Next Article in Journal
Use of After Action Reports (AARs) to Promote Organizational and Systems Learning in Emergency Preparedness
Next Article in Special Issue
Integral Dose and Radiation-Induced Secondary Malignancies: Comparison between Stereotactic Body Radiation Therapy and Three-Dimensional Conformal Radiotherapy
Previous Article in Journal
Measuring the Pattern of High Temperature Areas in Urban Greenery of Nanjing City, China
 
 
Font Type:
Arial Georgia Verdana
Font Size:
Aa Aa Aa
Line Spacing:
Column Width:
Background:
Article

Radioactive Iodide (131I) Excretion Profiles in Response to Potassium Iodide (KI) and Ammonium Perchlorate (NH4ClO4) Prophylaxis

1
Institute for Health Management and Mass Destruction Defense, College of Public Health, University of Georgia, Athens, GA 30603, USA
2
National Center for Environmental Health, Division of Laboratory Sciences, Centers for Disease Control and Prevention, Atlanta, GA 30341, USA
3
National Center for Toxicological Research, U.S. Food and Drug Administration, Jefferson, AR 72079, USA
*
Author to whom correspondence should be addressed.
Int. J. Environ. Res. Public Health 2012, 9(8), 2936-2948; https://doi.org/10.3390/ijerph9082936
Submission received: 21 June 2012 / Revised: 12 July 2012 / Accepted: 9 August 2012 / Published: 16 August 2012
(This article belongs to the Special Issue Radiation and Cancer Risk)

Abstract

:
Radioactive iodide (131I) protection studies have focused primarily on the thyroid gland and disturbances in the hypothalamic-pituitary-thyroid axis. The objective of the current study was to establish 131I urinary excretion profiles for saline, and the thyroid protectants, potassium iodide (KI) and ammonium perchlorate over a 75 hour time-course. Rats were administered 131I and 3 hours later dosed with either saline, 30 mg/kg of NH4ClO4 or 30 mg/kg of KI. Urinalysis of the first 36 hours of the time-course revealed that NH4ClO4 treated animals excreted significantly more 131I compared with KI and saline treatments. A second study followed the same protocol, but thyroxine (T4) was administered daily over a 3 day period. During the first 6–12 hour after 131I dosing, rats administered NH4ClO4 excreted significantly more 131I than the other treatment groups. T4 treatment resulted in increased retention of radioiodide in the thyroid gland 75 hour after 131I administration. We speculate that the T4 treatment related reduction in serum TSH caused a decrease synthesis and secretion of thyroid hormones resulting in greater residual radioiodide in the thyroid gland. Our findings suggest that ammonium perchlorate treatment accelerates the elimination rate of radioiodide within the first 24 to 36 hours and thus may be more effective at reducing harmful exposure to 131I compared to KI treatment for repeated dosing situations. Repeated dosing studies are needed to compare the effectiveness of these treatments to reduce the radioactive iodide burden of the thyroid gland.

1. Introduction

Stable iodide (127I), as potassium iodide (KI) or “dietary iodine”, has been recognized for over 30 years as a practical thyroid radioprotectant for people exposed to radioactive isotopes of iodide [1,2]. In a recent National Academies of Science report on the distribution and administration of KI in the event of a nuclear incident [3], sodium perchlorate (Irenat®) was recommended for adults if KI treatment was contraindicated, such as in patients with preexisting thyroid disease. Successful thyroid radioprotectant treatments, such as KI or ammonium perchlorate (NH4ClO4), are judged by their ability to block or limit thyroidal uptake of trace amounts of radioactive iodide (e.g., 131I), while limited research has focused on treatment doses promoting excretion of the isotopes. Currently, the United States Food and Drug Administration (US FDA) recommends KI tablets as a preventative treatment for 131I poisoning of the thyroid gland [4].
Studies utilizing rats in the 1950s and 1960s demonstrated that perchlorate (ClO4) altered the serum pharmacokinetics of 131I [5,6,7]. The kinetic profile of 131I in laboratory animals treated with ClO4 was characterized by decreased serum 131I levels and increased urine 131I levels [6]. In the presence of ClO4, 131I is excreted in urine more rapidly, presumably because perchlorate blocks basolateral and/or apical uptake of 131I into sodium iodide symporter- or pendrin-protein rich tissues, such as the thyroid and small intestine [5,8,9,10,11,12]. Additionally, perchlorate administration displaces non-organified iodide from the thyroid, and the perchlorate discharge test has been used to diagnose iodide organification defects in humans for decades [10]. Perchlorate has been shown to have side effects ranging from rash and fever to several fatal cases of aplastic anemia [13,14], though these effects typically manifest from large bolus doses administered over weeks or months [15].
Rats administered ClO4 intravenously (0.1–3.0 mg/kg) excreted approximately 83% of the administered ClO4 dose over 24 hours [16]. In a similar experiment, these authors also intravenously dosed rats with 3.3 mg/kg of isotonically labeled ClO4 (36ClO4) and reported that 96% of the dose was excreted in 24 hours and 99.5% by 48 hours [17]. In a recent study, an oral dose of 30 mg/kg of ClO4 was administered to rats, and 38% of the dose was recovered in urine within the first 12 hours after dosing [15].
In the present rat study, the effectiveness of KI and NH4ClO4 to increase excretion of 131I into urine over a 3 day period was assessed, with and without T4 administration. In previous rat studies we reported that over a 15 hour post dosing period, KI and NH4ClO4 were equally effective at reducing thyroid gland exposure to 131I [15]. However, NH4ClO4 was more effective at increasing urinary clearance of 131I than KI. This study extends the timeframe of the experiment from 15 to 75 hours and also evaluates the influence of T4 administration on 131I kinetics. Rats, unlike humans, have short thyroxine half-lives in serum, and are sensitive to up-regulation of the thyroid gland by thyroid stimulating hormone (TSH) [18]. To control the potential for TSH mediated stimulation of the thyroid gland, one subset of rats for each treatment group received replacement doses of T4 to suppress the potential for TSH release [19,20].

2. Materials and Methods

2.1. Chemicals

Ammonium perchlorate (99.8%), 100% ethanol, and sodium hydroxide were purchased from Aldrich (Milwaukee, WI, USA). Nonradioactive thyroxine was purchased from Sigma Chemical Corporation (St. Louis, MO, USA). Potassium iodide was obtained from J. T. Baker (Phillipsburg, NJ, USA), carrier-free iodide-131 (131I) from Amersham Biosciences (29.4 mCi/µg), acepromazine maleate (10 mg/mL) and ketamine HCl (100 mg/mL) from Fort Dodge Animal Health (Fort Dodge, IA, USA) and xylazine (20 mg/mL) from Ben Venue Laboratories (Bedford, OH, USA). Isoflurane (99.9%) was purchased from Abbott Laboratories (Abbott Park, IL, USA).

2.2. Animals and Experimental Design

Male Sprague-Dawley rats (330 ± 30 g, approximately 11 weeks old) from Harlan Laboratories (Indianapolis, IN, USA) were provided LabDiet™ Laboratory Rodent Diet 5001 rat chow and water ad libitum. The animals used in this study were handled in accordance with the procedures of The University of Georgia Institutional Animal Care and Use Committee (IACUC), AUP# A2005-10110-0. The rats experienced a 12 hour light and dark cycle, with room air temperature at 22 ± 2 °C and relative humidity at 50 ± 20%.
Rats were housed individually in metabolism cages for a 5 day acclimation period prior to the start of the experiments. Twelve hours before the experiment commenced, food was removed from the animals to ensure complete absorption of the radiotracer and treatment doses. A summary of the experiments is shown in Table 1. The general experimental protocol was to dose rats orally with 2.91 µCi (6 ng/kg) 131I in saline solution (1 mL) by oral gavage and then return the rats to their metabolism cages. Rats from Group 1 (n = 6 for each treatment group) were removed from their metabolism cages after 3 hours and dosed by oral gavage with 1 mL of either 0.9% saline, 30 mg/kg of KI (calculated as iodide) or 30 mg/kg of NH4ClO4 (calculated as ClO4) dissolved in 0.9% aqueous saline. Rats from Group 2 (n = 6 for each treatment group) followed the same experimental protocol as Group 1 except each animal received a 0.1 mL intraperitoneal (ip) injection of 15 µg/kg of T4 (based on euthyroid replacement T4 doses administered by [21]) dissolved in 0.1 M NaOH and 1 animal from each treatment group received a 0.1 mL ip injection of 0.1 M NaOH (controls). Data from animals in Group 2 that received ip injections of NaOH had not statistically different from animals of a similar treatment in Group 1. As a result, data from animals in Group 2 that received ip injections of NaOH were assimilated with animals of a similar treatment in Group 1. The rats were held in metabolism cages for 75 hours for urine collections. Urine from Groups 1 and 2 were collected via metabolism cage vials at +3, 6, 12, 18, 24, 30, 36, 42, 48, 54, 60, 66, 72, and 75 hours. Blood was collected from the tail vein of animals in dose Groups 1 and 2 at 15 hours after dosing with 131I and at sacrifice. At sacrifice (75 hours after dosing with 131I), animals in Groups 1 and 2 were anesthetized with a ketamine cocktail (50 mg/kg ketamine, 3.3 mg/kg xylazine, and 3.4 mg/kg acepromazine administered at 0.1 mL per 100 g BW), then killed by asphyxiation at +75 hours. Blood was collected via cardiac puncture and serum prepared by centrifugation at 1,500 rpm at 4 °C for 15 min. Thyroid lobes were removed from the trachea and weighed. Urine was removed from the bladder via syringe. Sera, urine, and thyroid glands were stored at −80 °C until analysis.
Table 1. Summary of experiments in the rat to characterize excretion profiles of 131I following prophylactic administration of saline, KI, or perchlorate with and without T4 hormone replacement.
Table 1. Summary of experiments in the rat to characterize excretion profiles of 131I following prophylactic administration of saline, KI, or perchlorate with and without T4 hormone replacement.
ExperimentDescriptionDose (mg/kg)Urine Collection Times (hours)T4 Injection Times (hours)Serum and Thyroid Collection Time (hours)
Group 1 (n = 36) 12 rats each for saline, KI and NH4ClO4 treatment groupsSingle oral dose of 131I followed 3 hours later by single oral doses of saline, KI, or NH4ClO4ORAL 131I: 6 × 10−6 KI: 30 ClO4: 303, 6, 12, 18, 24, 30, 36, 42, 48, 54, 60, 66, 72, and 75---Serum: 15 and 75 Thyroid: 75
Group 2 (n = 18) 6 rats each for saline, KI and NH4ClO4 treatment groupsEqual to Group 1Equal to Group 1 ip T4: 0.015Equal to Group 1T4 doses at time of saline, KI and NH4ClO4 doses, then 24, and 48 hours laterSerum: 15 and 75 Thyroid: 75

2.3. 131I Analysis

Serial urine samples were placed on a gamma counter (1470 Wallac Wizard) equipped with one detector and 131I counts/minute (cpm) were measured within 2 hours after collection. 131I cpm were also assessed in whole thyroids and serum samples within 2 hours of sacrifice. Raw counts were recorded. Urine and sera were then stored at −80 °C for no less than 80 days (10 half-lives for 131I) in order for the radioactivity to decay.
Serum TSH measurements were made using a rat TSH radioimmunoassay kit from A. F. Parlow and the National Hormone & Peptide Program (lot numbers AFP329691Rb, AFP11542B, and AFP5512B).

2.4. 127I and ClO4 Analysis

Non-radioactive analytes (127I and ClO4) were quantified using ion chromatography coupled with tandem mass spectrometry. Serum samples were spiked with internal standard (129I and Cl18O4), treated to remove proteins, and analyzed by ion chromatography electrospray ionization tandem mass spectrometry [22]. Urine samples were spiked with internal standard (129I and Cl18O4) and analyzed by ion chromatography electrospray ionization tandem mass spectrometry [23].

2.5. Urinary Excretion Kinetics of Anions

All urine samples for Groups 1 and 2 were analyzed for 131I excretion kinetics. Animals in Groups 1 and 2 that received 127I or ClO4 also had urine samples analyzed for 127I or ClO4 excretion kinetics. All half-life calculations were prepared using Win Non Lin 5.2 software.

2.6. Statistical Analysis

Single factor analysis of variance (ANOVA) was used initially to determine significance across the treatment groups (control saline, KI and NH4ClO4) with statistical significance set at p < 0.05. Once statistical significance was determined across the treatment groups by ANOVA, a limited number of comparisons were carried out using a two-sample t-test (assuming equal variance) to compare each treatment group (p < 0.05) to control and to each other. All calculations were performed using Microsoft Excel. It should be noted that animals in Group 2 that received ip injections of NaOH were lumped together with animals in Group 1 of a similar treatment dose, i.e., saline, KI, or ClO4.

3. Results

3.1. 131I Excretion in Urine

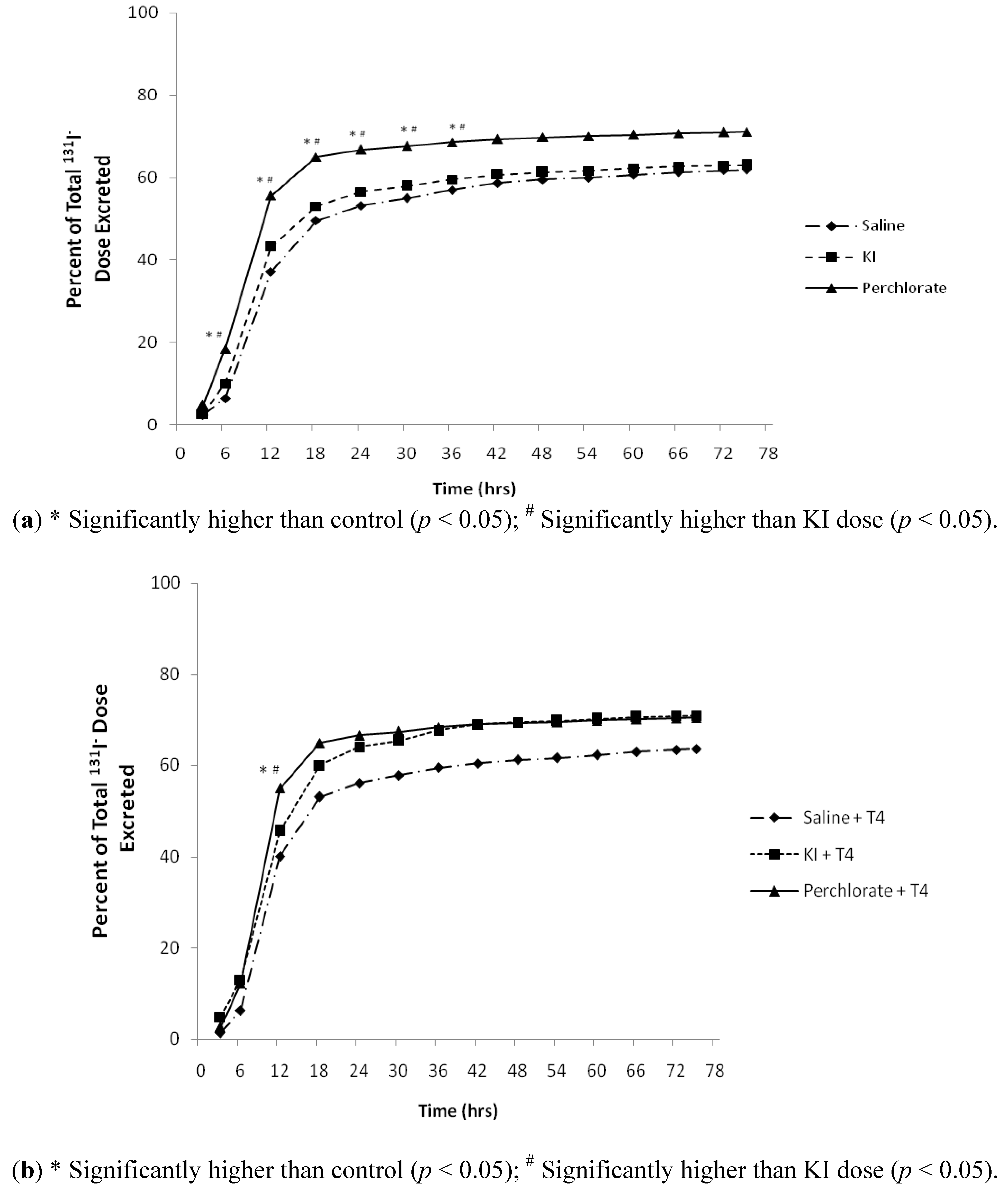
Rats were administered 131I, then 3 hours later either saline, 30 mg/kg of KI or 30 mg/kg of NH4ClO4 by oral bolus gavage. Group 2 was distinguished from Group 1 (Table 1) by repeated T4 administration, first at the time of dosing with saline, KI or NH4ClO4, then at +27 hours and +51 hours during the time-course. The 3-day cumulative volumes of urine produced were 39.7 ± 7.7 mL for Group 1 and 41.3 ± 5.7 mL for Group 2. In Group 1, 71, 63, and 62% of the administered 131I doses for NH4ClO4, KI, and control saline treatment groups, respectively (Figure 1a), were excreted in urine by 75 hours after dosing with 131I. In Group 2, 72, 71, and 63% of the administered doses of 131I were excreted in urine for the NH4ClO4, KI, and saline control treatment groups, respectively (Figure 1b) by 75 hours after dosing with 131I. Most of the 131I collected over the 3-day period (60.5 ± 6%) was excreted in urine by 24 hours after dosing in all treatments for Groups 1 and 2 (Figure 1(a,b)). The 24-hour urinary excretion half-lives for 131I (Table 2) in control and KI treated rats ranged from 3.5 to 4 hours; conversely, NH4ClO4 treated rats excreted 131I more rapidly (2.6 hour urinary excretion half-life, p < 0.001).
Table 2. Twenty four hour urinary excretion half-lives for 131I for Group 1 and 2 rats.
Table 2. Twenty four hour urinary excretion half-lives for 131I for Group 1 and 2 rats.
131I Excretion Half Lives (hours)
Group 1 131IGroup 2 131I + T4
Saline Control4.0 ± 0.73.7 ± 1.2
KI3.5 ± 0.53.8 ± 0.3
NH4ClO42.6 ± 0.4 *,#2.6 ± 0.4 *,#
Rats for each Group were orally dosed with 131I and then 3 hours later orally dosed with saline, KI (30 mg/kg), or NH4ClO4 (30 mg/kg). Group 2 rats also received ip injections of thyroxine (0.015 mg/kg) 3 hours following 131I administration and then every 24 hours until the conclusion of the experiment. Urine for each Group was collected for 24 hours; * statistically significantly lower than saline treatment (p < 0.001); # statistically significantly lower than KI treatment (p < 0.001).
Figure 1. (a) Percent of total 131I dose excreted in urine 75 hour of Group 1 male rats collected via metabolism cages dosed with 131I followed by saline, KI (30 mg/kg), or perchlorate (30 mg/kg) 3 hours later (n = 12), statistical analysis was conducted on concentration data for each individual time-point (data not shown); (b) Percent of total 131I dose excreted in 75 hour urine of Group 2 male rats collected via metabolism cages dosed with 131I followed by saline, KI (30 mg/kg), or perchlorate (30 mg/kg) at +3 hours and dosed with replacement T4 at +3, +27, and +51 hours (n = 6), statistical analysis was conducted on concentration data for each individual time-point (data not shown).
Figure 1. (a) Percent of total 131I dose excreted in urine 75 hour of Group 1 male rats collected via metabolism cages dosed with 131I followed by saline, KI (30 mg/kg), or perchlorate (30 mg/kg) 3 hours later (n = 12), statistical analysis was conducted on concentration data for each individual time-point (data not shown); (b) Percent of total 131I dose excreted in 75 hour urine of Group 2 male rats collected via metabolism cages dosed with 131I followed by saline, KI (30 mg/kg), or perchlorate (30 mg/kg) at +3 hours and dosed with replacement T4 at +3, +27, and +51 hours (n = 6), statistical analysis was conducted on concentration data for each individual time-point (data not shown).
Ijerph 09 02936 g001

3.2. 131I in Serum and Thyroid

The mean 131I concentration in the Group 1 control serum at 15 hours after 131I dosing was 1.37 ± 0.41 pg/mL and decreased to 0.50 ± 0.15 pg/mL at 75 hours post dosing (Figure 2a). In Group 1, the mean 131I serum levels in the KI and the NH4ClO4 treatment groups at 15 hours were 0.91 ± 0.40 and 0.76 ± 0.29 pg/mL, and decreased to 0.16 ± 0.04 and 0.18 ± 0.09 pg/mL, respectively, at 75 hours post dosing. The 131I serum concentrations in the KI and NH4ClO4 treatment groups were significantly less than saline controls for both sampling times (p < 0.05). The addition of T4 proved to have little effect on mean serum 131I concentration for Group 2 (Figure 2b). The mean serum 131I concentrations at 15 hours following T4 and saline, KI and NH4ClO4 treatments was 1.2 ± 0.35, 1.06 ± 0.42, and 0.64 ± 0.33 pg/mL respectively, and decreased to 0.61 ± 0.33, 0.17 ± 0.12, and 0.22 ± 0.15 pg/mL at 75 hours post dosing. At 15 hours post 131I dosing, only the NH4ClO4 treatment group 131I concentrations were significantly less (p < 0.05) than controls, while both KI and NH4ClO4 treatment group 131I concentrations were significantly less than controls at the 75 hour sampling time.
Compared with control saline, KI and NH4ClO4 treatment reduced levels of 131I in thyroid gland at 75 hours post exposure (Figure 3a). Also the residual 131I levels in the thyroid gland in the KI treatment group were lower than the NH4ClO4 treatment group (p < 0.01). KI and NH4ClO4 treatment reduced the thyroid content of 131I by 77 and 61%, respectively, 3 days after administration of 131I. Group 2 animals treated with T4 displayed a different thyroidal 131I content (Figure 3b). The mean residual percentage of 131I doses were less in both the KI (38% of control) and NH4ClO4 (48% of control) treatment groups, compared with saline controls; however, only the KI treatment was significantly less than controls (p < 0.01). Interestingly, control, KI, and NH4ClO4 treated rats from Group 2 retained more thyroidal 131I than rats from Group 1, which did not receive T4 treatment. Figure 4 compares the thyroidal 131I concentrations for Groups 1 and 2. In all cases, T4 treatment resulted in increased thyroidal 131I concentrations (p < 0.05).

3.3. 127I and ClO4: Urinary Excretion and Serum Concentrations

In Group 1 rats, the cumulative amounts of 127I and ClO4 excreted in urine over 72 hours were 128 and 92%, respectively, of the administered doses of 127I as KI, and ClO4, as NH4ClO4. Most of the excretion of 127I (93%) and ClO4 (97%) occurred within 24 hours of dosing. In the T4 treated group, 106% and 86% of 127I and ClO4, respectively, was excreted in urine by 72 hours after dosing. Eighty four and 96% of the excreted 127I and ClO4 anions occurred within 24 hours.
Stable iodide urinary half lives determined using 24 h urine collections in rats that were treated with KI for Groups 1 and 2 were 3.5 ± 0.6 and 3.9 ± 0.3 hours respectively, with no significance between groups. Perchlorate 24 hour urinary half lives in rats that were treated with NH4ClO4 for Groups 1 and 2 were 2.5 ± 0.5 and 2.5 ± 0.4 hours, respectively.
Serum concentrations of 127I and ClO4 72 hours after administration were 200.4 ± 199.8 and 81.3 ± 31.6 ng/mL, respectively, in Group 1 and 56.7 ± 15.9 ng/mL and 26.3 ± 14.6 ng/mL, respectively in Group 2.
Figure 2. (a) 131I concentrations (pg/mL) in serum of Group 1 male rats collected via tail vein bleed at 15 and via cardiac puncture 75 hours after oral administration of 131I and 12 and 72 hours after oral administration of either saline, KI (30 mg/kg), or perchlorate (30 mg/kg) as described in Figure 1a. Data are means ± standard deviation (n = 12); (b) 131Iconcentrations (pg/mL) in serum of Group 2 male rats collected via tail vein bleed at +15 hours and via cardiac puncture at 75 hours after oral administration of 131I. Animals were dosed with 131I followed by saline, KI (30 mg/kg), or perchlorate (30 mg/kg) and dosed with replacement T4 as described in Figure 1b. Data are means ± standard deviation (n = 6).
Figure 2. (a) 131I concentrations (pg/mL) in serum of Group 1 male rats collected via tail vein bleed at 15 and via cardiac puncture 75 hours after oral administration of 131I and 12 and 72 hours after oral administration of either saline, KI (30 mg/kg), or perchlorate (30 mg/kg) as described in Figure 1a. Data are means ± standard deviation (n = 12); (b) 131Iconcentrations (pg/mL) in serum of Group 2 male rats collected via tail vein bleed at +15 hours and via cardiac puncture at 75 hours after oral administration of 131I. Animals were dosed with 131I followed by saline, KI (30 mg/kg), or perchlorate (30 mg/kg) and dosed with replacement T4 as described in Figure 1b. Data are means ± standard deviation (n = 6).
Ijerph 09 02936 g002
Figure 3. (a) 75 hour percent of total 131I in the thyroid of Group 1 male rats dosed with 131I via gavage followed by saline, KI (30 mg/kg), or perchlorate (30 mg/kg) as described in Figure 1a. Data are means ± standard deviation (n = 12); (b) 75 hour + T4 percent of total 131I in the thyroid of Group 2 male rats dosed with 131I via gavage followed by saline, KI (30 mg/kg), or perchlorate (30 mg/kg) and dosed with T4 replacement as described in Figure 1b. Data are means ± standard deviation (n = 6).
Figure 3. (a) 75 hour percent of total 131I in the thyroid of Group 1 male rats dosed with 131I via gavage followed by saline, KI (30 mg/kg), or perchlorate (30 mg/kg) as described in Figure 1a. Data are means ± standard deviation (n = 12); (b) 75 hour + T4 percent of total 131I in the thyroid of Group 2 male rats dosed with 131I via gavage followed by saline, KI (30 mg/kg), or perchlorate (30 mg/kg) and dosed with T4 replacement as described in Figure 1b. Data are means ± standard deviation (n = 6).
Ijerph 09 02936 g003
Figure 4. Comparison of 131I concentration in the thyroid of male rats administered T4 versus rats not administered hormone replacement therapy (n = 12 for non-T4 and n = 6 for T4). * Saline treatment without T4 has a significantly less 131I thyroid concentration than saline with T4 (p < 0.05); ** KI and perchlorate treatment without T4 has a significantly less 131I thyroid concentration than KI and perchlorate with T4 (p < 0.001).
Figure 4. Comparison of 131I concentration in the thyroid of male rats administered T4 versus rats not administered hormone replacement therapy (n = 12 for non-T4 and n = 6 for T4). * Saline treatment without T4 has a significantly less 131I thyroid concentration than saline with T4 (p < 0.05); ** KI and perchlorate treatment without T4 has a significantly less 131I thyroid concentration than KI and perchlorate with T4 (p < 0.001).
Ijerph 09 02936 g004

3.4. Serum TSH Levels

The mean serum TSH concentrations for Group 1 was 4.12 ± 1.1, 4.04 ± 1.5, and 3.35 ± 1.8 ng/mL for the saline, KI, and NH4ClO4 treatments, respectively. No statistical significance was determined between treatment groups. Serum TSH concentrations were below the limit of detection of the assay (1.4 ng/mL) in Group 2.

4. Discussion

The objective of this study was to compare the relative efficacy of stable iodide and perchlorate to purge 131I from the body of rats. We evaluated the efficacy of these post-exposure treatments by monitoring 131I in the thyroid gland, urine, and serum for up to 3 days after dosing. This study design was based on a previous study in our laboratory [15], which showed that at 15 hours after treatment with KI or NH4ClO4, the perchlorate treated rats excreted three times the amount of 131I in urine compared with control treatments, while stable iodide treated rats excreted only twice the amount of 131I in urine compared with control treatments. In the current study, we confirm our earlier results that perchlorate treatment led to faster 131I excretion compared with KI treatment (Table 2). Interestingly, by 75 hours after dosing there was no difference in the total amount of 131I excreted in urine between treatment groups and the controls. This attenuation of the initial efficacy can be attributed to the short half-lives of perchlorate and iodide, 7.3 and 6 hours respectively [17,24], and suggests that repeated dosing with either treatment may most effectively clear 131I from the human body and thus protect the thyroid from radiation poisoning.
One interesting finding in this study is that rats treated with T4 retained more thyroidal 131I than rats without T4 treatment for all treatment groups at 75 hours after dosing (Figure 4). Other metrics of 131I internal exposure for urine and serum were comparable for Groups 1 and 2, i.e., no significant differences were determined between groups in the cumulative amounts of 131I, stable iodide, or perchlorate excreted in the urine at 75 hours after dosing or in the concentrations of 131I, stable iodide, or perchlorate in serum at 15 and 75 hours after dosing. Although the goal of T4 administration was to inhibit spikes in serum TSH levels after administration of KI or NH4ClO4, the outcome was diminished serum TSH levels below euthyroid levels, thus altering the thyroid gland function. The stimulatory effect of the reduced levels of TSH in T4-treated rats on thyroid hormone secretion was probably very low compared with the non-T4 treated rats, resulting in increased residual 131I radioactivity. The increase in residual thyroid radioactivity can likely not be attributed to the well known Wolff-Chaikoff effect given its transient nature relative to the duration of the experiment. However, the Wolff-Chaikoff effect must be considered if multiple doses of the treatments are administered over time.
The effectiveness of stable iodide and perchlorate as radioprotectants for 131I uptake into the thyroid gland is time-dependent [25,26]. Zanzonico and Becker (2000) [25] determined that when KI is administered to rats 2 hours after 131I exposure there is an 80% reduction in uptake of radioactive iodide in the thyroid. However, when KI is administered 8 hours after 131I exposure the reduction in uptake of radioactive iodide is reduced by 50%. Sinadinovic and Jovanovic (1971) [26] concluded that when rats were administered perchlorate and KI 30 min or 24 hours prior to radioiodide tracer administration, the perchlorate treated animals accelerated the elimination of radioiodide from the body, reducing its systemic biological half life, compared to KI treated rats. In our experiments, the KI treated rats excreted the same total amount of radioiodide at 3 days post exposure as perchlorate treated animals, but at a slower excretion rate. We plan further experiments to evaluate the efficacy of repeated treatments of perchlorate and KI.
In conclusion, our findings suggest that stable iodide and perchlorate appear equally potent at enhancing urinary elimination of radioiodide over a 3 day period. However, the perchlorate treatment offers an accelerated elimination rate of radioiodide within the first 24 to 36 hours and has a significant reduction in the biological half-life of 131I in the first 24 hours. This suggests that repeated doses of perchlorate post radioiodide exposure may increase the effectiveness of blocking uptake in the thyroid and eliminating radiation in the urine. These data support continued consideration of perchlorate as a prophylactic drug to treat radioiodide poisoning. Intentional and unintentional releases of radiation remain a public health concern in many countries and more research is needed to identify the most effective therapies for protecting the thyroid from radioiodide poisoning.

Disclaimer

The findings and conclusions in this report are those of the author(s) and do not necessarily represent the official position of the Centers for Disease Control and Prevention/the Agency for Toxic Substances and Disease Registry or the U.S. Food and Drug Administration.

References

  1. National Committee For Responsive Philanthropy (NCRP), Protection of the Thyroid Gland in the Event of Release of Radioiodine; Report No. 055; NCRP: Bethesda, MD, USA, 1977; p. 65.
  2. Becker, D.V.; Braverman, L.E.; Dunn, J.T.; Gaitan, E.; Gorman, C.; Maxon, H.; Schneider, A.B.; Van Middlesworth, L.; Wolff, J. The use of iodine as a thyroidal blocking agent in the event of a reactor accident. Report of the environmental hazards committee of the american thyroid association. JAMA 1984, 252, 659–661. [Google Scholar]
  3. National Apprenticeship Service (NAS), Distribution and Administration of Potassium Iodide in the Event of A Nuclear Incident; The National Academies Press: Washington, DC, USA, 2004; p. 248.
  4. Food and Drug Administration (FDA). Radiation Emergencies. Available online: http://www.fda.gov/Drugs/EmergencyPreparedness/BioterrorismandDrugPreparedness/ucm063807.htm (accessed on 7 November 2011).
  5. Halmi, N.S.; Stuelke, R.G.; Schnell, M.D. Radioiodide in the thyroid and in other organs of rats treated with large doses of perchlorate. Endocrinology 1956, 58, 634–650. [Google Scholar] [CrossRef]
  6. Schonbaum, E.; Sellers, E.A.; Gill, M.J. Some effects of perchlorate on the distribution of 131-iodide. Acta Endocrinol. (Copenhagen) 1965, 50, 195–201. [Google Scholar]
  7. Ullberg, S.; Ewaldsson, B. Distribution of radio-iodine studied by whole-body autoradiography. Acta Radiol. Ther. Phys. Biol. 1964, 2, 24–32. [Google Scholar]
  8. Anbar, M.; Guttmann, S.; Lewitus, Z. The mode of action of perchlorate ions on the iodine uptake of the thyroid gland. Int. J. Appl. Radiat. Isot. 1959, 7, 87–96. [Google Scholar] [CrossRef]
  9. Goldman, S.J.; Stanbury, J.B. The metabolism of perchlorate in the rat. Endocrinology 1973, 92, 1536–1538. [Google Scholar] [CrossRef]
  10. Wolff, J. Perchlorate and the thyroid gland. Pharmacol. Rev. 1998, 50, 89–105. [Google Scholar]
  11. Tran, N.; Valentin-Blasini, L.; Blount, B.C.; McCuistion, C.G.; Fenton, M.S.; Gin, E.; Salem, A.; Hershman, J.M. Thyroid-stimulating hormone increases active transport of perchlorate into thyroid cells. Am. J. Physiol. Endocrinol. Metab. 2008, 294, E802–E806. [Google Scholar] [CrossRef]
  12. Attanasio, R.; Scinicariello, F.; Blount, B.C.; Valentin-Blasini, L.; Rogers, K.A.; Nguyen, D.C.; Murray, H.E. Pendrin mediates uptake of perchlorate in a mammalian in vitro system. Chemosphere 2011, 84, 1484–1488. [Google Scholar] [CrossRef]
  13. Krevans, J.R.; Asper, S.P., Jr.; Rienhoff, W.F., Jr. Fatal aplastic anemia following use of potassium perchlorate in thyrotoxicosis. JAMA 1962, 181, 162–164. [Google Scholar]
  14. Trotter, W.R. The relative toxicity of antithyroid drugs. J. New Drugs 1962, 2, 333–343. [Google Scholar]
  15. Harris, C.A.; Fisher, J.W.; Rollor, E.A., 3rd.; Ferguson, D.C.; Blount, B.C.; Valentin-Blasini, L.; Taylor, M.A.; Dallas, C.E. Evaluation of potassium iodide (KI) and ammonium perchlorate (Nh4ClO4) to ameliorate 131I exposure in the rat. J. Toxicol. Environ. Health 2009, 72, 909–914. [Google Scholar]
  16. Fisher, J.; Todd, P.; Mattie, D.; Godfrey, D.; Narayanan, L.; Yu, K. Preliminary development of a physiological model for perchlorate in the adult male rat: A framework for further studies. Drug Chem. Toxicol. 2000, 23, 243–258. [Google Scholar] [CrossRef]
  17. Yu, K.O.; Narayanan, L.; Mattie, D.R.; Godfrey, R.J.; Todd, P.N.; Sterner, T.R.; Mahle, D.A.; Lumpkin, M.H.; Fisher, J.W. The pharmacokinetics of perchlorate and its effect on the hypothalamus-pituitary-thyroid axis in the male rat. Toxicol. Appl. Pharmacol. 2002, 182, 148–159. [Google Scholar] [CrossRef]
  18. Capen, C.C. Mechanistic data and risk assessment of selected toxic end points of the thyroid gland. Toxicol. Pathol. 1997, 25, 39–48. [Google Scholar] [CrossRef]
  19. Connors, J.M.; Hedge, G.A. Feedback regulation of thyrotropin by thyroxine under physiological conditions. Am. J. Physiol. 1981, 240, E308–E313. [Google Scholar]
  20. Larsen, P.R.; Frumess, R.D. Comparison of the biological effects of thyroxine and triiodothyronine in the rat. Endocrinology 1977, 100, 980–988. [Google Scholar] [CrossRef]
  21. Dratman, M.B.; Crutchfield, F.L.; Gordon, J.T.; Jennings, A.S. Iodothyronine homeostasis in rat brain during hypo- and hyperthyroidism. Am. J. Physiol. 1983, 245, E185–E193. [Google Scholar]
  22. Amitai, Y.; Winston, G.; Sack, J.; Wasser, J.; Lewis, M.; Blount, B.C.; Valentin-Blasini, L.; Fisher, N.; Israeli, A.; Leventhal, A. Gestational exposure to high perchlorate concentrations in drinking water and neonatal thyroxine levels. Thyroid 2007, 17, 843–850. [Google Scholar]
  23. Valentin-Blasini, L.; Blount, B.C.; Delinsky, A. Quantification of iodide and sodium-iodide symporter inhibitors in human urine using ion chromatography tandem mass spectrometry. J. Chromatogr. 1155, 40–46. [Google Scholar]
  24. Wolff, J. Physiological aspects of iodide excess in relation to radiation protection. J. Mol. Med. 1980, 4, 151–165. [Google Scholar]
  25. Zanzonico, P.B.; Becker, D.V. Effects of time of administration and dietary iodine levels on potassium iodide (KI) blockade of thyroid irradiation by 131I from radioactive fallout. Health Phys. 2000, 78, 660–667. [Google Scholar] [CrossRef]
  26. Sinadinovic, J.P.; Jovanovic, M. Effect of perchlorate and stabile iodide on the elimination of radioactive iodine (I 131) from the body. Glas Srp. Akad. Nauka Med. 1971, 23, 29–36. [Google Scholar]

Share and Cite

MDPI and ACS Style

Harris, C.; Dallas, C.; Rollor III, E.; White, C.; Blount, B.; Valentin-Blasini, L.; Fisher, J. Radioactive Iodide (131I) Excretion Profiles in Response to Potassium Iodide (KI) and Ammonium Perchlorate (NH4ClO4) Prophylaxis. Int. J. Environ. Res. Public Health 2012, 9, 2936-2948. https://doi.org/10.3390/ijerph9082936

AMA Style

Harris C, Dallas C, Rollor III E, White C, Blount B, Valentin-Blasini L, Fisher J. Radioactive Iodide (131I) Excretion Profiles in Response to Potassium Iodide (KI) and Ammonium Perchlorate (NH4ClO4) Prophylaxis. International Journal of Environmental Research and Public Health. 2012; 9(8):2936-2948. https://doi.org/10.3390/ijerph9082936

Chicago/Turabian Style

Harris, Curtis, Cham Dallas, Edward Rollor III, Catherine White, Benjamin Blount, Liza Valentin-Blasini, and Jeffrey Fisher. 2012. "Radioactive Iodide (131I) Excretion Profiles in Response to Potassium Iodide (KI) and Ammonium Perchlorate (NH4ClO4) Prophylaxis" International Journal of Environmental Research and Public Health 9, no. 8: 2936-2948. https://doi.org/10.3390/ijerph9082936

APA Style

Harris, C., Dallas, C., Rollor III, E., White, C., Blount, B., Valentin-Blasini, L., & Fisher, J. (2012). Radioactive Iodide (131I) Excretion Profiles in Response to Potassium Iodide (KI) and Ammonium Perchlorate (NH4ClO4) Prophylaxis. International Journal of Environmental Research and Public Health, 9(8), 2936-2948. https://doi.org/10.3390/ijerph9082936

Article Metrics

Back to TopTop