A Deep Learning Approach for Dengue Fever Prediction in Malaysia Using LSTM with Spatial Attention
Abstract
1. Introduction
2. Literature Review
3. Data and Methodology
3.1. Description of Study Area
3.2. Description of the Dataset
3.3. Data Preprocessing
3.4. Dengue Prediction
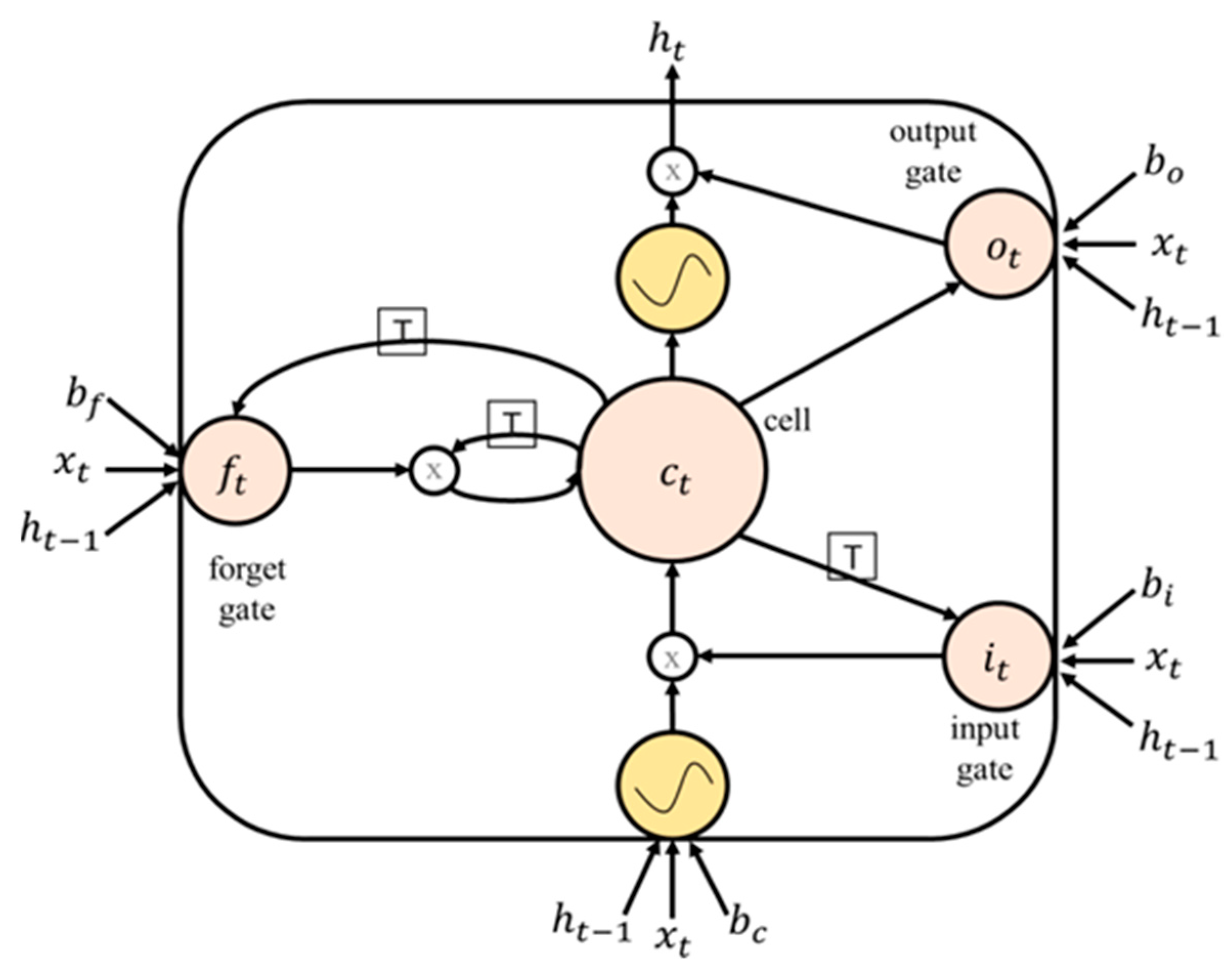
3.4.1. LSTM
3.4.2. The Proposed LSTM
LSTM Architecture
Spatial Attention Mechanism
Training Process
3.4.3. Benchmark Models
3.4.4. Evaluation Metrics
4. Results
4.1. LSTM Model Evaluation
4.2. Comparison with Benchmark Models
4.3. Impact of Spatial Attention Mechanism
4.4. Discussion
- ○
- Early warning systems: Predictive models based on LSTM with spatial attention can be used to identify areas at high risk for dengue fever outbreaks. This information can be used to implement targeted prevention measures, such as mosquito control efforts, and can help to reduce the impact of outbreaks on affected communities.
- ○
- Resource allocation: Predictive models can be used to identify areas where resources (e.g., healthcare staff, medical supplies) may be needed in the event of a dengue fever outbreak. This can help public health officials to allocate resources in a targeted and efficient manner.
- ○
- Surveillance and monitoring: Predictive models can be used to monitor the risk of dengue fever outbreaks over time, allowing public health officials to identify trends and changes in the risk of outbreaks. This can help to inform the development of prevention and control strategies.
5. Conclusions
Author Contributions
Funding
Data Availability Statement
Conflicts of Interest
References
- Murray, N.E.A.; Quam, M.B.; Wilder-Smith, A. Epidemiology of dengue: Past, present and future prospects. Clin. Epidemiol. 2013, 5, 299. [Google Scholar] [PubMed]
- European Centre for Disease Prevention and Control. Dengue Monthly. (n.d.) Available online: https://www.ecdc.europa.eu/en/dengue-monthly (accessed on 18 February 2023).
- Al-Dubai, S.A.; Ganasegeran, K.; Mohanad Rahman, A.; Alshagga, M.A.; Saif-Ali, R. Factors affecting dengue fever knowledge, attitudes and practices among selected urban, semi-urban and rural communities in Malaysia. Southeast Asian J. Trop. Med. Public Health 2013, 44, 37–49. [Google Scholar]
- Hochreiter, S.; Schmidhuber, J. Long short-term memory. Neural Comput. 1997, 9, 1735–1780. [Google Scholar] [CrossRef] [PubMed]
- Nguyen, V.-H.; Tuyet-Hanh, T.T.; Mulhall, J.; Van Minh, H.; Duong, T.Q.; Van Chien, N.; Nhung, N.T.T.; Lan, V.H.; Cuong, D.; Bich, N.N.; et al. Deep learning models for forecasting dengue fever based on climate data in Vietnam. PLoS Neglected Trop. Dis. 2022, 16, e0010509. [Google Scholar] [CrossRef] [PubMed]
- Sarma, D.; Hossain, S.; Mittra, T.; Bhuiya MA, M.; Saha, I.; Chakma, R. Dengue prediction using machine learning algorithms. In Proceedings of the 2020 IEEE 8th R10 Humanitarian Technology Conference (R10-HTC), Kuching, Malaysia, 1 December 2020; pp. 1–6. [Google Scholar]
- Guo, P.; Liu, T.; Zhang, Q.; Wang, L.; Xiao, J.; Zhang, Q.; Luo, G.; Li, Z.; He, J.; Zhang, Y.; et al. Developing a dengue forecast model using machine learning: A case study in China. PLoS Negl. Trop. Dis. 2017, 11, e0005973. [Google Scholar] [CrossRef]
- Shaukat, K.; Masood, N.; Mehreen, S.; Azmeen, U. Dengue fever prediction: A data mining problem. J. Data Min. Genom. Proteom. 2015, 1–5. [Google Scholar] [CrossRef]
- Arafiyah, R.; Hermin, F.; Kartika, I.R.; Alimuddin, A.; Saraswati, I. Classification of Dengue Haemorrhagic Fever (DHF) using SVM, naive bayes and random forest. In Proceedings of the IOP Conference Series: Materials Science and Engineering, Kuala Lumpur, Malaysia, 13–14 August 2018; Volume 434, No. 1. p. 012070. [Google Scholar]
- Roster, K.; Rodrigues, F.A. Neural networks for dengue prediction: A systematic review. arXiv 2021, arXiv:2106.12905. [Google Scholar]
- Dourjoy, S.M.K.; Rafi, A.M.G.R.; Tumpa, Z.N.; Saifuzzaman, M. A comparative study on prediction of dengue fever using machine learning algorithm. In Advances in Distributed Computing and Machine Learning; Springer: Singapore, 2021; pp. 501–510. [Google Scholar]
- Zhao, N.; Charland, K.; Carabali, M.; Nsoesie, E.O.; Maheu-Giroux, M.; Rees, E.; Zinszer, K. Machine learning and dengue forecasting: Comparing random forests and artificial neural networks for predicting dengue burden at national and sub-national scales in Colombia. PLoS Negl. Trop. Dis. 2020, 14, e0008056. [Google Scholar] [CrossRef]
- Salim NA, M.; Wah, Y.B.; Reeves, C.; Smith, M.; Yaacob WF, W.; Mudin, R.N.; Haque, U. Prediction of dengue outbreak in Selangor Malaysia using machine learning techniques. Sci. Rep. 2021, 11, 939. [Google Scholar] [CrossRef]
- Iqbal, N.; Islam, M. Machine learning for Dengue outbreak prediction: An outlook. Int. J. Adv. Res. Comput. Sci. 2017, 8, 93–102. [Google Scholar]
- Doni, A.R.; Sasipraba, T. LSTM-RNN Based Approach for Prediction of Dengue Cases in India. Ing. Syst. d’Inf. 2020, 25, 327–335. [Google Scholar] [CrossRef]
- Xu, J.; Xu, K.; Li, Z.; Tu, T.; Xu, L.; Liu, Q. Developing a dengue forecast model using Long Short Term Memory neural networks method. bioRxiv 2019. [Google Scholar] [CrossRef]
- Saleh, A.Y.; Baiwei, L. Dengue Prediction Using Deep Learning with Long Short-Term Memory. In Proceedings of the 2021 1st International Conference on Emerging Smart Technologies and Applications (eSmarTA), Sana’a, Yemen, 10–12 August 2021; pp. 1–5. [Google Scholar]
- Alfred, R.; Obit, J.H. The roles of machine learning methods in limiting the spread of deadly diseases: A systematic review. Heliyon 2021, 7, e07371. [Google Scholar] [CrossRef] [PubMed]
- Mussumeci, E.; Coelho, F.C. Machine-learning forecasting for Dengue epidemics-Comparing LSTM, Random Forest and Lasso regression. medRxiv 2020. [Google Scholar] [CrossRef]
- Nadda, W.; Boonchieng, W.; Boonchieng, E. Dengue fever detection using Long short-term memory neural network. In Proceedings of the 2020 17th International Conference on Electrical Engineering/Electronics, Computer, Telecommunications and Information Technology (ECTI-CON), Phuket, Thailand, 24–27 June 2020; pp. 755–758. [Google Scholar]
- Khaira, U.; Utomo, P.E.P.; Aryani, R.; Weni, I. A comparison of SARIMA and LSTM in forecasting dengue hemorrhagic fever incidence in Jambi, Indonesia. J. Phys. Conf. Ser. 2020, 1566, 012054. [Google Scholar] [CrossRef]
- Nadda, W.; Boonchieng, W.; Boonchieng, E. Influenza, dengue and common cold detection using LSTM with fully connected neural network and keywords selection. BioData Min. 2022, 15, 1–14. [Google Scholar] [CrossRef] [PubMed]
- Wong, C.L.; Venneker, R.; Uhlenbrook, S.; Jamil AB, M.; Zhou, Y. Variability of rainfall in Peninsular Malaysia. Hydrol. Earth Syst. Sci. Discuss. 2009, 6, 5471–5503. [Google Scholar]
- Shepard, D.S.; Undurraga, E.A.; Halasa, Y.A. Economic and disease burden of dengue in Southeast Asia. PLoS Negl. Trop. Dis. 2013, 7, e2055. [Google Scholar] [CrossRef] [PubMed]
- Mohd-Zaki, A.H.; Brett, J.; Ismail, E.; L’Azou, M. Epidemiology of dengue disease in Malaysia (2000–2012): A systematic literature review. PLoS Negl. Trop. Dis. 2014, 8, e3159. [Google Scholar] [CrossRef] [PubMed]
- Diong, J.Y.; Yip, W.S.; MatAdam, M.K.; Chang, N.K.; Yunus, F.; Abdullah, M.H. The definitions of the southwest monsoon climatological onset and withdrawal over Malaysian region. Malays. Meteorol. Dep. 2015, 3, 1–30. [Google Scholar]
- Moten, S.; Yunus, F.; Ariffin, M.; Burham, N.; Yik, D.J.; Adam MK, M.; Sang, Y.W. Statistics of Northeast Monsoon Onset, Withdrawal and Cold Surges in Malaysia; Guidelines No. 1; Malaysian Meteorological Department: Petaling Jaya, Malaysia, 2014. [Google Scholar]











| 1 | Prepare the training data by preprocessing and formatting them for input into the model. This might involve scaling the data to a common range, handling missing values, and creating lag variables to capture the temporal dynamics of the data. |
| 2 | Initialize the model’s parameters and set the optimization algorithm, learning rate, and loss function. |
| 3 | Iterate through the training data in mini-batches. For each mini-batch, pass the input data through the LSTM model and use the predicted dengue cases to calculate the loss according to the chosen loss function. |
| 4 | Use the Adam optimization algorithm to adjust the model’s parameters based on the calculated loss and the learning rate. |
| 5 | Repeat steps 3 and 4 for a set number of epochs, or until the loss reaches a satisfactory level or stops improving. |
| 6 | Monitor the training process by evaluating the model’s performance on a validation set, which is a subset of the training data that is used to assess the model’s generalization performance. This can help identify overfitting and prevent the model from learning from noise in the training data. |
| 7 | Save the trained model and its parameters for later use. |
| 8 | Test the trained model on a separate test set, which is a subset of the data that has not been used in training or validation. This allows us to evaluate the model’s performance on unseen data and gauge its real-world effectiveness. |
| Lookback | Model | |||||
|---|---|---|---|---|---|---|
| LSTM | S-LSTM | TA-LSTM | STA-LSTM | SA-LSTM | SSA-LSTM | |
| 1 | 3.75 | 3.72 | 3.72 | 3.26 | 3.65 | 3.22 |
| 2 | 3.57 | 3.62 | 3.62 | 3.12 | 3.06 | 3.07 |
| 3 | 5.06 | 5.11 | 5.11 | 4.55 | 4.95 | 3.58 |
| 4 | 3.74 | 3.85 | 3.85 | 3.42 | 3.85 | 2.71 |
| 5 | 3.99 | 3.85 | 3.85 | 3.36 | 3.62 | 2.65 |
| 6 | 4.78 | 4.62 | 4.62 | 4.31 | 4.11 | 3.76 |
| Min | 3.57 | 3.62 | 3.62 | 3.12 | 3.06 | 2.65 |
| Max | 5.06 | 5.11 | 5.11 | 4.55 | 4.95 | 3.76 |
| Average | 4.15 | 4.13 | 4.13 | 3.67 | 3.87 | 3.17 |
| Std. | 0.61 | 0.59 | 0.59 | 0.6 | 0.58 | 0.41 |
| Lookback | Model | |||
|---|---|---|---|---|
| SVM | DT | ANN | SSA-LSTM | |
| 1 | 4.44 | 4.82 | 4.66 | 3.22 |
| 2 | 4.37 | 5.58 | 4.42 | 3.07 |
| 3 | 4.76 | 5.6 | 4.53 | 3.58 |
| 4 | 4.44 | 5.93 | 4.42 | 2.71 |
| 5 | 4.67 | 5.69 | 4.76 | 2.65 |
| 6 | 4.86 | 4.96 | 5.00 | 3.76 |
| Min | 4.37 | 4.82 | 4.42 | 2.65 |
| Max | 4.86 | 5.93 | 5.00 | 3.76 |
| Average | 4.59 | 5.43 | 4.63 | 3.17 |
| Std. | 0.20 | 0.43 | 0.22 | 0.41 |
Disclaimer/Publisher’s Note: The statements, opinions and data contained in all publications are solely those of the individual author(s) and contributor(s) and not of MDPI and/or the editor(s). MDPI and/or the editor(s) disclaim responsibility for any injury to people or property resulting from any ideas, methods, instructions or products referred to in the content. |
© 2023 by the authors. Licensee MDPI, Basel, Switzerland. This article is an open access article distributed under the terms and conditions of the Creative Commons Attribution (CC BY) license (https://creativecommons.org/licenses/by/4.0/).
Share and Cite
Majeed, M.A.; Shafri, H.Z.M.; Zulkafli, Z.; Wayayok, A. A Deep Learning Approach for Dengue Fever Prediction in Malaysia Using LSTM with Spatial Attention. Int. J. Environ. Res. Public Health 2023, 20, 4130. https://doi.org/10.3390/ijerph20054130
Majeed MA, Shafri HZM, Zulkafli Z, Wayayok A. A Deep Learning Approach for Dengue Fever Prediction in Malaysia Using LSTM with Spatial Attention. International Journal of Environmental Research and Public Health. 2023; 20(5):4130. https://doi.org/10.3390/ijerph20054130
Chicago/Turabian StyleMajeed, Mokhalad A., Helmi Zulhaidi Mohd Shafri, Zed Zulkafli, and Aimrun Wayayok. 2023. "A Deep Learning Approach for Dengue Fever Prediction in Malaysia Using LSTM with Spatial Attention" International Journal of Environmental Research and Public Health 20, no. 5: 4130. https://doi.org/10.3390/ijerph20054130
APA StyleMajeed, M. A., Shafri, H. Z. M., Zulkafli, Z., & Wayayok, A. (2023). A Deep Learning Approach for Dengue Fever Prediction in Malaysia Using LSTM with Spatial Attention. International Journal of Environmental Research and Public Health, 20(5), 4130. https://doi.org/10.3390/ijerph20054130

