The Demographic Variation in Nutrition Knowledge and Relationship with Eating Attitudes among Chinese University Students
Abstract
1. Introduction
2. Methods
2.1. Questionnaire Selection and Translation
2.2. Participant and Sample Size
2.3. Statistical Analysis
2.3.1. Quantitative Research
2.3.2. Random Forest (RF) with Machine Learning (ML)
3. Results
3.1. Demographic Characteristics of University Students
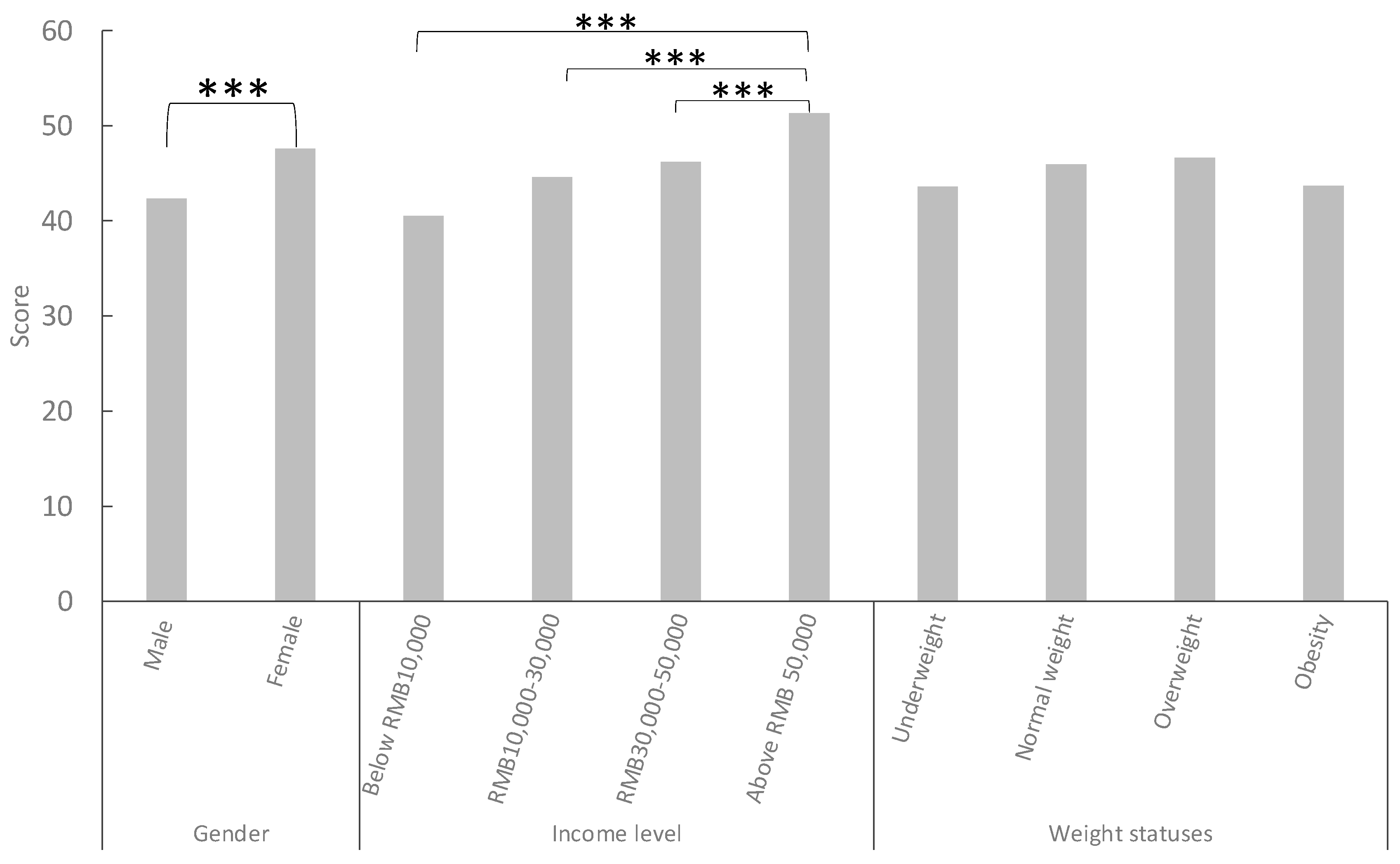
3.2. Difference in GNKQ Overall Scores
3.3. Nutrition Knowledge and Eating Attitudes
3.3.1. Analysis of the Correlation between the Level of Nutritional Knowledge and Eating Attitudes
3.3.2. Machine Learning Analysis among the Impact of Different Features on Eating Attitudes
4. Discussion
4.1. Demographic Characteristics of University Students
4.2. Demographic Differences in Nutritional Knowledge
4.3. Nutrition Knowledge and Eating Attitudes
4.4. Implications and Conclusions
4.5. Limitations and Suggestions for Future Research
Author Contributions
Funding
Institutional Review Board Statement
Informed Consent Statement
Data Availability Statement
Acknowledgments
Conflicts of Interest
References
- Liao, L.-L.; Lai, I.-J.; Chang, L.-C. Nutrition Literacy Is Associated with Healthy-Eating Behaviour among College Students in Taiwan. Health Educ. J. 2019, 78, 756–769. [Google Scholar] [CrossRef]
- Hafiz, A.A.; Gallagher, A.M.; Devine, L.; Hill, A.J. University Student Practices and Perceptions on Eating Behaviours Whilst Living Away from Home. Int. J. Educ. Res. 2023, 117, 102133. [Google Scholar] [CrossRef]
- Elhassan, M.R.; Gamal, H.E.; Mohammed, G.S. Nutrition Knowledge Attitude and Practices among Students of Ahfad University for Women. Indian J. Sci. Res. 2013, 4, 25–34. [Google Scholar]
- Jezewska-Zychowicz, M.; Plichta, M. Diet Quality, Dieting, Attitudes and Nutrition Knowledge: Their Relationship in Polish Young Adults—A Cross-Sectional Study. Int. J. Environ. Res. Public Health 2022, 19, 6533. [Google Scholar] [CrossRef]
- Dlamini, S.N.; Mtintsilana, A.; Mapanga, W.; Craig, A.; Norris, S.A. Associations between Nutrition Knowledge and Obesity-Related Attitudes and Physical Activity among Young Adults from Kenya, South Africa, and the United Kingdom. S. Afr. J. Clin. Nutr. 2023, 1–14. [Google Scholar] [CrossRef]
- Xazela, N.; Chinyamurindi, W.; Shava, H. The Relationship between Healthy Eating Attitudes and Nutritional Knowledge among Young Consumers. J. Fam. Ecol. Consum. Sci. 2020, 5, 67–77. [Google Scholar]
- Turner, A.; LaMonica, H.M.; Moroney, C.; O’Leary, F.; Naismith, S.L.; Flood, V.M. Knowledge, Attitudes, and Behaviours Concerning the Mediterranean Diet Among Older Adults in Australia. J. Community Health 2023, 48, 951–962. [Google Scholar] [CrossRef]
- Hao, M.; Yang, J.; Xu, S.; Yan, W.; Yu, H.; Wang, Q. The Relationship between Body Dissatisfaction, Lifestyle, and Nutritional Status among University Students in Southern China. BMC Psychiatry 2023, 23, 705. [Google Scholar] [CrossRef]
- Jiang, S.; Peng, S.; Yang, T.; Cottrell, R.R.; Li, L. Overweight and Obesity Among Chinese College Students: An Exploration of Gender as Related to External Environmental Influences. Am. J. Mens Health 2018, 12, 926–934. [Google Scholar] [CrossRef]
- Fautsch Macías, Y.; Glasauer, P. Guidelines for Assessing Nutrition-Related Knowledge, Attitudes and Practices: KAP Manual; FAO: Rome, Italy, 2014; ISBN 978-92-5-108097-9. [Google Scholar]
- Bernard, S.C. Impact of Nutrition Education on Future Healthcare Provider Content Knowledge, Attitudes, and Self-Efficacy regarding Nutrition Counseling. Ph.D. Thesis, Shenandoah University, Winchester, VA, USA, 2021. [Google Scholar]
- Food & Agriculture Organization. World Health Organization Sustainable Healthy Diets: Guiding Principles; Food & Agriculture Organization: Rome, Italy, 2019. [Google Scholar]
- Martinon, P.; Fraticelli, L.; Giboreau, A.; Dussart, C.; Bourgeois, D.; Carrouel, F. Nutrition as a Key Modifiable Factor for Periodontitis and Main Chronic Diseases. J. Clin. Med. 2021, 10, 197. [Google Scholar] [CrossRef] [PubMed]
- Harrer, M.; Adam, S.H.; Messner, E.-M.; Baumeister, H.; Cuijpers, P.; Bruffaerts, R.; Auerbach, R.P.; Kessler, R.C.; Jacobi, C.; Taylor, C.B. Prevention of Eating Disorders at Universities: A Systematic Review and Meta-Analysis. Int. J. Eat. Disord. 2020, 53, 813–833. [Google Scholar] [CrossRef] [PubMed]
- Centers for Disease Control and Prevention Obesity Data and Statistics. Available online: https://www.cdc.gov/obesity/data/index.html (accessed on 5 March 2023).
- World Health Organization. Global Health Observatory Data Repository. Available online: https://www.who.int/data/gho/data/indicators (accessed on 3 March 2023).
- Schmidt, U.; Adan, R.; Böhm, I.; Campbell, I.C.; Dingemans, A.; Ehrlich, S.; Elzakkers, I.; Favaro, A.; Giel, K.; Harrison, A. Eating Disorders: The Big Issue. Lancet Psychiatry 2016, 3, 313–315. [Google Scholar] [CrossRef]
- Harrison, A.N.; James Bateman, C.C.B.; Younger-Coleman, N.O.M.; Williams, M.C.; Rocke, K.D.; Clato-Day Scarlett, S.C.; Chang, S.M. Disordered Eating Behaviours and Attitudes among Adolescents in a Middle-Income Country. Eat. Weight Disord. 2020, 25, 1727–1737. [Google Scholar] [CrossRef]
- Duan, W.; Ding, Q.; Peng, S.; Kang, Q.; Guo, L.; Zhang, L.; Wei, Y.; Xiao, Z.; Fan, J.; Chen, J. Chinese University Students Showed Less Disordered Eating during the COVID-19 Campus Lockdown. Eat. Weight Disord.-Stud. Anorex. Bulim. Obes. 2023, 28, 47. [Google Scholar] [CrossRef]
- Galmiche, M.; Déchelotte, P.; Lambert, G.; Tavolacci, M.P. Prevalence of Eating Disorders over the 2000–2018 Period: A Systematic Literature Review. Am. J. Clin. Nutr. 2019, 109, 1402–1413. [Google Scholar] [CrossRef]
- Yan, H.; Wu, Y.; Oniffrey, T.; Brinkley, J.; Zhang, R.; Zhang, X.; Wang, Y.; Chen, G.; Li, R.; Moore, J. Body Weight Misperception and Its Association with Unhealthy Eating Behaviors among Adolescents in China. Int. J. Environ. Res. Public Health 2018, 15, 936. [Google Scholar] [CrossRef]
- Parmenter, K.; Wardle, J. Development of a General Nutrition Knowledge Questionnaire for Adults. Eur. J. Clin. Nutr. 1999, 53, 298–308. [Google Scholar] [CrossRef]
- Gao, Z.; Wu, F.; Lv, G.; Zhuang, X.; Ma, G. Development and Validity of a General Nutrition Knowledge Questionnaire (Gnkq) for Chinese Adults. Nutrients 2021, 13, 4353. [Google Scholar] [CrossRef]
- Chinese Nutrition Association. Chinese Dietary Guidelines (2016); People’s Health Press: Beijing, China, 2016. [Google Scholar]
- Garner, D.M.; Olmsted, M.P.; Bohr, Y.; Garfinkel, P.E. The Eating Attitudes Test: Psychometric Features and Clinical Correlates. Psychol. Med. 1982, 12, 871–878. [Google Scholar] [CrossRef]
- SPSS, IBM. IBM SPSS Statistics for Windows, Version 20.0; IBM SPSS: Armonk, NY, USA, 2013. [Google Scholar]
- Hardy, R.; Kliemann, N.; Dahlberg, P.; Bode, A.; Monroe, E.; Brand, J. The Relationship Between Energy Drink Consumption, Caffeine Content, and Nutritional Knowledge Among College Students. J. Prim. Prev. 2021, 42, 297–308. [Google Scholar] [CrossRef] [PubMed]
- Hendrie, G.A.; Coveney, J.; Cox, D. Exploring Nutrition Knowledge and the Demographic Variation in Knowledge Levels in an Australian Community Sample. Public Health Nutr. 2008, 11, 1365–1371. [Google Scholar] [CrossRef] [PubMed]
- Parmenter, K.; Waller, J.; Wardle, J. Demographic Variation in Nutrition Knowledge in England. Health Educ. Res. 2000, 15, 163–174. [Google Scholar] [CrossRef]
- Mason, T.B.; Lewis, R.J. Assessing the Roles of Impulsivity, Food-Related Cognitions, BMI, and Demographics in the Dual Pathway Model of Binge Eating among Men and Women. Eat. Behav. 2015, 18, 151–155. [Google Scholar] [CrossRef] [PubMed]
- Sun, Q. Predictors of Stature Concerns among Young Chinese Women and Men. Front. Psychol. 2017, 8, 1248. [Google Scholar] [CrossRef]
- Sánchez-Díaz, S.; Yanci, J.; Raya-González, J.; Scanlan, A.T.; Castillo, D. A Comparison in Physical Fitness Attributes, Physical Activity Behaviors, Nutritional Habits, and Nutritional Knowledge Between Elite Male and Female Youth Basketball Players. Front. Psychol. 2021, 12, 685203. [Google Scholar] [CrossRef] [PubMed]
- Leme, A.C.B.; Hou, S.; Fisberg, R.M.; Fisberg, M.; Haines, J. Adherence to Food-Based Dietary Guidelines: A Systemic Review of High-Income and Low- and Middle-Income Countries. Nutrients 2021, 13, 1038. [Google Scholar] [CrossRef]
- Cluss, P.A.; Ewing, L.; King, W.C.; Reis, E.C.; Dodd, J.L.; Penner, B. Nutrition Knowledge of Low-Income Parents of Obese Children. Transl. Behav. Med. 2013, 3, 218–225. [Google Scholar] [CrossRef]
- Weerasekara, P.C.; Withanachchi, C.R.; Ginigaddara, G.A.S.; Ploeger, A. Food and Nutrition-Related Knowledge, Attitudes, and Practices among Reproductive-Age Women in Marginalized Areas in Sri Lanka. Int. J. Environ. Res. Public Health 2020, 17, 3985. [Google Scholar] [CrossRef]
- Kim, J.; Lim, H. Nutritional Management in Childhood Obesity. J. Obes. Metab. Syndr. 2019, 28, 225. [Google Scholar] [CrossRef]
- O’brien, G.; Davies, M. Nutrition Knowledge and Body Mass Index. Health Educ. Res. 2007, 22, 571–575. [Google Scholar] [CrossRef]
- Chrissini, M.K.; Panagiotakos, D.B. Health Literacy as a Determinant of Childhood and Adult Obesity: A Systematic Review. Int. J. Adolesc. Med. Health 2021, 33, 9–39. [Google Scholar] [CrossRef]
- Korinth, A.; Schiess, S.; Westenhoefer, J. Eating Behaviour and Eating Disorders in Students of Nutrition Sciences. Public Health Nutr. 2010, 13, 32–37. [Google Scholar] [CrossRef] [PubMed]
- Castillo, M.; Feinstein, R.; Tsang, J.; Fisher, M. An Assessment of Basic Nutrition Knowledge of Adolescents with Eating Disorders and Their Parents. Int. J. Adolesc. Med. Health 2015, 27, 11–17. [Google Scholar] [CrossRef]




| Dimensions | Reliability (Cronbach’s a) (n = 273) | Number of Items | |
|---|---|---|---|
| EAT-26 | Diet | 0.814 | 13 |
| Bulimia and food preoccupation | 0.754 | 6 | |
| Oral control | 0.677 | 7 | |
| Total | 0.87 | 26 | |
| GNKQ | Dietary recommendations | 0.364 | 9 |
| Food sources and nutrients | 0.818 | 43 | |
| Choosing everyday foods | 0.102 | 4 | |
| Diet–disease relationships | 0.752 | 13 | |
| Total | 0.847 | 69 |
| Parameter | Value |
|---|---|
| Number of Trees | 10 |
| Maximum Depth of Tree | NULL |
| Information Gain Function | Gini Impurity |
| Method of Finding Number of Features When Looking for The Best Split | Square Root |
| Minimum Number of Samples at One Leaf Node | 8 |
| Minimum Number of Samples for Splitting an Internal Node | 9 |
| Characteristics | Overall (n = 273) | Male (n = 109) | Female (n = 164) | |||
|---|---|---|---|---|---|---|
| n | % | n | % | n | % | |
| Age | ||||||
| 18–24 y | 230 | 84.2 | 84 | 77.1 | 136 | 82.9 |
| 25–34 y | 33 | 12.1 | 14 | 12.8 | 19 | 11.6 |
| 35 y and over | 10 | 3.7 | 2 | 1.8 | 8 | 4.9 |
| Region | ||||||
| Northwest China | 40 | 14.7 | 10 | 9.2 | 30 | 18.3 |
| Northeast China | 25 | 9.2 | 9 | 8.3 | 16 | 9.8 |
| North China | 47 | 17.2 | 21 | 19.3 | 26 | 15.9 |
| South China | 34 | 12.5 | 16 | 14.7 | 18 | 11 |
| East China | 67 | 24.5 | 30 | 27.5 | 37 | 22.6 |
| Southwest China | 27 | 9.9 | 10 | 9.2 | 17 | 10.4 |
| Central China | 33 | 12.1 | 13 | 11.9 | 20 | 12.2 |
| Academic qualifications | ||||||
| Bachelor’s | 196 | 71.8 | 81 | 74.3 | 115 | 70.1 |
| Master’s | 64 | 23.4 | 20 | 18.3 | 44 | 26.8 |
| PhD | 13 | 4.8 | 8 | 7.3 | 5 | 3 |
| Family income level | ||||||
| Below RMB 10,000 | 44 | 16.1 | 23 | 21.1 | 21 | 12.8 |
| RMB 10,000–30,000 | 96 | 35.2 | 40 | 36.7 | 56 | 34.1 |
| RMB 30,000–50,000 | 92 | 33.7 | 35 | 32.1 | 57 | 34.8 |
| Above RMB 50,000 | 41 | 15 | 11 | 10.1 | 30 | 18.3 |
| BMI | ||||||
| Underweight | 49 | 17.9 | 13 | 16.5 | 36 | 25.6 |
| Normal weight | 173 | 63.3 | 61 | 57.8 | 112 | 65.9 |
| Overweight | 44 | 16.1 | 30 | 23.9 | 14 | 7.9 |
| Obesity | 7 | 2.6 | 5 | 1.8 | 2 | 0.6 |
| Knowledge Components (No. of Items) | Min | Max | Mean (%) | SD |
|---|---|---|---|---|
| Dietary recommendations (9) | 0 | 9 | 7.43 (82.56%) | 1.21 |
| Food sources and nutrients (43) | 0 | 39 | 27.72 (71.08%) | 6.59 |
| Choosing everyday foods (4) | 0 | 4 | 2.45 (61.25%) | 0.95 |
| Diet–disease relationships (13) | 0 | 13 | 7.89 (60.69%) | 2.8 |
| Overall knowledge score (69) | 12 | 60 | 45.49 (65.9%) | 8.9 |
| Variables | Overall (n = 273) (Mean ± SD) | EAT-26 | r | T | |
|---|---|---|---|---|---|
| ≥20 (n = 56) (Mean ± SD) | <20 (n = 217) (Mean ± SD) | ||||
| Dietary recommendations | 7.43 ± 1.208 | 7.04 ± 1.651 | 7.53 ± 1.045 | −0.273 *** | −2.152 * |
| Food sources and nutrients | 27.72 ± 6.593 | 26.48 ± 8.122 | 28.04 ± 6.119 | −0.06 | −1.342 |
| Choosing everyday foods | 2.45 ± 0.954 | 2.38 ± 1.071 | 2.47 ± 0.923 | −0.023 | −0.632 |
| Diet–disease relationships | 7.89 ± 2.799 | 6.91 ± 3.282 | 8.14 ± 2.61 | −0.153 * | −2.967 ** |
| Overall knowledge score | 45.49 ± 8.898 | 42.80 ± 10.87 | 46.18 ± 8.202 | −0.128 * | −2.170 * |
Disclaimer/Publisher’s Note: The statements, opinions and data contained in all publications are solely those of the individual author(s) and contributor(s) and not of MDPI and/or the editor(s). MDPI and/or the editor(s) disclaim responsibility for any injury to people or property resulting from any ideas, methods, instructions or products referred to in the content. |
© 2024 by the authors. Licensee MDPI, Basel, Switzerland. This article is an open access article distributed under the terms and conditions of the Creative Commons Attribution (CC BY) license (https://creativecommons.org/licenses/by/4.0/).
Share and Cite
Deng, W.-J.; Yi, Z.; Lee, J.C.-K. The Demographic Variation in Nutrition Knowledge and Relationship with Eating Attitudes among Chinese University Students. Int. J. Environ. Res. Public Health 2024, 21, 159. https://doi.org/10.3390/ijerph21020159
Deng W-J, Yi Z, Lee JC-K. The Demographic Variation in Nutrition Knowledge and Relationship with Eating Attitudes among Chinese University Students. International Journal of Environmental Research and Public Health. 2024; 21(2):159. https://doi.org/10.3390/ijerph21020159
Chicago/Turabian StyleDeng, Wen-Jing, Ziyue Yi, and John Chi-Kin Lee. 2024. "The Demographic Variation in Nutrition Knowledge and Relationship with Eating Attitudes among Chinese University Students" International Journal of Environmental Research and Public Health 21, no. 2: 159. https://doi.org/10.3390/ijerph21020159
APA StyleDeng, W.-J., Yi, Z., & Lee, J. C.-K. (2024). The Demographic Variation in Nutrition Knowledge and Relationship with Eating Attitudes among Chinese University Students. International Journal of Environmental Research and Public Health, 21(2), 159. https://doi.org/10.3390/ijerph21020159

