Raising Awareness for Sustainable Faecal Treatment Using Augmented Reality
Abstract
1. Introduction
2. Materials and Methods
2.1. Effectiveness of AR in Communicating Information
2.1.1. Survey Design
2.1.2. AR Interventions
2.1.3. Assessment of the Impact of the Intervention
2.2. Verification of Factors Contributing to the Effectiveness of AR
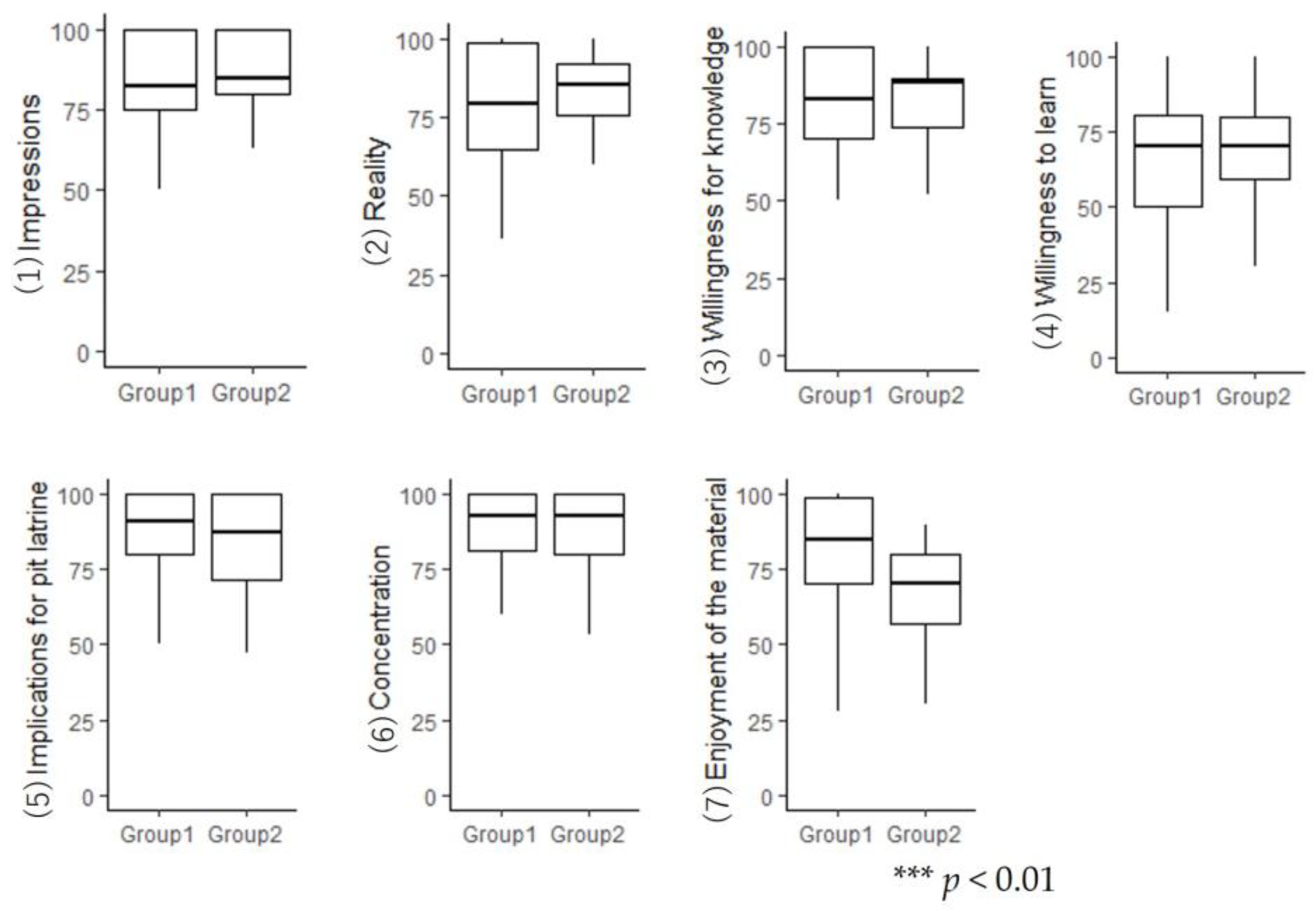
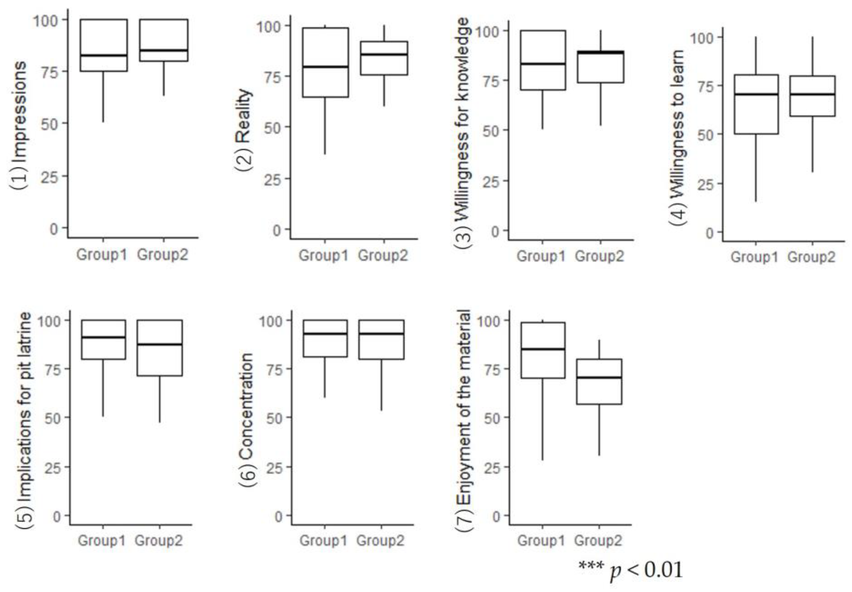
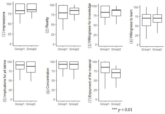
3. Results
3.1. Effectiveness of AR in Communicating Information Regarding Environmental Aspects
3.2. Verification of Factors Contributing to AR Effectiveness
4. Discussion
5. Conclusions
Supplementary Materials
Author Contributions
Funding
Institutional Review Board Statement
Informed Consent Statement
Data Availability Statement
Conflicts of Interest
References
- Odagiri, M.; Thomas, A.; Listyasari, M.; Mills, F.; Basin, R.E.S.; Muhammad, Z.; Slaymaker, T.; Mardikanto, A.; Gulton, A.; Indiyani, A.; et al. Safely managed on-site sanitation: A national assessment of sanitation services and potential fecal exposure in Indonesia. Int. J. Environ. Res. Public Health 2021, 18, 8204. [Google Scholar] [CrossRef] [PubMed]
- Kihila, J.M.; Balengayabo, J.G. Adaptable improved onsite wastewater treatment systems for urban settlements in developing countries. Cogent Environ. Sci. 2020, 6, 1823633. [Google Scholar] [CrossRef]
- Pruss-Ustun, A.; Wolf, J.; Bartram, J.; Clasen, T.; Cumming, O.; Freeman, M.C.; Gordon, B.; Hunter, P.R.; Medlicott, K.; Johnston, R. Burden of disease from inadequate water, sanitation and hygiene for selected adverse health outcomes: An updated analysis with a focus on low- and middle-income countries. Int. J. Hyg. Environ. Health 2019, 222, 765–777. [Google Scholar] [CrossRef] [PubMed]
- World Health Organization; the United Nations Children’s undF. Progress on Drinking Water, Sanitation and Hygiene: 2017 Update and SDG Baselines; World Health Organization (WHO) and the United Nations Children’s Fund (UNICEF): Geneva, Switzerland, 2017. [Google Scholar]
- Gwenzi, W.; Marumure, J.; Makuvara, Z.; Simbanegavi, T.T.; Njomou-Ngounou, E.L.; Nya, E.L.; Kaetzl, K.; Noubactep, C.; Rzymski, P. The pit latrine paradox in low-income settings: A sanitation technology of choice or a pollution hotspot? Sci. Total Environ. 2023, 879, 163179. [Google Scholar] [CrossRef]
- Odey, E.A.; Abo, B.O.; Giwa, A.S.; Li, Z. Fecal sludge management: Insights from selected cities in Sub-Saharan Africa. Arch. Environ. Prot. 2019, 45, 50–57. [Google Scholar] [CrossRef]
- Tokunaga, C.; Otaki, Y.; Honda, H.; Otaki, M. Exploration of appropriate media to influence sustainable on-site sanitation choices in Sri Lanka– visualization with still images or a video. Heliyon 2023, 9, e21209. [Google Scholar] [CrossRef]
- Azuma, R.T. A survey of augmented reality. Presence 1997, 6, 355–385. [Google Scholar] [CrossRef]
- Milgram, P.; Kishino, F. A taxonomy of mixed reality visual displays. IEICE Trans. Inf. Syst. 1994, 77, 1321–1329. [Google Scholar]
- Radu, I. Augmented reality in education: A meta-review and cross-media analysis. Pers. Ubiquitous Comput. 2014, 18, 1533–1543. [Google Scholar] [CrossRef]
- Nischelwitzer, A.; Lenz, F.-J.; Searle, G.; Holzinger, A. Some aspects of the development of low-cost augmented reality learning environments as examples for future interfaces in technology enhanced learning. In Lecture Notes in Computer Science; Springer: Berlin/Heidelberg, Germany, 2007; pp. 728–737. [Google Scholar] [CrossRef]
- Theng, Y.-L.; Lim Mei-Ling, C.; Liu, W.; Cheok, A.D. Mixed Reality Systems for Learning: A Pilot Study Understanding User Perceptions and Acceptance. Virtual Reality; Springer: Berlin/Heidelberg, Germany, 2007; pp. 728–737. [Google Scholar] [CrossRef]
- Sri Lanka Demographic and Health Survey. 2016. Available online: https://www.statistics.gov.lk/Resource/en/Health/DemographicAndHealthSurveyReport-2016-Contents.pdf (accessed on 27 March 2024).
- National Water Supply & Drainage Board, Handbook for Water Consumers. 2014. Available online: https://waterboard.lk/web/images/pdf/Con_Hnd_Book/Con_man_%20English.pdf (accessed on 27 March 2024).
- Radvansky, G.A.; Doolen, A.C.; Pettijohn, K.A.; Ritchey, M. A new look at memory retention and forgetting. J. Exp. Psychol. Learn. Mem. Cogn. 2022, 48, 1698–1723. [Google Scholar] [CrossRef]
- Morris, M.G.; Venkatesh, V. Age differences in technology adoption decisions: Implications for a changing work force. Pers. Psychol. 2000, 53, 375–403. [Google Scholar] [CrossRef]
- Peleg-Adler, R.; Lanir, J.; Korman, M. The effects of aging on the use of handheld augmented reality in a route planning task. Comput. Hum. Behav. 2018, 81, 52–62. [Google Scholar] [CrossRef]
- Bujak, K.R.; Radu, I.; Catrambone, R.; MacIntyre, B.; Zheng, R.; Golubski, G. A psychological perspective on augmented reality in the mathematics classroom. Comput. Educ. 2013, 68, 536–544. [Google Scholar] [CrossRef]
- Chen, Y.-C.; Chi, H.-L.; Hung, W.-H.; Kang, S.-C. Use of tangible and augmented reality models in engineering graphics courses. J. Prof. Issues Eng. Educ. Pract. 2011, 137, 267–276. [Google Scholar] [CrossRef]
- Alkhabra, Y.A.; Ibrahem, U.M.; Alkhabra, S.A. Augmented reality technology in enhancing learning retention and critical thinking according to STEAM program. Humanit. Soc. Sci. Commun. 2023, 10, 174. [Google Scholar] [CrossRef]
- Macchiarella, N.D.; Vincenzi, D.A. Augmented reality in a learning paradigm for flight aerospace maintenance training. In Proceedings of the 23rd Digital Avionics Systems Conference (IEEE Cat. No.04CH37576), Salt Lake City, UT, USA, 28 October 2004. [Google Scholar] [CrossRef]
- Valimont, R.B.; Gangadharan, S.; Vincenzi, D.; Majoros, A. The effectiveness of augmented reality as a facilitator of information acquisition in aviation maintenance applications. J. Aviat. /Aerosp. Educ. Res. 2007, 16, 2. [Google Scholar] [CrossRef]
- Feng, Y.; Xie, Q. Ad creativity via augmented reality technology in online video ads: The differential role of novelty, message usefulness, and ad-consumer association. J. Promot. Manag. 2019, 25, 907–933. [Google Scholar] [CrossRef]
- Yim, M.Y.; Chu, S.C.; Sauer, P.L. Is augmented reality technology an effective tool for e-commerce? An interactivity and vividness perspective. J. Interact. Mark. 2017, 39, 89–103. [Google Scholar] [CrossRef]
- Glenberg, A.M.; Brown, M.; Levin, J.R. Enhancing comprehension in small reading groups using a manipulation strategy. Contemp. Educ. Psychol. 2007, 32, 389–399. [Google Scholar] [CrossRef]
- Ginns, P. Integrating information: A meta-analysis of the spatial contiguity and temporal contiguity effects. Learn. Instr. 2006, 16, 511–525. [Google Scholar] [CrossRef]
- Jamalova, M.; Constantinovits, M.G. Smart for development: Income level as the element of smartphone diffusion. Manag. Sci. Lett. 2020, 10, 1141–1150. [Google Scholar] [CrossRef]
- Yamamoto, S. Research and issues of augmented reality/virtual reality for learning environment and educational support system. J. Educ. Syst. Inform. 2019, 36, 2. (In Japanese) [Google Scholar]
- Bacca, J.; Baldiris, S.; Fabregat, R.; Graf, S. Augmented reality trends in education: A systematic review of research and applications. J. Educ. Technol. Soc. 2014, 17, 133–149. [Google Scholar]
- Di Serio, A.; Ibanez, M.B.; Kloos, C.D. Impact of an augmented reality system on students’ motivation for a visual art course. Comput. Educ. 2013, 68, 586–596. [Google Scholar] [CrossRef]
- Schnotz, W.; Kurschner, C. A reconsideration of cognitive load theory. Educ. Psychol. Rev. 2007, 19, 469–508. [Google Scholar] [CrossRef]
- Tsai, T.H.; Chang, H.T.; Yu, M.C.; Chen, H.T.; Kuo, C.Y.; Wu, W.H. Design of a mobile augmented reality application: An example of demonstrated usability. In Universal Access in Human-Computer Interaction. Interaction Techniques and Environments; Springer: Berlin/Heidelberg, Germany, 2016; pp. 198–205. [Google Scholar] [CrossRef]
- Kim, T.H.; Im, H. Can augmented reality impact your self-perceptions? The malleability of the self and brand relationships in augmented reality try-on services. J. Consum. Behav. 2024, 23, 1623–1637. [Google Scholar] [CrossRef]
- International Water Management Institute. Assessment of the FSM Value-Chain in Sri Lanka. 2019. Available online: https://cgspace.cgiar.org/items/241831bf-6093-4568-ba77-3f83bc0fde16 (accessed on 27 November 2024).






| Variable | Age | Intervention | After_Environment | Later_Environment | ||
|---|---|---|---|---|---|---|
| Median | 95% CI | Median | 95% CI | |||
| before_environment | Younger | AR + Video | 0.217 | (−0.123)–(0.572) | 0.614 | (0.164)–(1.145) |
| Video only | 0.338 | (−0.013)–(0.732) | 0.678 | (0.235)–(1.256) | ||
| Older | AR + Video | 0.420 | (0.124)–(0.795) | 0.562 | (0.174)–(1.056) | |
| Video only | 0.473 | (0.133)–(1.044) | 0.763 | (0.319)–(1.492) | ||
| quiz | Younger | AR + Video | −0.618 | (−1.284)–(−0.053) | −0.614 | (−1.313)–(−0.057) |
| Video only | −0.577 | (−1.263)–(0.036) | −0.073 | (−0.710)–(0.650) | ||
| Older | AR + Video | −0.637 | (−1.287)–(−0.129) | −0.368 | (−0.900)–(0.160) | |
| Video only | −0.620 | (−1.337)–(−0.062) | 0.005 | (−0.663)–(0.745) | ||
| Variable | Age | Intervention | After_Environment | Later_Environment | ||
|---|---|---|---|---|---|---|
| Median | 95% CI | Median | 95% CI | |||
| before_environment | Younger | AR + Video | 0.337 | (0.013)–(0.725) | 0.292 | (−0.090)–(0.832) |
| Video only | 0.385 | (0.033)–(0.797) | 0.282 | (−0.101)–(0.683) | ||
| Older | AR + Video | 0.415 | (0.085)–(0.797) | 0.010 | (−0.364)–(0.379) | |
| Video only | 0.470 | (0.096)–(0.904) | 0.313 | (−0.077)–(0.732) | ||
| quiz | Younger | AR + Video | −0.773 | (−1.317)–(−0.219) | −0.654 | (−1.456)–(−0.063) |
| Video only | −0.742 | (−1.305)–(−0.154) | −0.202 | (−0.897)–(0.459) | ||
| Older | AR + Video | −0.695 | (−1.249)–(−0.160) | −0.197 | (−0.740)–(0.345) | |
| Video only | −0.727 | (−1.317)–(−0.125) | 0.128 | (−0.775)–(0.500) | ||
| Perspective | W | p | r |
|---|---|---|---|
| (1) Impressions regarding toilet conditions in developing countries in Asia | 404 | 0.492 | 0.13 |
| (2) Reality regarding toilet conditions in developing countries in Asia | 384 | 0.330 | 0.18 |
| (3) Receptiveness to knowledge about toilet conditions in developing countries in Asia | 458 | 0.910 | 0.02 |
| (4) Willingness to learn more about toilet conditions in developing countries in Asia | 441 | 0.899 | 0.02 |
| (5) Implications for the pit latrine system | 540 | 0.174 | 0.25 |
| (6) Concentration when viewing the material | 488 | 0.568 | 0.11 |
| (7) Enjoyment of the material | 658 | 0.002 *** | 0.56 |
Disclaimer/Publisher’s Note: The statements, opinions and data contained in all publications are solely those of the individual author(s) and contributor(s) and not of MDPI and/or the editor(s). MDPI and/or the editor(s) disclaim responsibility for any injury to people or property resulting from any ideas, methods, instructions or products referred to in the content. |
© 2024 by the authors. Licensee MDPI, Basel, Switzerland. This article is an open access article distributed under the terms and conditions of the Creative Commons Attribution (CC BY) license (https://creativecommons.org/licenses/by/4.0/).
Share and Cite
Otaki, Y.; Honda, H.; Onuki, Y.; Shinohara, G.; Otaki, M.; Chaminda, T. Raising Awareness for Sustainable Faecal Treatment Using Augmented Reality. Int. J. Environ. Res. Public Health 2024, 21, 1634. https://doi.org/10.3390/ijerph21121634
Otaki Y, Honda H, Onuki Y, Shinohara G, Otaki M, Chaminda T. Raising Awareness for Sustainable Faecal Treatment Using Augmented Reality. International Journal of Environmental Research and Public Health. 2024; 21(12):1634. https://doi.org/10.3390/ijerph21121634
Chicago/Turabian StyleOtaki, Yurina, Hidehito Honda, Yutaro Onuki, Gen Shinohara, Masahiro Otaki, and Tushara Chaminda. 2024. "Raising Awareness for Sustainable Faecal Treatment Using Augmented Reality" International Journal of Environmental Research and Public Health 21, no. 12: 1634. https://doi.org/10.3390/ijerph21121634
APA StyleOtaki, Y., Honda, H., Onuki, Y., Shinohara, G., Otaki, M., & Chaminda, T. (2024). Raising Awareness for Sustainable Faecal Treatment Using Augmented Reality. International Journal of Environmental Research and Public Health, 21(12), 1634. https://doi.org/10.3390/ijerph21121634

