Determinants of Length of Stay for Medical Inpatients Using Survival Analysis
Abstract
1. Introduction
2. Research Background
2.1. Length of Stay (LOS) Analysis
2.2. Survival Analysis
3. Methodology
3.1. Comprehensive Framework
3.2. Data
3.3. Data Preprecessing
4. Results
4.1. General Characteristics of Study Subjects
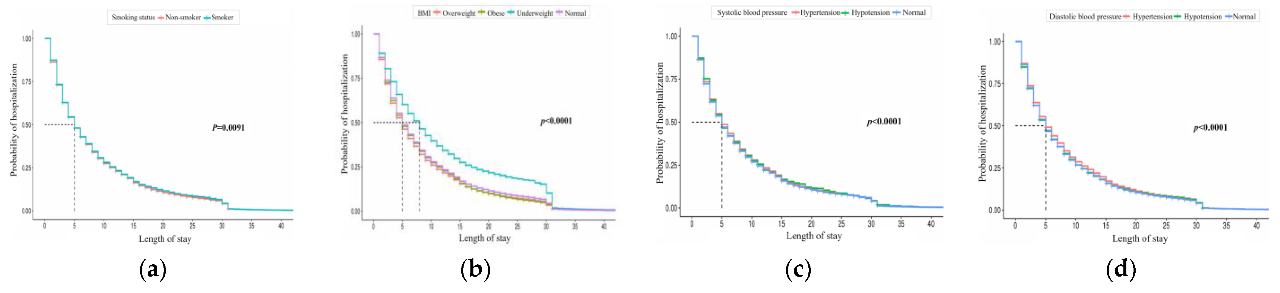
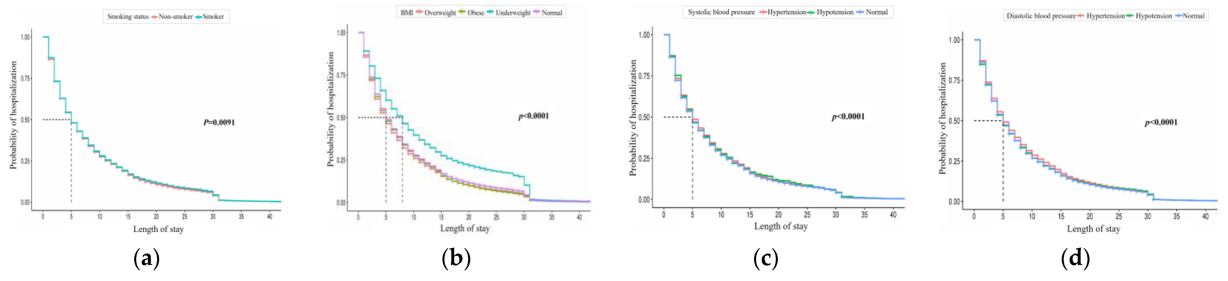
4.2. Kaplan–Meier Estimation
4.3. Cox Proportional Hazards Model
5. Discussion
6. Conclusions
Author Contributions
Funding
Institutional Review Board Statement
Informed Consent Statement
Data Availability Statement
Conflicts of Interest
References
- Kim, C.; Kang, S. Convergence study to predict length of stay in premature infants using machine learning. J. Digit. Converg. 2021, 19, 271–282. [Google Scholar]
- Chrusciel, J.; Girardon, F.; Roquette, L.; Laplanche, D.; Duclos, A.; Sanchez, S. The prediction of hospital length of stay using unstructured data. BMC Med. Inform. Decis. Mak. 2021, 21, 351. [Google Scholar] [CrossRef] [PubMed]
- Jo, Y.Y.; Han, J.; Park, H.W.; Jung, H.; Lee, J.D.; Jung, J.; Cha, H.S.; Sohn, D.K.; Hwangbo, Y. Prediction of Prolonged Length of Hospital Stay After Cancer Surgery Using Machine Learning on Electronic Health Records: Retrospective Cross-sectional Study. JMIR Med. Inform. 2021, 9, e23147. [Google Scholar] [CrossRef] [PubMed]
- Wen, Y.; Rahman, M.F.; Zhuang, Y.; Pokojovy, M.; Xu, H.; McCaffrey, P.; Vo, A.; Walser, E.; Moen, S.; Tseng, T.L.B. Time-to-event modeling for hospital length of stay prediction for COVID-19 patients. Mach. Learn. Appl. 2022, 9, 100365. [Google Scholar] [CrossRef] [PubMed]
- Yoon, E.J.; Lee, J.; Hong, M.Y.; Park, M.S. Factors affecting the length of stay of long-stay medical aid inpatients in Korea: Focused on hospitalization types in long-term care hospitals. Health Policy Manag. 2021, 31, 173–179. [Google Scholar]
- Lee, J.B.; Woo, H. Determinants of length of stay in ischemic heart disease patients. J. Health Inform. 2020, 45, 52–59. [Google Scholar] [CrossRef]
- Lim, D.S.; Hwang, S.K.; An, K.M.; Cho, H.A. Effect of cause of disease in patients with liver cirrhosis on length of stay. Health Welf. 2020, 22, 249–267. [Google Scholar] [CrossRef]
- Burn, E.; Edwards, C.J.; Murray, D.W.; Silman, A.; Cooper, C.; Arden, N.K.; Pinedo-Villanueva, R.; Prieto-Alhambra, D. Trends and determinants of length of stay and hospital reimbursement following knee and hip replacement: Evidence from linked primary care and NHS hospital records from 1997 to 2014. BMJ Open 2018, 8, e019146. [Google Scholar] [CrossRef]
- Erickson, L.A.; Ricketts, A.; Swanson, T.; Weiner, J.; Hasnie, U.A.; Bonessa, K.; Noel-Macdonnell, J.; Russell, C.L. Determinants of Length of Stay after Neonatal Cardiac Surgery Using Path Analysis. West. J. Nurs. Res. 2022, 45, 306–315. [Google Scholar] [CrossRef]
- Lee, H.-S.; Kim, H.H. Factors affecting the length of stay in patients with total knee arthroplasty. J. Korea Entertain. Ind. Assoc. 2020, 14, 201–208. [Google Scholar] [CrossRef]
- van der Veen, D.; Remeijer, C.; Fogteloo, A.J.; Heringhaus, C.; de Groot, B. Independent determinants of prolonged emergency department length of stay in a tertiary care centre: A prospective cohort study. Scand. J. Trauma Resusc. Emerg. Med. 2018, 26, 81. [Google Scholar] [CrossRef] [PubMed]
- Kim, S.M.; Lee, H.S. Factors affecting In-hospital Complication and Length of Stay in Elderly Patients with Total Knee Arthroplasty. Korean J. Hosp. Manag. 2018, 23, 52–62. [Google Scholar]
- Suhn, M.O. The Determinant of the Length of Stay of Young-Old and Old-Old Patients Hospitalized Owing to Cancer. J. Learn. -Centered Curric. Instr. 2020, 20, 287–304. [Google Scholar] [CrossRef]
- Lee, J.R.; Do, N.Y. Effect of brand on survival and closing of stores—Focusing on F&B stores in major retail areas of Seoul. J. Korea Real Estate Anal. Assoc. 2019, 25, 49–62. [Google Scholar]
- Jing, B.; Zhang, T.; Wang, Z.; Jin, Y.; Liu, K.; Qiu, W.; Ke, L.; Sun, Y.; He, C.; Hou, D.; et al. A deep survival analysis method based on ranking. Artif. Intell. Med. 2019, 98, 1–9. [Google Scholar] [CrossRef]
- Schober, P.; Vetter, T.R. Survival analysis and interpretation of time-to-event data: The tortoise and the hare. Anesth. Analg. 2018, 127, 792. [Google Scholar] [CrossRef] [PubMed]
- In, J.; Lee, D.K. Survival analysis: Part I-analysis of time-to-event. Korean J. Anesthesiol. 2018, 71, 182–191. [Google Scholar] [CrossRef]
- Ha, S.H.; Yang, J.W.; Min, J. Credit prediction based on Kohonen network and survival analysis. J. Korean Oper. Res. Manag. Sci. Soc. 2009, 34, 35–54. [Google Scholar]
- Kang, E.S.; Tark, K.-C.; Lee, T.; Kim, I.S. Relationship between characteristics of lengthy hospital stay patients, knowledge of transfer needs and their willingness to transfer—Strategies for the effective transfer of lengthy hospital stay patients. J. Korean Soc. Qual. Assur. Health Care 2002, 2, 116–133. [Google Scholar]
- Cha, S.; Kim, S. The Determinant of the Length of stay in hospital for schizophrenic patients: Using data from the in-depth injury patient surveillance system. J. Digit. Converg. 2013, 11, 351–359. [Google Scholar]
- Kim, Y.H.; Moon, J.W.; Kim, K.H. Determinant factors and medical charges pattern by length of stay in hospital. Korean J. Hosp. Manag. 2010, 15, 15–26. [Google Scholar]
- Lim, N.G. Differences in Medical Care Utilization by Regional Economic Status. J. Digit. Converg. 2013, 11, 459–467. [Google Scholar]
- Kim, S.-S.; Kim, W.-J.; Kang, S.-H. A study on the variation of severity adjusted LOS on Injry inpatient in Korea. J. Korea Acad. Ind. Coop. Soc. 2011, 12, 2668–2676. [Google Scholar]
- Lee, J.S. Inequalities in smoking and anti-smoking program. J. Korean Assoc. Cancer Prev. 2005, 10, 159–165. [Google Scholar]
- Dorner, T.E.; Schwarz, F.; Kranz, A.; Freidl, W.; Rieder, A.; Gisinger, C. Body mass index and the risk of infections in institutionalised geriatric patients. Br. J. Nutr. 2010, 103, 1830–1835. [Google Scholar] [CrossRef]
- Lee, Y.-S.; Lee, Y. Comparison of the nutrient intake and health status of elderly Koreans according to their BMI status: Focus on the underweight elderly population. Korean J. Community Nutr. 2022, 27, 422–434. [Google Scholar] [CrossRef]
- Suh, H.S.; Lee, K.H.; Kim, H.C.; Yu, C.S.; Kim, J.C. The Postoperative Impact of Co-morbidity in Colorectal Cancer Surgery. J. Korean Soc. Coloproctol. 2003, 19, 299–306. [Google Scholar]
- Song, H. Long-term Care Hospital Systems in Developed Countries and the Implications for Korea. J. Korean Geriatr. Soc. 2012, 16, 114–120. [Google Scholar]
- Nam, G.C.; Kim, H.C.; Gwon, B.S. ICT convergence medical devices. Inf. Commun. Mag. 2014, 31, 44–50. [Google Scholar]







| Researchers | Research Subjects | Methodology | Feature |
|---|---|---|---|
| [5] | Long-term insured inpatients |
|
|
| [7] | Hepatic cirrhosis patients |
|
|
| [8] | Total knee replacement or hip arthroplasty patients |
|
|
| [9] | Neonates with cardiac surgery |
|
|
| [10] | Total knee arthroplasty patients |
|
|
| [11] | Patients with prolonged LOS at emergency department in a tertiary care center |
|
|
| [12] | Total knee arthroplasty patients |
|
|
| [13] | Early-/late-stage cancer elderly patients |
|
|
| Category | Characteristics | Limitation |
|---|---|---|
| Regression | Dependent variable: Time | Cannot consider the presence of censored data |
| Logistic regression | Dependent variable: Event | Cannot consider time |
| Survival analysis | Can consider both time and the presence of censored data |
| Table | Description |
|---|---|
| Qualification | Includes socio-demographic information (gender, age, residential area, income range, insurance type) of a health checkup examinee or information about the matter of death or impairment |
| Diagnosis | Includes medical records (main diagnosis information, prescription history, cost-related information, admission records, the department, etc.) of a health checkup examinee |
| Health Checkup | Includes checkup records (lab value, past medical history, hereditary conditions, lifestyle, etc., retrieved from survey questionnaires) of a health checkup examinee |
| Medical Institution | Includes information of a medical institution (location, the number of doctors and hospital beds, medical infrastructure) attended by a health checkup examinee |
| Table | Feature Code | Feature Description | Purpose of Use |
|---|---|---|---|
| Common | STD_YYYY | Year between 2016 and 2019 | Merging between tables |
| PERSON_ID | Alternative identification ID for resident registration number | ||
| YKIHO_ID | Alternative identification ID for institution registration number | ||
| Qualification | SEX | 1: Male, 2: Female | Sociodemographic feature |
| AGE | Patient’s age in a corresponding year | ||
| SIDO | City/Province code | ||
| IPSN_TYPE_CD | Type of insurance | Patient feature | |
| CTRB | Income quantile (1~10) | ||
| DFAB_GRD_CD | No inclusion, severe, mild level of disability | ||
| DTH_MDY | Date of death | Censoring | |
| Diagnosis | FORM_CD | Type of treatment (inpatient, outpatient) | Preprocessing |
| VSCN | Days of receiving treatments | Dependent variable | |
| SICK_DIV_TYPE_CD | Diagnosis classification (main diagnosis, sub diagnosis) | Preprocessing | |
| Health Checkup | SMK_STAT_TYPE_RSPS_CD | Smoking status | Health checkup records feature |
| BMI | Body Mass Index | ||
| BP_HIGH | Systolic blood pressure | ||
| BP_LWST | Diastolic blood pressure | ||
| Medical Institution | INST_CLSFC_CD | Type of medical institutions | Institution feature |
| SICKBED_CNT | The number of hospital beds | ||
| CT_CNT | Retention of CT | ||
| MRI_CNT | Retention of MRI | ||
| PET_CNT | Retention of PET |
| Category | Feature | Preprocessed Results |
|---|---|---|
| Sociodemographic Information | Gender | [Grouping] Male/Female |
| Age | [Feature Preprocessing] Exclude <50 [Grouping] 10 year unit | |
| City/ Province | [Grouping] Seoul/Gyeonggi/Daegu/Daejeon/Busan/Ulsan/ Gwangju/Incheon/Others | |
| Patient Information | Insurance status | [Grouping] Workplace/Region/Medical Insurees |
| Income quantile | [Grouping] 1~3/4~7/8~10 | |
| Disability | [Grouping] No inclusion, Severe, Mild | |
| Checkup Record Information | Smoking status | [Grouping] Non-smoker/Smoker |
| BMI | [Grouping] Underweight (<18.5), Normal (<23), Overweight (<25), Obese (≥25) | |
| Systolic Blood Pressure | [Grouping] Hypotension (<90), Normal (<120), Hypertension (≥120) | |
| Diastolic Blood Pressure | [Grouping] Hypotension (<60), Normal (<80), Hypertension (≥80) | |
| Institution Information | Institution type | [Grouping] Public Health Center/Care Hospital/General, Psychiatric Hospital/Korean Medicine Hospital/Others |
| Number of Hospital Beds | [Grouping] Clinic (≤30), Hospital (<100), General Hospital (≥100) | |
| CT | [Grouping] Included/Not included | |
| MRI | ||
| PET |
| Category | Feature | Number of Patients | Number of Censored Data | Number of Dead | |
|---|---|---|---|---|---|
| N | N | N | |||
| Sociodemographic Information | Gender | Male | 117,756 | 712 | 117,044 |
| Female | 110,914 | 314 | 110,600 | ||
| Age | 50~ | 47,640 | 61 | 47,579 | |
| 60~ | 90,271 | 184 | 90,087 | ||
| 70~ | 63,466 | 391 | 63,075 | ||
| 80~ | 27,293 | 390 | 26,903 | ||
| City/Province | Seoul | 25,591 | 108 | 25,483 | |
| Gyeonggi | 37,729 | 153 | 37,576 | ||
| Daegu | 9257 | 58 | 9199 | ||
| Daejeon | 5499 | 26 | 5473 | ||
| Busan | 19,242 | 68 | 19,174 | ||
| Ulsan | 5533 | 14 | 5519 | ||
| Gwangju | 9628 | 27 | 9601 | ||
| Incheon | 10,190 | 26 | 10,164 | ||
| Others | 106,001 | 546 | 105,455 | ||
| Patient Information | Insurance status | Medical insuree | 4275 | 14 | 4261 |
| Regional insurance | 58,014 | 314 | 57,700 | ||
| Workplace insurance | 166,381 | 698 | 165,683 | ||
| Income quantile | 1~3 | 216 | 46,154 | 46,370 | |
| 4~7 | 285 | 70,979 | 71,264 | ||
| 8~10 | 513 | 106,832 | 107,345 | ||
| Disability | No inclusion (Normal) | 787 | 189,032 | 189,819 | |
| Mild | 64 | 10,002 | 10,066 | ||
| Severe | 175 | 28,610 | 28,785 | ||
| Checkup Record Information | Smoking status | Non-smoker | 925 | 209,287 | 210,212 |
| Smoker | 101 | 18,357 | 18,458 | ||
| Body Mass Index (BMI) | Underweight | 122 | 7357 | 7479 | |
| Normal | 434 | 72,694 | 73,128 | ||
| Overweight | 234 | 59,693 | 59,927 | ||
| Obese | 236 | 87,900 | 88,136 | ||
| Systolic blood pressure | Hypotension | 6 | 524 | 530 | |
| Normal | 293 | 69,351 | 69,644 | ||
| Hypertension | 727 | 157,769 | 158,496 | ||
| Diastolic blood pressure | Hypotension | 29 | 5907 | 5936 | |
| Normal | 562 | 126,028 | 126,590 | ||
| Hypertension | 435 | 95,709 | 96,144 | ||
| Institution Information | Type of medical institution | Public health center | 1 | 112 | 113 |
| Care hospital | 221 | 16,870 | 17,091 | ||
| General, psychiatric | 73 | 58,061 | 58,134 | ||
| Korean medicine hospital | 0 | 168 | 168 | ||
| Others | 731 | 152,433 | 153,164 | ||
| The number of hospital beds | Clinic | 8 | 16,974 | 16,982 | |
| Hospital | 39 | 25,676 | 25,715 | ||
| General hospital | 979 | 184,994 | 185,973 | ||
| CT | Not included | 278 | 57,608 | 57,886 | |
| Included | 748 | 170,036 | 170,784 | ||
| MRI | Not included | 328 | 160,393 | 160,721 | |
| Included | 698 | 67,251 | 67,949 | ||
| PET | Not included | 511 | 138,231 | 138,742 | |
| Included | 515 | 89,413 | 89,928 | ||
| Total | 228,670 | 1026 | 227,644 |
| Feature | Hazard Ratio | p-Value | |
|---|---|---|---|
| Number of hospital beds | Hospital (reference) | ||
| Clinic | 0.96 | 0.004 | |
| General hospital | 0.79 | <0.001 |
Disclaimer/Publisher’s Note: The statements, opinions and data contained in all publications are solely those of the individual author(s) and contributor(s) and not of MDPI and/or the editor(s). MDPI and/or the editor(s) disclaim responsibility for any injury to people or property resulting from any ideas, methods, instructions or products referred to in the content. |
© 2024 by the authors. Licensee MDPI, Basel, Switzerland. This article is an open access article distributed under the terms and conditions of the Creative Commons Attribution (CC BY) license (https://creativecommons.org/licenses/by/4.0/).
Share and Cite
Kim, J.; Chang, H.; Ryu, S.; Choi, I.; Kwon, A.E.; Ji, H. Determinants of Length of Stay for Medical Inpatients Using Survival Analysis. Int. J. Environ. Res. Public Health 2024, 21, 1424. https://doi.org/10.3390/ijerph21111424
Kim J, Chang H, Ryu S, Choi I, Kwon AE, Ji H. Determinants of Length of Stay for Medical Inpatients Using Survival Analysis. International Journal of Environmental Research and Public Health. 2024; 21(11):1424. https://doi.org/10.3390/ijerph21111424
Chicago/Turabian StyleKim, Jaekyeong, Haegak Chang, Seiyoung Ryu, Ilyoung Choi, Angela Eunyoung Kwon, and Haeyong Ji. 2024. "Determinants of Length of Stay for Medical Inpatients Using Survival Analysis" International Journal of Environmental Research and Public Health 21, no. 11: 1424. https://doi.org/10.3390/ijerph21111424
APA StyleKim, J., Chang, H., Ryu, S., Choi, I., Kwon, A. E., & Ji, H. (2024). Determinants of Length of Stay for Medical Inpatients Using Survival Analysis. International Journal of Environmental Research and Public Health, 21(11), 1424. https://doi.org/10.3390/ijerph21111424

