Pesticide Exposure of Residents Living in Wine Regions: Protocol and First Results of the Pestiprev Study
Abstract
1. Introduction
2. Materials and Methods
2.1. Participants’ Enrollment
2.2. Data Collection
2.2.1. Questionnaires
2.2.2. Surface Wipe Samples
2.2.3. Individual Measures: Hand Washing and Patches
2.3. Pesticide Analysis
2.3.1. Pesticides Selected
2.3.2. Quantitative Analysis of Pesticide Residues
2.4. Data Management and Statistical Analysis
2.5. Assessment of Acceptability
3. Results
3.1. Population and Household Characteristics
3.2. Detecting and Quantifying Pesticides in Samples
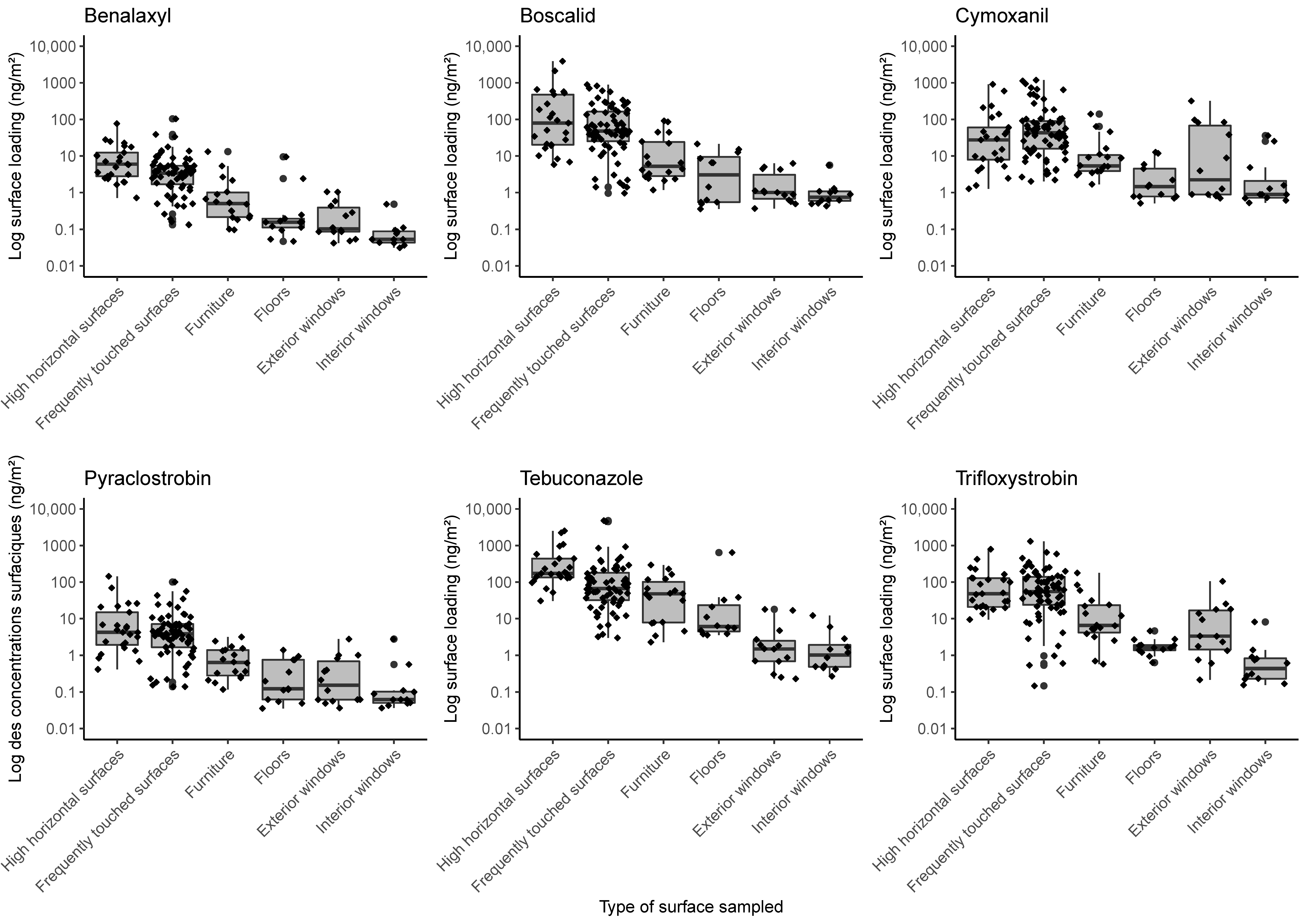
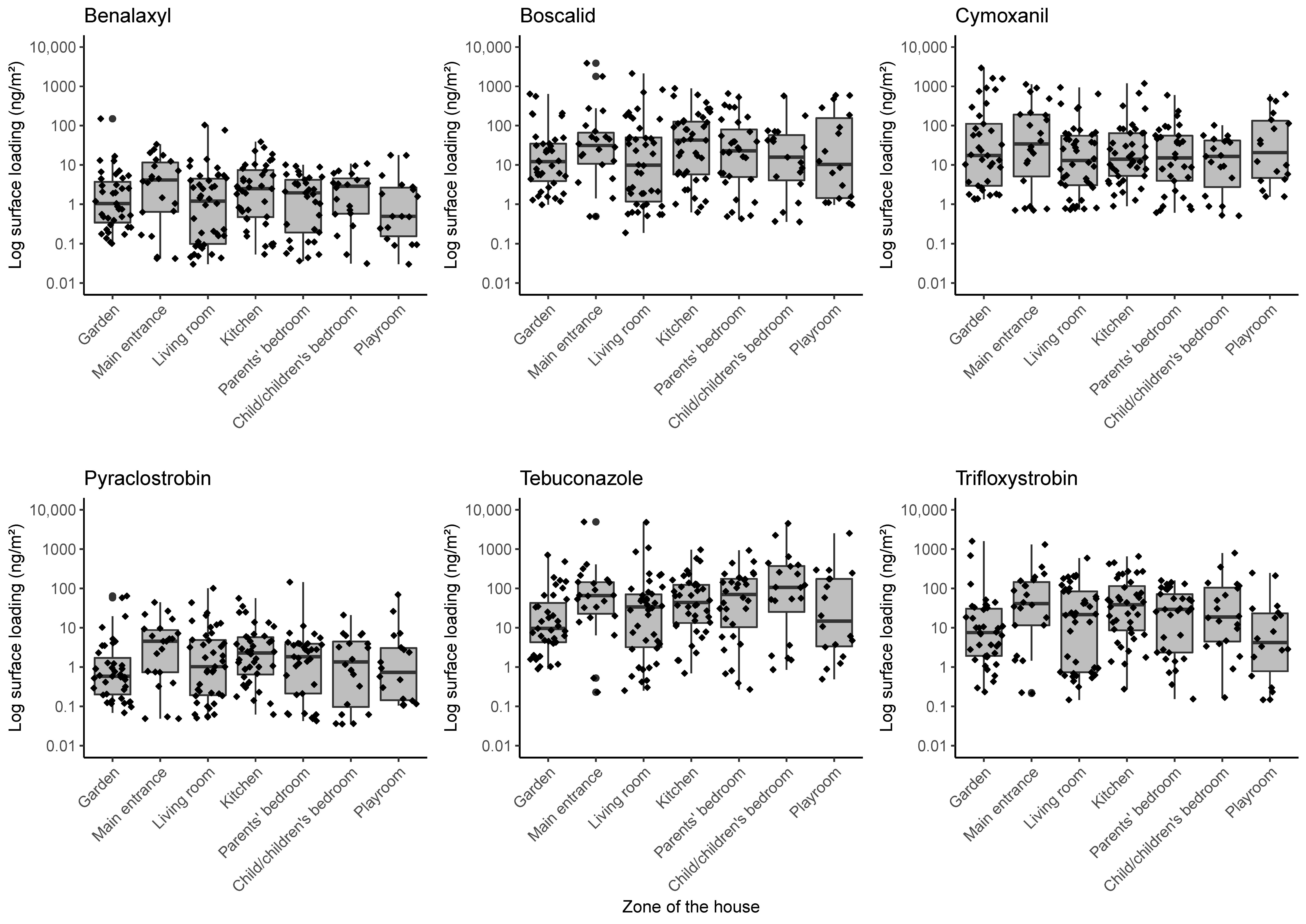
3.2.1. Pesticides on Indoor and Outdoor Surfaces
3.2.2. Individual Measurements
3.2.3. External Contamination of Pets
3.3. Determinants of the Pesticide Surface Loadings on the Surfaces
3.4. Acceptability
4. Discussion
4.1. Protocol Validity
4.2. Presence and Surface Loading of Pesticides in the Houses
4.3. Determinants of the Pesticide Levels on the Surfaces
5. Conclusions
Supplementary Materials
Author Contributions
Funding
Institutional Review Board Statement
Informed Consent Statement
Data Availability Statement
Conflicts of Interest
References
- Lewis-Mikhael, A.-M.; Bueno-Cavanillas, A.; Ofir Giron, T.; Olmedo-Requena, R.; Delgado-Rodríguez, M.; Jiménez-Moleón, J.J. Occupational Exposure to Pesticides and Prostate Cancer: A Systematic Review and Meta-Analysis. Occup. Environ. Med. 2016, 73, 134–144. [Google Scholar] [CrossRef]
- Van Maele-Fabry, G.; Duhayon, S.; Lison, D. A Systematic Review of Myeloid Leukemias and Occupational Pesticide Exposure. Cancer Causes Control 2007, 18, 457–478. [Google Scholar] [CrossRef]
- Van Maele-Fabry, G.; Hoet, P.; Vilain, F.; Lison, D. Occupational Exposure to Pesticides and Parkinson’s Disease: A Systematic Review and Meta-Analysis of Cohort Studies. Environ. Int. 2012, 46, 30–43. [Google Scholar] [CrossRef]
- Gunnarsson, L.-G.; Bodin, L. Occupational Exposures and Neurodegenerative Diseases-A Systematic Literature Review and Meta-Analyses. Int. J. Environ. Res. Public Health 2019, 16, 337. [Google Scholar] [CrossRef]
- Rocheleau, C.M.; Bertke, S.J.; Lawson, C.C.; Romitti, P.A.; Sanderson, W.T.; Malik, S.; Lupo, P.J.; Desrosiers, T.A.; Bell, E.; Druschel, C.; et al. Maternal Occupational Pesticide Exposure and Risk of Congenital Heart Defects in the National Birth Defects Prevention Study. Birth Defects Res. A Clin. Mol. Teratol. 2015, 103, 823–833. [Google Scholar] [CrossRef]
- Dereumeaux, C.; Fillol, C.; Quenel, P.; Denys, S. Pesticide Exposures for Residents Living Close to Agricultural Lands: A Review. Environ. Int. 2020, 134, 105210. [Google Scholar] [CrossRef]
- Teysseire, R.; Manangama, G.; Baldi, I.; Carles, C.; Brochard, P.; Bedos, C.; Delva, F. Determinants of Non-Dietary Exposure to Agricultural Pesticides in Populations Living Close to Fields: A Systematic Review. Sci. Total Environ. 2021, 761, 143294. [Google Scholar] [CrossRef]
- Eurostat. Eurostat Agriculture, Forestry and Fishery Statistics—2020 Edition; Eurostat: Luxembourg, 2020; ISBN 978-92-76-21522-6.
- Direction Régionale de l’Alimentation de l’Agriculture et de la Forêt Agreste—Mémento Filière Viti-Vinicole—Edition 2019; Service Régional de l’Information Statistique, Économique et Territoriale: Limoges, France, 2019; p. 28.
- Guilpart, N.; Bertin, I.; Valantin-Morison, M.; Barbu, C.M. How Much Agricultural Land Is There Close to Residential Areas? An Assessment at the National Scale in France. Build. Environ. 2022, 226, 109662. [Google Scholar] [CrossRef]
- López-Gálvez, N.; Wagoner, R.; Quirós-Alcalá, L.; Horne, Y.O.V.; Furlong, M.; Avila, E.; Beamer, P. Systematic Literature Review of the Take-Home Route of Pesticide Exposure via Biomonitoring and Environmental Monitoring. Int. J. Environ. Res. Public Health 2019, 16, 2177. [Google Scholar] [CrossRef] [PubMed]
- Hyland, C.; Laribi, O. Review of Take-Home Pesticide Exposure Pathway in Children Living in Agricultural Areas. Environ. Res. 2017, 156, 559–570. [Google Scholar] [CrossRef] [PubMed]
- Deziel, N.C.; Ward, M.H.; Bell, E.M.; Whitehead, T.P.; Gunier, R.B.; Friesen, M.C.; Nuckols, J.R. Temporal Variability of Pesticide Concentrations in Homes and Implications for Attenuation Bias in Epidemiologic Studies. Environ. Health Perspect. 2013, 121, 565–571. [Google Scholar] [CrossRef]
- Figueiredo, D.; Nijssen, R.; Krop, E.; Buijtenhuijs, D.; Gooijer, Y.; Lageschaar, L.; Duyzer, J.; Huss, A.; Mol, H.; Vermeulen, R. Pesticides in Doormat and Floor Dust from Homes Close to Treated Fields: Spatio-Temporal Variance and Determinants of Occurrence and Concentrations. Environ. Pollut. 2022, 301, 119024. [Google Scholar] [CrossRef] [PubMed]
- OECD. OECD Guidance Document for the Conduct of Studies of Occupational Exposure to Pesticides during Agricultural Application; Organisation for Economic Co-Operation and Development: Paris, France, 2002. [Google Scholar]
- Bureau, M.; Béziat, B.; Duporté, G.; Bouchart, V.; Lecluse, Y.; Barron, E.; Garrigou, A.; Dévier, M.H.; Budzinski, H.; Lebailly, P.; et al. Pesticide Exposure of Workers in Apple Growing in France. Int. Arch. Occup. Environ. Health 2022, 95, 811. [Google Scholar] [CrossRef] [PubMed]
- EU Pesticides Database—Active Substances. Available online: https://ec.europa.eu/food/plant/pesticides/eu-pesticides-database/start/screen/active-substances (accessed on 31 January 2023).
- Anses—Agence Nationale de SECURITE Sanitaire de L’alimentation, de L’environnement et du Travail Ephy—Le Catalogue des Produits Phytopharmaceutiques et de Leurs Usages, des Matières FERTILISANTES et des Supports de Culture Autorisés en France. Available online: https://ephy.anses.fr/ (accessed on 31 January 2023).
- BNV-D Traçabilité. Available online: https://ventes-produits-phytopharmaceutiques.eaufrance.fr/ (accessed on 30 September 2022).
- Ministry of Ecology Sustainable Development Transport and Housing Simmbad—Public Site. Available online: https://simmbad.fr/public/servlet/accueilGrandPublic.html? (accessed on 8 February 2022).
- Lewis, K.A.; Tzilivakis, J.; Warner, D.J.; Green, A. An International Database for Pesticide Risk Assessments and Management. Hum. Ecol. Risk Assess. Int. J. 2016, 22, 1050–1064. [Google Scholar] [CrossRef]
- R Core Team. R: A Language and Environment for Statistical Computing; R Foundation for Statistical Computing: Vienna, Austria, 2017; Available online: https://www.R-project.org/ (accessed on 31 January 2023).
- Figueiredo, D.M.; Krop, E.J.M.; Duyzer, J.; Gerritsen-Ebben, R.M.; Gooijer, Y.M.; Holterman, H.J.; Huss, A.; Jacobs, C.M.J.; Kivits, C.M.; Kruijne, R.; et al. Pesticide Exposure of Residents Living Close to Agricultural Fields in the Netherlands: Protocol for an Observational Study. JMIR Res. Protoc. 2021, 10, e27883. [Google Scholar] [CrossRef] [PubMed]
- Silva, V.; Alaoui, A.; Schlünssen, V.; Vested, A.; Graumans, M.; van Dael, M.; Trevisan, M.; Suciu, N.; Mol, H.; Beekmann, K.; et al. Collection of Human and Environmental Data on Pesticide Use in Europe and Argentina: Field Study Protocol for the SPRINT Project. PLoS ONE 2021, 16, e0259748. [Google Scholar] [CrossRef]
- Santé Publique France. PestiRiv: Étude d’exposition aux pesticides chez les riverains de zones viticoles et non viticoles. Protocole 2021, 83. [Google Scholar]
- Beranger, R.; Billoir, E.; Nuckols, J.R.; Blain, J.; Millet, M.; Bayle, M.-L.; Combourieu, B.; Philip, T.; Schuz, J.; Fervers, B. Agricultural and Domestic Pesticides in House Dust from Different Agricultural Areas in France. Environ. Sci. Pollut. Res. 2019, 26, 19632–19645. [Google Scholar] [CrossRef]
- Nishioka, M.G.; Lewis, R.G.; Brinkman, M.C.; Burkholder, H.M.; Hines, C.E.; Menkedick, J.R. Distribution of 2,4-D in Air and on Surfaces inside Residences after Lawn Applications: Comparing Exposure Estimates from Various Media for Young Children. Environ. Health Perspect. 2001, 109, 1185–1191. [Google Scholar] [CrossRef]
- Harnly, M.E.; Bradman, A.; Nishioka, M.; McKone, T.E.; Smith, D.; McLaughlin, R.; Kavanagh-Baird, G.; Castorina, R.; Eskenazi, B. Pesticides in Dust from Homes in an Agricultural Area. Environ. Sci. Technol. 2009, 43, 8767–8774. [Google Scholar] [CrossRef]
- Harley, K.G.; Parra, K.L.; Camacho, J.; Bradman, A.; Nolan, J.E.S.; Lessard, C.; Anderson, K.A.; Poutasse, C.M.; Scott, R.P.; Lazaro, G.; et al. Determinants of Pesticide Concentrations in Silicone Wristbands Worn by Latina Adolescent Girls in a California Farmworker Community: The COSECHA Youth Participatory Action Study. Sci. Total Environ. 2019, 652, 1022–1029. [Google Scholar] [CrossRef] [PubMed]
- Glorennec, P.; Serrano, T.; Fravallo, M.; Warembourg, C.; Monfort, C.; Cordier, S.; Viel, J.-F.; Gléau, F.L.; Bot, B.L.; Chevrier, C. Determinants of Children’s Exposure to Pyrethroid Insecticides in Western France. Environ. Int. 2017, 104, 76–82. [Google Scholar] [CrossRef]
- Deziel, N.C.; Friesen, M.C.; Hoppin, J.A.; Hines, C.J.; Thomas, K.; Freeman, L.E.B. A Review of Nonoccupational Pathways for Pesticide Exposure in Women Living in Agricultural Areas. Environ. Health Perspect. 2015, 123, 515–524. [Google Scholar] [CrossRef] [PubMed]
- Quandt, S.A.; Hernández-Valero, M.A.; Grzywacz, J.G.; Hovey, J.D.; Gonzales, M.; Arcury, T.A. Workplace, Household, and Personal Predictors of Pesticide Exposure for Farmworkers. Environ. Health Perspect. 2006, 114, 943–952. [Google Scholar] [CrossRef] [PubMed]



| Substance | Benalaxyl | Benalaxyl-M | Boscalid | Cymoxanil | Pyraclostrobin | Tebuconazole | Trifloxystrobin |
|---|---|---|---|---|---|---|---|
| CAS Number | 71626-11-4 | 98243-83-5 | 188425-85-6 | 57966-95-7 | 175013-18-0 | 107534-96-3 | 141517-21-7 |
| Molecular mass | 325.40 | 325.40 | 343.21 | 198.18 | 387.82 | 307.82 | 408.37 |
| Pv (mPa) a | 5.72 × 10−1 | 5.95 × 10−2 | 7.2 × 10−4 | 1.5 × 10−2 | 2.60 × 10−5 | 1.30 × 10−3 | 3.40 × 10−3 |
| DT50 soil (days) b | 33.2 | 98.5 | 484.4 | 1.7 | 41.9 | 365.00 | 0.34 |
| Use c | FU | FU | FU | FU | FU | FU, PG | FU |
| Examples of targets (vines) | blue mold, late blight, downey mildew | downy and powdery mildew, late blight, grey mold | powdery mildew, grey mold, botrytis | downy and powdery mildew | black-rot, mildew | powdery mildew, black spot | black root, black spot, botrytis, downy and powdery mildew, leaf spot |
| Indicative dose applied on vine (g/ha) | 150 | 75 | 600 | 90 | 100 | 108 | 65 |
| Quantities sold in Gironde in 2019 (kg) | 948 | 84 | 1093 | 4314 | 1797 | 3452 | 4407 |
| Dwelling 1 | Dwelling 2 | Dwelling 3 | ||
|---|---|---|---|---|
| Subjects | ||||
| Adults | 3 | 2 | 2 | |
| Children | 0 | 2 | 1 | |
| Construction date | 1970s | <1900s | <1900s | |
| Total surface (m2) | 126 | 100 | 125 | |
| Home layout | ||||
| Number of rooms | 7 | 6 | 7 | |
| Number of floors | 2 | 1 | 1 | |
| Wood treatment in the last 5 years | 0 | 0 | 0 | |
| Home renovations in the last 6 months | yes | no | yes | |
| Number of pets (dogs, cats) | 1 | 0 | 1 | |
| Distance between home and nearest field (m) | 18 | 7 | 5 | |
| Time since the last spraying (days) | 0 | 6 | NA | |
| Quantification of Pesticides | Surface Loading of Quantified Pesticides (ng/m2) | |||
|---|---|---|---|---|
| Occurrence (n) | Quantification Frequency (%) | Median | (Q25–Q75) | |
| All surface wipes (n = 214) | ||||
| Benalaxyl | 117 | 54.7 | 3.13 | 0.90–9.23 |
| Boscalid | 118 | 55.1 | 47.55 | 15.47–193.53 |
| Cymoxanil | 87 | 40.7 | 82.48 | 21.54–283.20 |
| Pyraclostrobin | 85 | 39.7 | 3.40 | 1.25–7.30 |
| Tebuconazole | 213 | 99.5 | 38.05 | 5.57–133.70 |
| Trifloxystrobin | 214 | 100 | 20.22 | 2.32–68.83 |
| Dwelling 1 (n = 67) | ||||
| Benalaxyl | 34 | 50.7 | 3.83 | 0.48–11.80 |
| Boscalid | 50 | 74.6 | 148.26 | 22.48–283.25 |
| Cymoxanil | 64 | 95.5 | 100.45 | 32.28–435.66 |
| Pyraclostrobin | 26 | 38.8 | 2.81 | 0.64–9.49 |
| Tebuconazole | 67 | 100 | 30.39 | 3.07–92.84 |
| Trifloxystrobin | 67 | 100 | 17.40 | 2.02–51.20 |
| Dwelling 2 (n = 69) | ||||
| Benalaxyl | 43 | 62.3 | 3.15 | 1.12–8.87 |
| Boscalid | 35 | 50.7 | 44.83 | 18.74–140.47 |
| Cymoxanil | 18 | 26.1 | 51.45 | 9.46–100.42 |
| Pyraclostrobin | 28 | 40.6 | 3.28 | 1.72–13.16 |
| Tebuconazole | 69 | 100 | 44.25 | 9.57–133.70 |
| Trifloxystrobin | 69 | 100 | 31.31 | 8.15–137.36 |
| Dwelling 3 (n = 78) | ||||
| Benalaxyl | 40 | 51.3 | 2.73 | 0.86–7.43 |
| Boscalid | 33 | 42.3 | 30.30 | 6.17–74.14 |
| Cymoxanil | 5 | 6.4 | 37.18 | 19.76–40.37 |
| Pyraclostrobin | 31 | 39.7 | 3.68 | 1.19–6.18 |
| Tebuconazole | 77 | 98.7 | 49.17 | 5.34–163.26 |
| Trifloxystrobin | 78 | 100 | 11.82 | 1.49–44.74 |
| Hand Washing and Foot Washing Waters (n = 5) | Patches (n = 7) | |||||||||||
|---|---|---|---|---|---|---|---|---|---|---|---|---|
| Dwelling | 1 | 2 | 2 | 3 | 3 | 1 | 2 | 2 | 2 | 3 | 3 | 3 |
| Subject | adult | child | child | adult | child | adult | adult | adult | adult | adult | adult | child |
| Localization a | both hands | both hands | both feet | both hands | both hands | forearm R | forearm R | leg R | leg L | forearm R | forearm R | forearm R |
| Time since the last washing (min) | 195 | 420 | 300 | 30 | 960 | |||||||
| Quantities (ng/h) b | ||||||||||||
| Benalaxyl | <LOQ | <LOQ | <LOQ | <LOQ | 0.17 | <LOQ | <LOQ | <LOQ | <LOQ | <LOQ | <LOQ | <LOQ |
| Boscalid | <LOQ | <LOQ | <LOQ | <LOQ | <LOQ | <LOQ | <LOQ | <LOQ | <LOQ | <LOQ | <LOQ | <LOQ |
| Cymoxanil | 399.69 | <LOQ | <LOQ | <LOQ | <LOQ | 2.96 | <LOQ | 0.28 | <LOQ | <LOQ | <LOQ | <LOQ |
| Pyraclostrobin | <LOQ | <LOQ | <LOQ | <LOQ | <LOQ | <LOQ | <LOQ | <LOQ | <LOQ | <LOQ | <LOQ | <LOQ |
| Tebuconazole | 8.33 | 1.69 | 3.94 | 3.48 | 5.28 | 0.07 | 0.09 | 0.03 | 0.03 | 0.13 | 0.21 | 0.58 |
| Trifloxystrobin | 0.81 | <LOQ | 3.24 | 1.89 | 2.83 | 0.02 | 0.02 | 0.03 | 0.02 | 0.03 | 0.09 | 0.18 |
Disclaimer/Publisher’s Note: The statements, opinions and data contained in all publications are solely those of the individual author(s) and contributor(s) and not of MDPI and/or the editor(s). MDPI and/or the editor(s) disclaim responsibility for any injury to people or property resulting from any ideas, methods, instructions or products referred to in the content. |
© 2023 by the authors. Licensee MDPI, Basel, Switzerland. This article is an open access article distributed under the terms and conditions of the Creative Commons Attribution (CC BY) license (https://creativecommons.org/licenses/by/4.0/).
Share and Cite
Teysseire, R.; Barron, E.; Baldi, I.; Bedos, C.; Chazeaubeny, A.; Le Menach, K.; Roudil, A.; Budzinski, H.; Delva, F. Pesticide Exposure of Residents Living in Wine Regions: Protocol and First Results of the Pestiprev Study. Int. J. Environ. Res. Public Health 2023, 20, 3882. https://doi.org/10.3390/ijerph20053882
Teysseire R, Barron E, Baldi I, Bedos C, Chazeaubeny A, Le Menach K, Roudil A, Budzinski H, Delva F. Pesticide Exposure of Residents Living in Wine Regions: Protocol and First Results of the Pestiprev Study. International Journal of Environmental Research and Public Health. 2023; 20(5):3882. https://doi.org/10.3390/ijerph20053882
Chicago/Turabian StyleTeysseire, Raphaëlle, Emmanuelle Barron, Isabelle Baldi, Carole Bedos, Alexis Chazeaubeny, Karyn Le Menach, Audrey Roudil, Hélène Budzinski, and Fleur Delva. 2023. "Pesticide Exposure of Residents Living in Wine Regions: Protocol and First Results of the Pestiprev Study" International Journal of Environmental Research and Public Health 20, no. 5: 3882. https://doi.org/10.3390/ijerph20053882
APA StyleTeysseire, R., Barron, E., Baldi, I., Bedos, C., Chazeaubeny, A., Le Menach, K., Roudil, A., Budzinski, H., & Delva, F. (2023). Pesticide Exposure of Residents Living in Wine Regions: Protocol and First Results of the Pestiprev Study. International Journal of Environmental Research and Public Health, 20(5), 3882. https://doi.org/10.3390/ijerph20053882

