MPOWER Tobacco Control Policies’ Effects on Lip and Oral Cavity Cancer Trends in MERCOSUR Countries
Abstract
1. Introduction
2. Materials and Methods
2.1. MPOWER Scores Data Source
2.2. Lip and Oral Cavity Cancer Rates Data Source
2.3. Statistical Analysis
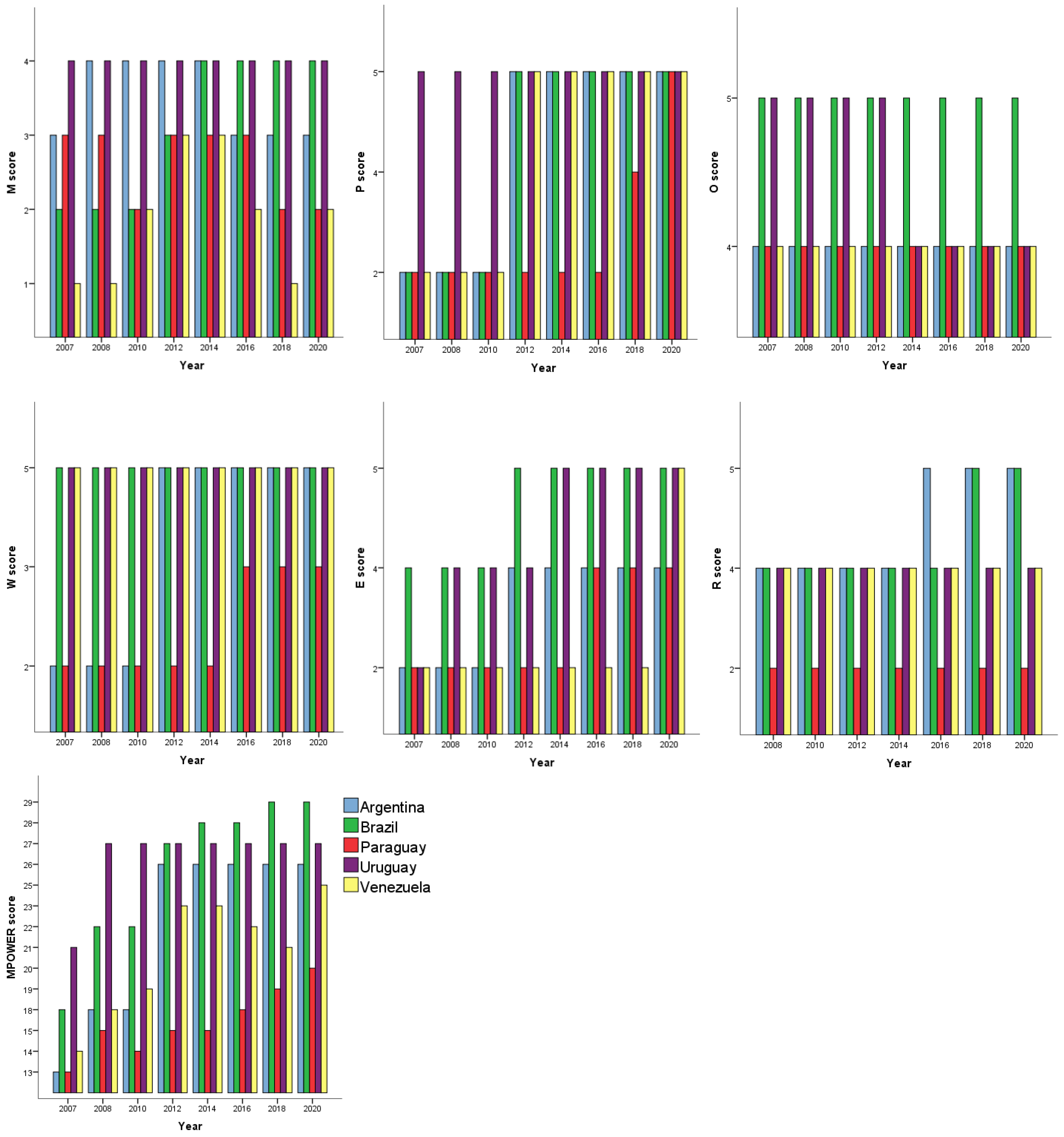
3. Results
3.1. MPOWER Scores
3.2. LOC Trends
4. Discussion
Limitations
5. Conclusions
Author Contributions
Funding
Institutional Review Board Statement
Informed Consent Statement
Data Availability Statement
Acknowledgments
Conflicts of Interest
References
- Jehn, P.; Dittmann, J.; Zimmerer, R.; Stier, R.; Jehn, M.; Gellrich, N.-C.; Tavassol, F.; Spalthoff, S. Survival Rates According to Tumour Location in Patients with Surgically Treated Oral and Oropharyngeal Squamous Cell Carcinoma. Anticancer Res. 2019, 39, 2527–2533. [Google Scholar] [CrossRef] [PubMed]
 - Arshad, S.; Hussain, S.F.J.; Jayaram, S.; Veeraraghavan, V.P.; Karobari, M.I. Perspective on enhancing quality of life in oral cancer patients: Integrative approaches and comprehensive care. OOR 2024, 11, 100633. [Google Scholar] [CrossRef]
 - GBD 2019 Lip, Oral, and Pharyngeal Cancer Collaborators. The Global, Regional, and National Burden of Adult Lip, Oral, and Pharyngeal Cancer in 204 Countries and Territories: A Systematic Analysis for the Global Burden of Disease Study 2019. JAMA Oncol. 2023, 9, 1401–1416. [Google Scholar] [CrossRef] [PubMed]
 - GBD 2019 Cancer Collaboration. Cancer Incidence, Mortality, Years of Life Lost, Years Lived With Disability, and Disability-Adjusted Life Years for 29 Cancer Groups From 2010 to 2019 A Systematic Analysis for the Global Burden of Disease Study 2019. JAMA Oncol. 2022, 8, 420–444. [Google Scholar] [CrossRef]
 - Wu, J.; Chen, H.; Liu, Y.; Yang, R.; An, N. The global, regional, and national burden of oral cancer, 1990-2021: A systematic analysis for the Global Burden of Disease Study 2021. J. Cancer Res. Clin. Oncol. 2025, 151, 53. [Google Scholar] [CrossRef]
 - Mello, F.W.; Melo, G.; Pasetto, J.J.; Silva, C.A.B.; Warnakulasuriya, S.; Rivero, E.R.C. The synergistic effect of tobacco and alcohol consumption on oral squamous cell carcinoma: A systematic review and meta-analysis. Clin. Oral. Investig. 2019, 23, 2849–2859. [Google Scholar] [CrossRef]
 - Warnakulasuriya, S. Global epidemiology of oral and oropharyngeal cancer. Oral. Oncol. 2009, 45, 309–316. [Google Scholar] [CrossRef]
 - Jethwa, A.R.; Khariwala, S.S. Tobacco-related carcinogenesis in head and neck cancer. Cancer Metastasis Rev. 2017, 36, 411–423. [Google Scholar] [CrossRef]
 - WHO World Health Organization. WHO Framework Convention on Tobacco Control; World Health Organization: Geneva, Switzerland, 2003; Available online: https://fctc.who.int/resources/publications (accessed on 14 December 2024).
 - WHO World Health Organization. WHO Report on the Global Tobacco Epidemic, 2023: Protect People from Tobacco Smoke; World Health Organization: Geneva, Switzerland, 2023; Available online: https://www.who.int/publications/i/item/9789240077164 (accessed on 14 December 2024).
 - GBD 2019 Cancer Risk Factors Collaborators. The global burden of cancer attributable to risk factors, 2010–2019: A systematic analysis for the Global Burden of Disease Study 2019. Lancet 2022, 400, 563–591. [Google Scholar] [CrossRef]
 - Nocini, R.; Lippi, G.; Mattiuzzi, C. The worldwide burden of smoking-related oral cancer deaths. Clin. Exp. Dent. Res. 2020, 6, 161–164. [Google Scholar] [CrossRef]
 - Instituto Nacional de Câncer (INCA). Relatório Evolutivo da Comissão Intergovernamental para o Controle do Tabaco; INCA: Rio de Janeiro, Brazil, 2012. Available online: https://ninho.inca.gov.br/jspui/ (accessed on 10 January 2025).
 - Herrera-Serna, B.Y.; Lara-Carrillo, E.; Toral-Rizo, V.H.; Amaral, R.C. Efecto de las Políticas de Control de Factores de Riesgo Sobre la Mortalidad por Cáncer Oral en América Latina. Rev. Esp. Salud Pública 2019, 93. [Google Scholar]
 - Herrera-Serna, B.Y.; Lara-Carrillo, E.; Toral-Rizo, V.H.; Amaral, R.C.; Aguilera-Eguía, R.A. Relationship between the Human Development Index and its Components with Oral Cancer in Latin America. J. Epidemiol. Glob. Health 2019, 9, 223–232. [Google Scholar] [CrossRef] [PubMed]
 - WHO World Health Organization. The Global Health Observatory. Available online: https://www.who.int/data/gho (accessed on 31 November 2024).
 - WHO World Health Organization. WHO Report on the Global Tobacco Epidemic 2021: Addressing New and Emerging Products; World Health Organization: Geneva, Switzerland, 2021; Available online: https://www.who.int/publications/i/item/9789240032095 (accessed on 19 March 2025).
 - IHME. GHDx: GBD Results Tool. Available online: http://ghdx.healthdata.org/gbd-results-tool (accessed on 30 November 2024).
 - Antunes, J.L.; Waldman, E.A. Trends and spatial distribution of deaths of children aged 12–60 months in São Paulo, Brazil, 1980–1998. Bull. World Health Organ. 2002, 80, 391–398. [Google Scholar]
 - Yang, S.L.; Togawa, K.; Gilmour, S.; Leon, M.E.; Soerjomataram, I.; Katanoda, K. Projecting the impact of implementation of WHO MPOWER measures on smoking prevalence and mortality in Japan. Tob. Control 2022, 33, 295–301. [Google Scholar] [CrossRef] [PubMed]
 - Ramadan, M.; Alhusseini, N.; Samhan, L.; Samhan, S.; Abbad, T. Tobacco control policies implementation and future lung cancer incidence in Saudi Arabia. A population-based study. Prev. Med. Rep. 2023, 36. [Google Scholar] [CrossRef]
 - de Vries, E.; Gallego, A.; Gil, F. Trends in cancer mortality in the elderly and oldest old in South America. Cancer Epidemiol. 2025, 95. [Google Scholar] [CrossRef]
 - Salerno, P.R.V.O.; Dallan, L.A.P.; Pereira, G.T.R.; Fernandes, P.M.P.; Terra, R.M.; Rajagopalan, S.; Al-Kindi, S.G.; Salerno, J.V.O. Trends in tracheal, bronchial and lung cancer attributed to smoking in South America: Global Burden of Disease analysis 1990–2019. Rev. Panam. Salud Publica 2024, 48, e30. [Google Scholar] [CrossRef]
 - Da Silva, B.M.; Hagen, L.M.; Da Cunha, A.R.; Hugo, F.N.; Amenabar, J.M. Incidence, mortality and oral cancer disability-adjusted life years in 204 countries and territories before and after the adoption of FCTC/WHO: Interrupted time series study. Tob. Control 2025, 058882. [Google Scholar] [CrossRef]
 - Flor, L.S.; Reitsma, M.B.; Gupta, V.; Ng, M.; Gakidou, E. The effects of tobacco control policies on global smoking prevalence. Nat. Med. 2021, 27, 239–243. [Google Scholar] [CrossRef]
 - Herrera-Serna, B.Y.; Betancourt, J.A.O.; Soto, O.P.L.; Amaral, R.C.; Correa, M.P.C. Trends of incidence, mortality, and disability-adjusted life years of oral cancer in Latin America. Rev. Bras. Epidemiol. 2022, 25. [Google Scholar] [CrossRef]
 - Sóñora, G.; Reynales-Shigematsu, L.M.; Barnoya, J.; Llorente, B.; Szklo, A.S.; Thrasher, J.F. Achievements, Challenges, Priorities and Needs to Address the Current Tobacco Epidemic in Latin-america. Tob. Control 2022, 31, 138–141. [Google Scholar] [CrossRef]
 - GBD Study 2019 Collaborators. Spatial, temporal, and demographic patterns in prevalence of smoking tobacco use and attributable disease burden in 204 countries and territories, 1990–2019: A systematic analysis from the Global Burden of Disease Study 2019. Lancet 2021, 397, 2337–2360. [Google Scholar] [CrossRef] [PubMed]
 - Tam, J.; Jaffri, M.A.; Mok, Y.; Jeon, J.; Szklo, A.S.; Souza, M.C.; Holford, T.R.; Levy, D.T.; Cao, P.; Sánchez-Romero, L.M.; et al. Patterns of Birth Cohort—Specific Smoking Histories in Brazil. Am. J. Prev. Med. 2023, 64, 63–71. [Google Scholar] [CrossRef]
 - Conway, D.I.; Petticrew, M.; Marlborough, H.; Berthiller, J.; Hashibe, M.; Macpherson, L.M.D. Socioeconomic inequalities and oral cancer risk: A systematic review and meta-analysis of case-control studies. Int. J. Cancer 2008, 122, 2811–2819. [Google Scholar] [CrossRef] [PubMed]
 - Freire, A.R.; Freire, D.E.W.G.; Araújo, E.C.F.d.; de Lucena, E.H.G.; Cavalcanti, Y.W. Influence of Public Oral Health Services and Socioeconomic Indicators on the Frequency of Hospitalization and Deaths due to Oral Cancer in Brazil, between 2002–2017. Int. J. Environ. Res. Public Health 2021, 18, 238. [Google Scholar] [CrossRef] [PubMed]
 - Freire, A.R.; Freire, D.E.W.G.; Araújo, E.C.F.; Carrer, F.C.A.; Pucca Júnior, G.A.; Sousa, S.A.; Lucena, E.H.G.; Cavalcanti, Y.W. Socioeconomic indicators and economic investments influence oral cancer mortality in Latin America. BMC Public Health 2021, 21, 377. [Google Scholar] [CrossRef]
 - Abascal, W.; Esteves, E.; Goja, B.; Mora, F.G.; Lorenzo, A.; Sica, A.; Triunfo, P.; Harris, J.E. Tobacco control campaign in Uruguay: A population-based trend analysis. Lancet 2012, 380, 1575–1582. [Google Scholar] [CrossRef]
 - Salgado, M.V.; Mok, Y.; Jeon, J.; Jaffri, M.; Tam, J.; Holford, T.R.; Sánchez-Romero, L.M.; Meza, R.; Mejia, R. Smoking patterns by birth cohort in Argentina: An age-period cohort population-based modeling study. Lancet Reg. Health Am. 2024, 36. [Google Scholar] [CrossRef]
 - WHO Framework Convention on Tobacco Control. Protocol to Eliminate Illicit Trade in Tobacco Products. Available online: https://fctc.who.int/news-and-resources/publications (accessed on 10 January 2025).
 - Ramos, A. Illegal trade in tobacco in MERCOSUR countries. Trends Organ. Crime 2009, 12, 267–306. [Google Scholar] [CrossRef]
 - Masi, F.; Rodriguez-Iglesias, G.; Drope, J. Regional implications of the tobacco value chain in Paraguay. Tob. Control 2022, 31, 140–145. [Google Scholar] [CrossRef]
 - GBD Study 2021 Collaborators. Global incidence, prevalence, years lived with disability (YLDs), disability-adjusted life-years (DALYs), and healthy life expectancy (HALE) for 371 diseases and injuries in 204 countries and territories and 811 subnational locations, 1990–2021: A systematic analysis for the Global Burden of Disease Study 2021. Lancet 2023, 403, 2133–2161. [Google Scholar] [CrossRef]
 - Conway, D.I.; Purkayastha, M.; Chestnutt, I.G. The changing epidemiology of oral cancer: Definitions, trends, and risk factors. Br. Dent. J. 2018, 225, 867–873. [Google Scholar] [CrossRef] [PubMed]
 - Toporcov, T.N.; Tavares, G.E.; Rotundo, L.D.B.; Vaccarezza, G.F.; Biazevic, M.G.H.; Brasileiro, R.S.; de Carvalho, M.B.; Michaluart, P., Jr.; Kowalski, L.P.; Antunes, J.L.F. Do tobacco and alcohol modify protective effects of diet on oral carcinogenesis? Nutr. Cancer 2012, 64, 1182–1189. [Google Scholar] [CrossRef] [PubMed]
 - Scully, C.; Bagan, J. Oral squamous cell carcinoma: Overview of current understanding of aetiopathogenesis and clinical implications. Oral. Dis. 2009, 15, 388–399. [Google Scholar] [CrossRef]
 



| Countries | M | P | O | W | E | R | MPOWER | 
|---|---|---|---|---|---|---|---|
| Argentina | 3.50 [3; 4] | 5.0 [2; 5] | 4.0 [4; 4] | 5.0 [2; 5] | 4.0 [2; 4] | 4.5 [4; 5] | 26.0 [18; 26] | 
| Brazil | 3.50 [2; 4] | 5.0 [2; 5] | 5.0 [5; 5] | 5.0 [5; 5] | 5.0 [4; 5] | 4.0 [4; 5] | 27.5 [22; 28.3] | 
| Paraguay | 3.0 [2; 3] | 2 [2; 2.5] | 4.0 [4; 4] | 2.0 [2; 3] | 2 [2; 5] | 2.0 [2; 2] | 15.0 [14.8; 19.3] | 
| Uruguay | 4.0 [4; 4] | 5.0 [5; 5] | 4.5 [4; 5] | 5.0 [5; 5] | 4.5 [4; 5] | 4.0 [4; 4] | 27.0 [27; 27] | 
| Venezuela | 2.0 [1; 2.25] | 5.0 [2; 5] | 4.0 [4; 4] | 5.0 [5; 5] | 2 [2; 2] | 4.0 [4; 4] | 21.5 [8.8; 23] | 
| Country | Sex | Incidence Trend  (APC [95% CI])  | Mortality Trend  (APC [95% CI])  | DALYs Trend  (APC [95% CI])  | 
|---|---|---|---|---|
| Argentina | Male | Decreasing (−1.55 [1.87; −1.24]) | Decreasing (−1.98 [−2.39; −1.56]) | Decreasing (−2.24 [−2.56; −1.92]) | 
| Female | Stationary (−0.02 [−0.76; 0.74]) | Stationary (−0.65 [−1.50; 0.21]) | Stationary (−0.63 [−1.40; 0.14] | |
| Brazil | Male | Decreasing (−0.37 [−0.59; −0.15]) | Decreasing (−0.98 [−1.20; −0.76]) | Decreasing (−1.16 [−1.34; −0.98]) | 
| Female | Stationary (−0.10 [−0.46; 0.27]) | Decreasing (−0.95 [−1.27; −0.63]) | Decreasing (−0.79 [−1.22; −0.36]) | |
| Paraguay | Male | Increasing (0.74 [0.39; 1.09]) | Stationary (0.14 [−0.18; 0.46]) | Stationary (0.05 [−0.22; 0.33]) | 
| Female | Increasing (0.91 [0.58; 1.24]) | Stationary (0.27 [−0.16; 0.71]) | Stationary (0.08 [−0.18; 0.34]) | |
| Uruguay | Male | Stationary (−0.21 [−0.50; 0.07]) | Decreasing (−0.72 [−1.06; −0.38]) | Decreasing (−0.89 [−1.18; −0.59]) | 
| Female | Increasing (0.40 [0.14; 0.66]) | Stationary (−0.13 [−0.34; 0.09]) | Decreasing (−0.27 [−0.53; −0.02]) | |
| Venezuela | Male | Increasing (0.77 [0.26; 1.27]) | Stationary (0.31 [−0.43; 1.07]) | Stationary (0.24 [−0.47; 0.96]) | 
| Female | Increasing (0.67 [0.42; 0.93]) | Stationary (0.12 [−0.32; 0.56]) | Stationary (0.21 [−0.12; 0.54]) | 
Disclaimer/Publisher’s Note: The statements, opinions and data contained in all publications are solely those of the individual author(s) and contributor(s) and not of MDPI and/or the editor(s). MDPI and/or the editor(s) disclaim responsibility for any injury to people or property resulting from any ideas, methods, instructions or products referred to in the content.  | 
© 2025 by the authors. Licensee MDPI, Basel, Switzerland. This article is an open access article distributed under the terms and conditions of the Creative Commons Attribution (CC BY) license (https://creativecommons.org/licenses/by/4.0/).
Share and Cite
Hagen, L.M.; Macedo, F.J.; Cunha, A.R.d.; Hugo, F.N.; Amenábar, J.M. MPOWER Tobacco Control Policies’ Effects on Lip and Oral Cavity Cancer Trends in MERCOSUR Countries. Int. J. Environ. Res. Public Health 2025, 22, 644. https://doi.org/10.3390/ijerph22040644
Hagen LM, Macedo FJ, Cunha ARd, Hugo FN, Amenábar JM. MPOWER Tobacco Control Policies’ Effects on Lip and Oral Cavity Cancer Trends in MERCOSUR Countries. International Journal of Environmental Research and Public Health. 2025; 22(4):644. https://doi.org/10.3390/ijerph22040644
Chicago/Turabian StyleHagen, Laila Menezes, Fernanda Joly Macedo, Amanda Ramos da Cunha, Fernando Neves Hugo, and José Miguel Amenábar. 2025. "MPOWER Tobacco Control Policies’ Effects on Lip and Oral Cavity Cancer Trends in MERCOSUR Countries" International Journal of Environmental Research and Public Health 22, no. 4: 644. https://doi.org/10.3390/ijerph22040644
APA StyleHagen, L. M., Macedo, F. J., Cunha, A. R. d., Hugo, F. N., & Amenábar, J. M. (2025). MPOWER Tobacco Control Policies’ Effects on Lip and Oral Cavity Cancer Trends in MERCOSUR Countries. International Journal of Environmental Research and Public Health, 22(4), 644. https://doi.org/10.3390/ijerph22040644
        
