Linking Visual–Auditory Cues to Restoration: The Mediating Role of Perceived Biodiversity
Abstract
1. Introduction
1.1. Literature Review
1.1.1. Visual Cues for Perceived Biodiversity and Psychological Response
1.1.2. The Auditory–Visual Cues for Perceived Biodiversity and Psychological Responses
1.2. Research Gaps and Questions
2. Methods
2.1. Research Design
2.2. Study Subject
2.3. Research Procedure
2.4. Data and Variables
2.5. Statistical Analysis
3. Results
3.1. The Effects of Visual Intervention on Psychological Responses
3.2. The Effects of the Auditory Intervention on Psychological Responses
3.3. The Mediating Effects of the Perceived Biodiversity Between Environment Features and Restorative Effects
4. Discussion
5. Limitations and Implications
6. Conclusions
Supplementary Materials
Author Contributions
Funding
Institutional Review Board Statement
Informed Consent Statement
Data Availability Statement
Acknowledgments
Conflicts of Interest
References
- Kaplan, R.; Kaplan, S. The Experience of Nature: A Psychological Perspective; Cambridge University Press: New York, NY, USA, 1989. [Google Scholar]
- Roe, J.J.; Thompson, C.W.; Aspinall, P.A.; Brewer, M.J.; Duff, E.I.; Miller, D.; Mitchell, R.; Clow, A. Green space and stress: Evidence from cortisol measures in deprived urban communities. Int. J. Environ. Res. Public Health 2013, 10, 4086–4103. [Google Scholar] [CrossRef] [PubMed]
- Fan, Y.; Das, K.V.; Chen, Q. Neighborhood green, social support, physical activity, and stress: Assessing the cumulative impact. Health Place 2011, 17, 1202–1211. [Google Scholar] [CrossRef] [PubMed]
- Qin, B.; Zhu, W.; Wang, J.; Peng, Y. Understanding the relationship between neighbourhood green space and mental wellbeing: A case study of Beijing, China. Cities 2021, 109, 103039. [Google Scholar] [CrossRef]
- Ulrich, R.S. Aesthetic and affective response to natural environment. In Behavior and the Natural Environment; Altman, I., Wohlwill, J.F., Eds.; Springer: Boston, MA, USA, 1983; Volume 6, pp. 85–125. [Google Scholar] [CrossRef]
- Klemm, W.; Heusinkveld, B.G.; Lenzholzer, S.; Jacobs, M.H.; Van Hove, B. Psychological and physical impact of urban green spaces on outdoor thermal comfort during summertime in The Netherlands. Build. Environ. 2015, 83, 120–128. [Google Scholar] [CrossRef]
- Ha, J.; Kim, H.J.; With, K.A. Urban green space alone is not enough: A landscape analysis linking the spatial distribution of urban green space to mental health in the city of Chicago. Landsc. Urban Plan. 2022, 218, 104309. [Google Scholar] [CrossRef]
- Methorst, J.; Bonn, A.; Marselle, M.; Böhning-Gaese, K.; Rehdanz, K. Species richness is positively related to mental health—A study for Germany. Landsc. Urban Plan. 2021, 211, 104084. [Google Scholar] [CrossRef]
- Carrus, G.; Scopelliti, M.; Lafortezza, R.; Colangelo, G.; Ferrini, F.; Salbitano, F.; Agrimi, M.; Portoghesi, L.; Semenzato, P.; Sanesi, G. Go greener, feel better? The positive effects of biodiversity on the well-being of individuals visiting urban and peri-urban green areas. Landsc. Urban Plan. 2015, 134, 221–228. [Google Scholar] [CrossRef]
- Fuller, R.A.; Irvine, K.N.; Devine-Wright, P.; Warren, P.H.; Gaston, K.J. Psychological benefits of greenspace increase with biodiversity. Biol. Lett. 2007, 3, 390–394. [Google Scholar] [CrossRef]
- Ha, J.; Kim, H.J. The restorative effects of campus landscape biodiversity: Assessing visual and auditory perceptions among university students. Urban For. Urban Green. 2021, 64, 127259. [Google Scholar] [CrossRef]
- Samus, A.; Freeman, C.; Dickinson, K.J.; van Heezik, Y. Relationships between nature connectedness, biodiversity of private gardens, and mental well-being during the COVID-19 lockdown. Urban For. Urban Green. 2022, 69, 127519. [Google Scholar] [CrossRef]
- Cook, P.A.; Howarth, M.; Wheater, C.P. Biodiversity and health in the face of climate change: Implications for public health. In Biodiversity and Health in the Face of Climate Change; Springer: Berlin/Heidelberg, Germany, 2019; pp. 251–281. [Google Scholar]
- van den Berg, A.E.; Vlek, C.A.J.; Coeterier, J.F. Group differences in the aesthetic evaluation of na-ture development plans: A multilevel approach. J. Environ. Psychol. 1998, 18, 141–157. [Google Scholar] [CrossRef]
- Johansson, M.; Gyllin, M.; Witzell, J.; Küller, M. Does biological quality matter? Direct and reflected appraisal of biodiversity in temperate deciduous broad-leaf forest. Urban For. Urban Green. 2014, 13, 28–37. [Google Scholar] [CrossRef]
- Marselle, M.R. Theoretical Foundations of Biodiversity and Mental Well-Being Relationships. In Biodiversity and Health in the Face of Climate Change; Marselle, M.R., Stadler, H.J., Korn, K.N., Irvine, A.B., Eds.; Springer International Publishing: Berlin/Heidelberg, Germany, 2019; pp. 133–158. [Google Scholar]
- Schebella, M.F.; Weber, D.; Schultz, L.; Weinstein, P. The Wellbeing Benefits Associated with Perceived and Measured Biodiversity in Australian Urban Green Spaces. Sustainability 2019, 11, 802. [Google Scholar] [CrossRef]
- Dallimer, M.; Irvine, K.N.; Skinner, A.M.J.; Davies, Z.G.; Rouquette, J.R.; Maltby, L.L.; Warren, P.H.; Armsworth, P.R.; Gaston, K.J. Biodiversity and the Feel-Good Factor: Understanding Associations between Self-Reported Human Well-being and Species Richness. BioScience 2012, 62, 47–55. [Google Scholar] [CrossRef]
- Rozario, K.; Oh, R.R.Y.; Marselle, M.; Schröger, E.; Gillerot, L.; Ponette, Q.; Godbold, D.; Haluza, D.; Kilpi, K.; Müller, D. The more the merrier? Perceived forest biodiversity promotes short-term mental health and well-being—A multicentre study. People Nat. 2024, 6, 180–201. [Google Scholar] [CrossRef]
- Fisher, J.C.; Irvine, K.N.; Bicknell, J.E.; Hayes, W.M.; Fernandes, D.; Mistry, J.; Davies, Z.G. Perceived biodiversity, sound, naturalness and safety enhance the restorative quality and wellbeing benefits of green and blue space in a neotropical city. Sci. Total Environ. 2021, 755, 143095. [Google Scholar] [CrossRef]
- Young, C.; Hofmann, M.; Frey, D.; Moretti, M.; Bauer, N. Psychological restoration in urban gardens related to garden type, biodiversity and garden-related stress. Landsc. Urban Plan. 2020, 198, 103777. [Google Scholar] [CrossRef]
- Southon, G.E.; Jorgensen, A.; Dunnett, N.; Hoyle, H.; Evans, K.L. Perceived species-richness in urban green spaces: Cues, accuracy and well-being impacts. Landsc. Urban Plan. 2018, 172, 1–10. [Google Scholar] [CrossRef]
- Lindquist, M.; Maxim, B.; Proctor, J.; Dolins, F. The effect of audio fidelity and virtual reality on the perception of virtual greenspace. Landsc. Urban Plan. 2020, 202, 103884. [Google Scholar] [CrossRef]
- Ma, K.; Wu, L. Perceived biodiversity of public greenspace and mental well-being. Environ. Res. 2025, 269, 120878. [Google Scholar] [CrossRef]
- Marselle, M.R.; Irvine, K.N.; Lorenzo-Arribas, A.; Warber, S.L. Does perceived restorativeness mediate the effects of perceived biodiversity and perceived naturalness on emotional well-being following group walks in nature? J. Environ. Psychol. 2016, 46, 217–232. [Google Scholar] [CrossRef]
- Wilsey, B.J.; Potvin, C. Biodiversity and ecosystem functioning: Importance of species evenness in an old field. Ecology 2000, 81, 887–892. [Google Scholar] [CrossRef]
- Lindemann-Matthies, P.; Junge, X.; Matthies, D. The influence of plant diversity on people’s perception and aesthetic appreciation of grassland vegetation. Biol. Conserv. 2010, 143, 195–202. [Google Scholar] [CrossRef]
- Lamb, R.; Purcell, A. Perception of naturalness in landscape and its relationship to vegetation structure. Landsc. Urban Plan. 1990, 19, 333–352. [Google Scholar] [CrossRef]
- Grose, M.J. Plant colour as a visual aspect of biological conservation. Biol. Conserv. 2012, 153, 159–163. [Google Scholar] [CrossRef]
- Akhir, N.M.; Sakip, S.R.M.; Abbas, M.Y.; Othman, N.; Halim, D.K. Visual Landscape Quality Relationship towards Students’ Well-Being. Environ.-Behav. Proc. J. 2022, 7, 201–208. [Google Scholar] [CrossRef]
- Yılmaz, S.; Özgüner, H.; Mumcu, S. An aesthetic approach to planting design in urban parks and greenspaces. Landsc. Res. 2017, 43, 965–983. [Google Scholar] [CrossRef]
- Grinde, B.; Patil, G.G. Biophilia: Does visual contact with nature impact on health and well-being? Int. J. Environ. Res. Public Health 2009, 6, 2332–2343. [Google Scholar] [CrossRef]
- Graves, R.A.; Pearson, S.M.; Turner, M.G. Species richness alone does not predict cultural ecosystem service value. Proc. Natl. Acad. Sci. USA 2017, 114, 3774–3779. [Google Scholar] [CrossRef]
- Dramstad, W.; Tveit, M.S.; Fjellstad, W.; Fry, G. Relationships between visual landscape preferences and map-based indicators of landscape structure. Landsc. Urban Plan. 2006, 78, 465–474. [Google Scholar] [CrossRef]
- Hands, D.E.; Brown, R.D. Enhancing visual preference of ecological rehabilitation sites. Landsc. Urban Plan. 2002, 58, 57–70. [Google Scholar] [CrossRef]
- Huang, A.S.-H.; Lin, Y.-J. The effect of landscape colour, complexity and preference on viewing behaviour. Landsc. Res. 2019, 45, 214–227. [Google Scholar] [CrossRef]
- Zhang, Z.; Qie, G.; Wang, C.; Jiang, S.; Li, X.; Li, M. Relationship between forest color characteristics and scenic beauty: Case study analyzing pictures of mountainous forests at sloped positions in Jiuzhai Valley, China. Forests 2017, 8, 63. [Google Scholar] [CrossRef]
- Kexiu, L.; Elsadek, M.; Liu, B.; Fujii, E. Foliage colors improve relaxation and emotional status of university students from different countries. Heliyon 2021, 7, e06131. [Google Scholar] [CrossRef] [PubMed]
- Kuper, R. Restorative potential, fascination, and extent for designed digital landscape models. Urban For. Urban Green. 2017, 28, 118–130. [Google Scholar] [CrossRef]
- Southon, G.E.; Jorgensen, A.; Dunnett, N.; Hoyle, H.; Evans, K.L. Biodiverse perennial meadows have aesthetic value and increase residents’ perceptions of site quality in urban green-space. Landsc. Urban Plan. 2017, 158, 105–118. [Google Scholar] [CrossRef]
- Wang, R.; Zhao, J. A good sound in the right place: Exploring the effects of auditory-visual combinations on aesthetic preference. Urban For. Urban Green. 2019, 43, 126356. [Google Scholar] [CrossRef]
- Deng, L.; Luo, H.; Ma, J.; Huang, Z.; Sun, L.-X.; Jiang, M.-Y.; Zhu, C.-Y.; Li, X. Effects of integration between visual stimuli and auditory stimuli on restorative potential and aesthetic preference in urban green spaces. Urban For. Urban Green. 2020, 53, 126702. [Google Scholar] [CrossRef]
- Song, X.; Lv, X.; Yu, D.; Wu, Q. Spatial-temporal change analysis of plant soundscapes and their design methods. Urban For. Urban Green. 2018, 29, 96–105. [Google Scholar] [CrossRef]
- Bradley, M.M.; Lang, P.J. The International Affective Digitized Sounds (IADS-2): Affective Ratings of Sounds and Instruction Manual; Technical Report B-3; University of Florida: Gainesville, FL, USA, 2007. [Google Scholar]
- Ratcliffe, E. Sound and soundscape in restorative natural environments: A narrative literature review. Front. Psychol. 2021, 12, 570563. [Google Scholar] [CrossRef]
- Zhao, J.; Xu, W.; Ye, L. Effects of auditory-visual combinations on perceived restorative potential of urban green space. Appl. Acoust. 2018, 141, 169–177. [Google Scholar] [CrossRef]
- Ratcliffe, E.; Gatersleben, B.; Sowden, P.T. Bird sounds and their contributions to perceived attention restoration and stress recovery. J. Environ. Psychol. 2013, 36, 221–228. [Google Scholar] [CrossRef]
- Faul, F.; Erdfelder, E.; Lang, A.-G.; Buchner, A. G* Power 3: A flexible statistical power analysis program for the social, behavioral, and biomedical sciences. Behav. Res. Methods 2007, 39, 175–191. [Google Scholar] [CrossRef] [PubMed]
- Baumann, H.; Grêt-Regamey, A. Exploring the interplay of urban form and greenery in residents’ affective and cognitive responses. Urban For. Urban Green. 2024, 101, 128553. [Google Scholar] [CrossRef]
- Wang, Y.; Lu, S.; Xu, M.; Zhang, Y.; Xu, F. What influences stress reduction in urban forests: Environment types or personality traits? Urban For. Urban Green. 2023, 92, 128187. [Google Scholar] [CrossRef]
- Gyllin, M.; Grahn, P. A semantic model for assessing the experience of urban biodiversity. Urban For. Urban Green. 2005, 3, 149–161. [Google Scholar] [CrossRef]
- Han, K.-T. A reliable and valid self-rating measure of the restorative quality of natural environments. Landsc. Urban Plan. 2003, 64, 209–232. [Google Scholar] [CrossRef]
- Cohen, J. Statistical Power Analysis for the Behavioral Sciences; Academic Press: Cambridge, MA, USA, 2013. [Google Scholar]
- Baron, R.M.; Kenny, D.A. The moderator–mediator variable distinction in social psychological research: Conceptual, strategic, and statistical considerations. J. Personal. Soc. Psychol. 1986, 51, 1173. [Google Scholar] [CrossRef]
- Bates, D.; Mächler, M.; Bolker, B.; Walker, S. Fitting Linear Mixed-Effects Models Using lme4. J. Stat. Softw. 2015, 67, 48. [Google Scholar] [CrossRef]
- Norton, B.A.; Bending, G.D.; Clark, R.; Corstanje, R.; Dunnett, N.; Evans, K.L.; Grafius, D.R.; Gravestock, E.; Grice, S.M.; Harris, J.A.; et al. Urban meadows as an alternative to short mown grassland: Effects of composition and height on biodiversity. Ecol. Appl. 2019, 29, e01946. [Google Scholar] [CrossRef]
- Fang, X.; Gao, T.; Hedblom, M.; Xu, N.; Xiang, Y.; Hu, M.; Chen, Y.; Qiu, L. Soundscape perceptions and preferences for different groups of users in urban recreational forest parks. Forests 2021, 12, 468. [Google Scholar] [CrossRef]
- Li, W.; Liu, Y. The influence of visual and auditory environments in parks on visitors’ landscape preference, emotional state, and perceived restorativeness. Humanit. Soc. Sci. Commun. 2024, 11, 1491. [Google Scholar] [CrossRef]
- Uebel, K.; Marselle, M.; Dean, A.J.; Rhodes, J.R.; Bonn, A. Urban green space soundscapes and their perceived restorativeness. People Nat. 2021, 3, 56–769. [Google Scholar] [CrossRef]
- Zhang, T.; Liu, J.; Li, H. Restorative effects of multi-sensory perception in urban green space: A case study of urban park in Guangzhou, China. Int. J. Environ. Res. Public Health 2019, 16, 4943. [Google Scholar] [CrossRef]
- Jiang, B.; Chang, C.-Y.; Sullivan, W.C. A dose of nature: Tree cover, stress reduction, and gender differences. Landsc. Urban Plan. 2014, 132, 26–36. [Google Scholar] [CrossRef]
- Olszewska-Guizzo, A.; Escoffier, N.; Chan, J.; Yok, T.P. Window View and the Brain: Effects of floor level and green cover on the alpha and beta rhythms in a passive exposure eeg experiment. Int. J. Environ. Res. Public Health 2018, 15, 2358. [Google Scholar] [CrossRef]
- Gerstenberg, T.; Hofmann, M. Perception and preference of trees: A psychological contribution to tree species selection in urban areas. Urban For. Urban Green. 2016, 15, 103–111. [Google Scholar] [CrossRef]
- Suppakittpaisarn, P.; Jiang, B.; Slavenas, M.; Sullivan, W.C. Does density of green infrastructure predict preference? Urban For. Urban Green. 2019, 40, 236–244. [Google Scholar] [CrossRef]
- Jiang, B.; Larsen, L.; Deal, B.; Sullivan, W.C. A dose–response curve describing the relationship between tree cover density and landscape preference. Landsc. Urban Plan. 2015, 139, 16–25. [Google Scholar] [CrossRef]
- Caserman, P.; Garcia-Agundez, A.; Zerban, A.G.; Göbel, S. Cybersickness in current-generation virtual reality head-mounted displays: Systematic review and outlook. Virtual Real. 2021, 25, 1153–1170. [Google Scholar] [CrossRef]
- Davis, S.; Nesbitt, K.; Nalivaiko, E. A systematic review of cybersickness. In Proceedings of the 2014 Conference on Interactive Entertainment, Newcastle, Australia, 2 December 2014; pp. 1–9. [Google Scholar]
- Ha, J.; Alrayyan, K.; Alam, M.M.L. Virtual reality technology for learning detailed design in landscape architecture. Discov. Educ. 2024, 3, 39. [Google Scholar] [CrossRef]






| Scenario | Visual Cues | Auditory Cues | ||
|---|---|---|---|---|
| Evenness | Height | Color | ||
| Scenario #1 | Low | Low | Monotone | No sound |
| Scenario #2 | Low | Low | Colorful | No sound |
| Scenario #3 | Low | High | Monotone | No sound |
| Scenario #4 | Low | High | Colorful | No sound |
| Scenario #5 | High | Low | Monotone | No sound |
| Scenario #6 | High | Low | Colorful | No sound |
| Scenario #7 | High | High | Monotone | No sound |
| Scenario #8 | High | High | Colorful | No sound |
| Scenario #9 | Low | Low | Monotone | Sound |
| Scenario #10 | Low | Low | Colorful | Sound |
| Scenario #11 | Low | High | Monotone | Sound |
| Scenario #12 | Low | High | Colorful | Sound |
| Scenario #13 | High | Low | Monotone | Sound |
| Scenario #14 | High | Low | Colorful | Sound |
| Scenario #15 | High | High | Monotone | Sound |
| Scenario #16 | High | High | Colorful | Sound |
| Name | Num | Shannon’s Equitability (EH) | |||
|---|---|---|---|---|---|
| Katsura Tree | 24 | 0.6 | −0.51083 | −0.3065 | 0.332765 |
| Nikko Fir | 4 | 0.1 | −2.30259 | −0.23026 | |
| Japanese White Larch | 4 | 0.1 | −2.30259 | −0.23026 | |
| Japanese Walnut | 4 | 0.1 | −2.30259 | −0.23026 | |
| Amur Cork Tree | 4 | 0.1 | −2.30259 | −0.23026 | |
| Total | 40 | 1 | 1.227529 |
| Name | Num | Shannon’s Equitability (EH) | |||
|---|---|---|---|---|---|
| Katsura Tree | 8 | 0.2 | −1.60944 | −0.32189 | 0.436295 |
| Nikko Fir | 8 | 0.2 | −1.60944 | −0.32189 | |
| Japanese White Larch | 8 | 0.2 | −1.60944 | −0.32189 | |
| Japanese Walnut | 8 | 0.2 | −1.60944 | −0.32189 | |
| Amur Cork Tree | 8 | 0.2 | −1.60944 | −0.32189 | |
| Total | 40 | 1 | 1.609438 |
| Evenness | Height | Color | ||||
|---|---|---|---|---|---|---|
| Low | High | Low | High | Monotone | Colorful | |
| Perceived Biodiversity | 3.564 (0.084) | 3.509 (0.088) | 3.332 (0.095) | 3.741 (0.081) | 3.289 (0.084) | 3.784 (0.095) |
| Restorative Effect | 5.181 (0.143) | 5.197 (0.136) | 4.921 (0.146) | 5.456 (0.138) | 5.149 (0.143) | 5.229 (0.139) |
| Preference | 3.629 (0.090) | 3.566 (0.085) | 3.348 (0.093) | 3.848 (0.090) | 3.543 (0.091) | 3.652 (0.090) |
| Variables | Interaction | Sum of Squares | df | Mean Squares | F | p-Value | Partial Eta Squared |
|---|---|---|---|---|---|---|---|
| Perceived Biodiversity | Evenness | 0.383 | 1 | 0.383 | 1.404 | 0.240 | 0.022 |
| Height | 21.397 | 1 | 21.397 | 46.318 | <0.001 *** | 0.424 | |
| Color | 31.337 | 1 | 31.337 | 51.806 | <0.001 *** | 0.451 | |
| Evenness × Height | 1.125 | 1 | 1.125 | 3.679 | 0.060 | 0.055 | |
| Evenness × Color | 0.195 | 1 | 0.195 | 1.188 | 0.280 | 0.019 | |
| Height × Color | 0.834 | 1 | 0.834 | 5.437 | 0.023 ** | 0.079 | |
| Evenness × Height × Color | 0.087 | 1 | 0.087 | 0.650 | 0.423 | 0.010 | |
| Restorative Effect | Evenness | 0.033 | 1 | 0.033 | 0.040 | 0.841 | 0.001 |
| Height | 36.591 | 1 | 36.591 | 30.028 | <0.001 *** | 0.323 | |
| Color | 0.811 | 1 | 0.811 | 0.807 | 0.372 | 0.013 | |
| Evenness × Height | 1.953 | 1 | 1.953 | 2.796 | 0.099 | 0.042 | |
| Evenness × Color | 0.935 | 1 | 0.935 | 2.415 | 0.125 | 0.037 | |
| Height × Color | 2.876 | 1 | 2.876 | 6.439 | 0.014 ** | 0.093 | |
| Evenness × Height × Color | 0.007 | 1 | 0.007 | 0.015 | 0.904 | 0.000 | |
| Preference | Evenness | 0.587 | 1 | 0.587 | 1.357 | 0.248 | 0.021 |
| Height | 28.438 | 1 | 28.438 | 51.922 | <0.001 *** | 0.452 | |
| Color | 35.420 | 1 | 35.420 | 84.483 | <0.001 *** | 0.573 | |
| Evenness × Height | 1.253 | 1 | 1.253 | 4.492 | 0.038 ** | 0.067 | |
| Evenness × Color | 0.313 | 1 | 0.313 | 2.098 | 0.152 | 0.032 | |
| Height × Color | 1.253 | 1 | 1.253 | 7.791 | 0.007 *** | 0.110 | |
| Evenness × Height × Color | 0.008 | 1 | 0.008 | 0.056 | 0.813 | 0.001 |
| 95% Confidence Interval of the Difference | ||||||||||
|---|---|---|---|---|---|---|---|---|---|---|
| Mean | SD | Std. Error Mean | Lower | Upper | t | df | p-Value | Cohen’s d | ||
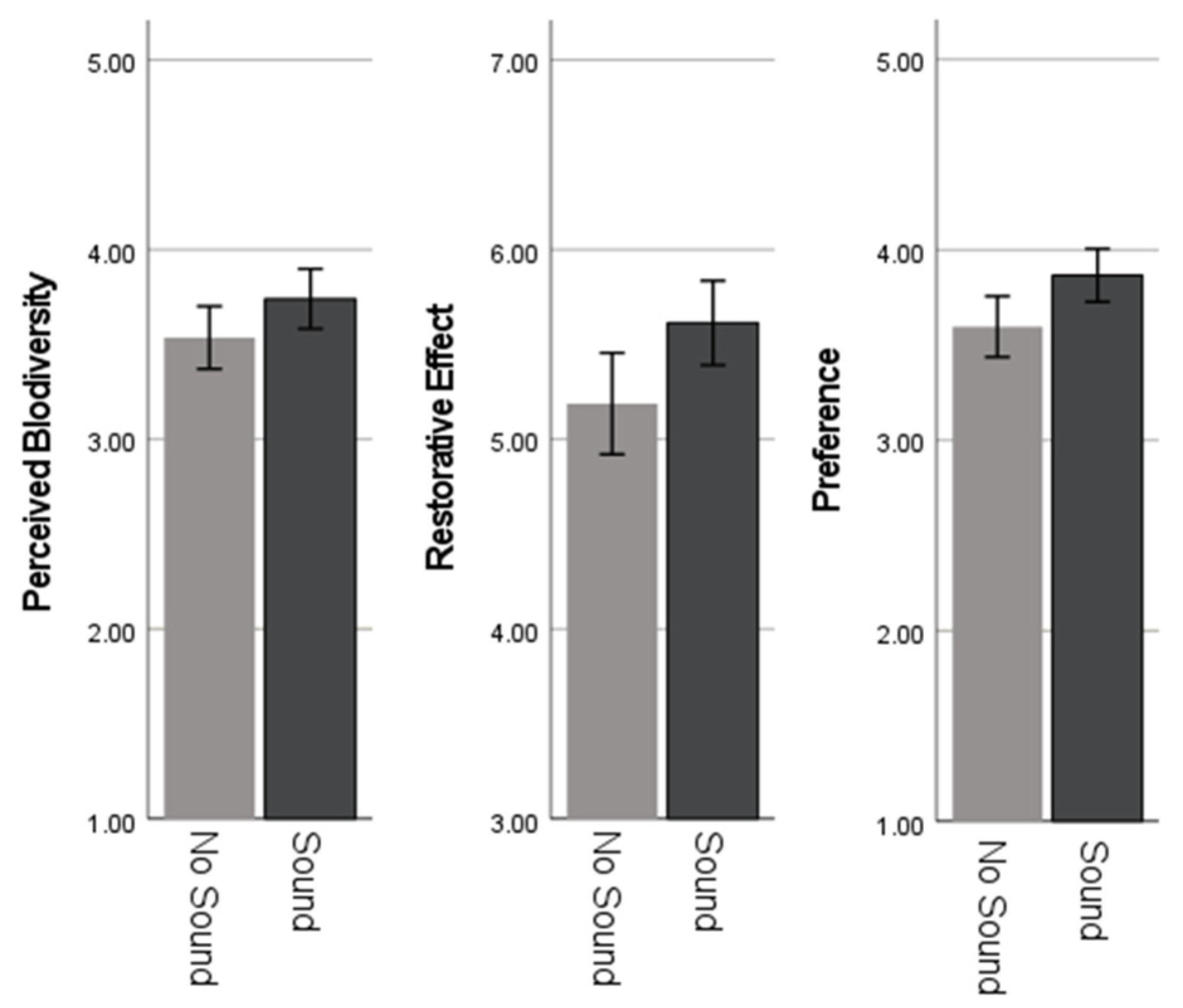
| Perceived Biodiversity | No Sound | 3.536 | 0.662 | 0.082 | −0.311 | −0.097 | −3.810 | 63 | <0.001 *** | −0.476 |
| Sound | 3.740 | 0.632 | 0.079 | |||||||
| Restorative Effect | No Sound | 5.188 | 1.069 | 0.133 | −0.610 | −0.239 | −4.580 | 63 | <0.001 *** | −0.572 |
| Sound | 5.614 | 0.890 | 0.111 | |||||||
| Preference | No Sound | 3.597 | 0.640 | 0.080 | −0.372 | −0.166 | −5.226 | 63 | <0.001 *** | −0.653 |
| Sound | 3.867 | 0.557 | 0.069 | |||||||
| Model 1 Perceived Biodiversity | Model 2 Restorative Effects | Model 3 Restorative Effects | |||||||
|---|---|---|---|---|---|---|---|---|---|
| Predictors | Est | CI | p | Est | CI | p | Est | CI | p |
| (Intercept) | 3.09 | 2.93–3.26 | <0.001 *** | 4.77 | 4.52–5.03 | <0.001 *** | 2.48 | 2.14–2.83 | <0.001 *** |
| Sound | 0.20 | 0.13–0.28 | <0.001 *** | 0.43 | 0.31–0.54 | <0.001 *** | 0.27 | 0.16–0.38 | <0.001 *** |
| Evenness | −0.06 | −0.13–0.01 | 0.090 | 0.07 | −0.04–0.19 | 0.222 | 0.12 | 0.01–0.23 | 0.031 ** |
| Height | 0.44 | 0.37–0.51 | <0.001 *** | 0.74 | 0.62–0.86 | <0.001 *** | 0.41 | 0.30–0.53 | <0.001 *** |
| Color | 0.51 | 0.44–0.58 | <0.001 *** | 0.02 | −0.10–0.14 | 0.760 | −0.36 | −0.48–−0.24 | <0.001 *** |
| Perceived Biodiversity | 0.74 | 0.65–0.83 | <0.001 *** | ||||||
| σ2 | 0.33 | 0.94 | 0.78 | ||||||
| τ00 | 0.35 | 0.77 | 0.40 | ||||||
| ICC | 0.51 | 0.45 | 0.34 | ||||||
| N | 64 | 64 | 64 | ||||||
| Observations | 1024 | 1024 | 1024 | ||||||
| Marginal R2/Conditional R2 | 0.154/0.589 | 0.096/0.503 | 0.320/0.548 | ||||||
Disclaimer/Publisher’s Note: The statements, opinions and data contained in all publications are solely those of the individual author(s) and contributor(s) and not of MDPI and/or the editor(s). MDPI and/or the editor(s) disclaim responsibility for any injury to people or property resulting from any ideas, methods, instructions or products referred to in the content. |
© 2025 by the authors. Licensee MDPI, Basel, Switzerland. This article is an open access article distributed under the terms and conditions of the Creative Commons Attribution (CC BY) license (https://creativecommons.org/licenses/by/4.0/).
Share and Cite
Ha, J.; Kim, H.J.; Alam, M.M.L. Linking Visual–Auditory Cues to Restoration: The Mediating Role of Perceived Biodiversity. Int. J. Environ. Res. Public Health 2025, 22, 1267. https://doi.org/10.3390/ijerph22081267
Ha J, Kim HJ, Alam MML. Linking Visual–Auditory Cues to Restoration: The Mediating Role of Perceived Biodiversity. International Journal of Environmental Research and Public Health. 2025; 22(8):1267. https://doi.org/10.3390/ijerph22081267
Chicago/Turabian StyleHa, Jaeyoung, Hyung Jin Kim, and M M Lekhon Alam. 2025. "Linking Visual–Auditory Cues to Restoration: The Mediating Role of Perceived Biodiversity" International Journal of Environmental Research and Public Health 22, no. 8: 1267. https://doi.org/10.3390/ijerph22081267
APA StyleHa, J., Kim, H. J., & Alam, M. M. L. (2025). Linking Visual–Auditory Cues to Restoration: The Mediating Role of Perceived Biodiversity. International Journal of Environmental Research and Public Health, 22(8), 1267. https://doi.org/10.3390/ijerph22081267

