Effects of Different Isometric Training Programs on Muscle Size and Function in the Elbow Flexors
Abstract
1. Introduction
2. Materials and Methods
2.1. Participants
2.2. Experimental Approach to the Problem
2.3. Muscle Thickness in Anterior Upper Arm
2.4. Maximal Voluntary Isometric Contraction (MVC)
2.5. Statistical Analysis
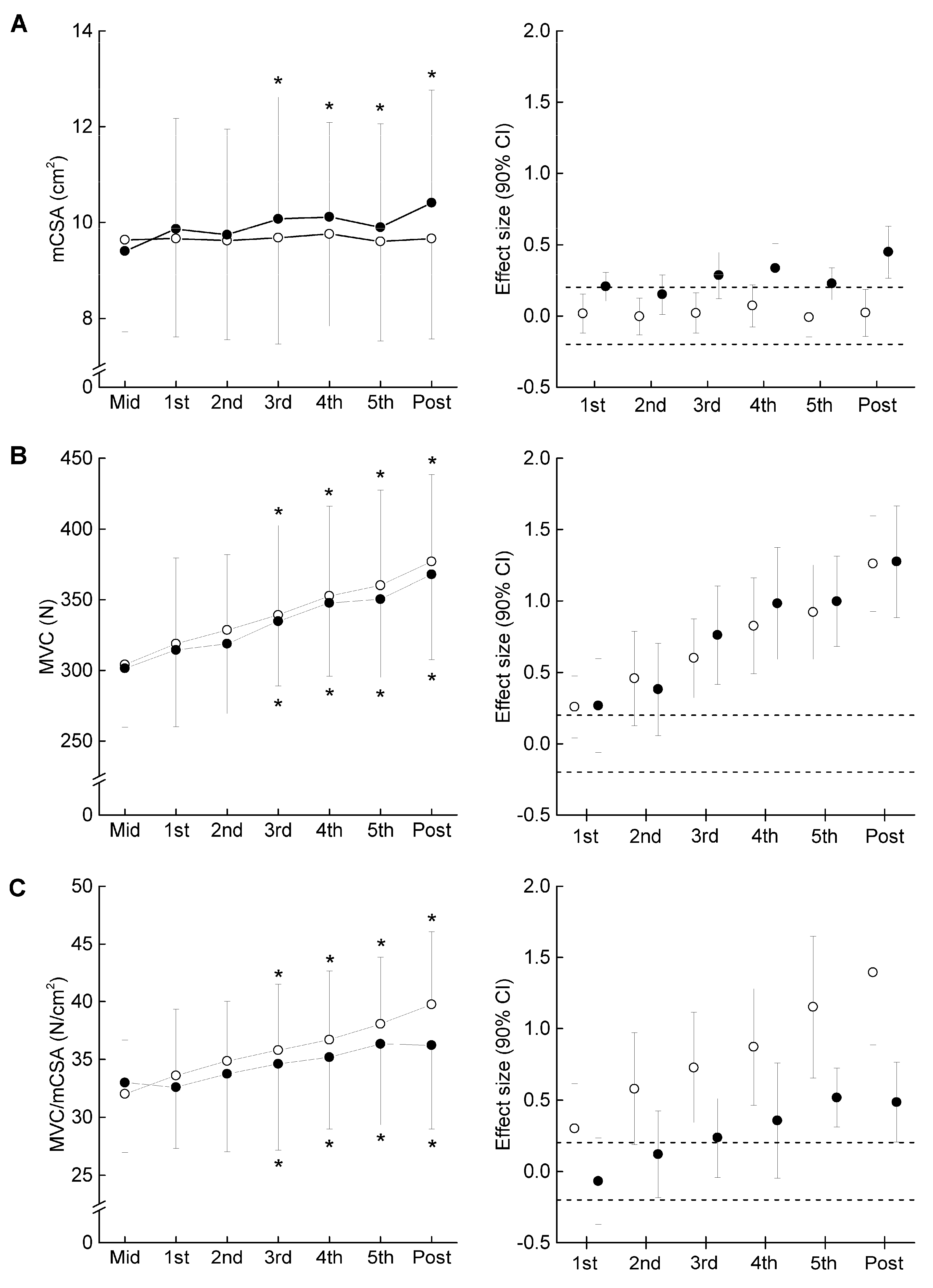
3. Results
3.1. Familiarization Period
3.2. Experimental Period
3.3. Time Course of the Measured Variables in the Experimental Period
4. Discussion
5. Conclusions
Author Contributions
Funding
Institutional Review Board Statement
Informed Consent Statement
Data Availability Statement
Acknowledgments
Conflicts of Interest
References
- Oranchuk, D.J.; Storey, A.G.; Nelson, A.R.; Cronin, J.B. Isometric training and long-term adaptations: Effects of muscle length, intensity, and intent: A systematic review. Scand. J. Med. Sci. Sports 2019, 29, 484–503. [Google Scholar] [CrossRef] [PubMed]
- Schoenfeld, B.J.; Grgic, J.; Ogborn, D.; Krieger, J.W. Strength and Hypertrophy Adaptations Between Low- vs. High-Load Resistance Training: A Systematic Review and Meta-analysis. J. Strength Cond. Res. 2017, 31, 3508–3523. [Google Scholar] [CrossRef] [PubMed]
- Pearcey, G.E.P.; Alizedah, S.; Power, K.E.; Button, D.C. Chronic resistance training: Is it time to rethink the time course of neural contributions to strength gain? Eur. J. Appl. Physiol. 2021, 121, 2413–2422. [Google Scholar] [CrossRef] [PubMed]
- Rutherford, O.M.; Jones, D.A. The role of learning and coordination in strength training. Eur. J. Appl. Physiol. Occup. Physiol. 1986, 55, 100–105. [Google Scholar] [CrossRef]
- Balshaw, T.G.; Massey, G.J.; Maden-Wilkinson, T.M.; Morales-Artacho, A.J.; McKeown, A.; Appleby, C.L.; Folland, J.P. Changes in agonist neural drive, hypertrophy and pre-training strength all contribute to the individual strength gains after resistance training. Eur. J. Appl. Physiol. 2017, 117, 631–640. [Google Scholar] [CrossRef]
- Häkkinen, K.; Komi, P.V. Electromyographic changes during strength training and detraining. Med. Sci. Sports Exerc. 1983, 15, 455–460. [Google Scholar] [CrossRef]
- Moritani, T.; deVries, H.A. Neural factors versus hypertrophy in the time course of muscle strength gain. Am. J. Phys. Med. 1979, 58, 115–130. [Google Scholar]
- Goto, K.; Nagasawa, M.; Yanagisawa, O.; Kizuka, T.; Ishii, N.; Takamatsu, K. Muscular adaptations to combinations of high- and low-intensity resistance exercises. J. Strength Cond. Res. 2004, 18, 730–737. [Google Scholar]
- Peltonen, H.; Walker, S.; Lähitie, A.; Häkkinen, K.; Avela, J. Isometric parameters in the monitoring of maximal strength, power, and hypertrophic resistance-training. Appl. Physiol. Nutr. Metab. 2018, 43, 145–153. [Google Scholar] [CrossRef]
- Erskine, R.M.; Fletcher, G.; Folland, J.P. The contribution of muscle hypertrophy to strength changes following resistance training. Eur. J. Appl. Physiol. 2014, 114, 1239–1249. [Google Scholar] [CrossRef]
- Evans, J.W. Periodized Resistance Training for Enhancing Skeletal Muscle Hypertrophy and Strength: A Mini-Review. Front. Physiol. 2019, 10, 13. [Google Scholar] [CrossRef]
- Fleck, S.J. Periodized strength training: A critical review. J. Strength Cond. Res. 1999, 13, 82–89. [Google Scholar] [CrossRef]
- Akagi, R.; Takai, Y.; Ohta, M.; Kanehisa, H.; Kawakami, Y.; Fukunaga, T. Muscle volume compared to cross-sectional area is more appropriate for evaluating muscle strength in young and elderly individuals. Age Ageing 2009, 38, 564–569. [Google Scholar] [CrossRef]
- Ikai, M.; Fukunaga, T. Calculation of muscle strength per unit cross-sectional area of human muscle by means of ultrasonic measurement. Int. Z. Angew. Physiol. 1968, 26, 26–32. [Google Scholar] [CrossRef]
- Ikai, M.; Fukunaga, T. A study on training effect on strength per unit cross-sectional area of muscle by means of ultrasonic measurement. Int. Z. Angew. Physiol. 1970, 28, 173–180. [Google Scholar] [CrossRef]
- Dutta, C.; Hadley, E.C.; Lexell, J. Sarcopenia and physical performance in old age: Overview. Muscle Nerve Suppl. 1997, 5, S5–S9. [Google Scholar] [CrossRef]
- Neyroud, D.; Rüttimann, J.; Mannion, A.F.; Millet, G.Y.; Maffiuletti, N.A.; Kayser, B.; Place, N. Comparison of neuromuscular adjustments associated with sustained isometric contractions of four different muscle groups. J. Appl. Physiol. 2013, 114, 1426–1434. [Google Scholar] [CrossRef] [PubMed]
- Nakatani, M.; Murata, K.; Kanehisa, H.; Takai, Y. Force-velocity relationship profile of elbow flexors in male gymnasts. PeerJ 2021, 9, e10907. [Google Scholar] [CrossRef] [PubMed]
- Abe, T.; Kondo, M.; Kawakami, Y.; Fukunaga, T. Prediction equations for body composition of Japanese adults by B-mode ultrasound. Am. J. Hum. Biol. 1994, 6, 161–170. [Google Scholar] [CrossRef] [PubMed]
- Miyatani, M.; Kanehisa, H.; Fukunaga, T. Validity of bioelectrical impedance and ultrasonographic methods for estimating the muscle volume of the upper arm. Eur. J. Appl. Physiol. 2000, 82, 391–396. [Google Scholar] [CrossRef] [PubMed]
- Hopkins, W.G.; Marshall, S.W.; Batterham, A.M.; Hanin, J. Progressive statistics for studies in sports medicine and exercise science. Med. Sci. Sports Exerc. 2009, 41, 3–13. [Google Scholar] [CrossRef] [PubMed]
- Hopkins, W.G. Estimating Sample Size for Magnitude-Based Inferences. Sports Sci. 2006, 10, 63–70. [Google Scholar]
- Abe, T.; DeHoyos, D.V.; Pollock, M.L.; Garzarella, L. Time course for strength and muscle thickness changes following upper and lower body resistance training in men and women. Eur. J. Appl. Physiol. 2000, 81, 174–180. [Google Scholar] [CrossRef] [PubMed]
- Goto, K.; Ishii, N.; Takamatsu, K. Growth hormone response to training regimen with combined high- and low-intensity resistance exercises. Int. J. Sport Health Sci. 2004, 2, 111–118. [Google Scholar] [CrossRef]
- Florini, J.R. Hormonal control of muscle growth. Muscle Nerve 1987, 10, 577–598. [Google Scholar] [CrossRef] [PubMed]
- Burd, N.A.; West, D.W.; Staples, A.W.; Atherton, P.J.; Baker, J.M.; Moore, D.R.; Holwerda, A.M.; Parise, G.; Rennie, M.J.; Baker, S.K.; et al. Low-load high volume resistance exercise stimulates muscle protein synthesis more than high-load low volume resistance exercise in young men. PLoS ONE 2010, 5, e12033. [Google Scholar] [CrossRef]
- Schoenfeld, B.J. Potential mechanisms for a role of metabolic stress in hypertrophic adaptations to resistance training. Sports Med. 2013, 43, 179–194. [Google Scholar] [CrossRef] [PubMed]
- Hornberger, T.A.; Chu, W.K.; Mak, Y.W.; Hsiung, J.W.; Huang, S.A.; Chien, S. The role of phospholipase D and phosphatidic acid in the mechanical activation of mTOR signaling in skeletal muscle. Proc. Natl. Acad. Sci. USA 2006, 103, 4741–4746. [Google Scholar] [CrossRef]
- Miyazaki, M.; McCarthy, J.J.; Fedele, M.J.; Esser, K.A. Early activation of mTORC1 signalling in response to mechanical overload is independent of phosphoinositide 3-kinase/Akt signalling. J. Physiol. 2011, 589, 1831–1846. [Google Scholar] [CrossRef]
- Buckner, S.L.; Yitzchaki, N.; Kataoka, R.; Vasenina, E.; Zhu, W.G.; Kuehne, T.E.; Loenneke, J.P. Do exercise-induced increases in muscle size contribute to strength in resistance-trained individuals? Clin. Physiol. Funct. Imaging 2021, 41, 326–333. [Google Scholar] [CrossRef]
- Kawakami, Y.; Nakazawa, K.; Fujimoto, T.; Nozaki, D.; Miyashita, M.; Fukunaga, T. Specific tension of elbow flexor and extensor muscles based on magnetic resonance imaging. Eur. J. Appl. Physiol. Occup. Physiol. 1994, 68, 139–147. [Google Scholar] [CrossRef] [PubMed]
- Carroll, T.J.; Herbert, R.D.; Munn, J.; Lee, M.; Gandevia, S.C. Contralateral effects of unilateral strength training: Evidence and possible mechanisms. J. Appl. Physiol. 2006, 101, 1514–1522. [Google Scholar] [CrossRef] [PubMed]
- Green, L.A.; Gabriel, D.A. The cross education of strength and skill following unilateral strength training in the upper and lower limbs. J. Neurophysiol. 2018, 120, 468–479. [Google Scholar] [CrossRef] [PubMed]





| Familiarization Period | Experimental Period | ||||||||
|---|---|---|---|---|---|---|---|---|---|
| Week | 1st | 2nd | 3rd | 4th | 5th | 6th | 7th | 8th | 9th |
| ST | 60 | 70 | 80 | 90 | 90 | 90 | 90 | 90 | 90 |
| 4 | 4 | 4 | 3 | 3 | 4 | 4 | 4 | 4 | |
| TF | TF | TF | 5 | 5 | 5 | 5 | 5 | 5 | |
| 1 | 1 | 1 | 3 | 3 | 3 | 3 | 3 | 3 | |
| COMB | 60 | 70 | 80 | 90 + 50 | 90 + 50 | 90 + 50 | 90 + 50 | 90 + 50 | 90 + 50 |
| 4 | 4 | 4 | 3 | 3 | 4 | 4 | 4 | 4 | |
| TF | TF | TF | 5 + 1 | 5 + 1 | 5 + 1 | 5 + 1 | 5 + 1 | 5 + 1 | |
| 1 | 1 | 1 | 3 + TF | 3 + TF | 3 + TF | 3 + TF | 3 + TF | 3 + TF | |
Disclaimer/Publisher’s Note: The statements, opinions and data contained in all publications are solely those of the individual author(s) and contributor(s) and not of MDPI and/or the editor(s). MDPI and/or the editor(s) disclaim responsibility for any injury to people or property resulting from any ideas, methods, instructions or products referred to in the content. |
© 2023 by the authors. Licensee MDPI, Basel, Switzerland. This article is an open access article distributed under the terms and conditions of the Creative Commons Attribution (CC BY) license (https://creativecommons.org/licenses/by/4.0/).
Share and Cite
Zou, Z.; Morimoto, N.; Nakatani, M.; Morinaga, H.; Takai, Y. Effects of Different Isometric Training Programs on Muscle Size and Function in the Elbow Flexors. Int. J. Environ. Res. Public Health 2023, 20, 3837. https://doi.org/10.3390/ijerph20053837
Zou Z, Morimoto N, Nakatani M, Morinaga H, Takai Y. Effects of Different Isometric Training Programs on Muscle Size and Function in the Elbow Flexors. International Journal of Environmental Research and Public Health. 2023; 20(5):3837. https://doi.org/10.3390/ijerph20053837
Chicago/Turabian StyleZou, ZhenFei, Naoshi Morimoto, Miyuki Nakatani, Hirotsugu Morinaga, and Yohei Takai. 2023. "Effects of Different Isometric Training Programs on Muscle Size and Function in the Elbow Flexors" International Journal of Environmental Research and Public Health 20, no. 5: 3837. https://doi.org/10.3390/ijerph20053837
APA StyleZou, Z., Morimoto, N., Nakatani, M., Morinaga, H., & Takai, Y. (2023). Effects of Different Isometric Training Programs on Muscle Size and Function in the Elbow Flexors. International Journal of Environmental Research and Public Health, 20(5), 3837. https://doi.org/10.3390/ijerph20053837

