotherapy and Better Survival in Esophageal Cancer Patients Receiving Concurrent Chemoradiotherapy. Current Oncology, 29(11), 8825-8834. https://doi.org/10.3390/curroncol29110694
