The Effects of Prescribed Physical and Cognitive Exercise on Life Satisfaction, Self-Efficacy and Mood States in Adults with Down Syndrome: The MinDSets Study
Abstract
1. Introduction
2. Materials and Methods
2.1. Study Design
2.2. Participants
2.3. Measurements
2.4. Data Acquisition
2.5. Statistical Analysis
3. Results
3.1. Satisfaction with Life Scale and Generalised Self-Efficacy Scale Questionnaires
3.2. Profile of Mood States Questionnaire
3.2.1. Overall Group Responses for POMS Outcomes over Time
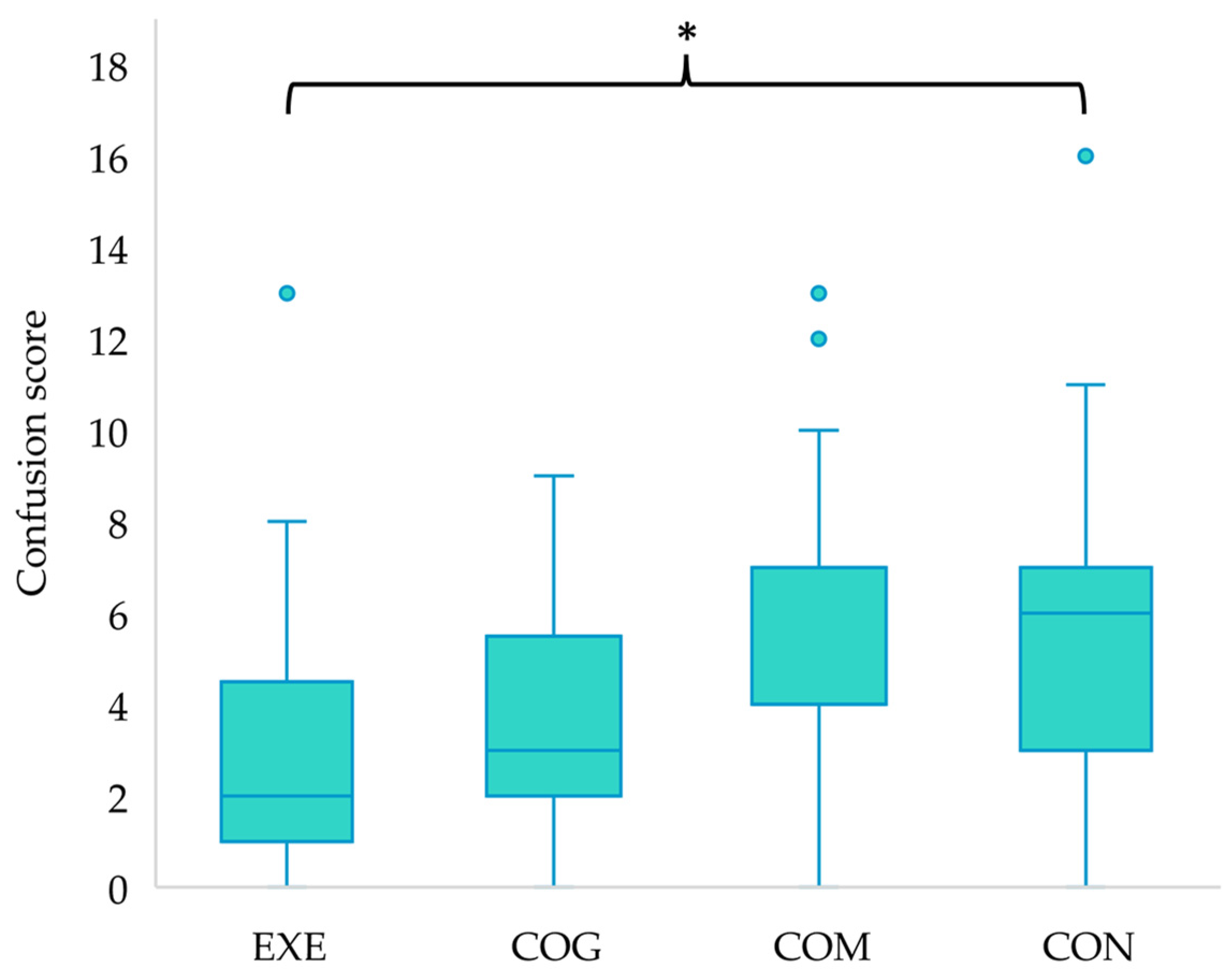
3.2.2. Between Group Differences for POMS Outcomes
3.2.3. Within Group Differences for POMS Outcomes over Time
3.3. Correlational Analysis
4. Discussion
4.1. Life Satisfaction and Self-Efficacy
4.2. Between Group Findings for POMS Outcomes
4.3. Within Group Findings for POMS Outcomes
4.4. Limitations and Future Research
5. Conclusions
Author Contributions
Funding
Institutional Review Board Statement
Informed Consent Statement
Data Availability Statement
Acknowledgments
Conflicts of Interest
Appendix A





References
- Presson, A.P.; Partyka, G.; Jensen, K.M.; Devine, O.J.; Rasmussen, S.A.; McCabe, L.L.; McCabe, E.R. Current estimate of Down syndrome population prevalence in the United States. J. Pediatr. 2013, 163, 1163–1168. [Google Scholar] [CrossRef]
- Irving, C.; Basu, A.; Richmond, S.; Burn, J.; Wren, C. Twenty-year trends in prevalence and survival of Down syndrome. Eur. J. Hum. Genet. 2008, 16, 1336–1340. [Google Scholar] [CrossRef]
- Grieco, J.; Pulsifer, M.; Seligsohn, K.; Skotko, B.; Schwartz, A. Down syndrome: Cognitive and behavioral functioning across the lifespan. Am. J. Med. Genet. Part C Semin. Med. Genet. 2015, 169, 135–149. [Google Scholar] [CrossRef]
- Fernhall, B.O.; Mendonca, G.V.; Baynard, T. Reduced work capacity in individuals with Down syndrome: A consequence of autonomic dysfunction? Exerc. Sport Sci. Rev. 2013, 41, 138–147. [Google Scholar] [CrossRef]
- Izquierdo-Gómez, R.; Martínez-Gómez, D.; Fernhall, B.; Sanz, A.; Veiga, Ó.L. The role of fatness on physical fitness in adolescents with and without Down syndrome: The UP&DOWN study. Int. J. Obes. 2016, 40, 22–27. [Google Scholar] [CrossRef]
- Pereira, K.; Basso, R.P.; Lindquist, A.R.R.; Da Silva, L.G.P.; Tudella, E. Infants with Down syndrome: Percentage and age for acquisition of gross motor skills. Res. Dev. Disabil. 2013, 34, 894–901. [Google Scholar] [CrossRef]
- Ram, G.; Chinen, J. Infections and immunodeficiency in Down syndrome. Clin. Exp. Immunol. 2011, 164, 9–16. [Google Scholar] [CrossRef]
- Cooney, T.P.; Thurlbeck, W.M. Pulmonary hypoplasia in Down’s syndrome. N. Engl. J. Med. 1982, 307, 1170–1173. [Google Scholar] [CrossRef]
- Merzbach, V.; Ferrandino, M.; Gernigon, M.; Marques Pinto, J.; Scruton, A.; Gordon, D. Impact of Prescribed Exercise on the Physical and Cognitive Health of Adults with Down Syndrome: The MinDSets Study. Int. J. Environ. Res. Public Health 2023, 20, 7121. [Google Scholar] [CrossRef]
- Sideropoulos, V.; Kye, H.; Dukes, D.; Samson, A.C.; Palikara, O.; van Herwegen, J. Anxiety and Worries of Individuals with Down Syndrome During the COVID-19 Pandemic: A Comparative Study in the UK. J. Autism Dev. Disord. 2023, 53, 2021–2036. [Google Scholar] [CrossRef]
- Faragher, R. Hypothesis of developmental dyscalculia and down syndrome: Implications for mathematics education. In 40 Years on: We Are Still Learning! Proceedings of the 40th Annual Conference of the Mathematics Education Research Group of Australasia (MERGA), Melbourne, Victoria, Australia, 2–6 July 2017; Downton, A., Livy, S., Hall, J., Eds.; Mathematics Education Research Group of Australasia: Victoria, Australia, 2017; pp. 245–252. [Google Scholar]
- Will, E.A.; Daunhauer, L.A.; Fidler, D.J.; Raitano Lee, N.; Rosenberg, C.R.; Hepburn, S.L. Sensory processing and maladaptive behavior: Profiles within the Down Syndrome phenotype. Phys. Occup. Ther. Pediatr. 2019, 39, 461–476. [Google Scholar] [CrossRef]
- Barisnikov, K.; Lejeune, F. Social knowledge and social reasoning abilities in a neurotypical population and in children with Down syndrome. PLoS ONE 2018, 13, e0200932. [Google Scholar] [CrossRef]
- Esposito, P.E.; MacDonald, M.; Hornyak, J.E.; Ulrich, D.A. Physical activity patterns of youth with Down syndrome. Int. J. Dev. Disabil. 2012, 50, 109–119. [Google Scholar] [CrossRef]
- Oreskovic, N.M.; Cottrell, C.; Torres, A.; Patsiogiannis, V.; Santoro, S.; Nichols, D.; Moore, C.; Skotko, B.G. Physical activity patterns in adults with Down Syndrome. J. Appl. Res. Intellect. Disabil. 2020, 33, 1457–1464. [Google Scholar] [CrossRef]
- Bull, F.C.; Al-Ansari, S.S.; Biddle, S.; Borodulin, K.; Buman, M.P.; Cardon, G.; Carty, C.; Chaput, J.P.; Chastin, S.; Chou, R.; et al. World Health Organization 2020 guidelines on physical activity and sedentary behaviour. Br. J. Sports Med. 2020, 54, 1451–1462. [Google Scholar] [CrossRef]
- Ehrman, J.K.; American College of Sports Medicine. ACSM’s Resources Manual for Guidelines for Exercise Testing and Prescription, 6th ed.; Lippincott Williams & Wilkins: Philadelphia, PA, USA, 2017; pp. 710–714. ISBN 978-0-7817-6906-8. [Google Scholar]
- Department of Health and Social Care. Start Active, Stay Active: Report on Physical Activity in the UK. Available online: https://www.gov.uk/government/publications/start-active-stay-active-a-report-on-physical-activity-from-the-four-home-countries-chief-medical-officers (accessed on 24 April 2024).
- Schuch, F.B.; Vancampfort, D.; Firth, J.; Rosenbaum, S.; Ward, P.B.; Silva, E.S.; Hallgren, M.; Ponce De Leon, A.; Dunn, A.L.; Deslandes, A.C.; et al. Physical activity and incident depression: A meta-analysis of prospective cohort studies. Am. J. Psychiatry 2018, 175, 631–648. [Google Scholar] [CrossRef]
- Erickson, K.I.; Creswell, J.D.; Verstynen, T.D.; Gianaros, P.J. Health neuroscience: Defining a new field. Curr. Dir. Psychol. Sci. 2014, 23, 446–453. [Google Scholar] [CrossRef]
- Stillman, C.M.; Erickson, K.I. Physical activity as a model for health neuroscience. Ann. N. Y. Acad. Sci. 2018, 1428, 103–111. [Google Scholar] [CrossRef]
- Audiffren, M.; André, N. The exercise–cognition relationship: A virtuous circle. J. Sport Health Sci. 2019, 8, 339–347. [Google Scholar] [CrossRef] [PubMed]
- Boat, R.; Cooper, S.B. Self-control and exercise: A review of the bi-directional relationship. Brain Plast. 2019, 5, 97–104. [Google Scholar] [CrossRef]
- Heller, T.; Hsieh, K.; Rimmer, J.H. Attitudinal and psychosocial outcomes of a fitness and health education program on adults with Down syndrome. Am. J. Ment. Retard. 2004, 109, 175–185. [Google Scholar] [CrossRef] [PubMed]
- Momeni, M.; Taheri, H.R. The effect of Special Olympics programs on Down syndrome people’s self-efficacy. Arch. Rehabil. 2013, 13, 100–107. [Google Scholar]
- Skotko, B.G.; Levine, S.P.; Goldstein, R. Self-perceptions from people with Down syndrome. Am. J. Med. Genet. Part A 2011, 155, 2360–2369. [Google Scholar] [CrossRef] [PubMed]
- Andriolo, R.B.; El Dib, R.; Ramos, L.; Atallah, Á.N.; da Silva, E.M. Aerobic exercise training programmes for improving physical and psychosocial health in adults with Down syndrome. Cochrane Database Syst. Rev. 2005, 3, CD005176. [Google Scholar] [CrossRef] [PubMed]
- World Medical Association. World Medical Association Declaration of Helsinki: Ethical principles for medical research involving human subjects. JAMA 2013, 310, 2191–2194. [Google Scholar] [CrossRef]
- Anagnostopoulou, A.; Styliadis, C.; Kartsidis, P.; Romanopoulou, E.; Zilidou, V.; Karali, C.; Karagianni, M.; Klados, M.; Paraskevopoulos, E.; Bamidis, P.D. Computerized physical and cognitive training improves the functional architecture of the brain in adults with Down syndrome: A network science EEG study. Netw. Neurosci. 2021, 5, 274–294. [Google Scholar] [CrossRef] [PubMed]
- Stoet, G. PsyToolkit: A software package for programming psychological experiments using Linux. Behav. Res. Methods 2010, 42, 1096–1104. [Google Scholar] [CrossRef] [PubMed]
- Stoet, G. PsyToolkit: A novel web-based method for running online questionnaires and reaction-time experiments. Teach. Psychol. 2017, 44, 24–31. [Google Scholar] [CrossRef]
- Diener, E.; Emmons, R.A.; Larsen, R.J.; Griffin, S. The Satisfaction with Life Scale. J. Pers. Assess. 1985, 49, 71–75. [Google Scholar] [CrossRef]
- Schwarzer, R.; Jerusalem, M. Generalized Self-Efficacy scale. In Measures in Health Psychology: A User’s Portfolio. Causal and Control Beliefs; Weinman, J., Wright, S., Johnston, M., Eds.; NFER-NELSON: Windsor, UK, 1995; pp. 35–37. [Google Scholar]
- Scholz, U.; Dona, B.G.; Sud, S.; Schwarzer, R. Is general self-efficacy a universal construct? Psychometric findings from 25 countries. Eur. J. Psychol. Assess. 2002, 18, 242–251. [Google Scholar] [CrossRef]
- Chen, C.C.; Hunt, L.M.; Ringenbach, S.D.R. Exploring Associations with 6-MinuteWalk Test Performance in Adolescents and Young Adults with Down Syndrome: A Pilot Study. J. Dev. Phys. Disabil. 2018, 30, 783–792. [Google Scholar] [CrossRef]
- Kuesten, C.; Bi, J.; Meiselman, H.L. Analyzing consumers’ Profile of Mood States (POMS) data using the proportional odds model (POM) for clustered or repeated observations and R package ‘repolr’. Food Qual. Prefer. 2017, 61, 38–49. [Google Scholar] [CrossRef]
- Kaczmarek, L.D.; Bujacz, A.; Eid, M. Comparative latent state–trait analysis of satisfaction with life measures: The Steen Happiness Index and the Satisfaction with Life Scale. J. Happiness Stud. 2015, 16, 443–453. [Google Scholar] [CrossRef]
- Eid, M.; Diener, E. Global judgments of subjective well-being: Situational variability and long-term stability. Soc. Indic. Res. 2004, 65, 245–277. [Google Scholar] [CrossRef]
- Deci, E.L.; Ryan, R.M. Self-determination theory: A macrotheory of human motivation, development, and health. Can. Psychol. 2008, 49, 182. [Google Scholar] [CrossRef]
- Buecker, S.; Simacek, T.; Ingwersen, B.; Terwiel, S.; Simonsmeier, B.A. Physical activity and subjective well-being in healthy individuals: A meta-analytic review. Health Psychol. Rev. 2021, 15, 574–592. [Google Scholar] [CrossRef] [PubMed]
- Legey, S.; Aquino, F.; Lamego, M.K.; Paes, F.; Nardi, A.E.; Neto, G.M.; Mura, G.; Sancassiani, F.; Rocha, N.; Murillo-Rodriguez, E.; et al. Relationship among physical activity level, mood and anxiety states and quality of life in physical education students. Clin. Pract. Epidemiol. Ment. Health 2017, 13, 82–91. [Google Scholar] [CrossRef]
- Yang, G.S.; Eun, Y.; Moon, G.H.; Lee, S.K. The effects of a progressive lower-extremity exercise program on pain, self-efficacy of exercise, and life satisfaction among older women with total knee replacement arthroplasty (TKRA). J. Muscle Joint Health 2014, 21, 215–223. [Google Scholar] [CrossRef][Green Version]
- Neupert, S.D.; Lachman, M.E.; Whitbourne, S.B. Exercise self-efficacy and control beliefs: Effects on exercise behavior after an exercise intervention for older adults. J. Aging Phys. Act. 2009, 17, 1–16. [Google Scholar] [CrossRef]
- Vurgun, N. Effects of regular aerobic exercise on physical characteristics, body image satisfaction and self-efficacy of middle-aged women. S. Afr. J. Res. Sport Phys. Educ. Recreat. 2015, 37, 151–163. [Google Scholar]
- Hardee, J.P.; Fetters, L. The effect of exercise intervention on daily life activities and social participation in individuals with Down syndrome: A systematic review. Res. Dev. Disabil. 2017, 62, 81–103. [Google Scholar] [CrossRef] [PubMed]
- Shields, N.; Taylor, N.F. The feasibility of a physical activity program for young adults with Down syndrome: A phase II randomised controlled trial. J. Intellect. Dev. Disabil. 2015, 40, 115–125. [Google Scholar] [CrossRef]
- Vella, S.A.; Sutcliffe, J.T.; Fernandez, D.; Liddelow, C.; Aidman, E.; Teychenne, M.; Smith, J.J.; Swann, C.; Rosenbaum, S.; White, R.L.; et al. Context matters: A review of reviews examining the effects of contextual factors in physical activity interventions on mental health and wellbeing. Ment. Health Phys. Act. 2023, 25, 100520. [Google Scholar] [CrossRef]
- Lista, I.; Sorrentino, G. Biological mechanisms of physical activity in preventing cognitive decline. Cell. Mol. Neurobiol. 2010, 30, 493–503. [Google Scholar] [CrossRef] [PubMed]
- Cooney, G.M.; Dwan, K.; Greig, C.A.; Lawlor, D.A.; Rimer, J.; Waugh, F.R.; McMurdo, M.; Mead, G.E. Exercise for depression. Cochrane Database Syst. Rev. 2013, 9, CD004366. [Google Scholar] [CrossRef] [PubMed]
- Marques, A.; Marconcin, P.; Werneck, A.O.; Ferrari, G.; Gouveia, É.R.; Kliegel, M.; Peralta, M.; Ihle, A. Bidirectional association between physical activity and dopamine across adulthood—A systematic review. Brain Sci. 2021, 11, 829. [Google Scholar] [CrossRef] [PubMed]
- Ekkekakis, P.; Hall, E.E.; Petruzzello, S.J. Variation and homogeneity in affective responses to physical activity of varying intensities: An alternative perspective on dose–response based on evolutionary considerations. J. Sports Sci. 2005, 23, 477–500. [Google Scholar] [CrossRef] [PubMed]
- Ekkekakis, P.; Acevedo, E.O. Affective Responses to Acute Exercise: Toward a Psychobiological Dose-Response Model. In Psychobiology of Physical Activity; Acevedo, E.O., Ekkekakis, P., Eds.; Human Kinetics: Champaign, IL, USA, 2006; pp. 91–109. ISBN 0-7360-5563-3. [Google Scholar]
- Stevens, M.; Lieschke, J.; Cruwys, T.; Cárdenas, D.; Platow, M.J.; Reynolds, K.J. Better together: How group-based physical activity protects against depression. Soc. Sci. Med. 2021, 286, 114337. [Google Scholar] [CrossRef] [PubMed]
- Berger, B.G.; Motl, R.W. Exercise and mood: A selective review and synthesis of research employing the profile of mood states. J. Appl. Sport Psychol. 2000, 12, 69–92. [Google Scholar] [CrossRef]
- Steptoe, A.; Edwards, S.; Moses, J.; Mathews, A. The effects of exercise training on mood and perceived coping ability in anxious adults from the general population. J. Psychosom. Res. 1989, 33, 537–547. [Google Scholar] [CrossRef]
- Monteiro-Junior, R.S.; da Silva Figueiredo, L.F.; Maciel-Pinheiro, P.D.T.; Abud, E.L.R.; Braga, A.E.M.M.; Barca, M.L.; Engedal, K.; Nascimento, O.J.M.; Deslandes, A.C.; Laks, J. Acute effects of exergames on cognitive function of institutionalized older persons: A single-blinded, randomized and controlled pilot study. Aging Clin. Exp. R. 2017, 29, 387–394. [Google Scholar] [CrossRef]
- Wright, K.A.; Everson-Hock, E.S.; Taylor, A.H. The effects of physical activity on physical and mental health among individuals with bipolar disorder: A systematic review. Ment. Health Phys. Act. 2009, 2, 86–94. [Google Scholar] [CrossRef]
- Ensari, I.; Sandroff, B.M.; Motl, R.W. Effects of single bouts of walking exercise and yoga on acute mood symptoms in people with multiple sclerosis. Int. J. MS Care. 2016, 18, 1–8. [Google Scholar] [CrossRef]
- Ng, F.; Dodd, S.; Jacka, F.N.; Leslie, E.; Berk, M. Effects of a walking program in the psychiatric in-patient treatment setting: A cohort study. Health Promot. J. Austr. 2007, 18, 39–42. [Google Scholar] [CrossRef]
- Nguyen, L.; Murphy, K.; Andrews, G. A game a day keeps cognitive decline away? A systematic review and meta-analysis of commercially-available brain training programs in healthy and cognitively impaired older adults. Neuropsychol. Rev. 2022, 32, 601–630. [Google Scholar] [CrossRef]
- Anderson, S.; White-Schwoch, T.; Parbery-Clark, A.; Kraus, N. Reversal of age-related neural timing delays with training. Proc. Natl. Acad. Sci. USA 2013, 110, 4357–4362. [Google Scholar] [CrossRef]
- Hudak, E.M.; Edwards, J.D.; Andel, R.; Lister, J.J.; McEvoy, C.L.; Ruva, C.L. The comparative effects of two cognitive interventions among older adults residing in retirement communities. J. Cogn. Enhanc. 2019, 3, 349–358. [Google Scholar] [CrossRef]
- Knoefel, F.; Gaudet, C.; Zunini, R.L.; Breau, M.; Sweet, L.; Wallace, B.; Goubran, R.; Taler, V. Implementation of a brain training pilot study for people with mild cognitive impairment. Can. J. Geriatr. 2018, 21, 264. [Google Scholar] [CrossRef]
- Goghari, V.M.; Lawlor-Savage, L. Self-perceived benefits of cognitive training in healthy older adults. Front. Aging Neurosci. 2018, 10, 112. [Google Scholar] [CrossRef]
- Bennett, S.J.; Holmes, J.; Buckley, S. Computerized memory training leads to sustained improvement in visuospatial short-term memory skills in children with Down syndrome. Am. J. Intellect. Dev. Disabil. 2013, 118, 179–192. [Google Scholar] [CrossRef]
- Routledge, K.M.; Williams, L.M.; Harris, A.W.; Schofield, P.R.; Gatt, J.M. The impact of online brain training exercises on experiences of depression, anxiety and emotional wellbeing in a twin sample. J. Psychiatr. R. 2021, 134, 138–149. [Google Scholar] [CrossRef]
- Arent, S.; Landers, M.; Etnier, J. The effects of exercise on mood in older adults: A meta-analytic. J. Aging Phys. Act. 2000, 8, 407–430. [Google Scholar] [CrossRef]
- Bourke, M.; Patten, R.K.; Klamert, L.; Klepac, B.; Dash, S.; Pascoe, M.C. The acute affective response to physical activity in people with depression: A meta-analysis. J. Affect. Disord. 2022, 311, 353–363. [Google Scholar] [CrossRef]
- Reed, J.; Ones, D.S. The effect of acute aerobic exercise on positive activated affect: A meta-analysis. Psychol. Sport Exerc. 2006, 7, 477–514. [Google Scholar] [CrossRef]
- Reed, J.; Buck, S. The effect of regular aerobic exercise on positive-activated affect: A meta-analysis. Psychol. Sport Exerc. 2009, 10, 581–594. [Google Scholar] [CrossRef]
- Elkana, O.; Louzia-Timen, R.; Kodesh, E.; Levy, S.; Netz, Y. The effect of a single training session on cognition and mood in young adults–is there added value of a dual-task over a single-task paradigm? Int. J. Sport Exerc. Psychol. 2022, 20, 36–56. [Google Scholar] [CrossRef]
- Vogt, T.; Schneider, S.; Abeln, V.; Anneken, V.; Strüder, H.K. Exercise, mood and cognitive performance in intellectual disability—A neurophysiological approach. Behav. Brain Res. 2012, 226, 473–480. [Google Scholar] [CrossRef]
- Ringenbach, S.D.R.; Holzapfel, S.D.; Arnold, N.E.; Nam, K.; Lopez, C.; Chen, C.C.; Buman, M.P.; Youngstedt, S.D.; Teslevich, J.; Wallace, K.C. Assisted cycling therapy (ACT) improves adaptive behaviors in adolescents with Down syndrome. J. Dev. Phys. Disabil. 2020, 32, 535–552. [Google Scholar] [CrossRef]
- Raffegeau, T.E.; Krehbiel, L.M.; Kang, N.; Thijs, F.J.; Altmann, L.J.; Cauraugh, J.H.; Hass, C.J. A meta-analysis: Parkinson’s disease and dual-task walking. Parkinsonism Relat. Disord. 2019, 62, 28–35. [Google Scholar] [CrossRef]
- Cocchini, G.; Della Sala, S.; Logie, R.H.; Pagani, R.; Sac7co, L.; Spinnler, H. Dual task effects of walking when talking in Alzheimer’s disease. Rev. Neurol. 2004, 160, 74–80. [Google Scholar] [CrossRef]










| SWLS | GSE | |||||
|---|---|---|---|---|---|---|
| Pre | Post | Change | Pre | Post | Change | |
| Total (n = 83) | 30.1 ± 4.7 | 30.9 ± 3.9 | 0.8 ± 4.6 | 27.8 ± 5.9 | 29.7 ± 5.6 | 1.9 ± 5.2 a |
| EXE (n = 22) | 30.6 ± 4.8 | 32.1 ± 2.9 | 1.5 ± 5.0 | 30.3 ± 4.8 # | 31.2 ± 4.4 | 0.9 ± 4.9 |
| COG (n = 19) | 30.2 ± 5.4 | 30.4 ± 5.3 | 0.2 ± 5.1 | 27.6 ± 5.7 | 30.0 ± 5.8 | 2.4 ± 5.2 |
| COM (n = 21) | 30.4 ± 3.9 | 31.2 ± 3.3 | 0.9 ± 4.0 | 28.5 ± 5.2 | 30.1 ± 5.6 | 1.7 ± 5.1 |
| CON (n = 21) | 29.2 ± 4.6 | 29.9 ± 3.7 | 0.7 ± 4.6 | 24.8 ± 6.7 | 27.6 ± 6.7 | 2.8 ± 6.2 |
| Pre-Intervention | Mid-Intervention | Post-Intervention | |
|---|---|---|---|
| Tension | 4.7 ± 4.0 a | 3.5 ± 3.0 | 2.9 ± 2.9 |
| Depression | 4.8 ± 5.6 a | 3.1 ± 3.5 c | 2.5 ± 3.5 |
| Anger | 3.4 ± 4.5 a | 2.0 ± 2.6 | 1.8 ± 2.6 |
| Fatigue | 3.9 ± 4.3 a | 3.1 ± 3.2 | 2.6 ± 3.7 |
| Confusion | 6.2 ± 3.8 a,b | 4.8 ± 2.9 | 4.5 ± 3.5 |
| Vigour | 19.9 ± 6.5 | 18.2 ± 6.9 | 18.9 ± 7.2 |
| Friendliness | 20.3 ± 4.9 b | 19.0 ± 5.6 | 19.1 ± 6.1 |
| TMD | 3.1 ± 21.0 a | −1.7 ± 15.4 c | −4.6 ± 15.9 |
Disclaimer/Publisher’s Note: The statements, opinions and data contained in all publications are solely those of the individual author(s) and contributor(s) and not of MDPI and/or the editor(s). MDPI and/or the editor(s) disclaim responsibility for any injury to people or property resulting from any ideas, methods, instructions or products referred to in the content. |
© 2024 by the authors. Licensee MDPI, Basel, Switzerland. This article is an open access article distributed under the terms and conditions of the Creative Commons Attribution (CC BY) license (https://creativecommons.org/licenses/by/4.0/).
Share and Cite
Merzbach, V.; Jewiss, M.; Scruton, A.; Gordon, D. The Effects of Prescribed Physical and Cognitive Exercise on Life Satisfaction, Self-Efficacy and Mood States in Adults with Down Syndrome: The MinDSets Study. Int. J. Environ. Res. Public Health 2024, 21, 610. https://doi.org/10.3390/ijerph21050610
Merzbach V, Jewiss M, Scruton A, Gordon D. The Effects of Prescribed Physical and Cognitive Exercise on Life Satisfaction, Self-Efficacy and Mood States in Adults with Down Syndrome: The MinDSets Study. International Journal of Environmental Research and Public Health. 2024; 21(5):610. https://doi.org/10.3390/ijerph21050610
Chicago/Turabian StyleMerzbach, Viviane, Matthew Jewiss, Adrian Scruton, and Dan Gordon. 2024. "The Effects of Prescribed Physical and Cognitive Exercise on Life Satisfaction, Self-Efficacy and Mood States in Adults with Down Syndrome: The MinDSets Study" International Journal of Environmental Research and Public Health 21, no. 5: 610. https://doi.org/10.3390/ijerph21050610
APA StyleMerzbach, V., Jewiss, M., Scruton, A., & Gordon, D. (2024). The Effects of Prescribed Physical and Cognitive Exercise on Life Satisfaction, Self-Efficacy and Mood States in Adults with Down Syndrome: The MinDSets Study. International Journal of Environmental Research and Public Health, 21(5), 610. https://doi.org/10.3390/ijerph21050610

