Posttraumatic Stress Disorder and Handgrip Strength Among World Trade Center Firefighters and Emergency Medical Responders
Highlights
- PTSD is a long-term and highly prevalent condition among World Trade Center-exposed firefighters and emergency medical responders, a population now entering older age with elevated risk of functional decline.
- Handgrip strength and handgrip asymmetry provide objective indicators of physical function that are linked to disability, cognitive decline, and mortality, making them highly relevant for public health surveillance.
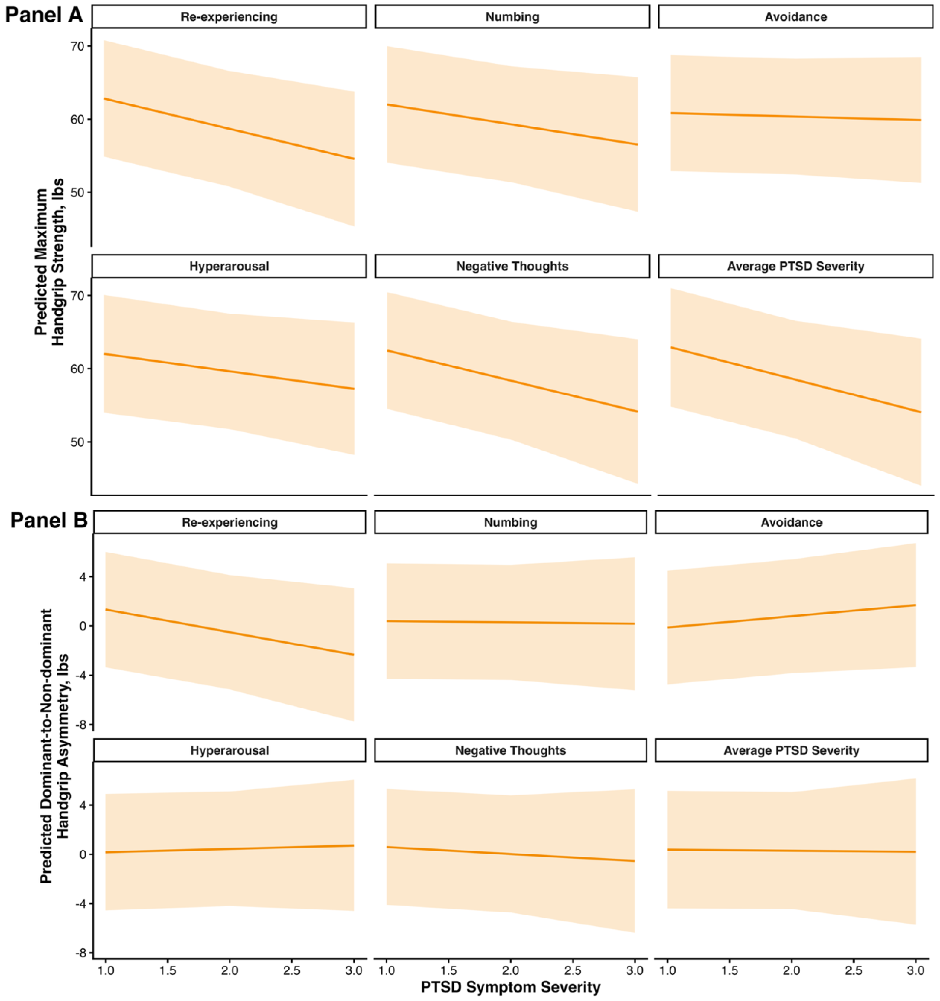
- More than 20 years after 9/11, higher PTSD symptom severity was associated with weaker handgrip strength among FDNY responders, demonstrating a persistent link between psychological trauma and physical function.
- Re-experiencing and avoidance symptoms showed the strongest associations with lower grip strength, indicating that specific PTSD symptom profiles are differentially related to long-term occupational health impairment.
- Disaster responder health programs may benefit from integrating routine grip-strength testing with PTSD monitoring to identify individuals at elevated risk for functional decline and disability.
- Occupational and disaster health research should prioritize longitudinal, symptom-specific models to determine whether targeted PTSD interventions can preserve physical function and extend work ability in aging responder populations.
Abstract
1. Introduction
2. Materials and Methods
2.1. Setting
2.2. Inclusion Criteria
2.3. Ethics
2.4. Measures
2.4.1. Assessment of Posttraumatic Stress Disorder (PTSD) Symptoms
2.4.2. Handgrip Strength
2.4.3. Handgrip Asymmetry
2.4.4. Covariates
2.4.5. Statistical Analysis
3. Results
3.1. Associations Between PTSD and Handgrip Strength
3.2. Sensitivity Analyses
4. Discussion
Strengths and Limitations
5. Conclusions
Supplementary Materials
Author Contributions
Funding
Institutional Review Board Statement
Informed Consent Statement
Data Availability Statement
Conflicts of Interest
Abbreviations
| FDNY | Fire Department of the City of New York |
| PTSD | Posttraumatic stress disorder |
| SCID | Structured Clinical Interview for the Diagnostic and Statistical Manual of Mental Disorders |
| WTC | World Trade Center |
References
- Thompson, J.; Rehn, M.; Lossius, H.M.; Lockey, D. Risks to emergency medical responders at terrorist incidents: A narrative review of the medical literature. Crit. Care 2014, 18, 521. [Google Scholar] [CrossRef]
- Bromet, E.J.; Hobbs, M.J.; Clouston, S.A.; Gonzalez, A.; Kotov, R.; Luft, B.J. DSM-IV post-traumatic stress disorder among World Trade Center responders 11-13 years after the disaster of 11 September 2001 (9/11). Psychol. Med. 2016, 46, 771–783. [Google Scholar] [CrossRef] [PubMed] [PubMed Central]
- Wang, D.X.M.; Yao, J.; Zirek, Y.; Reijnierse, E.M.; Maier, A.B. Muscle mass, strength, and physical performance predicting activities of daily living: A meta-analysis. J. Cachexia Sarcopenia Muscle 2020, 11, 3–25. [Google Scholar] [CrossRef] [PubMed] [PubMed Central]
- Oveisgharan, S.; Wang, T.; Barnes, L.L.; Schneider, J.A.; Bennett, D.A.; Buchman, A.S. The time course of motor and cognitive decline in older adults and their associations with brain pathologies: A multicohort study. Lancet Healthy Longev. 2024, 5, e336–e345. [Google Scholar] [CrossRef] [PubMed]
- Leong, D.P.; Teo, K.K.; Rangarajan, S.; Lopez-Jaramillo, P.; Avezum, A., Jr.; Orlandini, A.; Seron, P.; Ahmed, S.H.; Rosengren, A.; Kelishadi, R.; et al. Prognostic value of grip strength: Findings from the Prospective Urban Rural Epidemiology (PURE) study. Lancet 2015, 386, 266–273. [Google Scholar] [CrossRef] [PubMed]
- Guralnik, J.M.; Ferrucci, L.; Simonsick, E.M.; Salive, M.E.; Wallace, R.B. Lower-extremity function in persons over the age of 70 years as a predictor of subsequent disability. N. Engl. J. Med. 1995, 332, 556–561. [Google Scholar] [CrossRef] [PubMed] [PubMed Central]
- Ling, C.H.; Taekema, D.; de Craen, A.J.; Gussekloo, J.; Westendorp, R.G.; Maier, A.B. Handgrip strength and mortality in the oldest old population: The Leiden 85-plus study. CMAJ 2010, 182, 429–435. [Google Scholar] [CrossRef] [PubMed] [PubMed Central]
- Zammit, A.R.; Piccinin, A.M.; Duggan, E.C.; Koval, A.; Clouston, S.; Robitaille, A.; Brown, C.L.; Handschuh, P.; Wu, C.; Jarry, V.; et al. A Coordinated Multi-study Analysis of the Longitudinal Association Between Handgrip Strength and Cognitive Function in Older Adults. J. Gerontol. B Psychol. Sci. Soc. Sci. 2021, 76, 229–241. [Google Scholar] [CrossRef] [PubMed] [PubMed Central]
- Wu, Y.; Wang, W.; Liu, T.; Zhang, D. Association of Grip Strength with Risk of All-Cause Mortality, Cardiovascular Diseases, and Cancer in Community-Dwelling Populations: A Meta-analysis of Prospective Cohort Studies. J. Am. Med. Dir. Assoc. 2017, 18, 551.e17–551.e35. [Google Scholar] [CrossRef]
- Clouston, S.A.; Brewster, P.; Kuh, D.; Richards, M.; Cooper, R.; Hardy, R.; Rubin, M.S.; Hofer, S.M. The dynamic relationship between physical function and cognition in longitudinal aging cohorts. Epidemiol. Rev. 2013, 35, 33–50. [Google Scholar] [CrossRef] [PubMed] [PubMed Central]
- McGrath, R.; Vincent, B.M.; Jurivich, D.A.; Hackney, K.J.; Tomkinson, G.R.; Dahl, L.J.; Clark, B.C. Handgrip Strength Asymmetry and Weakness Together Are Associated With Functional Disability in Aging Americans. J. Gerontol. Ser. A 2020, 76, 291–296. [Google Scholar] [CrossRef] [PubMed]
- Klawitter, L.; Vincent, B.M.; Choi, B.-J.; Smith, J.; Hammer, K.D.; Jurivich, D.A.; Dahl, L.J.; McGrath, R. Handgrip strength asymmetry and weakness are associated with future morbidity accumulation in Americans. J. Strength Cond. Res. 2022, 36, 106–112. [Google Scholar] [CrossRef] [PubMed]
- McGrath, R.; Tomkinson, G.R.; LaRoche, D.P.; Vincent, B.M.; Bond, C.W.; Hackney, K.J. Handgrip strength asymmetry and weakness may accelerate time to mortality in aging Americans. J. Am. Med. Dir. Assoc. 2020, 21, 2003–2007.e1. [Google Scholar] [CrossRef] [PubMed]
- Carson, R.G. Get a grip: Individual variations in grip strength are a marker of brain health. Neurobiol. Aging 2018, 71, 189–222. [Google Scholar] [CrossRef]
- Pratt, J.; Pessanha, L.; Narici, M.; Boreham, C.; De Vito, G. Handgrip strength asymmetry as a new biomarker for sarcopenia and individual sarcopenia signatures. Aging Clin. Exp. Res. 2023, 35, 2563–2571. [Google Scholar] [CrossRef]
- Ahmadian, A.J.; Neylan, T.C.; Metzler, T.; Cohen, B.E. Longitudinal association of PTSD symptoms and self-reported physical functioning among Veterans. J. Affect. Disord. 2019, 250, 1–8. [Google Scholar] [CrossRef] [PubMed]
- Dobie, D.J.; Kivlahan, D.R.; Maynard, C.; Bush, K.R.; Davis, T.M.; Bradley, K.A. Posttraumatic stress disorder in female veterans: Association with self-reported health problems and functional impairment. Arch. Intern. Med. 2004, 164, 394–400. [Google Scholar] [CrossRef] [PubMed]
- Nichter, B.; Norman, S.; Haller, M.; Pietrzak, R.H. Physical health burden of PTSD, depression, and their comorbidity in the U.S. veteran population: Morbidity, functioning, and disability. J. Psychosom. Res. 2019, 124, 109744. [Google Scholar] [CrossRef] [PubMed]
- Bağci Uzun, G.; Arslan, A.; Arpacı, M.F.; Demirel, E.; Karakaş, N. Relationship between post traumatic stress disorder and hand dimensions and hand grip strength in children aged 8–12 exposed to earthquakes. Sci. Rep. 2024, 14, 29266. [Google Scholar] [CrossRef]
- Mukherjee, S.; Clouston, S.; Kotov, R.; Bromet, E.; Luft, B. Handgrip Strength of World Trade Center (WTC) Responders: The Role of Re-Experiencing Posttraumatic Stress Disorder (PTSD) Symptoms. Int. J. Environ. Res. Public Health 2019, 16, 1128. [Google Scholar] [CrossRef] [PubMed] [PubMed Central]
- Clouston, S.A.P.; Guralnik, J.M.; Kotov, R.; Bromet, E.J.; Luft, B.J. Functional Limitations Among Responders to the World Trade Center Attacks 14 Years After the Disaster: Implications of Chronic Posttraumatic Stress Disorder. J. Trauma. Stress 2017, 30, 443–452. [Google Scholar] [CrossRef] [PubMed] [PubMed Central]
- Elder, G.J.; Lazar, A.S.; Alfonso-Miller, P.; Taylor, J.P. Sleep disturbances in Lewy body dementia: A systematic review. Int. J. Geriatr. Psychiatry 2022, 37, 1–22. [Google Scholar] [CrossRef] [PubMed] [PubMed Central]
- Borek, L.L.; Kohn, R.; Friedman, J.H. Phenomenology of dreams in Parkinson’s disease. Mov. Disord. 2007, 22, 198–202. [Google Scholar] [CrossRef] [PubMed]
- Otaiku, A.I. Dream Content Predicts Motor and Cognitive Decline in Parkinson’s Disease. Mov. Disord. Clin. Pract. 2021, 8, 1041–1051. [Google Scholar] [CrossRef] [PubMed] [PubMed Central]
- Mann, F.D.; Mueller, A.K.; Zeig-Owens, R.; Choi, J.; Prezant, D.J.; Carr, M.M.; Fels, A.M.; Hennington, C.M.; Armstrong, M.P.; Barber, A. Prevalence of Mild and Severe Cognitive Impairment in World Trade Center Exposed Fire Department of the City of New York (FDNY) and General Emergency Responders. Am. J. Ind. Med. 2024, 68, 160–174. [Google Scholar] [CrossRef]
- Jamshidian, M.; Jalal, S. Tests of homoscedasticity, normality, and missing completely at random for incomplete multivariate data. Psychometrika 2010, 75, 649–674. [Google Scholar] [CrossRef] [PubMed] [PubMed Central]
- First, M.B. Structured Clinical Interview for the DSM (SCID). In The Encyclopedia of Clinical Psychology; Wiley: Hoboken, NJ, USA, 2014; pp. 1–6. [Google Scholar]
- Pellecchia, A.; Kritikos, M.; Guralnik, J.; Ahuvia, I.; Santiago-Michels, S.; Carr, M.; Kotov, R.; Bromet, E.J.; Clouston, S.A.P.; Luft, B.J. Physical Functional Impairment and the Risk of Incident Mild Cognitive Impairment in an Observational Study of World Trade Center Responders. Neurol. Clin. Pract. 2022, 12, e162–e171. [Google Scholar] [CrossRef] [PubMed] [PubMed Central]
- Perna, F.M.; Coa, K.; Troiano, R.P.; Lawman, H.G.; Wang, C.Y.; Li, Y.; Moser, R.P.; Ciccolo, J.T.; Comstock, B.A.; Kraemer, W.J. Muscular Grip Strength Estimates of the U.S. Population from the National Health and Nutrition Examination Survey 2011–2012. J. Strength Cond. Res. 2016, 30, 867–874. [Google Scholar] [CrossRef] [PubMed] [PubMed Central]
- Sanderson, W.C.; Scherbov, S. Measuring the speed of aging across population subgroups. PLoS ONE 2014, 9, e96289. [Google Scholar] [CrossRef] [PubMed] [PubMed Central]
- Mathiowetz, V.; Kashman, N.; Volland, G.; Weber, K.; Dowe, M.; Rogers, S. Grip and pinch strength: Normative data for adults. Arch. Phys. Med. Rehabil. 1985, 66, 69–74. [Google Scholar] [PubMed]
- Sumner, J.A.; Nishimi, K.M.; Koenen, K.C.; Roberts, A.L.; Kubzansky, L.D. Posttraumatic Stress Disorder and Inflam-mation: Untangling Issues of Bidirectionality. Biol. Psychiatry 2020, 87, 885–897. [Google Scholar] [CrossRef] [PubMed] [PubMed Central]
- Dennis, P.A.; Kimbrel, N.A.; Sherwood, A.; Calhoun, P.S.; Watkins, L.L.; Dennis, M.F.; Beckham, J.C. Trauma and Autonomic Dysregulation: Episodic-Versus Systemic-Negative Affect Underlying Cardiovascular Risk in Posttraumatic Stress Disorder. Psychosom. Med. 2017, 79, 496–505. [Google Scholar] [CrossRef] [PubMed] [PubMed Central]
- Morey, R.A.; Gold, A.L.; LaBar, K.S.; Beall, S.K.; Brown, V.M.; Haswell, C.C.; Nasser, J.D.; Wagner, H.R.; McCarthy, G. Amygdala volume changes in posttraumatic stress disorder in a large case-controlled veterans group. Arch. Gen. Psychiatry 2012, 69, 1169–1178. [Google Scholar] [CrossRef] [PubMed] [PubMed Central]
- Pietrzak, R.H.; Averill, L.A.; Abdallah, C.G.; Neumeister, A.; Krystal, J.H.; Levy, I.; Harpaz-Rotem, I. Amygda-la-Hippocampal Volume and the Phenotypic Heterogeneity of Posttraumatic Stress Disorder: A Cross-Sectional Study. JAMA Psychiatry 2015, 72, 396–398. [Google Scholar] [CrossRef]
- Sumner, J.A.; Chen, Q.; Roberts, A.L.; Winning, A.; Rimm, E.B.; Gilsanz, P.; Glymour, M.M.; Tworoger, S.S.; Koenen, K.C.; Kubzansky, L.D. Posttraumatic stress disorder onset and inflammatory and endothelial function biomarkers in women. Brain Behav. Immun. 2018, 69, 203–209. [Google Scholar] [CrossRef]
- McEwen, B.S.; Stellar, E. Stress and the Individual: Mechanisms Leading to Disease. Arch. Intern. Med. 1993, 153, 2093–2101. [Google Scholar] [CrossRef]
- Sherin, J.E.; Nemeroff, C.B. Post-traumatic stress disorder: The neurobiological impact of psychological trauma. Dialogues Clin. Neurosci. 2011, 13, 263–278. [Google Scholar] [CrossRef] [PubMed] [PubMed Central]
- Deri, Y.; Clouston, S.A.P.; DeLorenzo, C.; Gardus, J.D.; Bartlett, E.A., 3rd; Santiago-Michels, S.; Bangiyev, L.; Kreisl, W.C.; Kotov, R.; Huang, C.; et al. Neuroinflammation in World Trade Center responders at midlife: A pilot study using [(18)F]-FEPPA PET imaging. Brain Behav. Immun. Health 2021, 16, 100287. [Google Scholar] [CrossRef] [PubMed] [PubMed Central]
- Natale, G.; Kritikos, M.; Kuan, P.F.; Carr, M.A.; Yang, X.; Yang, Y.; Kotov, R.; Bromet, E.J.; Clouston, S.A.P.; Luft, B.J. Glial suppression and post-traumatic stress disorder: A cross-sectional study of 1,520 world trade center responders. Brain Behav. Immun. Health 2023, 30, 100631. [Google Scholar] [CrossRef] [PubMed] [PubMed Central]
- Bhatt, S.; Hillmer, A.T.; Girgenti, M.J.; Rusowicz, A.; Kapinos, M.; Nabulsi, N.; Huang, Y.; Matuskey, D.; Angarita, G.A.; Esterlis, I.; et al. PTSD is associated with neuroimmune suppression: Evidence from PET imaging and postmortem transcriptomic studies. Nat. Commun. 2020, 11, 2360. [Google Scholar] [CrossRef] [PubMed] [PubMed Central]
- Kuan, P.-F.; Ren, X.; Clouston, S.; Yang, X.; Jonas, K.; Kotov, R.; Bromet, E.; Luft, B.J. PTSD is associated with accelerated transcriptional aging in World Trade Center responders. Transl. Psychiatry 2021, 11, 311. [Google Scholar] [CrossRef] [PubMed]
- Clouston, S.A.P.; Mann, F.D.; Meliker, J.; Kuan, P.-F.; Kotov, R.; Richmond, L.L.; Babalola, T.; Kritikos, M.; Yang, Y.; Carr, M.A.; et al. Incidence of Dementia Before Age 65 Years Among World Trade Center Attack Responders. JAMA Netw. Open 2024, 7, e2416504. [Google Scholar] [CrossRef] [PubMed]
- Buford, T.W.; Anton, S.D.; Judge, A.R.; Marzetti, E.; Wohlgemuth, S.E.; Carter, C.S.; Leeuwenburgh, C.; Pahor, M.; Manini, T.M. Models of accelerated sarcopenia: Critical pieces for solving the puzzle of age-related muscle atrophy. Ageing Res. Rev. 2010, 9, 369–383. [Google Scholar] [CrossRef] [PubMed] [PubMed Central]
- Mann, F.D.; Waszczuk, M.A.; Clouston, S.A.; Feltman, S.; Ruggero, C.J.; Marx, B.P.; Schwartz, J.E.; Bromet, E.J.; Luft, B.J.; Kotov, R. A 20-year longitudinal cohort study of post-traumatic stress disorder in World Trade Center responders. Nat. Ment. Health 2025, 3, 789–802. [Google Scholar] [CrossRef]
- Nacul, L.C.; Mudie, K.; Kingdon, C.C.; Clark, T.G.; Lacerda, E.M. Hand Grip Strength as a Clinical Biomarker for ME/CFS and Disease Severity. Front. Neurol. 2018, 9, 992. [Google Scholar] [CrossRef] [PubMed] [PubMed Central]
- Jäkel, B.; Kedor, C.; Grabowski, P.; Wittke, K.; Thiel, S.; Scherbakov, N.; Doehner, W.; Scheibenbogen, C.; Freitag, H. Hand grip strength and fatigability: Correlation with clinical parameters and diagnostic suitability in ME/CFS. J. Transl. Med. 2021, 19, 159. [Google Scholar] [CrossRef] [PubMed] [PubMed Central]
- Mueller, A.K.; Singh, A.; Webber, M.P.; Hall, C.B.; Prezant, D.J.; Zeig-Owens, R. PTSD symptoms, depressive symptoms, and subjective cognitive concerns in WTC-exposed and non-WTC-exposed firefighters. Am. J. Ind. Med. 2021, 64, 803–814. [Google Scholar] [CrossRef] [PubMed]
- Gulliver, S.B.; Zimering, R.T.; Knight, J.; Morissette, S.B.; Kamholz, B.W.; Pennington, M.L.; Dobani, F.; Carpenter, T.P.; Kimbrel, N.A.; Keane, T.M.; et al. A prospective study of firefighters’ PTSD and depression symptoms: The first 3 years of service. Psychol. Trauma 2021, 13, 44–55. [Google Scholar] [CrossRef] [PubMed]




| Variable | Overall N = 381 1 | PTSD Diagnosed vs. PTSD Not Diagnosed | |
|---|---|---|---|
| Yes N = 66 1 | No N = 315 1 | ||
| Maximum Handgrip Strength, lbs † | 62.6 (15.4) | 60.3 (15.9) | 63.1 (15.3) |
| Handgrip Asymmetry, lbs (Dominant-to-Non-dominant) † | 3.3 (8.8) | 3.2 (9.7) | 3.3 (8.6) |
| Handgrip Asymmetry, lbs (Absolute Left-to-Right) † | 7.3 (5.8) | 8.4 (5.7) | 7.1 (5.8) |
| Age, years | 60.0 (55.0, 65.0) | 59.0 (55.0, 64.0) | 60.0 (55.0, 65.0) |
| Age, category | |||
| <65 | 281 (74%) | 52 (79%) | 229 (73%) |
| ≥65 | 100 (26%) | 14 (21%) | 86 (27%) |
| Occupation | |||
| Firefighter | 357 (94%) | 62 (94%) | 295 (94%) |
| Emergency Medical Services | 24 (6.3%) | 4 (6.1%) | 20 (6.3%) |
| Race/Ethnicity | |||
| Non-White | 23 (6.0%) | 5 (7.6%) | 18 (5.7%) |
| White | 358 (94%) | 61 (92%) | 297 (94%) |
| Education | |||
| High School | 42 (11%) | 13 (20%) | 29 (9.2%) |
| Some College/Technical School | 194 (51%) | 35 (53%) | 159 (50%) |
| University degree or Higher | 145 (38%) | 18 (27%) | 127 (40%) |
| Hand Dominance | |||
| Left | 42 (11%) | 9 (14%) | 33 (10%) |
| Right | 325 (85%) | 54 (82%) | 271 (86%) |
| Ambidextrous | 14 (3.7%) | 3 (4.5%) | 11 (3.5%) |
| Major Depressive Disorder | |||
| Yes | 22 (5.8%) | 15 (23%) | 7 (2.2%) |
| Asthma | |||
| Yes | 156 (41%) | 36 (55%) | 120 (38%) |
| Diabetes | |||
| Yes | 14 (3.7%) | 3 (4.5%) | 11 (3.5%) |
| Cardiovascular Disease | |||
| Yes | 32 (8.9%) | 3 (4.7%) | 29 (9.8%) |
| Hypertension | |||
| Yes | 100 (26%) | 20 (30%) | 80 (25%) |
| Average PTSD Symptom Severity | 1.4 (0.3) | 1.9 (0.3) | 1.2 (0.2) |
| Numbing Symptoms | 1.3 (0.5) | 2.0 (0.6) | 1.2 (0.3) |
| Avoidance Symptoms | 1.4 (0.6) | 2.1 (0.7) | 1.2 (0.5) |
| Re-experiencing Symptoms | 1.4 (0.4) | 1.9 (0.4) | 1.3 (0.4) |
| Hyperarousal Symptoms | 1.4 (0.5) | 2.0 (0.4) | 1.3 (0.3) |
| Negative thoughts Symptoms | 1.3 (0.4) | 1.7 (0.5) | 1.2 (0.3) |
| Comorbid PTSD & Major Depressive Disorder | |||
| Neither | 308 (81%) | 0 (0%) | 308 (98%) |
| PTSD only | 51 (13%) | 51 (77%) | 0 (0%) |
| MDD only | 7 (1.8%) | 0 (0%) | 7 (2.2%) |
| Comorbid PTSD & MDD | 15 (3.9%) | 15 (23%) | 0 (0%) |
Disclaimer/Publisher’s Note: The statements, opinions and data contained in all publications are solely those of the individual author(s) and contributor(s) and not of MDPI and/or the editor(s). MDPI and/or the editor(s) disclaim responsibility for any injury to people or property resulting from any ideas, methods, instructions or products referred to in the content. |
© 2026 by the authors. Licensee MDPI, Basel, Switzerland. This article is an open access article distributed under the terms and conditions of the Creative Commons Attribution (CC BY) license.
Share and Cite
Sampson, L.; Song, Y.; Mann, F.D.; Zeig-Owens, R.; Hall, C.B.; Mueller, A.K.; Choi, J.; Fels, A.M.; Fajfer, M.D.; Melendez, O.A.; et al. Posttraumatic Stress Disorder and Handgrip Strength Among World Trade Center Firefighters and Emergency Medical Responders. Int. J. Environ. Res. Public Health 2026, 23, 413. https://doi.org/10.3390/ijerph23040413
Sampson L, Song Y, Mann FD, Zeig-Owens R, Hall CB, Mueller AK, Choi J, Fels AM, Fajfer MD, Melendez OA, et al. Posttraumatic Stress Disorder and Handgrip Strength Among World Trade Center Firefighters and Emergency Medical Responders. International Journal of Environmental Research and Public Health. 2026; 23(4):413. https://doi.org/10.3390/ijerph23040413
Chicago/Turabian StyleSampson, Laura, Yuxiao Song, Frank D. Mann, Rachel Zeig-Owens, Charles B. Hall, Alexandra K. Mueller, Jaeun Choi, Alicia M. Fels, Matthew D. Fajfer, Onix A. Melendez, and et al. 2026. "Posttraumatic Stress Disorder and Handgrip Strength Among World Trade Center Firefighters and Emergency Medical Responders" International Journal of Environmental Research and Public Health 23, no. 4: 413. https://doi.org/10.3390/ijerph23040413
APA StyleSampson, L., Song, Y., Mann, F. D., Zeig-Owens, R., Hall, C. B., Mueller, A. K., Choi, J., Fels, A. M., Fajfer, M. D., Melendez, O. A., Hennington, C. M., Arneaud, C. W., Prezant, D. J., Luft, B. J., & Clouston, S. A. P. (2026). Posttraumatic Stress Disorder and Handgrip Strength Among World Trade Center Firefighters and Emergency Medical Responders. International Journal of Environmental Research and Public Health, 23(4), 413. https://doi.org/10.3390/ijerph23040413

