Gut Microbiota Diversity and Composition Across Shift Types and the Effects of Walnut Supplementation—An Observational and Interventional Study
Highlights
- Shift work is a widespread occupational exposure associated with circadian disruption and increased risk of chronic metabolic diseases.
- Alterations in gut microbiota diversity may represent a biological pathway linking night shift work, diet quality, and long-term health outcomes.
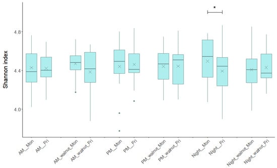
- Using a within-person design, this study shows that overall gut microbiota composition remains largely stable across shift types, while night shifts may transiently reduce microbial diversity.
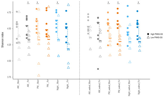
- Healthier dietary patterns were consistently associated with greater gut microbiota diversity, and walnut supplementation appeared to attenuate diversity loss during night shifts.
- Targeted nutritional strategies focusing on overall diet quality may help preserve gut microbiota diversity in shift-working populations.
- These findings support further public health research on dietary and timing-based interventions to mitigate the health effects of circadian disruption in shift workers.
Abstract
1. Introduction
2. Materials and Methods
2.1. Participants
2.2. Study Procedures
2.3. Gut Microbiota Analysis
2.4. Dietary Intake and Other Variables
2.5. Statistical Analysis
3. Results
3.1. Participant Characteristics
3.2. Bacterial Diversity of the Gut Microbiota
3.3. Composition of the Gut Microbiota
3.4. Food Intake
4. Discussion
5. Conclusions
Supplementary Materials
Author Contributions
Funding
Institutional Review Board Statement
Informed Consent Statement
Data Availability Statement
Conflicts of Interest
Abbreviations
| AM | Morning shift |
| BMI | Body mass index |
| Fri | Friday (end of shift) |
| GM | Gut microbiota |
| Mon | Monday (beginning of shift) |
| PM | Afternoon shift |
| PNNS-GS | Plan National Nutrition et Santé Guideline Score |
| PSD | Partial sleep deprivation |
| zOTU | zero-radius operational taxonomic units |
References
- Office Fédéral de la Statistique. Travail Effectué par Équipe en Rotation Selon le Sexe, la Nationalité, les Groupes d’âges, le Type de Famille. Available online: https://www.bfs.admin.ch/bfs/fr/home/statistiques/travail-remuneration/activite-professionnelle-temps-travail/conditions-travail/horaire-travail.html (accessed on 22 January 2026).
- Gao, Y.; Gan, T.; Jiang, L.; Yu, L.; Tang, D.; Wang, Y.; Li, X.; Ding, G. Association between shift work and risk of type 2 diabetes mellitus: A systematic review and dose-response meta-analysis of observational studies. Chronobiol. Int. 2020, 37, 29–46. [Google Scholar] [CrossRef]
- Xi, J.; Ma, W.; Tao, Y.; Zhang, X.; Liu, L.; Wang, H. Association between night shift work and cardiovascular disease: A systematic review and dose-response meta-analysis. Front. Public Health 2025, 13, 1668848. [Google Scholar] [CrossRef]
- Lagowska, K.; Kuleta-Koberska, A.; Michalak, M.; Bajerska, J. The effect of shift work on body mass index: A systematic review and meta-analysis of observational studies. Am. J. Hum. Biol. 2024, 36, e24041. [Google Scholar] [CrossRef]
- Bass, J.; Takahashi, J.S. Circadian integration of metabolism and energetics. Science 2010, 330, 1349–1354. [Google Scholar] [CrossRef]
- Konturek, P.C.; Brzozowski, T.; Konturek, S.J. Gut clock: Implication of circadian rhythms in the gastrointestinal tract. J. Physiol. Pharmacol. 2011, 62, 139–150. [Google Scholar]
- Oosterman, J.E.; Kalsbeek, A.; la Fleur, S.E.; Belsham, D.D. Impact of nutrients on circadian rhythmicity. Am. J. Physiol. Regul. Integr. Comp. Physiol. 2015, 308, R337–R350. [Google Scholar] [CrossRef] [PubMed]
- Vivarelli, S.; Marconi, A.; Matera, S.; Falzone, L.; Fenga, C. Review Article: Night Shift Work, Circadian Disruption, and the Gut Microbiome: Implications for Human Health. Crit. Rev. Oncog. 2025, 30, 67–81. [Google Scholar] [CrossRef] [PubMed]
- Thursby, E.; Juge, N. Introduction to the human gut microbiota. Biochem. J. 2017, 474, 1823–1836. [Google Scholar] [CrossRef]
- Kaczmarek, J.L.; Thompson, S.V.; Holscher, H.D. Complex interactions of circadian rhythms, eating behaviors, and the gastrointestinal microbiota and their potential impact on health. Nutr. Rev. 2017, 75, 673–682. [Google Scholar] [CrossRef] [PubMed]
- Sun, L.; Ma, L.; Ma, Y.; Zhang, F.; Zhao, C.; Nie, Y. Insights into the role of gut microbiota in obesity: Pathogenesis, mechanisms, and therapeutic perspectives. Protein Cell 2018, 9, 397–403. [Google Scholar] [CrossRef]
- Sharma, S.; Tripathi, P. Gut microbiome and type 2 diabetes: Where we are and where to go? J. Nutr. Biochem. 2019, 63, 101–108. [Google Scholar] [CrossRef]
- Brial, F.; Le Lay, A.; Dumas, M.E.; Gauguier, D. Implication of gut microbiota metabolites in cardiovascular and metabolic diseases. Cell. Mol. Life Sci. 2018, 75, 3977–3990. [Google Scholar] [CrossRef]
- Voigt, R.M.; Forsyth, C.B.; Green, S.J.; Engen, P.A.; Keshavarzian, A. Circadian Rhythm and the Gut Microbiome. Int. Rev. Neurobiol. 2016, 131, 193–205. [Google Scholar] [CrossRef]
- Thaiss, C.A.; Zeevi, D.; Levy, M.; Segal, E.; Elinav, E. A day in the life of the meta-organism: Diurnal rhythms of the intestinal microbiome and its host. Gut Microbes 2015, 6, 137–142. [Google Scholar] [CrossRef]
- Thaiss, C.A.; Zeevi, D.; Levy, M.; Zilberman-Schapira, G.; Suez, J.; Tengeler, A.C.; Abramson, L.; Katz, M.N.; Korem, T.; Zmora, N.; et al. Transkingdom control of microbiota diurnal oscillations promotes metabolic homeostasis. Cell 2014, 159, 514–529. [Google Scholar] [CrossRef]
- Song, D.; Yang, C.S.; Zhang, X.; Wang, Y. The relationship between host circadian rhythms and intestinal microbiota: A new cue to improve health by tea polyphenols. Crit. Rev. Food Sci. Nutr. 2020, 61, 139–148. [Google Scholar] [CrossRef] [PubMed]
- Scheer, F.A.; Hilton, M.F.; Mantzoros, C.S.; Shea, S.A. Adverse metabolic and cardiovascular consequences of circadian misalignment. Proc. Natl. Acad. Sci. USA 2009, 106, 4453–4458. [Google Scholar] [CrossRef] [PubMed]
- Marwaha, K.; Cain, R.; Asmis, K.; Czaplinski, K.; Holland, N.; Mayer, D.C.G.; Chacon, J. Exploring the complex relationship between psychosocial stress and the gut microbiome: Implications for inflammation and immune modulation. J. Appl. Physiol. 2025, 138, 518–535. [Google Scholar] [CrossRef]
- Schloissnig, S.; Arumugam, M.; Sunagawa, S.; Mitreva, M.; Tap, J.; Zhu, A.; Waller, A.; Mende, D.R.; Kultima, J.R.; Martin, J.; et al. Genomic variation landscape of the human gut microbiome. Nature 2013, 493, 45–50. [Google Scholar] [CrossRef] [PubMed]
- Muegge, B.D.; Kuczynski, J.; Knights, D.; Clemente, J.C.; Gonzalez, A.; Fontana, L.; Henrissat, B.; Knight, R.; Gordon, J.I. Diet drives convergence in gut microbiome functions across mammalian phylogeny and within humans. Science 2011, 332, 970–974. [Google Scholar] [CrossRef]
- David, L.A.; Maurice, C.F.; Carmody, R.N.; Gootenberg, D.B.; Button, J.E.; Wolfe, B.E.; Ling, A.V.; Devlin, A.S.; Varma, Y.; Fischbach, M.A.; et al. Diet rapidly and reproducibly alters the human gut microbiome. Nature 2014, 505, 559–563. [Google Scholar] [CrossRef]
- Duncan, S.H.; Belenguer, A.; Holtrop, G.; Johnstone, A.M.; Flint, H.J.; Lobley, G.E. Reduced dietary intake of carbohydrates by obese subjects results in decreased concentrations of butyrate and butyrate-producing bacteria in feces. Appl. Environ. Microbiol. 2007, 73, 1073–1078. [Google Scholar] [CrossRef]
- Creedon, A.C.; Hung, E.S.; Berry, S.E.; Whelan, K. Nuts and their Effect on Gut Microbiota, Gut Function and Symptoms in Adults: A Systematic Review and Meta-Analysis of Randomised Controlled Trials. Nutrients 2020, 12, 2347. [Google Scholar] [CrossRef] [PubMed]
- Holscher, H.D.; Guetterman, H.M.; Swanson, K.S.; An, R.; Matthan, N.R.; Lichtenstein, A.H.; Novotny, J.A.; Baer, D.J. Walnut Consumption Alters the Gastrointestinal Microbiota, Microbially Derived Secondary Bile Acids, and Health Markers in Healthy Adults: A Randomized Controlled Trial. J. Nutr. 2018, 148, 861–867. [Google Scholar] [CrossRef]
- Swiss Society for Nutrition; Federal Food Safety and Veterinary Office. Recommandations Nutritionnelles Suisses pour les Adultes (Swiss Nutritional Recommendations for Adults). Available online: https://www.sge-ssn.ch/fr/recommandations/recommandations-officielles/recommandations-nutritionnelles/ (accessed on 10 October 2025).
- Somm, E.; Montandon, S.A.; Loizides-Mangold, U.; Gaia, N.; Lazarevic, V.; De Vito, C.; Perroud, E.; Bochaton-Piallat, M.L.; Dibner, C.; Schrenzel, J.; et al. The GLP-1R agonist liraglutide limits hepatic lipotoxicity and inflammatory response in mice fed a methionine-choline deficient diet. Transl. Res. 2021, 227, 75–88. [Google Scholar] [CrossRef] [PubMed]
- Lazarevic, V.; Gaia, N.; Girard, M.; Schrenzel, J. Decontamination of 16S rRNA gene amplicon sequence datasets based on bacterial load assessment by qPCR. BMC Microbiol. 2016, 16, 73. [Google Scholar] [CrossRef] [PubMed]
- Zhang, J.; Kobert, K.; Flouri, T.; Stamatakis, A. PEAR: A fast and accurate Illumina Paired-End reAd mergeR. Bioinformatics 2014, 30, 614–620. [Google Scholar] [CrossRef]
- Schloss, P.D.; Westcott, S.L.; Ryabin, T.; Hall, J.R.; Hartmann, M.; Hollister, E.B.; Lesniewski, R.A.; Oakley, B.B.; Parks, D.H.; Robinson, C.J.; et al. Introducing mothur: Open-source, platform-independent, community-supported software for describing and comparing microbial communities. Appl. Environ. Microbiol. 2009, 75, 7537–7541. [Google Scholar] [CrossRef]
- Edgar, R.C. UPARSE: Highly accurate OTU sequences from microbial amplicon reads. Nat. Methods 2013, 10, 996–998. [Google Scholar] [CrossRef]
- Edgar, R.C. UNOISE2: Improved error-correction for Illumina 16S and ITS amplicon sequencing. bioRxiv 2016. [Google Scholar] [CrossRef]
- Yoon, S.H.; Ha, S.M.; Kwon, S.; Lim, J.; Kim, Y.; Seo, H.; Chun, J. Introducing EzBioCloud: A taxonomically united database of 16S rRNA gene sequences and whole-genome assemblies. Int. J. Syst. Evol. Microbiol. 2017, 67, 1613–1617. [Google Scholar] [CrossRef] [PubMed]
- Edgar, R.C. Search and clustering orders of magnitude faster than BLAST. Bioinformatics 2010, 26, 2460–2461. [Google Scholar] [CrossRef] [PubMed]
- Della Torre, S.B.; Carrard, I.; Farina, E.; Danuser, B.; Kruseman, M. Development and Evaluation of e-CA, an Electronic Mobile-Based Food Record. Nutrients 2017, 9, 76. [Google Scholar] [CrossRef]
- Federal Food Safety and Veterinary Office. Swiss Food Composition Database. Available online: https://naehrwertdaten.ch/en/ (accessed on 11 October 2018).
- Estaquio, C.; Kesse-Guyot, E.; Deschamps, V.; Bertrais, S.; Dauchet, L.; Galan, P.; Hercberg, S.; Castetbon, K. Adherence to the French Programme National Nutrition Sante Guideline Score is associated with better nutrient intake and nutritional status. J. Am. Diet. Assoc. 2009, 109, 1031–1041. [Google Scholar] [CrossRef]
- World Heath Organization (WHO). Obesity: Preventing and Managing the Global Epidemic. Report of a WHO Consultation on Obesity; WHO: Geneva, Switzerland, 2000. [Google Scholar]
- Dixon, P. VEGAN, a package of R functions for community ecology. J. Veg. Sci. 2003, 14, 927–930. [Google Scholar] [CrossRef]
- Bray, R.; Curtis, J.T. An ordination of the upland forest communities of southern Wisconsin. Ecol. Monogr. 1957, 27, 325–349. [Google Scholar] [CrossRef]
- Love, M.I.; Huber, W.; Anders, S. Moderated estimation of fold change and dispersion for RNA-seq data with DESeq2. Genome Biol. 2014, 15, 550. [Google Scholar] [CrossRef]
- Oren, A.; Garrity, G.M. Valid publication of the names of forty-two phyla of prokaryotes. Int. J. Syst. Evol. Microbiol. 2021, 71, 005056. [Google Scholar] [CrossRef]
- Mortas, H.; Bilici, S.; Karakan, T. The circadian disruption of night work alters gut microbiota consistent with elevated risk for future metabolic and gastrointestinal pathology. Chronobiol. Int. 2020, 37, 1067–1081. [Google Scholar] [CrossRef]
- Benedict, C.; Vogel, H.; Jonas, W.; Woting, A.; Blaut, M.; Schurmann, A.; Cedernaes, J. Gut microbiota and glucometabolic alterations in response to recurrent partial sleep deprivation in normal-weight young individuals. Mol. Metab. 2016, 5, 1175–1186. [Google Scholar] [CrossRef] [PubMed]
- Ma, E.; Maskarinec, G.; Lim, U.; Boushey, C.J.; Wilkens, L.R.; Setiawan, V.W.; Le Marchand, L.; Randolph, T.W.; Jenkins, I.C.; Curtis, K.R.; et al. Long-term association between diet quality and characteristics of the gut microbiome in the multiethnic cohort study. Br. J. Nutr. 2021, 128, 93–102. [Google Scholar] [CrossRef] [PubMed]
- Najmanova, L.; Videnska, P.; Cahova, M. Healthy microbiome—A mere idea or a sound concept? Physiol. Res. 2022, 71, 719–738. [Google Scholar] [CrossRef]
- Reitmeier, S.; Kiessling, S.; Clavel, T.; List, M.; Almeida, E.L.; Ghosh, T.S.; Neuhaus, K.; Grallert, H.; Linseisen, J.; Skurk, T.; et al. Arrhythmic Gut Microbiome Signatures Predict Risk of Type 2 Diabetes. Cell Host Microbe 2020, 28, 258–272.e256. [Google Scholar] [CrossRef]
- Willis, H.J.; Slavin, J.L. The Influence of Diet Interventions Using Whole, Plant Food on the Gut Microbiome: A Narrative Review. J. Acad. Nutr. Diet. 2020, 120, 608–623. [Google Scholar] [CrossRef]
- Ros, E. Nuts and CVD. Br. J. Nutr. 2015, 113, S111–S120. [Google Scholar] [CrossRef] [PubMed]
- Arabi, S.M.; Bahrami, L.S.; Milkarizi, N.; Nematy, M.; Kalmykov, V.; Sahebkar, A. Impact of walnut consumption on cardio metabolic and anthropometric parameters in metabolic syndrome patients: GRADE-assessed systematic review and dose-response meta-analysis of data from randomized controlled trials. Pharmacol. Res. 2022, 178, 106190. [Google Scholar] [CrossRef]
- Nishi, S.K.; Viguiliouk, E.; Blanco Mejia, S.; Kendall, C.W.C.; Bazinet, R.P.; Hanley, A.J.; Comelli, E.M.; Salas Salvado, J.; Jenkins, D.J.A.; Sievenpiper, J.L. Are fatty nuts a weighty concern? A systematic review and meta-analysis and dose-response meta-regression of prospective cohorts and randomized controlled trials. Obes. Rev. 2021, 22, e13330. [Google Scholar] [CrossRef]
- Hu, X.; Yu, C.; He, Y.; Zhu, S.; Wang, S.; Xu, Z.; You, S.; Jiao, Y.; Liu, S.L.; Bao, H. Integrative metagenomic analysis reveals distinct gut microbial signatures related to obesity. BMC Microbiol. 2024, 24, 119. [Google Scholar] [CrossRef]
- Turnbaugh, P.J.; Hamady, M.; Yatsunenko, T.; Cantarel, B.L.; Duncan, A.; Ley, R.E.; Sogin, M.L.; Jones, W.J.; Roe, B.A.; Affourtit, J.P.; et al. A core gut microbiome in obese and lean twins. Nature 2009, 457, 480–484. [Google Scholar] [CrossRef] [PubMed]
- Scheer, F.A.; Morris, C.J.; Shea, S.A. The internal circadian clock increases hunger and appetite in the evening independent of food intake and other behaviors. Obesity 2013, 21, 421–423. [Google Scholar] [CrossRef]
- Kers, J.G.; Saccenti, E. The Power of Microbiome Studies: Some Considerations on Which Alpha and Beta Metrics to Use and How to Report Results. Front. Microbiol. 2021, 12, 796025. [Google Scholar] [CrossRef] [PubMed]
- Koliada, A.; Moseiko, V.; Romanenko, M.; Piven, L.; Lushchak, O.; Kryzhanovska, N.; Guryanov, V.; Vaiserman, A. Seasonal variation in gut microbiota composition: Cross-sectional evidence from Ukrainian population. BMC Microbiol. 2020, 20, 100. [Google Scholar] [CrossRef] [PubMed]





| Observation (Obs) | Intervention (Interv) | Obs vs. Interv | AM vs. PM vs. Night | Within-Subject | Between-Subject | |||||
|---|---|---|---|---|---|---|---|---|---|---|
| AM | PM | Night | AM | PM | Night | p | p | SD | SD | |
| Energy (kcal) | 2267 ± 557 | 2280 ± 355 | 2463 ± 489 | 2407 ± 560 | 2473 ± 603 | 2570 ± 695 | 0.04 | 0.09 | 320 | 420 |
| Proteins (% TEI) | 15.5 ± 2.8 | 16.2 ± 2.3 | 16.2 ± 3.4 | 15.6 ± 3.5 | 16.0 ± 3.1 | 16.0 ± 2.7 | 0.80 | 0.63 | 2.1 | 2.0 |
| Lipids (%TEI) | 39.0 ± 5.7 | 40.5 ± 3.3 | 39.4 ± 3.9 | 45.9 ± 8.4 | 44.2 ± 4.7 | 45.1 ± 4.2 | 0.00 | 0.97 | 4.4 | 2.6 |
| Carbohydrates (% TEI) | 42.1 ± 6.0 | 40.1 ± 4.5 | 41.3 ± 5.1 | 35.0 ± 7.4 | 37.2 ± 6.3 | 35.6 ± 5.8 | 0.00 | 0.99 | 4.3 | 3.8 |
| Fiber (g) | 20.8 ± 8.6 | 21.8 ± 5.3 | 21.9 ± 5.9 | 20.7 ± 6.5 | 23.9 ± 8.2 | 22.0 ± 5.0 | 0.53 | 0.14 | 3.9 | 5.2 |
| Alcohol (g) | 5.8 ± 8.7 | 4.6 ± 6.4 | 6.6 ± 10.1 | 7.3 ± 9.8 | 2.4 ± 4.9 | 7.2 ± 11.8 | 0.89 | 0.01 | 4.4 | 7.3 |
| Nuts (serv) | 0.37 ± 0.39 | 0.23 ± 0.38 | 0.33 ± 0.31 | 1.49 ± 0.32 | 1.67 ± 0.47 | 1.65 ± 0.40 | 0.00 | 0.75 | 0.30 | 0.22 |
| Fruit-vegetables (serv) | 2.88 ± 1.32 | 3.58 ± 2.04 | 3.43 ± 1.62 | 2.37 ± 1.45 | 2.66 ± 0.96 | 2.73 ± 1.54 | 0.00 | 0.04 | 0.74 | 1.27 |
| Whole grains (serv) | 0.18 ± 0.36 | 0.27 ± 0.24 | 0.28 ± 0.34 | 0.15 ± 0.14 | 0.60 ± 1.75 | 0.21 ± 0.30 | 0.59 | 0.32 | 0.67 | 0.33 |
| SSB (mL) | 184 ± 308 | 169 ± 315 | 230 ± 441 | 155 ± 307 | 138 ± 317 | 135 ± 220 | 0.30 | 0.05 | 105 | 315 |
| PNNS-GS score | 7.6 ± 1.3 | 7.2 ± 1.7 | 7.6 ± 1.6 | 7.9 ± 1.2 | 8.1 ± 1.3 | 7.5 ± 1.1 | 0.17 | 0.89 | 1.2 | 0.6 |
| Shannon index (Mon) | 4.43 ± 0.22 | 4.44 ± 0.30 | 4.50 ± 0.25 | 4.47 ± 0.17 | 4.44 ± 0.19 | 4.41 ± 0.23 | 0.73 | 0.81 | 0.13 | 0.19 |
| Shannon index (Fri) | 4.42 ± 0.18 | 4.46 ± 0.23 | 4.39 ± 0.29 | 4.38 ± 0.24 | 4.44 ± 0.22 | 4.43 ± 0.18 | 0.74 | 0.28 | 0.13 | 0.18 |
Disclaimer/Publisher’s Note: The statements, opinions and data contained in all publications are solely those of the individual author(s) and contributor(s) and not of MDPI and/or the editor(s). MDPI and/or the editor(s) disclaim responsibility for any injury to people or property resulting from any ideas, methods, instructions or products referred to in the content. |
© 2026 by the authors. Licensee MDPI, Basel, Switzerland. This article is an open access article distributed under the terms and conditions of the Creative Commons Attribution (CC BY) license.
Share and Cite
Bucher Della Torre, S.; Clerc, A.; Wild, P.; Chatelan, A.; Schrenzel, J.; Gaïa, N.; Chaabane, C.; Lazarevic, V. Gut Microbiota Diversity and Composition Across Shift Types and the Effects of Walnut Supplementation—An Observational and Interventional Study. Int. J. Environ. Res. Public Health 2026, 23, 169. https://doi.org/10.3390/ijerph23020169
Bucher Della Torre S, Clerc A, Wild P, Chatelan A, Schrenzel J, Gaïa N, Chaabane C, Lazarevic V. Gut Microbiota Diversity and Composition Across Shift Types and the Effects of Walnut Supplementation—An Observational and Interventional Study. International Journal of Environmental Research and Public Health. 2026; 23(2):169. https://doi.org/10.3390/ijerph23020169
Chicago/Turabian StyleBucher Della Torre, Sophie, Aurélien Clerc, Pascal Wild, Angeline Chatelan, Jacques Schrenzel, Nadia Gaïa, Chiraz Chaabane, and Vladimir Lazarevic. 2026. "Gut Microbiota Diversity and Composition Across Shift Types and the Effects of Walnut Supplementation—An Observational and Interventional Study" International Journal of Environmental Research and Public Health 23, no. 2: 169. https://doi.org/10.3390/ijerph23020169
APA StyleBucher Della Torre, S., Clerc, A., Wild, P., Chatelan, A., Schrenzel, J., Gaïa, N., Chaabane, C., & Lazarevic, V. (2026). Gut Microbiota Diversity and Composition Across Shift Types and the Effects of Walnut Supplementation—An Observational and Interventional Study. International Journal of Environmental Research and Public Health, 23(2), 169. https://doi.org/10.3390/ijerph23020169

