Environmental Preferences and Concerns of Recreational Trail Runners
Abstract
1. Introduction
2. Materials and Methods
2.1. Study Population
2.2. Study Design
2.3. Data Analysis
3. Results
3.1. Trail Runner Profile
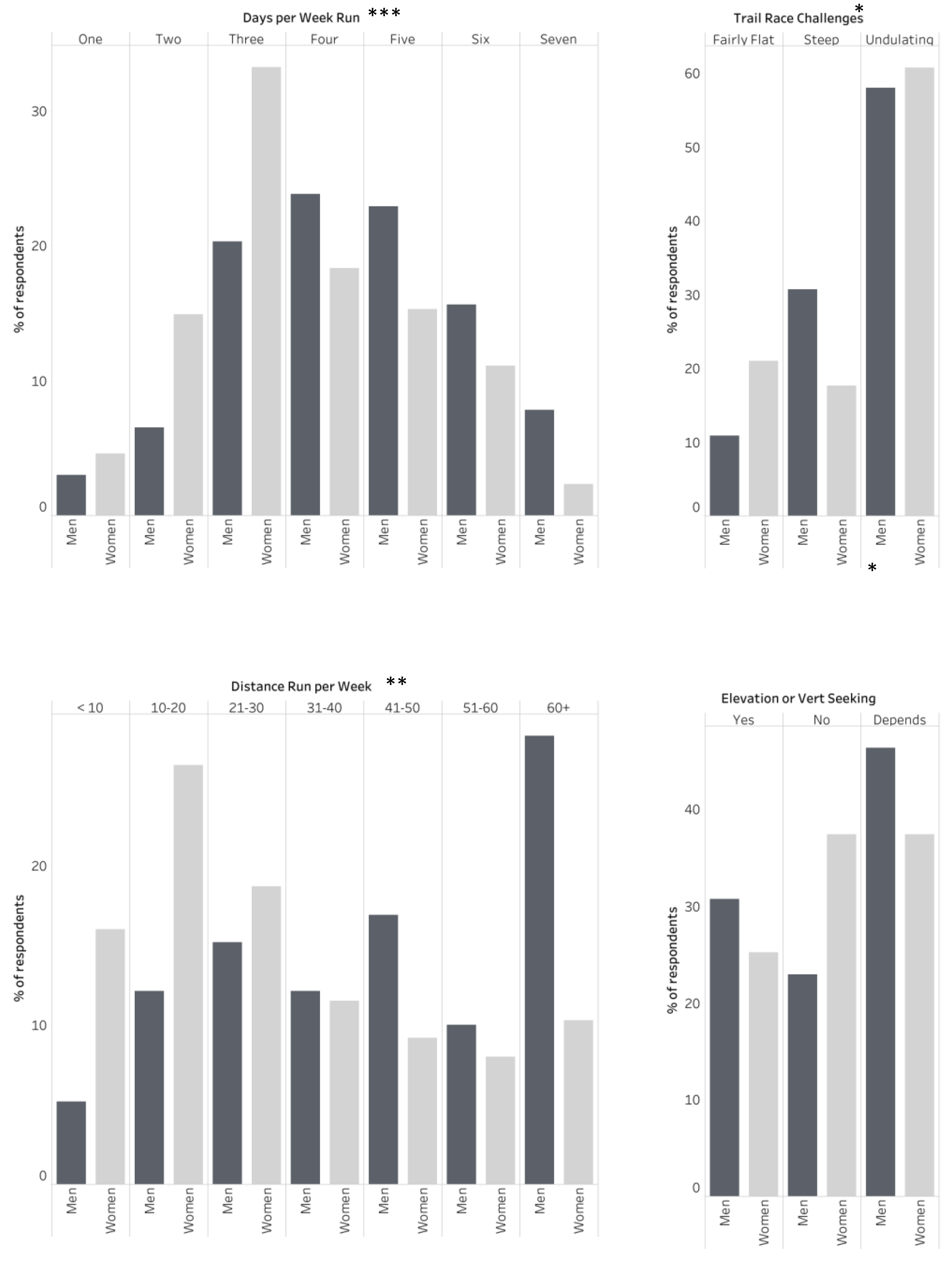
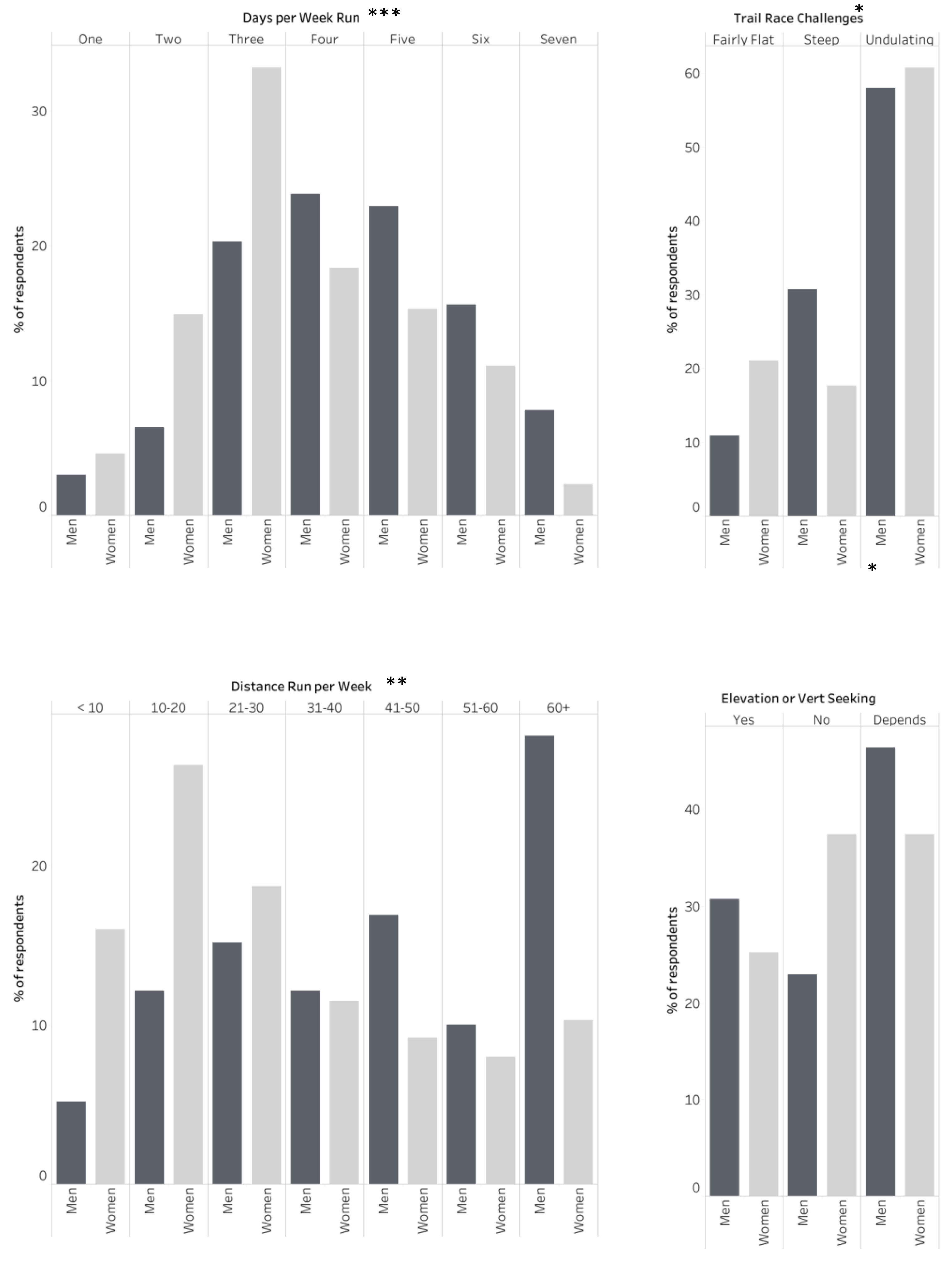
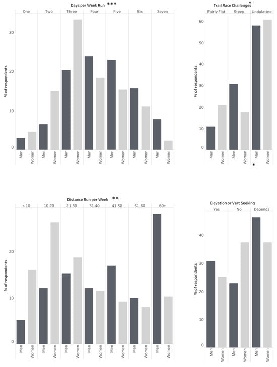
3.2. Social and Environmental Preferences for Trail Running
3.3. Concerns for Trail Running
4. Discussion
5. Conclusions
Author Contributions
Funding
Institutional Review Board Statement
Informed Consent Statement
Data Availability Statement
Acknowledgments
Conflicts of Interest
Appendix A
| No. | Question |
|---|---|
| 1 | How important is it for you to run around/with others? (scale from 1 to 5, with 1 being not important and 5 being very important) |
| 2 | What are your primary concerns for your safety while running? (Check all that apply)
|
| 3 | What is your preferred running surface?
|
| 4 | What type of trail races/challenges do you seek?
|
| 5 | Are you an elevation (“vert”) seeker?
|
| 6 | How many years have you been running? (single-line text box) |
| 7 | Approximately how many kilometers do you run a week?
|
| 8 | How many days a week do you run?
|
| 9 | What is your gender?
|
| 10 | What is your age?
|
| Variable | Overall Sample n (%) | 19–24 n (%) | 25–34 n (%) | 35–44 n (%) | 45–54 n (%) | 55–64 (%) | 65+ (%) | Age Not Answered |
|---|---|---|---|---|---|---|---|---|
| Gender | ||||||||
| Man | 231 (44.2) | 35 (30.4) | 60 (48.4) | 66 (55.0) | 43 (50.0) | 15 (44.1) | 12 (80.0) | 0 (0.0) |
| Woman | 262 (50.1) | 79 (68.7) | 64 (51.6) | 54 (45.0) | 43 (50.0) | 19 (55.9) | 3 (20.0) | 0 (0.0) |
| Other | 1 (0.2) | 1 (0.9) | 0 (0.0) | 0 (0.0) | 0 (0.0) | 0 (0.0) | 0 (0.0) | 0 (0.0) |
| Missing | 29 (5.5) | 0 (0.0) | 0 (0.0) | 0 (0.0) | 0 (0.0) | 0 (0.0) | 0 (0.0) | 29 (100.0) |
| Total | 523 (100.0) | 115 (100.0) | 124 (100.0) | 120 (100.0) | 86 (100.0) | 34 (100.0) | 15 (100.0) | 29 (100.0) |
| No. of years running | ||||||||
| 0–5 | 171 (32.7) | 64 (55.7) | 57 (46.0) | 33 (27.5) | 14 (16.3) | 1 (2.9) | 2 (13.3) | 0 (0.0) |
| 6–10 | 139 (26.6) | 39 (33.9) | 31 (25.0) | 38 (31.7) | 23 (26.7) | 6 (17.6) | 2 (13.3) | 0 (0.0) |
| 11–15 | 57 (10.9) | 8 (7.0) | 21 (16.9) | 17 (14.2) | 8 (9.3) | 3 (8.8) | 0 (0.0) | 0 (0.0) |
| 16–20 | 50 (9.6) | 2 (1.7) | 9 (7.3) | 15 (12.5) | 14 (16.3) | 7 (20.6) | 3 (20.0) | 0 (0.0) |
| 21–25 | 19 (3.6) | 1 (0.9) | 2 (1.6) | 7 (5.8) | 7 (8.1) | 2 (2.9) | 0 (0.0) | 0 (0.0) |
| 26–30 | 15 (2.9) | 0 (0.0) | 1 (0.8) | 10 (8.3) | 1 (1.2) | 3 (8.8) | 0 (0.0) | 0 (0.0) |
| 30+ | 33 (6.3) | 0 (0.0) | 0 (0.0) | 0 (0.0) | 15 (17.4) | 11 (32.4) | 7 (46.7) | 0 (0.0) |
| Missing | 39 (7.5) | 1 (0.9) | 3 (2.4) | 0 (0.0) | 4 (4.7) | 1 (2.9) | 1 (6.7) | 29 (100.0) |
| Total | 523 (100.0) | 115 (100.0) | 124 (100.0) | 120 (100.0) | 86 (100.0) | 34 (100.0) | 15 (100.0) | 29 (100.0) |
| Km distance/week | ||||||||
| <10 | 54 (10.3) | 31 (27.0) | 9 (7.3) | 7 (5.8) | 4 (4.7) | 2 (5.9) | 1 (6.7) | 0 (0.0) |
| 10–20 | 98 (18.7) | 34 (29.6) | 25 (20.2) | 16 (13.3) | 12 (14.0) | 8 (23.5) | 3 (20.0) | 0 (0.0) |
| 21–30 | 84 (16.1) | 22 (19.1) | 17 (13.7) | 22 (18.3) | 17 (19.8) | 4 (11.8) | 2 (13.3) | 0 (0.0) |
| 31–40 | 58 (11.1) | 12 (10.4) | 13 (10.5) | 7 (5.8) | 11 (12.8) | 12 (35.3) | 3 (20.0) | 0 (0.0) |
| 41–50 | 63 (12.0) | 3 (2.6) | 17 (13.7) | 21 (17.5) | 16 (18.6) | 4 (11.8) | 2 (13.3) | 0 (0.0) |
| 50–60 | 44 (8.4) | 5 (4.3) | 14 (11.3) | 15 (12.5) | 7 (8.1) | 2 (5.9) | 1 (6.7) | 0 (0.0) |
| 60+ | 92 (17.6) | 7 (6.1) | 29 (23.4) | 32 (26.7) | 19 (22.1) | 2 (5.9) | 3 (20.0) | 0 (0.0) |
| Missing | 30 (5.7) | 1 (0.9) | 0 (0.0) | 0 (0.0) | 0 (0.0) | 0 (0.0) | 0 (0.0) | 29 (100.0) |
| Total | 523 (100.0) | 115 (100.0) | 124 (100.0) | 120 (100.0) | 86 (100.0) | 34 (100.0) | 15 (100.0) | 29 (100.0) |
| No. of Days Running/Week | ||||||||
| 1 | 19 (3.6) | 7 (6.1) | 6 (4.8) | 4 (3.3) | 1 (1.2) | 0 (0.0) | 1 (6.7) | 0 (0.0) |
| 2 | 54 (10.3) | 21 (18.3) | 16 (12.9) | 6 (18.3) | 6 (7.0) | 3 (8.8) | 2 (13.3) | 0 (0.0) |
| 3 | 135 (25.8) | 35 (30.4) | 30 (24.2) | 32 (26.7) | 23 (26.7) | 13 (38.2) | 2 (13.3) | 0 (0.0) |
| 4 | 103 (19.7) | 15 (13.0) | 23 (18.5) | 25 (20.8) | 25 (29.1) | 12 (35.3) | 3 (20.0) | 0 (0.0) |
| 5 | 93 (17.8) | 17 (14.8) | 25 (20.2) | 26 (21.7) | 17 (19.8) | 5 (14.7) | 3 (20.0) | 0 (0.0) |
| 6 | 65 (12.4) | 15 (13.0) | 13 (10.5) | 22 (18.3) | 12 (14.0) | 1 (2.9) | 2 (13.3) | 0 (0.0) |
| 7 | 24 (4.6) | 5 (4.3) | 10 (8.1) | 5 (21.7) | 2 (2.3) | 0 (0.0) | 2 (13.3) | 0 (0.0) |
| Missing | 30 (5.7) | 0 (0.0) | 1 (4.8) | 0 (0.0) | 0 (0.0) | 0 (0.0) | 0 (0.0) | 29 (100.0) |
| Total | 523 (100.0) | 115 (100.0) | 124 (100.0) | 120 (100.0) | 86 (100.0) | 34 (100.0) | 15 (100.0) | 29 (100.0) |
| Variable | Overall Sample n (%) | 19–24 n (%) | 25–34 n (%) | 35–44 n (%) | 45–54 n (%) | 55–64 (%) | 65+ (%) | Age Not Answered |
|---|---|---|---|---|---|---|---|---|
| Importance of running around Others | ||||||||
| 1 (not important) | 192 (36.7) | 40 (34.8) | 38 (30.6) | 49 (40.8) | 39 (45.3) | 16 (47.1) | 5 (33.3) | 5 (17.2) |
| 2 | 104 (19.9) | 23 (20.0) | 28 (22.6) | 27 (22.5) | 17 (19.8) | 5 (14.7) | 1 (6.7) | 3 (10.3) |
| 3 | 108 (20.7) | 28 (24.3) | 34 (27.4) | 16 (13.3) | 16 (18.6) | 3 (8.8) | 6 (40.0) | 5 (17.2) |
| 4 | 54 (10.3) | 12 (10.4) | 14 (11.2) | 12 (10.0) | 5 (5.8) | 8 (23.5) | 2 (13.3) | 1 (3.4) |
| 5 (very important) | 25 (4.8) | 7 (6.1) | 5 (4.0) | 5 (4.2) | 5 (5.8) | 1 (2.9) | 0 (0.0) | 2 (6.8) |
| Missing | 40 (7.6) | 5 (4.3) | 5 (4.0) | 11 (9.2) | 4 (4.7) | 1 (2.9) | 1 (6.7) | 13 (44.8) |
| Total | 523 (100.0) | 115 (100.0) | 124 (100.0) | 120 (100.0) | 86 (100.0) | 34 (100.0) | 15 (100.0) | 29 (100.0) |
| Concerns for safety while running (>1 response allowed) | ||||||||
| Bears | 158 (9.1) | 29 (7.6) | 45 (10.6) | 37 (8.6) | 20 (7.8) | 9 (7.7) | 14 (24.1) | 4 (5.8) |
| Fear of people | 135 (7.8) | 34 (8.9) | 32 (7.5) | 33 (7.7) | 22 (8.6) | 7 (6.0) | 3 (5.2) | 4 (5.8) |
| Cougars | 136 (7.8) | 26 (6.8) | 42 (9.9) | 36 (8.4) | 17 (6.6) | 9 (7.7) | 4 (6.9) | 2 (2.9) |
| Other wildlife | 81 (4.7) | 22 (5.8) | 16 (3.8) | 21 (4.9) | 13 (5.1) | 3 (2.6) | 2 (3.4) | 4 (5.8) |
| Gear issues | 107 (6.2) | 28 (7.3) | 28 (6.6) | 23 (5.3) | 14 (5.4) | 7 (6.0) | 1 (1.7) | 6 (8.7) |
| No cell reception | 222 (12.8) | 57 (15.0) | 53 (12.4) | 52 (12.1) | 29 (11.3) | 16 (13.7) | 5 (8.6) | 10 (14.5) |
| Slips and falls | 288 (16.6) | 56 (14.7) | 66 (15.5) | 67 (15.5) | 51 (19.8) | 26 (22.2) | 9 (15.5) | 13 (18.8) |
| Navigation issues | 162 (9.3) | 37 (9.7) | 37 (10.0) | 43 (10.0) | 21 (8.2) | 14 (12.0) | 3 (5.2) | 7 (10.1) |
| Cliffs or precipices | 75 (4.3) | 12 (3.1) | 17 (5.1) | 22 (5.1) | 12 (4.7) | 5 (4.3) | 4 (6.9) | 3 (4.3) |
| Sudden weather | 184 (10.6) | 46 (12.1) | 48 (9.3) | 40 (9.3) | 26 (10.1) | 8 (6.8) | 5 (8.6) | 11 (15.9) |
| None | 79 (4.5) | 17 (4.5) | 16 (4.2) | 18 (4.2) | 12 (4.7) | 5 (4.3) | 7 (12.1) | 4 (5.8) |
| Other | 112 (6.4) | 17 (4.5) | 26 (9.0) | 39 (9.0) | 20 (7.8) | 8 (6.8) | 1 (1.7) | 1 (1.4) |
| Total | 1739 (100.0) | 381 (100.0) | 426 (100.0) | 431 (100.0) | 257 (100.0) | 117 (100.0) | 58 (100.0) | 69 (100.0) |
| Preferred running surface | ||||||||
| Buffed out trails | 293 (56.0) | 97 (84.3) | 62 (50.0) | 50 (41.7) | 45 (52.3) | 21 (61.8) | 10 (66.7) | 8 (27.6) |
| Technical trails | 211 (40.3) | 18 (15.7) | 62 (50.0) | 70 (58.3) | 41 (47.7) | 12 (35.3) | 5 (33.3) | 3 (10.3) |
| Missing | 19 (3.6) | 0 (0.0) | 0 (0.0) | 0 (0.0) | 0 (0.0) | 1 (2.9) | 0 (0.0) | 18 (62.1) |
| Total | 523 (100.0) | 115 (100.0) | 124 (100.0) | 120 (100.0) | 86 (100.0) | 34 (100.0) | 15 (100.0) | 29 (100.0) |
| Prefers elevation | ||||||||
| Yes | 140 (26.8) | 24 (20.9) | 43 (34.7) | 35 (29.2) | 24 (27.9) | 8 (23.5) | 3 (20.0) | 3 (5.6) |
| No | 154 (29.4) | 46 (40.0) | 33 (26.6) | 29 (24.2) | 22 (25.6) | 14 (41.2) | 7 (46.7) | 3 (5.6) |
| Depending on next race/season | 211 (40.3) | 45 (39.1) | 48 (38.7) | 56 (46.7) | 40 (46.5) | 12 (35.3) | 5 (33.3) | 5 (9.3) |
| Missing | 18 (3.4) | 0 (0.0) | 0 (0.0) | 0 (0.0) | 0 (0.0) | 0 (0.0) | 0 (0.0) | 18 (79.6) |
| Total | 523 (100.0) | 115 (100.0) | 124 (100.0) | 120 (100.0) | 86 (100.0) | 34 (100.0) | 15 (100.0) | 29 (100.0) |
| Preferred trail race challenges | ||||||||
| Undulating | 299 (57.2) | 62 (53.9) | 67 (54.0) | 72 (60.0) | 55 (64.0) | 26 (76.5) | 11 (73.3) | 6 (20.7) |
| Fairly flat | 85 (16.3) | 39 (33.9) | 17 (13.7) | 9 (7.5) | 8 (9.3) | 4 (11.8) | 4 (26.7) | 4 (13.8) |
| Steep | 118 (22.6) | 13 (11.3) | 40 (32.3) | 38 (31.7) | 23 (26.7) | 3 (8.8) | 0 (0.0) | 1 (3.4) |
| Missing | 21 (4.0) | 1 (0.9) | 0 (0.0) | 1 (0.8) | 0 (0.0) | 1 (2.9) | 0 (0.0) | 18 (62.1) |
| Total | 523 (100.0) | 115 (100.0) | 124 (100.0) | 120 (100.0) | 86 (100.0) | 34 (100.0) | 15 (100.0) | 29 (100.0) |
References
- Cejka, N.; Rüst, C.A.; Lepers, R.; Onywera, V.; Rosemann, T.; Knechtle, B. Participation and Performance Trends in 100-Km Ultra-Marathons Worldwide. J. Sports Sci. 2014, 32, 354–366. [Google Scholar] [CrossRef] [PubMed]
- Bob, C. Head, Heart and Soul: The Future of Trail Running. Ultra Running Magazine (Blog). 24 February 2021. Available online: https://ultrarunning.com/featured/head-heart-and-soul-the-future-of-trail-running/ (accessed on 5 July 2023).
- World Athletics: Trail Running. World Athletics (Webpage). (n.d). Available online: https://worldathletics.org/disciplines/trail-running/trail-running (accessed on 5 July 2023).
- Kozlovskaia, M.; Vlahovich, N.; Rathbone, E.; Manzanero, S.; Keogh, J.; Hughes, D.C. A Profile of Health, Lifestyle and Training Habits of 4720 Australian Recreational Runners—The Case for Promoting Running for Health Benefits. Health Promot. J. Aust. 2019, 30, 172–179. [Google Scholar] [CrossRef]
- Lee, K.; Lee, P.; Macfarlane, D. Associations between Moderate-to-Vigorous Physical Activity and Neighbourhood Recreational Facilities: The Features of the Facilities Matter. Int. J. Environ. Res. Public Health 2014, 11, 12594–12610. [Google Scholar] [CrossRef] [PubMed]
- Maclagan, L.C.; Tu, J.V. Using the Concept of Ideal Cardiovascular Health to Measure Population Health: A Review. Curr. Opin. Cardiol. 2015, 30, 518–524. [Google Scholar] [CrossRef]
- Oswald, F.; Campbell, J.; Williamson, C.; Richards, J.; Kelly, P. A Scoping Review of the Relationship between Running and Mental Health. Int. J. Environ. Res. Public Health 2017, 17, 8059. [Google Scholar] [CrossRef] [PubMed]
- Van Renswouw, L.; Bogers, S.; Vos, S. Urban Planning For Active And Healthy Public Spaces With User-Generated Big Data. In Proceedings of the Data for Policy 2016—Frontiers of Data Science for Government: Ideas, Practices and Projections (Data for Policy), Cambridge, MA, USA, 15–16 September 2017; 2017. [Google Scholar] [CrossRef]
- Wolf, I.D.; Wohlfart, T. Walking, Hiking and Running in Parks: A Multidisciplinary Assessment of Health and Well-Being Benefits. Landsc. Urban Plan. 2014, 130, 89–103. [Google Scholar] [CrossRef]
- Lavie, C.J.; Lee, D.; Sui, X.; Arena, R.; O’Keefe, J.H.; Church, T.S.; Milani, R.V.; Blair, S.N. Effects of Running on Chronic Diseases and Cardiovascular and All-Cause Mortality. Mayo Clin. Proc. 2015, 90, 1541–1552. [Google Scholar] [CrossRef]
- Wang, Y.; Lee, D.; Brellenthin, A.G.; Eijsvogels, T.M.H.; Sui, X.; Church, T.S.; Lavie, C.J.; Blair, S.N. Leisure-Time Running Reduces the Risk of Incident Type 2 Diabetes. Am. J. Med. 2019, 132, 1225–1232. [Google Scholar] [CrossRef]
- Nieman, D.C.; Sakaguchi, C.A. Physical Activity Lowers the Risk for Acute Respiratory Infections: Time for Recognition. J. Sport Health Sci. 2022, 11, 648–655. [Google Scholar] [CrossRef]
- Mehta, A.; Kondamudi, N.; Laukkanen, J.A.; Wisloff, U.; Franklin, B.A.; Arena, R.; Lavie, C.J.; Pandey, A. Running Away from Cardiovascular Disease at the Right Speed: The Impact of Aerobic Physical Activity and Cardiorespiratory Fitness on Cardiovascular Disease Risk and Associated Subclinical Phenotypes. Prog. Cardiovasc. Dis. 2020, 63, 762–774. [Google Scholar] [CrossRef]
- Caoimhe, T.B.; Jones, A. The Health Benefits of the Great Outdoors: A Systematic Review and Meta-Analysis of Greenspace Exposure and Health Outcomes. Environ. Res. 2018, 166, 628–637. [Google Scholar] [CrossRef]
- Paraskevopoulou, A.T.; Chletsou, M.; Malesios, C. Runners Experience Lower Heart Rate, Increased Speed, and Joy/Calm on Routes with Trees, by the Sea and through Parks: Implications for Climate Change Design. Sustainability 2022, 14, 16280. [Google Scholar] [CrossRef]
- Cook, S.; Shaw, J.; Simpson, P. Jography: Exploring Meanings, Experiences and Spatialities of Recreational Road-Running. Mobilities 2016, 11, 744–769. [Google Scholar] [CrossRef]
- Schnohr, P.; Marott, J.L.; Lange, P.; Jensen, G.B. Longevity in Male and Female Joggers: The Copenhagen City Heart Study. Am. J. Epidemiol. 2013, 177, 683–689. [Google Scholar] [CrossRef]
- Ineke, D.; Janssen, M.; Vos, S.; Kamphuis, C.B.M.; Ettema, D. Attractive Running Environments for All? A Cross-Sectional Study on Physical Environmental Characteristics and Runners’ Motives and Attitudes, in Relation to the Experience of the Running Environment. BMC Public Health 2019, 19, 366. [Google Scholar] [CrossRef]
- Sun, Y. Exploring potential of crowdsourced geographic information in studies of active travel and health: Strava data and cycling behaviour. Int. Arch. Photogramm. Remote Sens. Spatial Info. Sci. 2017, XLII-2/W7, 1357–1361. [Google Scholar] [CrossRef]
- Shashank, A.; Schuurman, N.; Copley, R.; Lear, S.A. Creation of a Rough Runnability Index Using an Affordance-Based Framework. Environ. Plan. B Urban Anal. City Sci. 2022, 49, 321–334. [Google Scholar] [CrossRef]
- Dengkai, H.; Tian, M.; Yuan, L. Sustainable Design of Running Friendly Streets: Environmental Exposures Predict Runnability by Volunteered Geographic Information and Multilevel Model Approaches. Sustain. Cities Soc. 2023, 89, 104336. [Google Scholar] [CrossRef]
- Collinson, J.A. Running the Routes Together: Corunning and Knowledge in Action. J. Contemp. Ethnogr. 2008, 37, 38–61. [Google Scholar] [CrossRef]
- Schuurman, N.; Rosenkrantz, L.; Lear, S.A. Environmental Preferences and Concerns of Recreational Road Runners. Int. J. Environ. Res. Public Health 2021, 18, 6268. [Google Scholar] [CrossRef] [PubMed]
- Meeder, M.; Aebi, T.; Weidmann, U. The Influence of Slope on Walking Activity and the Pedestrian Modal Share. In Proceedings of the 20th EURO Working Group on Transportation Meeting, EWGT 2017, Transportation Research Procedia, Budapest, Hungry, 4–6 September 2017; pp. 141–147. [Google Scholar] [CrossRef]
- Zhang, X.; Mu, L. The Perceived Importance and Objective Measurement of Walkability in the Built Environment Rating. Environ. Plan. B Urban Anal. City Sci. 2020, 47, 1655–1671. [Google Scholar] [CrossRef]
- Vaz de Almeida, M.D.; Graca, P.; Alfonso, C.; D’Amicus, A.; Lappalainen, R.; Damkjaer, S. Physical Activity Levels and Body Weight in a National Representative Sample in the European Union. Public Health Nutr. 1999, 2, 105–113. [Google Scholar] [CrossRef]
- Deaner, R.O.; Geary, D.C.; Puts, D.A.; Ham, S.A.; Kruger, J.; Fles, E.; Winegard, B.; Grandis, T. A sex difference in the predisposition for physical competition: Males play sports much more than females even in the con-temporary US. PLoS ONE 2012, 7, 11. [Google Scholar] [CrossRef] [PubMed]
- Pollard, T.M.; Wagnild, J.M. Gender differences in walking (for leisure, transport and in total) across adult life: A systematic review. BMC Public Health 2017, 17, 341. [Google Scholar] [CrossRef]
- Henderson, K.A.; Allen, K.R. The ethic of care: Leisure possibilities and constraints for women. Soc. Leis. 1991, 14, 97–113. [Google Scholar] [CrossRef]
- Miller, Y.D.; Brown, W.J. Determinants of active leisure for women with young children—An “ethic of care” prevails. Leis. Sci. 2005, 27, 405–420. [Google Scholar] [CrossRef]
- Wegner, C.E.; Ridinger, L.L.; Jordan, J.S.; Funk, D.C. Get serious: Gender and constraints to long-distance running. J. Leis. Res. 2015, 47, 305–321. [Google Scholar] [CrossRef]



| Variable | Overall Sample n (%) | Men | Women | Chi-Square Tests of |
|---|---|---|---|---|
| n (%) | n (%) | Independence | ||
| Age in Years | ||||
| 19–24 | 115 (22.0) | 35 (15.2) | 79 (30.2) | Χ2 (5) = 22.321 |
| 25–34 | 124 (23.7) | 60 (26.0) | 64 (24.4) | p = 0.000 |
| 35–44 | 120 (22.9) | 66 (28.6) | 54 (20.6) | V = 0.213 *** |
| 45–54 | 86 (16.4) | 43 (18.6) | 43 (16.4) | N = 493 |
| 55–64 | 34 (6.5) | 15 (6.5) | 19 (7.3) | |
| 65+ | 15 (2.9) | 12 (5.2) | 3 (1.1) | |
| Missing | 29 (5.5) | 0 (0.0) | 0 (0.0) | |
| Total | 523 (100.0) | 231 (100.0) | 262 (100.0) | |
| No. of Years Running | ||||
| 0–5 | 171 (32.7) | 77 (33.3) | 93 (35.5) | Χ2 (6) = 18.143 |
| 6–10 | 139 (26.6) | 65 (28.1) | 74 (28.2) | p = 0.316 |
| 11–15 | 57 (10.9) | 25 (10.8) | 32 (12.2) | V = 0.067 |
| 16–20 | 50 (9.6) | 23 (10.0) | 27 (10.3) | N = 483 |
| 21–25 | 19 (3.6) | 9 (3.9) | 10 (3.8) | |
| 26–30 | 23 (4.4) | 12 (5.2) | 11 (4.2) | |
| 30+ | 25 (4.8) | 13 (5.6) | 12 (4.6) | |
| Missing | 39 (7.5) | 7 (3.0) | 3 (1.1) | |
| Total | 523 (100.0) | 231 (100.0) | 262 (100.0) | |
| Distance (Km)/Week | ||||
| <10 | 54 (10.3) | 12 (5.2) | 42 (16.0) | Χ2 (6) = 53.904 |
| 10–20 | 98 (18.7) | 28 (12.1) | 69 (26.3) | p = 0.000 |
| 21–30 | 84 (16.1) | 35 (15.2) | 49 (18.7) | V = 0.331 ** |
| 31–40 | 58 (11.1) | 28 (12.1) | 30 (11.5) | N = 492 |
| 41–50 | 63 (12.0) | 39 (16.9) | 24 (9.2) | |
| 51–60 | 44 (8.4) | 23 (10.0) | 21 (8.0) | |
| 60+ | 92 (17.6) | 65 (28.1) | 27 (10.3) | |
| Missing | 30 (5.7) | 1 (0.4) | 0 (0.0) | |
| Total | 523 (100.0) | 231 (100.0) | 262 (100.0) | |
| No. of Days Running/Week | ||||
| 1 | 19 (3.6) | 7 (3.0) | 12 (4.6) | Χ2 (6) = 31.256 |
| 2 | 54 (10.3) | 15 (6.5) | 39 (14.9) | p = 0.000 |
| 3 | 135 (25.8) | 47 (20.3) | 87 (33.2) | V = 0.252 *** |
| 4 | 103 (19.7) | 55 (23.8) | 48 (18.3) | N = 492 |
| 5 | 93 (17.8) | 53 (22.9) | 40 (15.3) | |
| 6 | 65 (12.4) | 36 (15.6) | 29 (11.1) | |
| 7 | 24 (4.6) | 18 (7.8) | 6 (2.3) | |
| Missing | 30 (5.7) | 0 (0.0) | 1 (0.4) | |
| Total | 523 (100.0) | 231 (100.0) | 262 (100.0) |
| Variable | Overall Sample n (%) | Men | Women | Chi-Square Tests of |
|---|---|---|---|---|
| n (%) | n (%) | Independence | ||
| Importance of Running around Others | ||||
| 1 (Not important) | 192 (36.7) | 98 (42.4) | 89 (34.0) | |
| 2 | 104 (19.9) | 57 (24.7) | 44 (16.8) | Χ2 (4) = 25.086 |
| 3 | 108 (20.7) | 30 (13.0) | 72 (27.5) | p = 0.000 |
| 4 | 54 (10.3) | 23 (10.0) | 30 (11.5) | V = 0.232 ** |
| 5 (Very important) | 26 (5.0) | 4 (1.7) | 19 (7.3) | N = 466 |
| Missing | 40 (7.6) | 19 (8.2) | 8 (3.1) | |
| Total | 523 (100.0) | 231 (100.0) | 262 (100.0) | |
| Preferred Running Surface | ||||
| Buffed out trail | 293 (56.0) | 120 (51.9) | 164 (62.6) | Χ2 (1) = 5.5143 |
| Rocky terrain | 211 (40.3) | 111 (48.1) | 97 (37.0) | p = 0.019 |
| ϕ = −0.110 | ||||
| Missing | 19 (3.6) | 0 (0.0) | 1 (0.4) | N = 492 |
| Total | 523 (100.0) | 231 (100.0) | 262 (100.0) | |
| Concerns for Running (more than one response permitted) | ||||
| Bears | 145 (27.7) | 62 (26.8) | 78 (29.8) | |
| Fear of people | 135 (25.8) | 29 (12.6) | 102 (38.9) | |
| Cougars | 136 (26.0) | 49 (21.2) | 85 (32.4) | |
| Other wildlife | 81 (15.5) | 34 (14.7) | 43 (16.4) | |
| Gear issues | 107 (20.5) | 57 (24.7) | 44 (16.8) | |
| No cell reception | 222 (42.4) | 78 (33.8) | 133 (50.8) | NA |
| Slips and falls | 288 (55.1) | 123 (53.2) | 151 (57.6) | N = 523 |
| Navigational challenges | 162 (31.0) | 62 (26.8) | 93 (35.5) | |
| Cliffs or precipices | 75 (14.3) | 37 (16.0) | 35 (13.4) | |
| Sudden weather/storms | 184 (35.2) | 88 (38.1) | 84 (32.1) | |
| None | 79 (15.1) | 48 (20.8) | 27 (10.3) | |
| Other | 152 (29.1) | 77 (33.3) | 74 (28.2) | |
| What types of trail race challenges do you seek? | ||||
| Fairly flat | 85 (16.3) | 25 (10.8) | 55 (21.0) | Χ2 (2) = 30.086 |
| Steep | 118 (22.6) | 71 (30.7) | 46 (17.6) | p = 0.000 |
| Undulating | 299 (57.2) | 134 (58.0) | 159 (60.7) | V = 0.086 * |
| Missing | 21 (4.0) | 1 (0.4) | 2 (0.8) | N = 490 |
| Total | 523 (100.0) | 231 (100.0) | 262 (100.0) | |
| Are you an elevation/vert seeker? | ||||
| Yes | 140 (26.8) | 71 (30.7) | 66 (25.2) | Χ2 (2) = 12.087 |
| No | 154 (29.4) | 53 (22.9) | 98 (37.4) | p = 0.002 |
| Depending on next race/season | 211 (40.3) | 107 (46.3) | 98 (37.4) | V = 0.157 * |
| Missing | 18 (3.4) | 0 (0.0) | 0 (0.0) | N = 493 |
| Total | 523 (100.0) | 231 (100.0) | 262 (100.0) |
Disclaimer/Publisher’s Note: The statements, opinions and data contained in all publications are solely those of the individual author(s) and contributor(s) and not of MDPI and/or the editor(s). MDPI and/or the editor(s) disclaim responsibility for any injury to people or property resulting from any ideas, methods, instructions or products referred to in the content. |
© 2024 by the authors. Licensee MDPI, Basel, Switzerland. This article is an open access article distributed under the terms and conditions of the Creative Commons Attribution (CC BY) license (https://creativecommons.org/licenses/by/4.0/).
Share and Cite
Rosenkrantz, L.; Schuurman, N.; Lear, S.A. Environmental Preferences and Concerns of Recreational Trail Runners. Int. J. Environ. Res. Public Health 2024, 21, 97. https://doi.org/10.3390/ijerph21010097
Rosenkrantz L, Schuurman N, Lear SA. Environmental Preferences and Concerns of Recreational Trail Runners. International Journal of Environmental Research and Public Health. 2024; 21(1):97. https://doi.org/10.3390/ijerph21010097
Chicago/Turabian StyleRosenkrantz, Leah, Nadine Schuurman, and Scott A. Lear. 2024. "Environmental Preferences and Concerns of Recreational Trail Runners" International Journal of Environmental Research and Public Health 21, no. 1: 97. https://doi.org/10.3390/ijerph21010097
APA StyleRosenkrantz, L., Schuurman, N., & Lear, S. A. (2024). Environmental Preferences and Concerns of Recreational Trail Runners. International Journal of Environmental Research and Public Health, 21(1), 97. https://doi.org/10.3390/ijerph21010097

