Adolescents with Normal Weight Obesity Have Less Dry Lean Mass Compared to Obese Counterparts
Abstract
1. Introduction
2. Materials and Methods
2.1. Participants
2.2. Study Design
2.3. Data Analysis
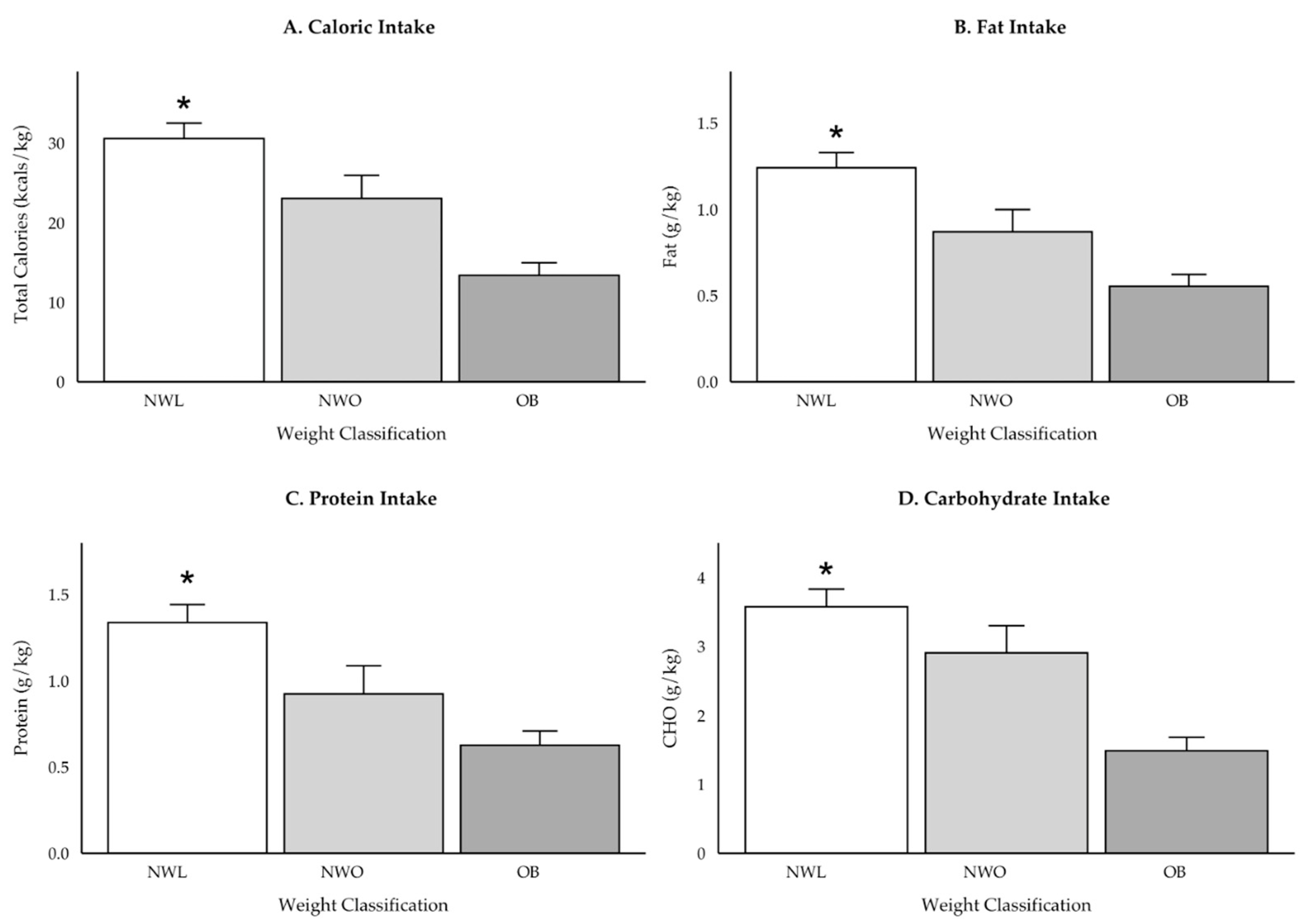
3. Results
3.1. Demographics and Body Composition
3.2. Macronutrient Intake
3.3. Micronutrient Intake
4. Discussion
5. Strengths and Limitations
6. Conclusions
Author Contributions
Funding
Institutional Review Board Statement
Informed Consent Statement
Data Availability Statement
Conflicts of Interest
References
- Tsoi, M.-F.; Li, H.-L.; Feng, Q.; Cheung, C.-L.; Cheung, T.T.; Cheung, B.M. Prevalence of Childhood Obesity in the United States in 1999–2018: A 20-Year Analysis. Obes. Facts 2022, 15, 560–569. [Google Scholar] [CrossRef] [PubMed]
- Sanyaolu, A.; Okorie, C.; Qi, X.; Locke, J.; Rehman, S. Childhood and Adolescent Obesity in the United States: A Public Health Concern. Glob. Pediatr. Health 2019, 6, 2333794X1989130. [Google Scholar] [CrossRef]
- Correa-Rodríguez, M.; González-Ruíz, K.; Rincón-Pabón, D.; Izquierdo, M.; García-Hermoso, A.; Agostinis-Sobrinho, C.; Sánchez-Capacho, N.; Roa-Cubaque, M.A.; Ramírez-Vélez, R. Normal-Weight Obesity Is Associated with Increased Cardiometabolic Risk in Young Adults. Nutrients 2020, 12, 1106. [Google Scholar] [CrossRef] [PubMed]
- Wijayatunga, N.N.; Dhurandhar, E.J. Normal weight obesity and unaddressed cardiometabolic health risk—A narrative review. Int. J. Obes. 2021, 45, 2141–2155. [Google Scholar] [CrossRef] [PubMed]
- Ruderman, N.B.; Schneider, S.H.; Berchtold, P. The “metabolically-obese”, normal-weight individual. Am. J. Clin. Nutr. 1981, 34, 1617–1621. [Google Scholar] [CrossRef] [PubMed]
- Kapoor, N.; Lotfaliany, M.; Sathish, T.; Thankappan, K.R.; Thomas, N.; Furler, J.; Oldenburg, B.; Tapp, R.J. Prevalence of normal weight obesity and its associated cardio-metabolic risk factors—Results from the baseline data of the Kerala Diabetes Prevention Program (KDPP). PLoS ONE 2020, 15, e0237974. [Google Scholar] [CrossRef] [PubMed]
- Keirns, B.H.; Sciarrillo, C.M.; Medlin, A.R.; Hart, S.M.; Cronic, E.M.; Emerson, S.R. Whole-body bone mineral density and markers of bone homeostasis in adults with normal-weight obesity. Obes. Pillars 2023, 7, 100073. [Google Scholar] [CrossRef]
- Lahav, Y.; Kfir, A.; Gepner, Y. The paradox of obesity with normal weight; a cross-sectional study. Front. Nutr. 2023, 10, 1173488. [Google Scholar] [CrossRef] [PubMed]
- Mohammadian Khonsari, N.; Baygi, F.; Tabatabaei-Malazy, O.; Mohammadpoor Nami, S.; Ehsani, A.; Asadi, S.; Qorbani, M. Association of normal weight obesity phenotype with inflammatory markers: A systematic review and meta-analysis. Front. Immunol. 2023, 14, 1044178. [Google Scholar] [CrossRef] [PubMed]
- Musálek, M.; Clark, C.C.; Kokštejn, J.; Vokounova, Š.; Hnízdil, J.; Mess, F. Impaired Cardiorespiratory Fitness and Muscle Strength in Children with Normal-Weight Obesity. Int. J. Environ. Res. Public Health 2020, 17, 9198. [Google Scholar] [CrossRef]
- Okobi, O.E.; Ajayi, O.O.; Okobi, T.J.; Anaya, I.C.; Fasehun, O.O.; Diala, C.S.; Evbayekha, E.O.; Ajibowo, A.O.; Olateju, I.V.; Ekabua, J.J.; et al. The Burden of Obesity in the Rural Adult Population of America. Cureus 2021, 13, e15770. [Google Scholar] [CrossRef] [PubMed]
- Bragança, M.L.B.M.; de Oliveira, B.R.; Fonseca, J.M.; Batalha, M.A.; Bogea, E.G.; Coelho, C.C.N.d.S.; Kac, G.; da Silva, A.A.M. Assessment of blood biomarkers in adolescents classified by body mass index and body fat percentage. Cad. Saúde Pública 2020, 36, e00084719. [Google Scholar] [CrossRef] [PubMed]
- Cota, B.C.; Priore, S.E.; Ribeiro, S.A.V.; Juvanhol, L.L.; de Faria, E.R.; de Faria, F.R.; Pereira, P.F. Cardiometabolic risk in adolescents with normal weight obesity. Eur. J. Clin. Nutr. 2022, 76, 863–870. [Google Scholar] [CrossRef] [PubMed]
- García-Hermoso, A.; Agostinis-Sobrinho, C.; Camargo-Villalba, G.E.; González-Jiménez, N.M.; Izquierdo, M.; Correa-Bautista, J.E.; Ramírez-Vélez, R. Normal-Weight Obesity Is Associated with Poorer Cardiometabolic Profile and Lower Physical Fitness Levels in Children and Adolescents. Nutrients 2020, 12, 1171. [Google Scholar] [CrossRef]
- Olafsdottir, A.S.; Torfadottir, J.E.; Arngrimsson, S.A. Health Behavior and Metabolic Risk Factors Associated with Normal Weight Obesity in Adolescents. PLoS ONE 2016, 11, e0161451. [Google Scholar] [CrossRef] [PubMed]
- Serrano, H.M.S.; Carvalho, G.Q.; Pereira, P.F. Body Composition, Biochemical and Clinical Changes of Adolescents with Excessive Adiposity. Arq. Bras. Cardiol. 2010, 95, 464–472. [Google Scholar] [CrossRef] [PubMed]
- Yaguchi-Tanaka, Y.; Kawagoshi, Y.; Sasaki, S.; Fukao, A. Cross-Sectional Study of Possible Association between Rapid Eating and High Body Fat Rates among Female Japanese College Students. J. Nutr. Sci. Vitaminol. 2013, 59, 243–249. [Google Scholar] [CrossRef] [PubMed]
- Collins, C.E.; Watson, J.; Burrows, T. Measuring dietary intake in children and adolescents in the context of overweight and obesity. Int. J. Obes. 2010, 34, 1103–1115. [Google Scholar] [CrossRef] [PubMed]
- Dulloo, A.G. Collateral fattening: When a deficit in lean body mass drives overeating. Obesity 2017, 25, 277–279. [Google Scholar] [CrossRef] [PubMed]
- Vink, R.G.; Roumans, N.J.T.; Arkenbosch, L.A.J.; Mariman, E.C.M.; van Baak, M. The effect of rate of weight loss on long-term weight regain in adults with overweight and obesity. Obesity 2016, 24, 321–327. [Google Scholar] [CrossRef]
- Żegleń, M.; Kryst, Ł.; Kuszewska, G.; Kowal, M.; Woronkowicz, A. Association between physical fitness and normal weight obesity in children and adolescents from Poland. Am. J. Hum. Biol. 2023, 35, e23953. [Google Scholar] [CrossRef] [PubMed]
- Kobayashi, M.; Pattarathitwat, P.; Pongprajakand, A.; Kongkaew, S. Association of normal weight obesity with lifestyle and dietary habits in young Thai women: A cross-sectional study. Obes. Pillars 2023, 5, 100055. [Google Scholar] [CrossRef] [PubMed]
- Jakobsen, D.D.; Brader, L.; Bruun, J.M. Association between Food, Beverages and Overweight/Obesity in Children and Adolescents—A Systematic Review and Meta-Analysis of Observational Studies. Nutrients 2023, 15, 764. [Google Scholar] [CrossRef] [PubMed]
- Wang, X.; Chang, X.; Zhu, Y.; Wang, H.; Sun, K. Metabolically Obese Individuals of Normal Weight Have a High Risk of 25-Hydroxyvitamin D Deficiency. Am. J. Med. Sci. 2016, 352, 360–367. [Google Scholar] [CrossRef]
- Kobylińska, M.; Antosik, K.; Decyk, A.; Kurowska, K. Malnutrition in Obesity: Is It Possible? Obes. Facts 2022, 15, 19–25. [Google Scholar] [CrossRef]
- Shrestha, R.; Copenhaver, M. Long-Term Effects of Childhood Risk Factors on Cardiovascular Health During Adulthood. Clin. Med. Rev. Vasc. Health 2015, 7, 1–5. [Google Scholar]
- De Onis, M.; Lobstein, T. Defining obesity risk status in the general childhood population: Which cut-offs should we use? Int. J. Pediatr. Obes. 2010, 5, 458–460. [Google Scholar] [CrossRef]
- Bates, D.; Mächler, M.; Bolker, B.; Walker, S. Fitting Linear Mixed-Effects Models Using lme4. J. Stat. Softw. 2015, 67, 48. [Google Scholar] [CrossRef]
- Length, R.V. Emmeans: Estimated Marginal Means, Aka Least-Squares Means. 2024. Available online: https://CRAN.R-project.org/package=emmeans (accessed on 15 November 2024).
- Wickham, H. ggplot2: Elegant Graphics for Data Analysis, 2nd ed.; Springer: New York, NY, USA, 2016. [Google Scholar] [CrossRef]
- Blundell, J.E.; Caudwell, P.; Gibbons, C.; Hopkins, M.; Näslund, E.; King, N.A.; Finlayson, G. Body composition and appetite: Fat-free mass (but not fat mass or BMI) is positively associated with self-determined meal size and daily energy intake in humans. Br. J. Nutr. 2012, 107, 445–449. [Google Scholar] [CrossRef] [PubMed]
- Dulloo, A.G.; Jacquet, J.; Girardier, L. Poststarvation hyperphagia and body fat overshooting in humans: A role for feedback signals from lean and fat tissues. Am. J. Clin. Nutr. 1997, 65, 717–723. [Google Scholar] [CrossRef] [PubMed]
- Dulloo, A.G.; Jacquet, J.; Miles-Chan, J.L.; Schutz, Y. Passive and active roles of fat-free mass in the control of energy intake and body composition regulation. Eur. J. Clin. Nutr. 2017, 71, 353–357. [Google Scholar] [CrossRef] [PubMed]
- He, F.J.; Marrero, N.M.; Macgregor, G.A. Salt and blood pressure in children and adolescents. J. Hum. Hypertens. 2008, 22, 4–11. [Google Scholar] [CrossRef] [PubMed]
- Sugiyama, T.; Xie, D.; Graham-Maar, R.C.; Inoue, K.; Kobayashi, Y.; Stettler, N. Dietary and lifestyle factors associated with blood pressure among U.S. adolescents. J. Adolesc. Health 2007, 40, 166–172. [Google Scholar] [CrossRef]
- Damms-Machado, A.; Weser, G.; Bischoff, S.C. Micronutrient deficiency in obese subjects undergoing low calorie diet. Nutr. J. 2012, 11, 34. [Google Scholar] [CrossRef]
- Musálek, M.; Pařízková, J.; Godina, E.; Bondareva, E.; Kokštejn, J.; Jírovec, J.; Vokounová, Š. Poor Skeletal Robustness on Lower Extremities and Weak Lean Mass Development on Upper Arm and Calf: Normal Weight Obesity in Middle-School-Aged Children (9 to 12). Front. Pediatr. 2018, 6, 371. [Google Scholar] [CrossRef] [PubMed]
- George SM, S.; Van Horn, M.L.; Lawman, H.G.; Wilson, D.K. Reliability of 24-Hour Dietary Recalls as a Measure of Diet in African-American Youth. J. Acad. Nutr. Diet. 2016, 116, 1551–1559. [Google Scholar] [CrossRef] [PubMed]
- Census Reporter. Available online: https://censusreporter.org/ (accessed on 23 October 2024).






| Total | Boys | Girls | |||||||
|---|---|---|---|---|---|---|---|---|---|
| NWL | NWO | OB | NWL | NWO | OB | NWL | NWO | OB | |
| n | 80 | 16 | 22 | 45 | 2 | 8 | 35 | 14 | 14 |
| Prevalence (%) | 67.8 | 13.6 | 18.6 | 81.8 | 1.8 | 14.5 | 55.6 | 22.2 | 22.2 |
| Age (Yr) | 16 ± 1 | 16 ± 1 | 16 ± 1 | 16 ± 1 | 17 ± 2 | 16 ± 1 | 16 ± 1 | 16 ± 1 | 16 ± 1 |
| Height (cm) | 173 ± 11 | 166 ± 7 | 168 ± 8 | 179 ± 10 | 170.5 ± 3.5 | 170 ± 11 | 166 ± 7 | 165 ± 7 | 168 ± 6 |
| Weight (kg) | 62.2 ± 10.7 * | 63.4 ± 6.0 * | 90.7 ± 14.7 | 66.3 ± 11.3 * | 69.0 ± 0.8 | 88.3 ± 16.9 | 56.9 ± 7.2 * | 62.6 ± 6.0 * | 92.2 ± 13.7 |
| All | Boys | Girls | ||||
|---|---|---|---|---|---|---|
| BMI | BF (%) | BMI | BF (%) | BMI | BF (%) | |
| Total Calories | −0.159 | −0.279 *** | −0.038 | −0.330 ** | −0.309 * | −0.210 |
| Calories per kg | −0.424 *** | −0.357 *** | −0.268 * | −0.430 *** | −0.607 *** | −0.458 *** |
| Protein (g) | −0.066 | −0.302 *** | −0.140 | −0.266 * | −0.266 * | −0.202 |
| CHO (g) | −0.223 ** | −0.237 ** | −0.124 | −0.290 * | −0.337 ** | −0.194 |
| Fat (g) | −0.107 | −0.257 ** | −0.070 | −0.317 ** | −0.262 * | −0.230 |
| Protein (g·kg−1) | −0.332 *** | −0.384 *** | −0.150 | −0.353 ** | −0.527 *** | −0.435 *** |
| CHO (g·kg−1) | −0.454 *** | −0.304 *** | −0.336 ** | −0.370 ** | −0.610 *** | −0.426 *** |
| Fat (g·kg−1) | −0.339 *** | −0.324 *** | −0.196 | −0.411 *** | −0.495 *** | −0.412 *** |
| Total | Boys | Girls | |||||||
|---|---|---|---|---|---|---|---|---|---|
| NWL | NWO | OB | NWL | NWO | OB | NWL | NWO | OB | |
| Total Calories | 1872 ± 1068 * | 1470 ± 783 | 1192 ± 667 | 2020 ± 1191 | 1232 ± 1191 | 1052 ± 600 | 1682 ± 864 | 1505 ± 767 | 1272 ± 712 |
| Protein (g) | 83.8 ± 62.2 | 59.3 ± 41.7 | 54.4 ± 31.4 | 95.4 ± 72.7 | 75.6 ± 87.0 | 56.0 ± 29.0 | 68.8 ± 41.7 | 57.0 ± 37.1 | 53.5 ± 33.7 |
| Carbohydrate (g) | 218 ± 137 * | 187 ± 111 | 134 ± 84 | 238 ± 153 | 140 ± 150 | 107 ± 80 | 193 ± 112 | 193 ± 110 | 149 ± 85 |
| Fat (g) | 75.8 ± 47.8 * | 55.4 ± 33.5 | 49.3 ± 28.8 | 78.3 ± 51.1 | 43.5 ± 31.0 | 44.7 ± 25.2 | 72.6 ± 43.5 | 57.1 ± 34.6 | 51.9 ± 31.3 |
| All | Boys | Girls | ||||
|---|---|---|---|---|---|---|
| BMI | BF (%) | BMI | BF (%) | BMI | BF (%) | |
| Sodium | −0.015 | −0.103 | −0.092 | −0.311 ** | −0.138 | −0.140 |
| Magnesium | −0.158 | −0.207 * | 0.055 | −0.094 | −0.386 ** | −0.277 * |
| Calcium | −0.139 | −0.269 ** | −0.031 | −0.207 | −0.247 * | −0.139 |
| Zinc | −0.123 | −0.211 * | −0.067 | −0.122 | −0.314 ** | −0.254 * |
| Iron | −0.144 | −0.166 | 0.051 | 0.121 | −0.363 ** | −0.254 * |
Disclaimer/Publisher’s Note: The statements, opinions and data contained in all publications are solely those of the individual author(s) and contributor(s) and not of MDPI and/or the editor(s). MDPI and/or the editor(s) disclaim responsibility for any injury to people or property resulting from any ideas, methods, instructions or products referred to in the content. |
© 2025 by the authors. Licensee MDPI, Basel, Switzerland. This article is an open access article distributed under the terms and conditions of the Creative Commons Attribution (CC BY) license (https://creativecommons.org/licenses/by/4.0/).
Share and Cite
Brown, A.F.; Aguiar Bonfim Cruz, A.J.; Schwartz, M.G.; Brooks, S.J.; Chandler, A.J. Adolescents with Normal Weight Obesity Have Less Dry Lean Mass Compared to Obese Counterparts. Int. J. Environ. Res. Public Health 2025, 22, 171. https://doi.org/10.3390/ijerph22020171
Brown AF, Aguiar Bonfim Cruz AJ, Schwartz MG, Brooks SJ, Chandler AJ. Adolescents with Normal Weight Obesity Have Less Dry Lean Mass Compared to Obese Counterparts. International Journal of Environmental Research and Public Health. 2025; 22(2):171. https://doi.org/10.3390/ijerph22020171
Chicago/Turabian StyleBrown, Ann F., Ariel J. Aguiar Bonfim Cruz, Malayna G. Schwartz, Samantha J. Brooks, and Alexa J. Chandler. 2025. "Adolescents with Normal Weight Obesity Have Less Dry Lean Mass Compared to Obese Counterparts" International Journal of Environmental Research and Public Health 22, no. 2: 171. https://doi.org/10.3390/ijerph22020171
APA StyleBrown, A. F., Aguiar Bonfim Cruz, A. J., Schwartz, M. G., Brooks, S. J., & Chandler, A. J. (2025). Adolescents with Normal Weight Obesity Have Less Dry Lean Mass Compared to Obese Counterparts. International Journal of Environmental Research and Public Health, 22(2), 171. https://doi.org/10.3390/ijerph22020171

