Anthropometric Profile, Overweight/Obesity Prevalence, and Socioeconomic Impact in Moroccan Children Aged 6–12 Years Old with Autism Spectrum Disorder
Abstract
1. Introduction
1.1. Autism Spectrum Disorder (ASD)
1.2. The Complex Link between ASD and Obesity
1.3. Research Gap in ASD and Obesity in Morocco
1.4. Rational of the Study
1.5. Objectives
2. Materials and Methods
2.1. Design
2.2. Participants
2.3. Anthropometric Measures
2.4. Statistical Analysis
Low risk < 85th percentile
High risk = 85th–95th percentile
Very high risk > 95th percentile
High risk = 6–9
Very high risk ≥ 10
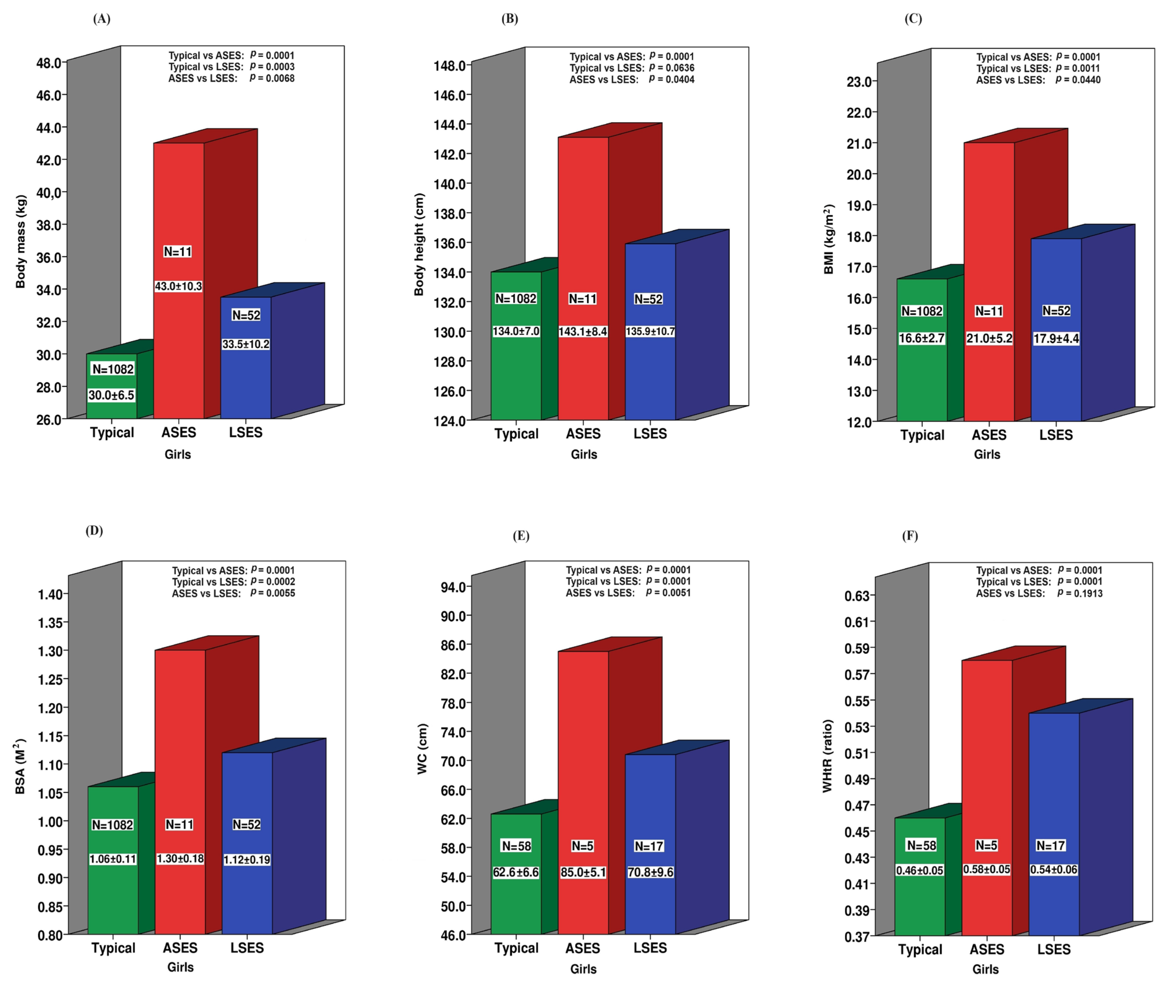
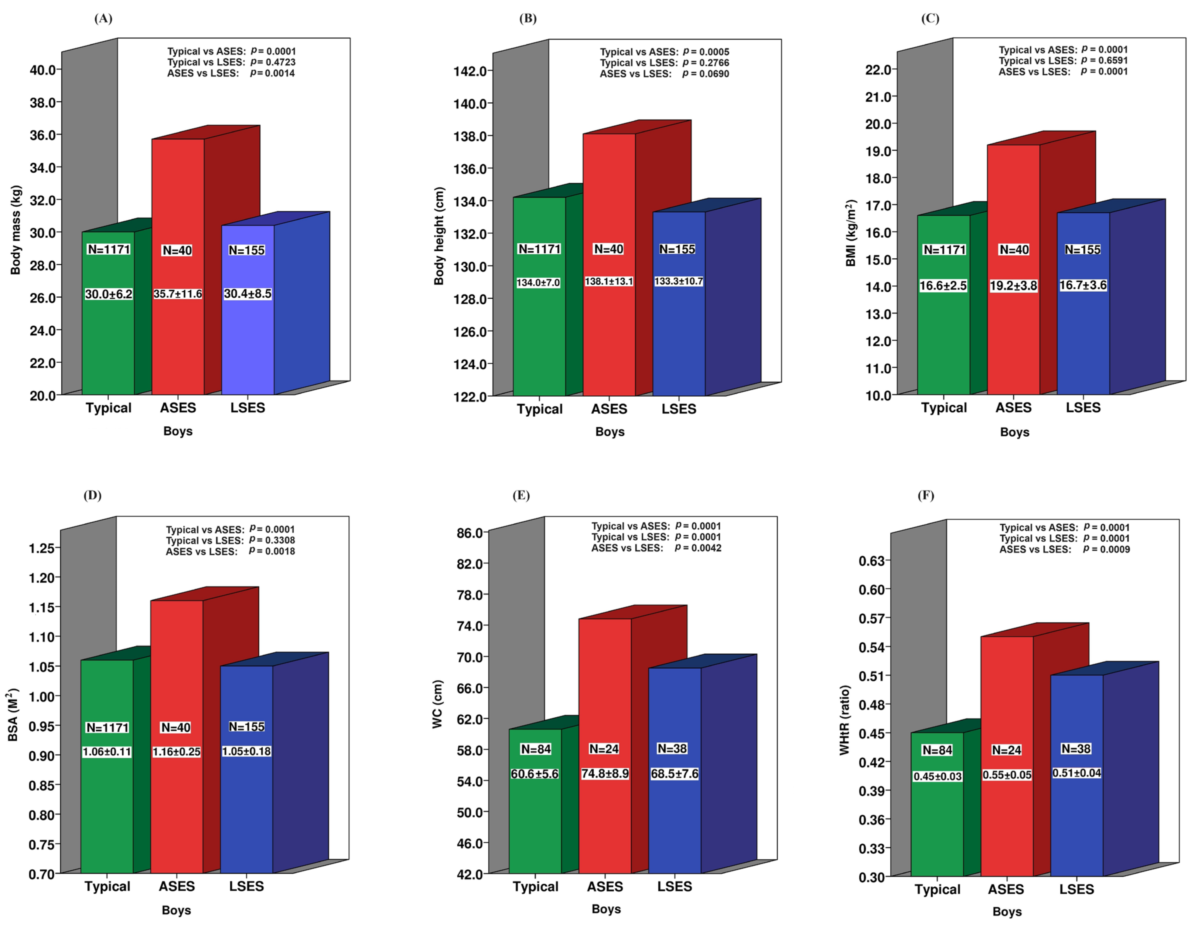
3. Results
4. Discussion
4.1. Obesity in Moroccan Children with ASD
4.2. A Crucial First Step: Unveiling the Prevalence of Obesity among Moroccan ASD Children
Cardiometabolic Risk Profile across Socioeconomic Backgrounds
4.3. Beyond Individual Measures: CRS for Cardiometabolic Risk Assessment
Why Use the CRS?
4.4. Limitations and Strengths
5. Conclusions
Author Contributions
Funding
Institutional Review Board Statement
Informed Consent Statement
Data Availability Statement
Acknowledgments
Conflicts of Interest
References
- American Psychiatric Association. Diagnostic and Statistical Manual of Mental Disorders (DSM-5); American Psychiatric Pub: Washington, DC, USA, 2013. [Google Scholar]
- Broder-Fingert, S.; Brazauskas, K.; Lindgren, K.; Iannuzzi, D.; Van Cleave, J. Prevalence of overweight and obesity in a large clinical sample of children with autism. Acad. Pediatr. 2014, 14, 408–414. [Google Scholar] [CrossRef] [PubMed]
- Kittana, M.; Ahmadani, A.; Williams, K.E.; Attlee, A. Nutritional Status and Feeding Behavior of Children with Autism Spectrum Disorder in the Middle East and North Africa Region: A Systematic Review. Nutrients 2023, 15, 711. [Google Scholar] [CrossRef] [PubMed]
- Hill, A.P.; Zuckerman, K.E.; Fombonne, E. Obesity and Autism. Pediatrics 2015, 136, 1051–1061. [Google Scholar] [CrossRef] [PubMed]
- de Vinck-Baroody, O.; Shui, A.; Macklin, E.A.; Hyman, S.L.; Leventhal, J.M.; Weitzman, C. Overweight and Obesity in a Sample of Children with Autism Spectrum Disorder. Acad. Pediatr. 2015, 15, 396–404. [Google Scholar] [CrossRef] [PubMed]
- Garcia, J.M.; Odahowski, C.L. An urban versus rural comparison of obesity between youth with and without autism spectrum disorder. Autism Res. 2023, 16, 200–207. [Google Scholar] [CrossRef] [PubMed]
- Sammels, O.; Karjalainen, L.; Dahlgren, J.; Wentz, E. Autism Spectrum Disorder and Obesity in Children: A Systematic Review and Meta-Analysis. Obes. Facts 2022, 15, 305–320. [Google Scholar] [CrossRef]
- Zulkifli, M.N.; Kadar, M.; Hamzaid, N.H. Weight Status and Associated Risk Factors of Mealtime Behaviours among Children with Autism Spectrum Disorder. Children 2022, 9, 927. [Google Scholar] [CrossRef]
- Curtin, C.; Anderson, S.E.; Must, A.; Bandini, L. The prevalence of obesity in children with autism: A secondary data analysis using nationally representative data from the National Survey of Children’s Health. BMC Pediatr. 2010, 23, 11. [Google Scholar] [CrossRef]
- Zhong, T.; Liu, H.; Li, Y.; Qi, J. Correlates of Physical Activity of Children and Adolescents with Autism Spectrum Disorder in Low- and Middle-Income Countries: A Systematic Review of Cross-Sectional Studies. Int. J. Environ. Res. Public Health 2022, 19, 16301. [Google Scholar] [CrossRef]
- Toscano, C.V.A.; Carvalho, H.M.; Ferreira, J.P. Exercise Effects for Children with Autism Spectrum Disorder: Metabolic Health, Autistic Traits, and Quality of Life. Percept. Mot. Skills 2018, 125, 126–146. [Google Scholar] [CrossRef]
- Bandini, L.G.; Anderson, S.E.; Curtin, C.; Cermak, S.; Evans, E.W.; Scampini, R.; Maslin, M.; Must, A. Food selectivity in children with autism spectrum disorders and typically developing children. J. Pediatr. 2010, 157, 259–264. [Google Scholar] [CrossRef] [PubMed]
- Harris, H.A.; Bowling, A.; Santos, S.; Greaves-Lord, K.; Jansen, P.W. Child ADHD and autistic traits, eating behaviours and weight: A population-based study. Pediatr. Obes. 2022, 17, e12951. [Google Scholar] [CrossRef] [PubMed]
- Kozak, A.; Czepczor-Bernat, K.; Modrzejewska, J.; Modrzejewska, A.; Matusik, E.; Matusik, P. Avoidant/Restrictive Food Disorder (ARFID), Food Neophobia, Other Eating-Related Behaviours and Feeding Practices among Children with Autism Spectrum Disorder and in Non-Clinical Sample: A Preliminary Study. Int. J. Environ. Res. Public Health 2023, 20, 5822. [Google Scholar] [CrossRef] [PubMed]
- Matheson, B.E.; Douglas, J.M. Overweight and Obesity in Children with Autism Spectrum Disorder (ASD): A Critical Review Investigating the Etiology, Development, and Maintenance of this Relationship. Rev. J. Autism Dev. Disord. 2017, 4, 142–156. [Google Scholar] [CrossRef]
- Dhaliwal, K.K.; Orsso, C.E.; Richard, C.; Haqq, A.M.; Zwaigenbaum, L. Risk Factors for Unhealthy Weight Gain and Obesity among Children with Autism Spectrum Disorder. Int. J. Mol. Sci. 2019, 20, 3285. [Google Scholar] [CrossRef] [PubMed]
- Granich, J.; Lin, A.; Hunt, A.; Wray, J.; Dass, A.; Whitehouse, A.J. Obesity and associated factors in youth with an autism spectrum disorder. Autism 2016, 20, 916–926. [Google Scholar] [CrossRef] [PubMed]
- Kantawala, B.; Abu-Bakr, A.; Kasini, B.; Ndayambaje, M.; Ian Soh, S.; Nazir, A.; Wojtara, M.; Uwishema, O. Exploring the landscape of autism in Africa: Challenges in diagnosis, support, and resources—A short communication. Ann. Med. Surg. 2023, 85, 5838–5841. [Google Scholar] [CrossRef]
- Ruparelia, K.; Abubakar, A.; Badoe, E.; Bakare, M.; Visser, K.; Chugani, D.C.; Chugani, H.T.; Donald, K.A.; Wilmshurst, J.M.; Shih, A.; et al. Autism Spectrum Disorders in Africa: Current Challenges in Identification, Assessment, and Treatment: A Report on the International Child Neurology Association Meeting on ASD in Africa, Ghana, 3–5 April 2014. J. Child. Neurol. 2016, 31, 1018–1026. [Google Scholar] [CrossRef] [PubMed]
- Oneib, B.; Fajoui, Y.; El Ghazouani, F. The sociodemographic and clinical profile of children with an autism spectrum disorder in the oriental region of Morocco. Egypt. J. Neurol. Psychiatry Neurosurg. 2022, 58, 7. [Google Scholar] [CrossRef]
- Sefrioui, M.R.; Elidrissi, I.; El Othmani, I.S.; Derfoufi, S.; Said, A.A.H.; Benmoussa, A.; Derraji, S. Profile of autism spectrum disorders in Morocco: Cross-sectional retrospective study of parents of children with autism. Med. Pharm. Rep. 2023, 96, 71–78. [Google Scholar] [CrossRef]
- Fredriks, A.M.; van Buuren, S.; Jeurissen, S.E.; Dekker, F.W.; Verloove-Vanhorick, S.P.; Wit, J.M. Height, weight, body mass index and pubertal development references for children of Moroccan origin in The Netherlands. Acta Paediatr. 2004, 93, 817–824. [Google Scholar] [CrossRef] [PubMed]
- de Hoog, M.L.; van Eijsden, M.; Stronks, K.; Gemke, R.J.; Vrijkotte, T.G. Ethnic differences in cardiometabolic risk profile at age 5–6 years: The ABCD study. PLoS ONE 2012, 7, e43667. [Google Scholar] [CrossRef] [PubMed]
- Hassani, G.C. Facteurs Cliniques et Environnementaux Impliqués Dans la Sévérité du Trouble du Spectre Autistique (à Propos de 50 cas). [Clinical and Environmental Factors Involved in the Severity of Autism Spectrum Disorder (about 50 Cases)]. Ph.D. Thesis, University Sidi Mohammed Ben Abdellah, Fès, Morocco, 2015. (In French). [Google Scholar]
- Elsabbagh, M.; Divan, G.; Koh, Y.J.; Kim, Y.S.; Kauchali, S.; Marcín, C.; Montiel-Nava, C.; Patel, V.; Paula, C.S.; Wang, C.; et al. Global prevalence of autism and other pervasive developmental disorders. Autism Res. 2012, 5, 160–179. [Google Scholar] [CrossRef] [PubMed]
- Lohman, T.G.; Roche, A.F.; Martorell, R. Anthropometric Standardization Reference Manual; Human Kinetics Books: Champaign, IL, USA, 1988. [Google Scholar]
- Cole, T.J.; Bellizzi, M.C.; Flegal, K.M.; Dietz, W.H. Establishing a standard definition for child overweight and obesity worldwide: International survey. BMJ 2000, 320, 1240–1243. [Google Scholar] [CrossRef] [PubMed]
- Mosteller, R.D. Simplified calculation of body-surface area. N. Engl. J. Med. 1987, 317, 1098. [Google Scholar] [CrossRef] [PubMed]
- Box, G.E.; Cox, D.R. An analysis of transformations. J. R. Stat. Soc. Ser. B (Stat. Methodol.) 1964, 26, 211–252. [Google Scholar] [CrossRef]
- Sharma, A.K.; Metzger, D.L.; Daymont, C.; Hadjiyannakis, S.; Rodd, C.J. LMS tables for waist-circumference and waist-height ratio Z-scores in children aged 5–19 y in NHANES III: Association with cardiometabolic risks. Pediatr. Res. 2015, 78, 723–729. [Google Scholar] [CrossRef] [PubMed]
- Cardel, M.I.; Atkinson, M.A.; Taveras, E.M.; Holm, J.C.; Kelly, A.S. Obesity treatment among adolescents: A review of current evidence and future directions. JAMA Pediatr. 2020, 174, 609–617. [Google Scholar] [CrossRef] [PubMed]
- Skinner, A.C.; Perrin, E.M.; Moss, L.A.; Skelton, J.A. Cardiometabolic risks and severity of obesity in children and young adults. N. Engl. J. Med. 2015, 373, 1307–1317. [Google Scholar] [CrossRef]
- Sardinha, L.B.; Silva, A.M.; Minderico, C.S.; Teixeira, P.J. Effect of body surface area calculations on body fat estimates in non-obese and obese subjects. Physiol. Meas. 2006, 27, 1197–1209. [Google Scholar] [CrossRef]
- Leone, M.; Bui, H.T.; Kalinova, E.; Lemoyne, J.; Gagnon, D.; Léger, L.; Larivière, G.; Allisse, M. Investigation of underlying association between anthropometric and cardiorespiratory fitness markers among overweight and obese adolescents in Canada. Int. J. Environ. Res. Public Health 2024, 21, 408. [Google Scholar] [CrossRef] [PubMed]
- Ministère de l’Éducation National, de la Formation Professionnelle, de l’Enseignement Supérieuret de la Recherche Scientifique. Études des Caractéristiques Morphologiques et Sportives de L’enfant Marocain (6–12 ans). Rabat, Maroc. 2019. Available online: https://jimdo-storage.global.ssl.fastly.net/file/d2c64581-d858-4440-b91e-c2aa12d15ce0/MINISTER%20EDUCATION (accessed on 10 March 2024).
- Ghouili, H.; Ouerghi, N.; Ben Khalifa, W.; Boughalmi, A.; Dridi, A.; Gmada, N.; Bouassida, A. First reference curves of waist circumference and waist-to-height ratio for Tunisian children. Arch. Pediatr. 2020, 27, 87–94. [Google Scholar] [CrossRef]
- Dempsey, J.; Dempsey, A.G. Autism Spectrum Disorder Severity, Developmental Delays, and Overweight/Obese Weight Status. J. Pediatr. 2019, 205, 9–11. [Google Scholar] [CrossRef] [PubMed]
- Memari, A.H.; Kordi, R.; Ziaee, V.; Mirfazeli, F.S.; Setoodeh, M.S. Weight status in Iranian children with autism spectrum disorders: Investigation of underweight, overweight and obesity. Res. Autism Spectr. Disord. 2012, 6, 234–239. [Google Scholar] [CrossRef]
- Han, J.C.; Lawlor, D.A.; Kimm, S.Y. Childhood obesity. Lancet 2010, 375, 1737–1748. [Google Scholar] [CrossRef]
- Karchynskaya, V.; Kopcakova, J.; Klein, D.; Gába, A.; Madarasova-Geckova, A.; van Dijk, J.P.; de Winter, A.F.; Reijneveld, S.A. Is BMI a valid indicator of overweight and obesity for adolescents? Int. J. Environ. Res. Public Health 2020, 17, 4815. [Google Scholar] [CrossRef] [PubMed]
- Xi, B.; Zong, X.; Kelishadi, R.; Litwin, M.; Hong, Y.M.; Poh, B.K.; Steffen, L.M.; Galcheva, S.V.; Herter-Aeberli, I.; Nawarycz, T.; et al. International Waist Circumference Percentile Cutoffs for 722 Central Obesity in Children and Adolescents Aged 6 to 18 Years. J. Clin. Endocrinol. Metab. 2020, 105, e1569–e1583. [Google Scholar] [CrossRef]
- Sebbani, M.; Elbouchti, I.; Adarmouch, L.; Amine, M. Prevalence of obesity and overweight among children in primary schools in Marrakech, Morocco. Rev. Epidemiol. Sante Publique 2013, 61, 545–549. (In French) [Google Scholar] [CrossRef]



| Variables | Boys (N = 195) | CI95% | Girls (N = 63) | CI95% | p Values | Cohen’s d Effect Size |
|---|---|---|---|---|---|---|
| Age (years) | 9.4 ± 1.4 | 9.2–9.6 | 9.6 ± 1.4 | 9.2–9.9 | 0.285 | 0.14 |
| BM (kg) | 31.5 ± 9.4 | 30.2–32.9 | 35.2 ± 10.8 | 32.4–37.9 | 0.011 | 0.38 |
| BH (cm) | 134.2 ± 11.3 | 132.6–135.8 | 137.2 ± 10.6 | 134.5–139.8 | 0.073 | 0.27 |
| BMI (kg·m2) | 17.2 ± 3.8 | 16.7–17.8 | 18.5 ± 4.6 | 17.3–19.7 | 0.031 | 0.32 |
| BSA (m2) | 1.08 ± 0.20 | 1.05–1.10 | 1.15 ± 0.20 | 1.10–1.20 | 0.013 | 0.35 |
| WC (cm) * | 71.0 ± 8.6 | 68.8–73.2 | 74.1 ± 10.4 | 69.4–78.7 | 0.175 | 0.34 |
| WHtR (ratio) * | 0.52 ± 0.05 | 0.51–0.54 | 0.55 ± 0.06 | 0.52–0.57 | 0.100 | 0.57 |
| Variables | Neurotypical (N = 1171) | All ASD (N = 195) | p Values | Cohen’s d Effect Size |
| Boys | ||||
| Body Mass (kg) | 30.0 ± 6.2 | 31.5 ± 9.4 | 0.0041 | 0.22 |
| Body Height (cm) | 134.0 ± 7.0 | 134.2 ± 11.3 | 0.7390 | 0.00 |
| BMI (kg/m2) | 16.6 ± 2.5 | 17.2 ± 3.8 | 0.0045 | 0.22 |
| BSA (m2) | 1.06 ± 0.11 | 1.08 ± 0.20 | 0.0415 | 0.16 |
| * WC (cm) | 60.0 ± 6.2 | 71.0 ± 8.6 | 0.0001 | 1.67 |
| * WHtR (Ratio) | 0.45 ± 0.05 | 0.52 ± 0.05 | 0.0001 | 1.40 |
| Variables | Neurotypical (N = 1082) | All ASD (N = 63) | p Values | Cohen’s d Effect Size |
| Girls | ||||
| Body Mass (kg) | 30.0 ± 6.5 | 35.2 ± 10.8 | 0.0001 | 0.76 |
| Body Height (cm) | 134.0 ± 7.0 | 137.2 ± 10.6 | 0.0007 | 0.46 |
| BMI (kg/m2) | 16.6 ± 2.7 | 18.5 ± 4.6 | 0.0001 | 0.67 |
| BSA (m2) | 1.06 ± 0.11 | 1.15 ± 0.20 | 0.0001 | 0.77 |
| * WC (cm) | 60.2 ± 6.9 | 74.1 ± 10.4 | 0.0001 | 1.95 |
| * WHtR (Ratio) | 0.46 ± 0.05 | 0.55 ± 0.06 | 0.0001 | 1.78 |
| Outcome | Odds Ratio Average vs. Low SES | 95% CI | p Values (Pearson χ) | |
|---|---|---|---|---|
| Lower | Upper | |||
| BMI | 3.20 | 1.71 | 6.02 | 0.0001 |
| BSA | 3.36 | 1.79 | 6.33 | 0.0001 |
| WC | 2.97 | 1.04 | 8.44 | 0.0300 |
| WHtR | 4.06 | 1.49 | 11.1 | 0.0006 |
| CRS | 3.26 | 1.20 | 8.87 | 0.0210 |
| N | Mean ± (SD) | 95%CI | SEM | p Value | R2 | |
|---|---|---|---|---|---|---|
| Measured composite risk score | 84 | 6.75 ± 2.63 | 6.18–7.32 | 0.29 | 0.977 | 0.854 |
| Predicted composite risk score | 84 | 6.75 ± 2.43 | 6.23–7.28 | 0.27 | ||
| Regression equation for CRS | R2 | RMSE | MAE | SEE | Mean VIF | |
| CRS = −5.02 + (WC × 0.197) + (BMI × 0.277) + (Age × −0.797) | 0.854 | 1.00 | 0.80 | 1.00 | 2.7 Range: 1.2–3.5 | |
| Markers | Low Risk | High Risk | Very High Risk | High + Very High Risk |
|---|---|---|---|---|
| BMI | 67.1% | 24.0% | 8.9% | 32.9% |
| BSA | 67.8% | 13.2% | 19.0% | 32.2% |
| WC | 35.7% | 28.6% | 35.7% | 64.3% |
| WHtR | 45.2% | 32.1% | 22.6% | 54.7% |
| CRS | 41.7% | 41.7% | 16.7% | 58.4% |
| BOYS 6–9 years old | |||||
|---|---|---|---|---|---|
| OW | Obese | Typical | Total | OW + Obese | |
| BMI (N) | 27 | 10 | 90 | 127 | 29.2% |
| % | 21.3 | 7.9 | 70.8 | 100 | |
| BSA (N) | 21 | 24 | 82 | 127 | 34.4% |
| % | 16.5 | 18.9 | 64.6 | 100 | |
| WC (N) | 14 | 13 | 18 | 45 | 60.0% |
| % | 31.1 | 28.9 | 40.0 | 100 | |
| WHtR (N) | 16 | 7 | 22 | 45 | 51.2% |
| % | 35.6 | 15.6 | 48.8 | 100 | |
| CRS (N) | 18 | 5 | 22 | 45 | 51.1% |
| % | 40.0 | 11.1 | 48.9 | 100 | |
| BOYS 10–12 years old | |||||
| BMI (N) | 15 | 6 | 47 | 68 | 30.9% |
| % | 22.1 | 8.8 | 69.1 | 100 | |
| BSA (N) | 8 | 6 | 54 | 68 | 20.6% |
| % | 11.8 | 8.8 | 79.4 | 100 | |
| WC (N) | 6 | 6 | 5 | 17 | 70.6% |
| % | 35.3 | 35.3 | 29.4 | 100 | |
| WHtR | 6 | 4 | 7 | 17 | 59.8% |
| % | 35.3 | 23.5 | 41.2 | 100 | |
| CRS (N) | 8 | 4 | 5 | 17 | 70.6% |
| % | 47.1 | 23.5 | 29.4 | 100 | |
| GIRLS 6–9 years old | |||||
| BMI (N) | 12 | 4 | 21 | 37 | 43.2% |
| % | 32.4 | 10.8 | 56.8 | 100 | |
| BSA (N) | 3 | 16 | 18 | 37 | 51.3% |
| % | 8.1 | 43.2 | 48.7 | 100 | |
| WC (N) | 3 | 7 | 4 | 14 | 71.4% |
| % | 21.4 | 50.0 | 28.6 | 100 | |
| WHtR | 5 | 4 | 5 | 14 | 64.3% |
| % | 35.7 | 28.6 | 35.7 | 100 | |
| CRS (N) | 7 | 3 | 4 | 14 | 71.4% |
| % | 50.0 | 21.4 | 28.6 | 100 | |
| GIRLS 10–12 years old | |||||
| BMI (N) | 8 | 3 | 15 | 26 | 42.3% |
| % | 30.8 | 11.5 | 57.7 | 100 | |
| BSA (N) | 2 | 3 | 21 | 26 | 19.2% |
| % | 7.7 | 11.5 | 80.8 | 100 | |
| WC (N) | 1 | 4 | 3 | 8 | 62.5% |
| % | 12.5 | 50.0 | 37.5 | 100 | |
| WHtR | 4 | 0 | 4 | 8 | 50.0% |
| % | 50.0 | 0.0 | 50.0 | 100 | |
| CRS (N) | 2 | 2 | 4 | 8 | 50.0% |
| % | 25.0 | 25.0 | 50.0 | 100 | |
Disclaimer/Publisher’s Note: The statements, opinions and data contained in all publications are solely those of the individual author(s) and contributor(s) and not of MDPI and/or the editor(s). MDPI and/or the editor(s) disclaim responsibility for any injury to people or property resulting from any ideas, methods, instructions or products referred to in the content. |
© 2024 by the authors. Licensee MDPI, Basel, Switzerland. This article is an open access article distributed under the terms and conditions of the Creative Commons Attribution (CC BY) license (https://creativecommons.org/licenses/by/4.0/).
Share and Cite
Touali, R.; Allisse, M.; Zerouaoui, J.; Chakir, E.M.; Gagnon, D.; Bui, H.T.; Leone, M. Anthropometric Profile, Overweight/Obesity Prevalence, and Socioeconomic Impact in Moroccan Children Aged 6–12 Years Old with Autism Spectrum Disorder. Int. J. Environ. Res. Public Health 2024, 21, 672. https://doi.org/10.3390/ijerph21060672
Touali R, Allisse M, Zerouaoui J, Chakir EM, Gagnon D, Bui HT, Leone M. Anthropometric Profile, Overweight/Obesity Prevalence, and Socioeconomic Impact in Moroccan Children Aged 6–12 Years Old with Autism Spectrum Disorder. International Journal of Environmental Research and Public Health. 2024; 21(6):672. https://doi.org/10.3390/ijerph21060672
Chicago/Turabian StyleTouali, Rachid, Maxime Allisse, Jamal Zerouaoui, El Mahjoub Chakir, Dominic Gagnon, Hung Tien Bui, and Mario Leone. 2024. "Anthropometric Profile, Overweight/Obesity Prevalence, and Socioeconomic Impact in Moroccan Children Aged 6–12 Years Old with Autism Spectrum Disorder" International Journal of Environmental Research and Public Health 21, no. 6: 672. https://doi.org/10.3390/ijerph21060672
APA StyleTouali, R., Allisse, M., Zerouaoui, J., Chakir, E. M., Gagnon, D., Bui, H. T., & Leone, M. (2024). Anthropometric Profile, Overweight/Obesity Prevalence, and Socioeconomic Impact in Moroccan Children Aged 6–12 Years Old with Autism Spectrum Disorder. International Journal of Environmental Research and Public Health, 21(6), 672. https://doi.org/10.3390/ijerph21060672

