Daidzein Reduces Food Intake Through Light-Phase-Specific Upregulation of Hypothalamic Urocortin in Female Rats
Abstract
1. Introduction
2. Materials and Methods
2.1. Animals and Housing
2.2. Experimental Design
2.3. Diets and Treatments
2.4. Surgical Procedures
2.5. Sample Collection
2.6. RNA Isolation and qPCR
2.7. Statistical Analysis
3. Results
3.1. Body Weight and Food Intake
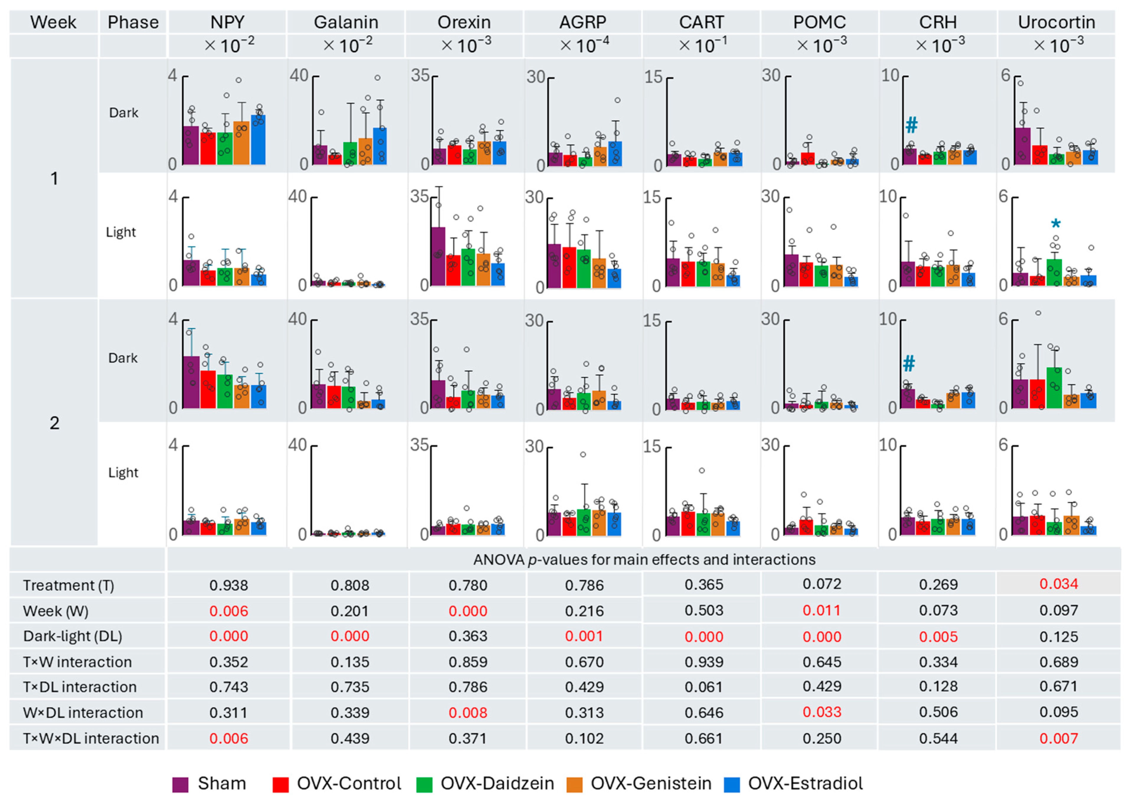
3.2. Hypothalamic Neuropeptide Gene Expression
3.3. Hypothalamic Urocortin Gene Expression
4. Discussion
4.1. Effects of Ovariectomy and Daidzein on Feeding Behavior
4.2. Diurnal Regulation of Hypothalamic Neuropeptides
4.3. Estradiol-Related Neuropeptide Responses
4.4. Selective Induction of Urocortin by Daidzein
5. Conclusions
Supplementary Materials
Author Contributions
Funding
Institutional Review Board Statement
Informed Consent Statement
Data Availability Statement
Acknowledgments
Conflicts of Interest
Abbreviations
| AGRP | Agouti-related peptide |
| ARC | Arcuate nucleus |
| CART | Cocaine- and amphetamine-regulated transcript |
| CRH | Corticotropin-releasing hormone |
| ERα | Estrogen receptor alpha |
| NPY | Neuropeptide Y |
| OVX | Ovariectomized |
| POMC | Proopiomelanocortin |
| PVN | Paraventricular nucleus |
| VMN | Ventromedial nucleus |
References
- Setchell, K.D.R. Phytoestrogens: The biochemistry, physiology, and implications for human health of soy phytoestrogens. Am. J. Clin. Nutr. 1998, 68, 1333S–1348S. [Google Scholar]
- Bhathena, S.J.; Velasquez, M.T. Beneficial role of dietary phytoestrogens in obesity and diabetes. Am. J. Clin. Nutr. 2002, 76, 1191–1201. [Google Scholar] [CrossRef] [PubMed]
- Sato, Y.; Higuchi, A.; Pan, W. Effects of a daidzein-rich isoflavone aglycone extract on body composition in overweight premenopausal Japanese women. Clin. Exp. Pharmacol. Physiol. 2007, 34, S76–S78. [Google Scholar] [CrossRef]
- Shao, S.; Zhao, H.; Lu, Z.; Lei, X.; Zhang, Y. Circadian Rhythms Within the Female HPG Axis: From Physiology to Etiology. Endocrinology 2021, 162, bqab117. [Google Scholar] [CrossRef] [PubMed]
- Shanmugam, D.A.S.; Balaraman, A.D.; Kar, A.; Franco, A.; Balaji, B.A.C.; Meenakumari, S.; Praveenkumar, P.K.; Gayathri, R.; Ganesan, V.K.; Kumar, M.V.; et al. Mini review: Bidirectional Regulation of Circadian Rhythm by Suprachiasmatic Nucleus and Nuclear Receptors in Female Mammals. J. Circadian Rhythms 2025, 23, 4. [Google Scholar] [CrossRef]
- Smith, H.A.; Betts, J.A. Circadian rhythms, feeding patterns and metabolic regulation: Implications for critical care. Proc. Nutr. Soc. 2024, 1–5. [Google Scholar] [CrossRef]
- Geary, N. Estradiol, CCK and satiation. Peptides 2001, 22, 1251–1263. [Google Scholar] [CrossRef]
- Lyons, P.M.; Truswell, A.S.; Mira, M.; Vizzard, J.; Abraham, S.F. Reduction of food intake in the ovulatory phase of the menstrual cycle. Am. J. Clin. Nutr. 1989, 49, 1164–1168. [Google Scholar] [CrossRef]
- Gong, E.J.; Garrel, D.; Calloway, D.H. Menstrual cycle and voluntary food intake. Am. J. Clin. Nutr. 1989, 49, 252–258. [Google Scholar] [CrossRef]
- Wade, G.N. Some effects of ovarian hormones on food intake and body weight in female rats. J. Comp. Physiol. Psychol. 1975, 88, 183–193. [Google Scholar] [CrossRef]
- Geary, N.; Asarian, L. Cyclic estradiol treatment normalizes body weight and test meal size in ovariectomized rats. Physiol. Behav. 1999, 67, 141–147. [Google Scholar] [CrossRef] [PubMed]
- Fujitani, M.; Mizushige, T.; Adhikari, S.; Bhattarai, K.; Kishida, T. Mechanism of Soy Isoflavone Daidzein-Induced Female-Specific Anorectic Effect. Metabolites 2022, 12, 252. [Google Scholar] [CrossRef]
- Schwartz, M.W.; Woods, S.C.; Porte, D., Jr.; Seeley, R.J.; Baskin, D.G. Central nervous system control of food intake. Nature 2000, 404, 661–671. [Google Scholar] [CrossRef]
- Bonavera, J.J.; Dube, M.G.; Kalra, S.P.; Kalra, P.S. Anorectic effects of estrogen may be mediated by decreased neuropeptide-Y release in the hypothalamic paraventricular nucleus. Endocrinology 1994, 134, 2367–2370. [Google Scholar] [CrossRef]
- Shimizu, H.; Ohtani, K.; Mori, M.; Kato, Y.; Tanaka, Y. Withdrawal of estrogen increases hypothalamic neuropeptide Y mRNA expression in ovariectomized obese rats. Neurosci. Lett. 1996, 204, 81–84. [Google Scholar] [CrossRef] [PubMed]
- McEwen, B.S.; Alves, S.E. Estrogen actions in the central nervous system. Endocr. Rev. 1999, 20, 279–307. [Google Scholar] [CrossRef]
- Fujitani, M.; Mizushige, T.; Bhattarai, K.; Iwahara, A.; Aida, R.; Segawa, T.; Kishida, T. Dynamics of appetite-mediated gene expression in daidzein-fed female rats in the meal-feeding method. Biosci. Biotechnol. Biochem. 2015, 79, 1342–1349. [Google Scholar] [CrossRef]
- Cedernaes, J.; Waldeck, N.; Bass, J. Neurogenetic basis for circadian regulation of metabolism by the hypothalamus. Genes Dev. 2019, 33, 1136–1158. [Google Scholar] [CrossRef]
- Douglass, A.M.; Kucukdereli, H.; Madara, J.C.; Wang, D.; Wu, C.; Lowenstein, E.D.; Tao, J.; Lowell, B.B. Acute and circadian feedforward regulation of agouti-related peptide hunger neurons. Cell Metab. 2025, 37, 708–722. [Google Scholar] [CrossRef]
- Ojeda, S.R.; Urbanski, H.F. Puberty in the rat. In Knobil and Neill’s Physiology of Reproduction; Knobil, E., Neill, J.D., Eds.; Academic Press: Cambridge, MA, USA, 1994; pp. 363–409. [Google Scholar]
- Kalu, D.N. The ovariectomized rat model of postmenopausal bone loss. Bone Miner. 1991, 15, 175–191. [Google Scholar] [CrossRef] [PubMed]
- Pfaffl, M.W.; Tichopad, A.; Prgomet, C.; Neuvians, T.P. Determination of stable housekeeping genes, differentially regulated target genes and sample integrity: BestKeeper-Excel-based tool using pair-wise correlations. Biotechnol. Lett. 2004, 26, 509–515. [Google Scholar] [CrossRef]
- Pfaffl, M.W. A new mathematical model for relative quantification in real-time RT-PCR. Nucleic Acids Res. 2001, 29, e45. [Google Scholar] [CrossRef]
- Kalsbeek, A.; la Fleur, S.; Fliers, E. Circadian control of glucose metabolism. Mol. Metab. 2014, 3, 372–383. [Google Scholar] [CrossRef]
- Sato, T.; Sato, S. Circadian Regulation of Metabolism: Commitment to Health and Diseases. Endocrinology 2023, 164, bqad086. [Google Scholar] [CrossRef]
- Van Drunen, R.; Eckel-Mahan, K. Circadian Rhythms of the Hypothalamus: From Function to Physiology. Clocks Sleep 2021, 3, 189–226. [Google Scholar] [CrossRef] [PubMed]
- Cummings, D.E.; Frayo, R.S.; Marmonier, C.; Aubert, R.; Chapelot, D. Plasma ghrelin levels and hunger scores in humans initiating meals voluntarily without time- and food-related cues. Am. J. Physiol. Endocrinol. Metab. 2004, 287, E297–E304. [Google Scholar] [CrossRef] [PubMed]
- Morton, G.J.; Meek, T.H.; Schwartz, M.W. Neurobiology of food intake in health and disease. Nat. Rev. Neurosci. 2014, 15, 367–378. [Google Scholar] [CrossRef]
- Zhang, L.; Hernandez-Sanchez, D.; Herzog, H. Regulation of Feeding-Related Behaviors by Arcuate Neuropeptide Y Neurons. Endocrinology 2019, 160, 1411–1420. [Google Scholar] [PubMed]
- Jang, M.; Romsos, D.R. Neuropeptide Y and corticotropin-releasing hormone concentrations within specific hypothalamic regions of lean but not Ob/ob mice respond to food deprivation and refeeding. J. Nutr. 1998, 128, 2520–2525. [Google Scholar] [CrossRef]
- Vasudevan, N.; Pfaff, D.W. Non-genomic actions of estrogens and their interaction with genomic actions in the brain. Front. Neuroendocrinol. 2008, 29, 238–257. [Google Scholar] [CrossRef]
- Hastings, M.H.; Maywood, E.S.; Brancaccio, M. The Mammalian Circadian Timing System and the Suprachiasmatic Nucleus as Its Pacemaker. Biology 2019, 8, 13. [Google Scholar] [CrossRef]
- Asarian, L.; Geary, N. Modulation of appetite by gonadal steroid hormones. Philos. Trans. R. Soc. Lond. B Biol. Sci. 2006, 361, 1251–1263. [Google Scholar] [CrossRef]
- Vamvakopoulos, N.C.; Chrousos, G.P. Evidence of direct estrogenic regulation of human corticotropin-releasing hormone gene expression. Potential implications for the sexual dimophism of the stress response and immune/inflammatory reaction. J. Clin. Investig. 1993, 92, 1896–1902. [Google Scholar] [CrossRef]
- Ainslie, D.A.; Morris, M.J.; Thorburn, A.W.; Wittert, G.; Turnbull, H.; Proietto, J. Estrogen deficiency causes central leptin insensitivity and increased hypothalamic neuropeptide Y. Int. J. Obes. 2001, 25, 1680–1688. [Google Scholar] [CrossRef]
- Xu, M.; Urban, J.H.; Hill, J.W.; Levine, J.E. Regulation of hypothalamic neuropeptide Y Y1 receptor gene expression during the estrous cycle: Role of progesterone receptors. Endocrinology 2000, 141, 3319–3327. [Google Scholar] [CrossRef]
- Cederroth, C.R.; Nef, S. Soy, phytoestrogens and metabolism: A review. Mol. Cell. Endocrinol. 2009, 304, 30–42. [Google Scholar] [CrossRef] [PubMed]
- McCosh, R.B.; O’Bryne, K.T.; Karsch, F.J.; Breen, K.M. Regulation of the gonadotropin-releasing hormone neuron during stress. J. Neuroendocrinol. 2022, 34, e13098. [Google Scholar] [CrossRef] [PubMed]
- Cardoso, T.S.R.; Horta, N.A.C.; Fernandes, P.; Araújo, F.M.; Luciano, P.L.C.; Cardoso, T.M.; Drummond, L.R.; Coimbra, C.C.; Poletini, M.O. Light phase feeding and estradiol reverse ovariectomy-induced alterations in metabolism and liver clock gene expression in rats. Biogerontology 2025, 26, 163. [Google Scholar] [CrossRef] [PubMed]
- Chang, H.C.; Churchwell, M.I.; Doerge, D.R.; Delclos, K.B.; Newbold, R.R. Mass spectrometric determination of genistein tissue distribution in diet-exposed Sprague-Dawley rats. J. Nutr. 2000, 130, 1963–1970. [Google Scholar]
- Adhikari, S.; Bhattarai, K.; Abe, Y.; Kira, M.; Fujitani, M.; Miyada, T.; Kishida, T. Dietary daidzein decreases food intake accompanied with delayed gastric emptying in ovariectomized rats. Biosci. Biotechnol. Biochem. 2020, 84, 1232–1238. [Google Scholar] [CrossRef]
- Czimmer, J.; Million, M.; Taché, Y. Urocortin 2 acts centrally to delay gastric emptying through sympathetic pathways while CRF and urocortin 1 inhibitory actions are vagal dependent in rats. Am. J. Physiol. Gastrointest. Liver Physiol. 2006, 290, G511–G518. [Google Scholar] [CrossRef] [PubMed]


Disclaimer/Publisher’s Note: The statements, opinions and data contained in all publications are solely those of the individual author(s) and contributor(s) and not of MDPI and/or the editor(s). MDPI and/or the editor(s) disclaim responsibility for any injury to people or property resulting from any ideas, methods, instructions or products referred to in the content. |
© 2026 by the authors. Licensee MDPI, Basel, Switzerland. This article is an open access article distributed under the terms and conditions of the Creative Commons Attribution (CC BY) license.
Share and Cite
Kishida, T.; Mizushige, T.; Nagamoto, M.; Balikagala, J. Daidzein Reduces Food Intake Through Light-Phase-Specific Upregulation of Hypothalamic Urocortin in Female Rats. Nutraceuticals 2026, 6, 14. https://doi.org/10.3390/nutraceuticals6010014
Kishida T, Mizushige T, Nagamoto M, Balikagala J. Daidzein Reduces Food Intake Through Light-Phase-Specific Upregulation of Hypothalamic Urocortin in Female Rats. Nutraceuticals. 2026; 6(1):14. https://doi.org/10.3390/nutraceuticals6010014
Chicago/Turabian StyleKishida, Taro, Takafumi Mizushige, Manabu Nagamoto, and Joanita Balikagala. 2026. "Daidzein Reduces Food Intake Through Light-Phase-Specific Upregulation of Hypothalamic Urocortin in Female Rats" Nutraceuticals 6, no. 1: 14. https://doi.org/10.3390/nutraceuticals6010014
APA StyleKishida, T., Mizushige, T., Nagamoto, M., & Balikagala, J. (2026). Daidzein Reduces Food Intake Through Light-Phase-Specific Upregulation of Hypothalamic Urocortin in Female Rats. Nutraceuticals, 6(1), 14. https://doi.org/10.3390/nutraceuticals6010014

