Changes in Bacterial Communities and Their Effects on Soil Carbon Storage in Spartina alterniflora Invasion Areas, Coastal Wetland Bare Flats, and Sueada salsa Areas
Abstract
1. Introduction
2. Material and Method
2.1. Study Area
2.2. Samples Collection
2.3. Soil Carbon Content Detection
2.4. DNA Extraction and PCR Amplification
2.5. Illumina Miseq Sequencing
3. Results and Discussion
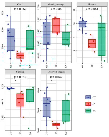
3.1. Changes in α Diversity of Bacterial Communities
3.2. Changes in Bacterial Community Composition
3.3. Similarities and Differences among Soil Bacterial Communities
3.4. Verification of Similarities and Differences of Soil Bacterial Communities
3.5. Possible Relationship between Soil Carbon Content Changes and Bacterial Community Changes
4. Conclusions
Author Contributions
Funding
Institutional Review Board Statement
Informed Consent Statement
Data Availability Statement
Acknowledgments
Conflicts of Interest
References
- Finlayson, C.M. Coastal wetlands and climate change: The role of governance and science. Aquat. Conserv. 2010, 9, 621–626. [Google Scholar] [CrossRef]
- Liu, M.; Mao, D.; Wang, Z.; Li, L.; Man, W.; Jia, M.; Ren, C.; Zhang, Y. Rapid Invasion of Spartina alterniflora in the Coastal Zone of Mainland China: New Observations from Landsat OLI Images. Remote Sens. 2018, 10, 1933. [Google Scholar] [CrossRef]
- Mcleod, E.; Chmura, G.L.; Bouillon, S.; Salm, R.; BjöRk, M.; Duarte, C.M.; Lovelock, C.E.; Schlesinger, W.H.; Silliman, B.R. A blueprint for blue carbon: Toward an improved understanding of the role of vegetated coastal habitats in sequestering CO2. Front. Ecol. Environ. 2011, 9, 552–560. [Google Scholar] [CrossRef] [PubMed]
- Bastviken, D.; Tranvik, L.J.; Downing, J.A.; Crill, P.M.; Enrich-Prast, A. Freshwater methane emissions offset the continental carbon sink. Science 2011, 331, 50. [Google Scholar] [CrossRef] [PubMed]
- Macreadie, P.I.; Nielsen, D.A.; Kelleway, J.J.; Atwood, T.B.; Seymour, J.R.; Petrou, K.; Connolly, R.M.; Thomson, A.C.G.; Trevathan-Tackett, S.M.; Ralph, P.J. Can we manage coastal ecosystems to sequester more blue carbon. Front. Ecol. Environ. 2017, 15, 206–213. [Google Scholar] [CrossRef]
- Zhou, H.X.; Liu, J.E.; Qin, P. Impacts of an alien species (Spartina alterniflora) on the macrobenthos community of Jiangsu coastal inter-tidal ecosystem. Ecol. Eng. 2009, 35, 521–528. [Google Scholar] [CrossRef]
- Chung, C.H.; Zhuo, R.Z.; Xu, G.W. Creation of Spartina plantations for reclaiming Dongtai, China, tidal flats and offshore sands. Ecol. Eng. 2004, 23, 135–150. [Google Scholar] [CrossRef]
- Yang, R.M. Characterization of the salt marsh soils and visible-near-infrared spectroscopy along a chronosequence of Spartina alterniflora invasion in a coastal wetland of eastern China. Geoderma 2020, 362, 114138. [Google Scholar] [CrossRef]
- Li, B.; Liao, C.; Zhang, X.; Chen, H.; Wang, Q.; Chen, Z.; Gan, X.; Wu, J.; Zhao, B.; Ma, Z.; et al. Spartina alterniflora invasions in the Yangtze River estuary, China: An overview of current status and ecosystem effects. Ecol. Eng. 2009, 35, 511–520. [Google Scholar] [CrossRef]
- Meng, W.; Feagin, R.A.; Innocenti, R.A.; Hu, B.; Li, H. Invasion and ecological effects of exotic smooth cordgrass Spartina alterniflora in China. Ecol. Eng. 2020, 143, 105670. [Google Scholar] [CrossRef]
- Wan, S.; Qin, P.; Liu, J.; Zhou, H. The positive and negative effects of exotic Spartina alterniflora in China. Ecol. Eng. 2009, 35, 444–452. [Google Scholar] [CrossRef]
- Qin, P.; Li, S.Y. Two sides of Spartina alterniflora and its ecological control. J. Biosaf. 2012, 21, 167–176. [Google Scholar]
- Zhao, Y.; Wang, S.; Yang, W.; Li, Y.; Kong, F. Research progress and prospects for the control of Spartina alterniflora in China. J. Biosaf. 2022, 31, 210–216. [Google Scholar]
- Levin, L.A.; Neira, C.; Grosholz, E.D. Invasive Cordgrass Modifies Wetland Trophic Function. Ecology 2006, 87, 419–432. [Google Scholar] [CrossRef] [PubMed]
- Ma, Z.; Gan, X.; Cai, Y.; Chen, J.; Li, B. Effects of exotic Spartina alterniflora on the habitat patch associations of breeding saltmarsh birds at Chongming Dongtan in the Yangtze River estuary, China. Biol. Invasions 2011, 13, 1673–1686. [Google Scholar] [CrossRef]
- Zhang, C.B.; Liu, W.L.; Luo, B.; Guan, M.; Wang, J.; Ge, Y.; Chang, J. Spartina alterniflora invasion impacts denitrifying community diversity and functioning in marsh soils. Geoderma 2020, 375, 114456. [Google Scholar] [CrossRef]
- Yu, C.; Cao, J.; Du, W.; Zhu, Z.; Xu, M. Changes in the population and functional profile of bacteria and fungi in the rhizosphere of Suaeda salsa is driven by invasion of Spartina alterniflora. Ecol. Indic. 2022, 144, 109516. [Google Scholar] [CrossRef]
- Sundberg, C.; Al-Soud, W.A.; Larsson, M.; Alm, E.; Yekta, S.S.; Svensson, B.H.; Sorensen, S.J.; Karlsson, A. 454 pyrosequencing analyses of bacterial and archaeal richness in 21 full-scale biogas digesters. FEMS Microbiol. Ecol. 2013, 85, 612–626. [Google Scholar] [CrossRef]
- De Mares, M.C.; Sipkema, D.; Huang, S.X.; Bunk, B.; Overmann, J.; van Elsas, J.D. Host Specificity for Bacterial, Archaeal and Fungal Communities Determined for High- and Low-Microbial Abundance Sponge Species in Two Genera. Front. Microbiol. 2017, 8, 2560. [Google Scholar] [CrossRef]
- Benjamini, Y.; Hochberg, Y. Controlling the False Discovery Rate: A Practical and Powerful Approach to Multiple Testing. J. R. Stat. Soc. B 1995, 57, 289–300. [Google Scholar] [CrossRef]
- DeSantis, T.Z.; Hugenholtz, P.; Larsen, N.; Rojas, M.; Brodie, E.L.; Keller, K.; Huber, T.; Dalevi, D.; Hu, P.; Andersen, G.L. Greengenes, a chimera-checked 16S rRNA gene database and workbench compatible with ARB. Appl. Environ. Microbiol. 2006, 72, 5069–5072. [Google Scholar] [CrossRef]
- Callahan, B.J.; McMurdie, P.J.; Rosen, M.J.; Han, A.W.; Johnson, A.J.A.; Holmes, S.P. DADA2: High-resolution sample inference from Illumina amplicon data. Nat. Methods 2016, 13, 581–583. [Google Scholar] [CrossRef]
- Rognes, T.; Flouri, T.; Nichols, B.; Quince, C.; Mahe, F. VSEARCH: A versatile open source tool for metagenomics. PeerJ 2016, 4, e2584. [Google Scholar] [CrossRef]
- Zhang, S.; Pang, S.; Wang, P.; Wang, C.; Guo, C.; Addo, F.G.; Li, Y. Responses of bacterial community structure and denitrifying bacteria in biofilm to submerged macrophytes and nitrate. Sci. Rep. 2016, 6, 36178. [Google Scholar] [CrossRef]
- Liang, C.; Schimel, J.P.; Jastrow, J.D. The importance of anabolism in microbial control over soil carbon storage. Nat. Microbiol. 2017, 2, 17105. [Google Scholar] [CrossRef] [PubMed]
- Kang, H.; Kim, S.Y.; Freeman, C. Enzyme Activities Methods in Biogeochemistry of Wetlands. In Madison: Soil Science Society of America; DeLaune, R.D., Reddy, K.R., Richardson, C.J., Megonigal, J.P., Eds.; Duke University Wetland Center: Durham, NC, USA, 2013; Volume 10, pp. 373–384. [Google Scholar]
- Zhang, Z.; Han, P.; Zheng, Y.; Jiao, S.; Dong, H.; Liang, X.; Gao, D.; Niu, Y.; Yin, G.; Liu, M.; et al. Spatiotemporal Dynamics of Bacterial Taxonomic and Functional Profiles in Estuarine Intertidal Soils of China Coastal Zone. Microb. Ecol. 2022, 85, 383–399. [Google Scholar] [CrossRef] [PubMed]
- Clarke, K.R. Non-parametric multivariate analyses of changes in community structure. Aust. J. Ecol. 1993, 18, 117–143. [Google Scholar] [CrossRef]
- Warton, D.I.; Wright, S.T.; Wang, Y. Distance-based multivariate analyses confound location and dispersion effects. Methods Ecol. Evol. 2012, 3, 89–101. [Google Scholar] [CrossRef]
- Legendre, P.; Gallagher, E.D. Ecologically meaningful transformations for ordination of species data. Oecologia 2001, 129, 271–280. [Google Scholar] [CrossRef]
- Bernal, B.; Mitsch, W.J. Comparing carbon sequestration in temperate freshwater wetland communities. Glob. Chang. Biol. 2012, 18, 1636–1647. [Google Scholar] [CrossRef]
- Bernal, B.; Mitsch, W.J. Carbon sequestration in freshwater wetlands in Costa Rica and Botswana. Biogeochemistry 2013, 115, 77–93. [Google Scholar] [CrossRef]
- Zhang, G.; Bai, J.; Zhao, Q.; Jia, J.; Wang, X. Soil carbon storage and carbon sources under different Spartina alterniflora invasion periods in a salt marsh ecosystem. Catena 2021, 196, 104831. [Google Scholar] [CrossRef]
- Liao, C.; Luo, Y.; Jiang, L.; Zhou, X.; Wu, X.; Fang, C.; Chen, J.; Li, B. Invasion of Spartina alterniflora Enhanced Ecosystem Carbon and Nitrogen Stocks in the Yangtze Estuary, China. Ecosystems 2007, 10, 1351–1361. [Google Scholar] [CrossRef]
- Liao, C.Z.; Luo, Y.Q.; Fang, C.M.; Chen, J.K.; Li, B. Litter pool sizes, decomposition, and nitrogen dynamics in Spartina alterniflora-invaded and native coastal marshlands of the Yangtze Estuary. Oecologia 2008, 156, 589–600. [Google Scholar] [CrossRef] [PubMed]
- Yang, W.; Jeelani, N.; Leng, X.; Cheng, X.; An, S. Spartina alterniflora invasion alters soil microbial community composition and microbial respiration following invasion chronosequence in a coastal wetland of China. Sci. Rep. 2016, 6, 26880. [Google Scholar] [CrossRef] [PubMed]
- Pei, L.; Ye, S.; Yuan, H.; Pei, S.; Xie, S.; Wang, J. Glomalin-related soil protein distributions in the wetlands of the Liaohe Delta, Northeast China: Implications for carbon sequestration and mineral weathering of coastal wetlands. Limnol. Oceanogr. 2020, 65, 979–991. [Google Scholar] [CrossRef]
- Neori, A.; Agami, M. The Functioning of Rhizosphere Biota in Wetlands—A Review. Wetlands 2017, 37, 615–633. [Google Scholar] [CrossRef]
- Yangyao, J.; Chen, H.; Wang, Y.; Kan, P.; Yao, J.; Zhang, D.; Sun, W.; Yao, Z. Metagenomic insights into the functional genes across transects in a typical estuarine marsh. Sci. Total Environ. 2023, 857, 159593. [Google Scholar] [CrossRef]






| Sample | GT | JP | SA |
|---|---|---|---|
| Vegetation | Bare flat | Sueada salsa | Spartina alterniflora Loisel |
| Location | 32°45′ N, 120°57′ E | 32°52′ N, 120°56′ E | 32°47′ N, 120°57′ E |
| pH | 8.34 ± 0.39 | 8.52 ± 0.05 | 7.68 ± 0.10 |
| EC (mS/cm) | 43.4 ± 2.7 | 34.8 ± 4.7 | 36.8 ± 2.7 |
| TC (mg/g) | 12.11 + 1.56 | 14.42 ± 1.53 | 13.45 ± 2.64 |
| IC (mg/g) | 2.17 ± 0.46 | 7.27 ± 1.02 | 3.16 ± 0.73 |
| SOC (mg/g) | 9.94 ± 0.23 | 7.15 ± 0.63 | 10.29 ± 0.35 |
| Group1 | Group2 | Sample Size | R | p-Value | q-Value |
|---|---|---|---|---|---|
| GT | JP | 12 | 0.914 | 0.004 | 0.011 |
| GT | SA | 13 | 0.278 | 0.034 | 0.034 |
| JP | SA | 9 | 1 | 0.007 | 0.011 |
Disclaimer/Publisher’s Note: The statements, opinions and data contained in all publications are solely those of the individual author(s) and contributor(s) and not of MDPI and/or the editor(s). MDPI and/or the editor(s) disclaim responsibility for any injury to people or property resulting from any ideas, methods, instructions or products referred to in the content. |
© 2023 by the authors. Licensee MDPI, Basel, Switzerland. This article is an open access article distributed under the terms and conditions of the Creative Commons Attribution (CC BY) license (https://creativecommons.org/licenses/by/4.0/).
Share and Cite
Liu, J.; Duan, X.; Li, G.; Cai, Z.; Wei, S.; Song, Q.; Zheng, Z. Changes in Bacterial Communities and Their Effects on Soil Carbon Storage in Spartina alterniflora Invasion Areas, Coastal Wetland Bare Flats, and Sueada salsa Areas. Int. J. Environ. Res. Public Health 2023, 20, 4308. https://doi.org/10.3390/ijerph20054308
Liu J, Duan X, Li G, Cai Z, Wei S, Song Q, Zheng Z. Changes in Bacterial Communities and Their Effects on Soil Carbon Storage in Spartina alterniflora Invasion Areas, Coastal Wetland Bare Flats, and Sueada salsa Areas. International Journal of Environmental Research and Public Health. 2023; 20(5):4308. https://doi.org/10.3390/ijerph20054308
Chicago/Turabian StyleLiu, Jiashuo, Xiaoxiao Duan, Guo Li, Zhenjie Cai, Sijie Wei, Qixuan Song, and Zheng Zheng. 2023. "Changes in Bacterial Communities and Their Effects on Soil Carbon Storage in Spartina alterniflora Invasion Areas, Coastal Wetland Bare Flats, and Sueada salsa Areas" International Journal of Environmental Research and Public Health 20, no. 5: 4308. https://doi.org/10.3390/ijerph20054308
APA StyleLiu, J., Duan, X., Li, G., Cai, Z., Wei, S., Song, Q., & Zheng, Z. (2023). Changes in Bacterial Communities and Their Effects on Soil Carbon Storage in Spartina alterniflora Invasion Areas, Coastal Wetland Bare Flats, and Sueada salsa Areas. International Journal of Environmental Research and Public Health, 20(5), 4308. https://doi.org/10.3390/ijerph20054308

