Stress Recovery during Exposure to Nature Sound and Environmental Noise
Abstract
:1. Introduction
2. Methods
2.1. Participants
2.2. Experimental Design
2.3. Stressor
2.4. Experimental Sounds
- Nature sound. A mixture of sounds from a fountain and tweeting birds. The average sound pressure level was set to 50 dB (LAeq,4min).
- High noise. Road traffic noise recorded close to a densely trafficked road. The average sound pressure level was set to 80 dB (LAeq,4min).
- Low noise. The same noise as (2), but set to a lower average sound pressure level, 50 dB (LAeq,4min).
- Ambient noise. A recording from a quiet backyard, with a constant low level ambient noise, mainly caused by ventilation systems of the buildings surrounding the yard. The average sound pressure level was set to 40 dB (LAeq,4min).
2.5. Physiological Measures
2.6. Procedure
2.7. Equipment
3. Results
3.1. Perceptual Assessment of Experimental Sounds
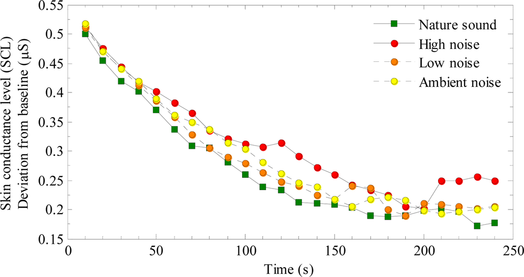
3.2. Physiological Measures
4. Discussion
5. Conclusions
Abbreviations:
| HF HRV | High frequency heart rate variability |
| SCL | Skin conductance level |
Acknowledgments
References
- Ulrich, RS. View through a window may influence recovery from surgery. Science 1984, 224, 420–421. [Google Scholar]
- Grinde, B; Patil, GG. Biophilia: does visual contact with nature impact on health and well-being? Int. J. Environ. Res. Public. Health 2009, 6, 2332–2343. [Google Scholar]
- Hartig, T; Kaiser, FG; Bowler, PA. Psychological restoration in nature as a positive motivation for ecological behavior. Environ. Behav 2001, 33, 590–607. [Google Scholar]
- Maller, C; Townsend, M; Pryor, A; Brown, P; St Leger, L. Healthy nature healthy people: ‘contact with nature’ as an upstream health promotion intervention for populations. Health Promot. Int 2006, 21, 45–54. [Google Scholar]
- Parsons, R; Tassinary, LG; Ulrich, RS; Hebl, MR; Grossman-Alexander, M. The view from the road: Implications for stress recovery and immunization. J. Environ. Psychol 1998, 18, 113–140. [Google Scholar]
- Ulrich, RS; Simons, RF; Losito, BD; Fiorito, E; Miles, MA; Zelson, M. Stress recovery during exposure to natural and urban environments. J. Environ. Psychol 1991, 11, 201–230. [Google Scholar]
- van den Berg, AE; Hartig, T; Staats, H. Preference for nature in urbanized societies: Stress, restoration, and the pursuit of sustainability. J. Soc. Issues 2007, 63, 79–96. [Google Scholar]
- Kaplan, S. The restorative benefits of nature—toward an integrative framework. J. Environ. Psychol 1995, 15, 169–182. [Google Scholar]
- Fredrickson, BL; Mancuso, RA; Branigan, C; Tugade, MM. The undoing effect of positive emotions. Motiv. Emotion 2000, 24, 237–258. [Google Scholar]
- Laumann, K; Garling, T; Stormark, KM. Selective attention and heart rate responses to natural and urban environments. J. Environ. Psychol 2003, 23, 125–134. [Google Scholar]
- Ising, H; Kruppa, B. Health effects caused by noise: evidence in the literature from the past 25 years. Noise Health 2004, 6, 5–13. [Google Scholar]
- Lusk, SL; Gillespie, B; Hagerty, BM; Ziemba, RA. Acute effects of noise on blood pressure and heart rate. Arch. Environ. Health 2004, 59, 392–399. [Google Scholar]
- Brown, AL; Muhar, A. An approach to the acoustic design of outdoor space. J. Environ. Planning Manage 2004, 47, 827–842. [Google Scholar]
- Lavandier, C; Defréville, B. The contribution of sound source characteristics in the assessment of urban soundscapes. Acta Acustica united with Acustica 2006, 92, 912–921. [Google Scholar]
- Nilsson, ME; Berglund, B. Soundscape quality in suburban green areas and city parks. Acta Acustica United with Acustica 2006, 92, 903–911. [Google Scholar]
- Andreassi, JL. Psychophysiology: Human Behavior and Physiological Response, 5th ed; L. Erlbaum Publishers: Mahwah, NJ, USA, 2007; p. 10. [Google Scholar]
- Blascovich, JK; Robert, M. Using electrodermal and cardiovascular measures of arousal in social psychological research. In Research Methods in Personality and Social Psychology Review of Personality and Social Psychology; Hendrick, C, Clark, Margaret S, Eds.; Sage Publications, Inc: Thousand Oaks, CA, USA, 1990; Volume 11, pp. 45–73. [Google Scholar]
- Cummings, EM; El-Sheikh, M; Kouros, CD; Keller, PS. Children's skin conductance reactivity as a mechanism of risk in the context of parental depressive symptoms. J. Child Psychol. Psychiatry 2007, 48, 436–445. [Google Scholar]
- Berntson, GG; Bigger, JT, Jr; Eckberg, DL; Grossman, P; Kaufmann, PG; Malik, M; Nagaraja, HN; Porges, SW; Saul, JP; Stone, PH; van der Molen, MW. Heart rate variability: origins, methods, and interpretive caveats. Psychophysiology 1997, 34, 623–648. [Google Scholar]
- Pyetan, E; Toledo, E; Zoran, O; Akselrod, S. Parametric description of cardiac vagal control. Auton. Neurosci 2003, 109, 42–52. [Google Scholar]
- Lovallo, WR. Stress and Health: Biological and Psychological Interactions, 2nd ed; Sage Publications: Thousand Oaks, CA, USA, 2004. [Google Scholar]
- Dickerson, SS; Kemeny, ME. Acute stressors and cortisol responses: A theoretical integration and synthesis of laboratory research. Psychol. Bull 2004, 130, 355–391. [Google Scholar]
- Renaud, P; Blondin, JP. The stress of Stroop performance: physiological and emotional responses to color-word interference, task pacing, and pacing speed. Int. J. Psychophysiol 1997, 27, 87–97. [Google Scholar]
- Berntson, GG; Stowell, JR. ECG artifacts and heart period variability: Don't miss a beat! Psychophysiology 1998, 35, 127–132. [Google Scholar]
- Hejjel, L; Kellenyi, L. The corner frequencies of the ECG amplifier for heart rate variability analysis. Physiol. Meas 2005, 26, 39–47. [Google Scholar]
- Axelsson, Ö. Individual differences in preferences to Photographs. Psychol. Aesthetics Creati. Arts 2007, 1, 61–72. [Google Scholar]
- Rogers, WT; Hopkins, KD. Power estimates in the presence of a covariate and measurement error. Educ. Psychol. Meas 1988, 48, 647–656. [Google Scholar]
- Adank, P; Evans, BG; Stuart-Smith, J; Scott, SK. Comprehension of familiar and unfamiliar native accents under adverse listening conditions. J. Exp. Psychol. Hum. Percept. Perform 2009, 35, 520–529. [Google Scholar]




| Period | Sound | Statistic (N = 40) | ||||
|---|---|---|---|---|---|---|
| Mean | Median | Max | Min | SD | ||
| Skin conductance level (SCL), μS | ||||||
| Baseline | Silence | 0.55 | 0.53 | 2.01 | 0.09 | 0.39 |
| Recovery | Nature | 0.82 | 0.84 | 1.84 | 0.25 | 0.36 |
| High Noise | 0.87 | 0.90 | 1.49 | 0.25 | 0.35 | |
| Low noise | 0.84 | 0.86 | 1.69 | 0.17 | 0.39 | |
| Ambient | 0.85 | 0.84 | 1.80 | 0.28 | 0.38 | |
| High frequency heart rate variability (HF HRV), ms2/Hz | ||||||
| Baseline | Silence | 0.60 | 0.55 | 1.08 | 0.29 | 0.21 |
| Recovery | Nature | 0.59 | 0.58 | 0.91 | 0.27 | 0.18 |
| High Noise | 0.60 | 0.57 | 1.01 | 0.31 | 0.20 | |
| Low noise | 0.60 | 0.53 | 1.07 | 0.25 | 0.21 | |
| Ambient | 0.61 | 0.57 | 1.04 | 0.32 | 0.19 | |
© 2010 by the authors; licensee Molecular Diversity Preservation International, Basel, Switzerland. This article is an open-access article distributed under the terms and conditions of the Creative Commons Attribution license (http://creativecommons.org/licenses/by/3.0/).
Share and Cite
Alvarsson, J.J.; Wiens, S.; Nilsson, M.E. Stress Recovery during Exposure to Nature Sound and Environmental Noise. Int. J. Environ. Res. Public Health 2010, 7, 1036-1046. https://doi.org/10.3390/ijerph7031036
Alvarsson JJ, Wiens S, Nilsson ME. Stress Recovery during Exposure to Nature Sound and Environmental Noise. International Journal of Environmental Research and Public Health. 2010; 7(3):1036-1046. https://doi.org/10.3390/ijerph7031036
Chicago/Turabian StyleAlvarsson, Jesper J., Stefan Wiens, and Mats E. Nilsson. 2010. "Stress Recovery during Exposure to Nature Sound and Environmental Noise" International Journal of Environmental Research and Public Health 7, no. 3: 1036-1046. https://doi.org/10.3390/ijerph7031036
APA StyleAlvarsson, J. J., Wiens, S., & Nilsson, M. E. (2010). Stress Recovery during Exposure to Nature Sound and Environmental Noise. International Journal of Environmental Research and Public Health, 7(3), 1036-1046. https://doi.org/10.3390/ijerph7031036
