Evaluation of Knowledge, Attitudes, and Practices about Pharmacovigilance among Community Pharmacists in Qassim, Saudi Arabia
Abstract
1. Introduction
2. Materials and Methods
2.1. Study Design, Criteria, and Settings
2.2. Study Instrument
2.3. Sample Size
2.4. Data Analysis
3. Results
3.1. Demographic Details about Study Participants
3.2. Knowledge about PV and ADRs Reporting
3.3. Community Pharmacists’ Attitudes towards PV and ADR Reporting
3.4. Practices towards PV and ADR Reporting
3.5. Barriers Limiting the PV and ADR Reporting
3.6. Factors Discouraging the PV and ADR Reporting
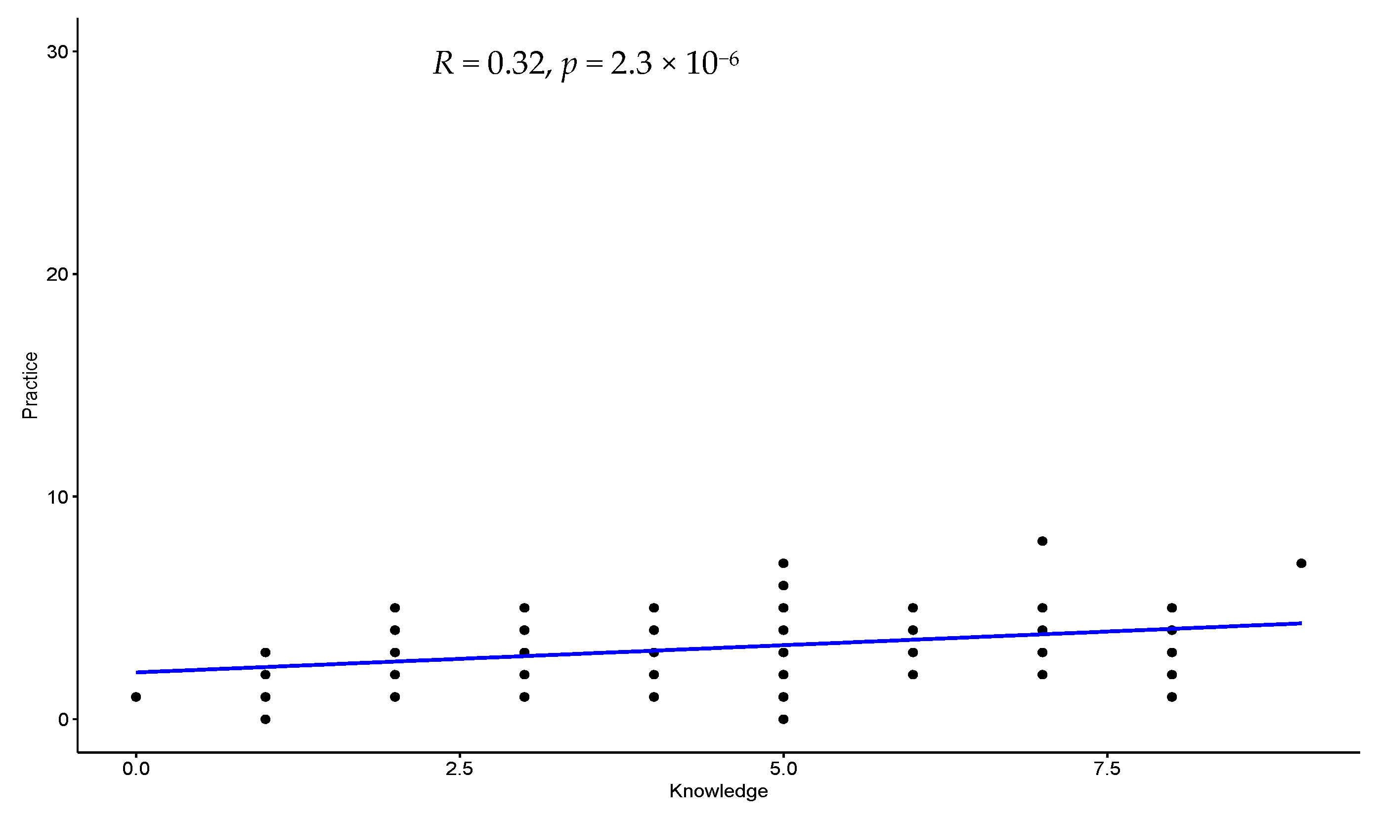
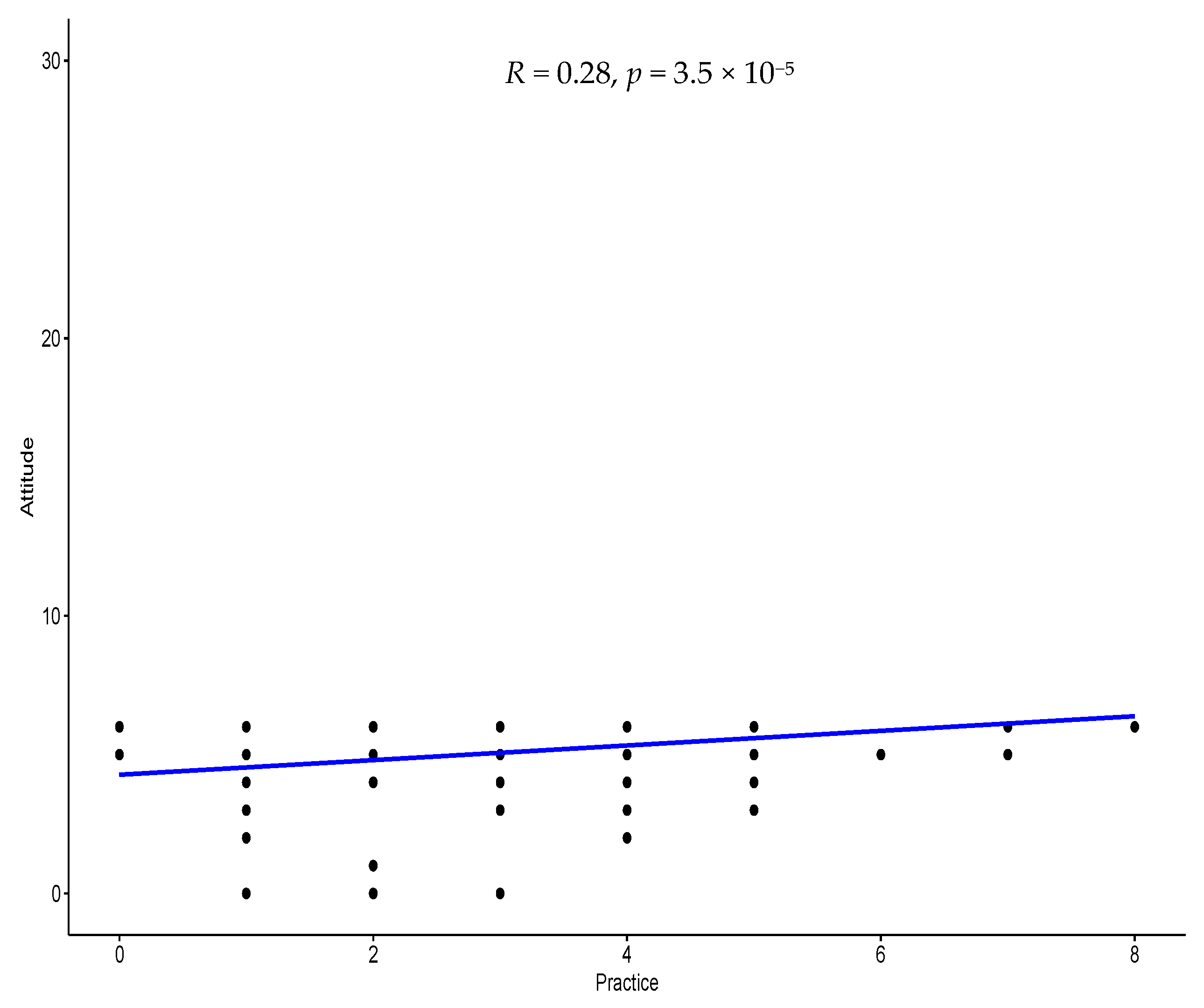
3.7. Regression Analysis
3.8. Multiple Ordinal Regression to Show the Predictors of the Three Outcomes (Knowledge, Attitudes, and Practices)—Table 7
- (1)
- Age
- (2)
- Gender
- (3)
- Years of experience
- (4)
- Last degree (dichotomized into bachelor’s degree or higher degree)
- (5)
- Country of graduation (labeled as Saudi Arabia, Egypt, and others)
- (6)
- Rank of employment (dichotomized into beginner and senior)
| K | A | P | |||||||
|---|---|---|---|---|---|---|---|---|---|
| Predictors | Odds Ratios | CI | p | Odds Ratios | CI | p | Odds Ratios | CI | p |
| Low|Moderate | 0.69 | 0.15–3.19 | 0.637 | 0.20 | 0.01–4.75 | 0.319 | 0.55 | 0.11–2.71 | 0.460 |
| Moderate|High | 8.25 | 1.71–39.68 | 0.009 | 0.38 | 0.02–8.79 | 0.545 | 31.52 | 5.46–182.01 | <0.001 |
| Age | 0.97 | 0.92–1.03 | 0.351 | 1.09 | 0.98–1.25 | 0.165 | 1.02 | 0.96–1.08 | 0.577 |
| Gender [Female] | 1.24 | 0.40–3.82 | 0.706 | 2.24 | 0.29–46.43 | 0.492 | 1.80 | 0.56–6.16 | 0.336 |
| Experience | 1.42 | 0.63–3.22 | 0.402 | 0.29 | 0.06–1.23 | 0.103 | 0.63 | 0.27–1.47 | 0.286 |
| Last Degree [Higher] | 3.56 | 1.48–8.86 | 0.006 | 5.04 | 1.12–28.48 | 0.047 | 1.58 | 0.66–3.84 | 0.311 |
| Country Of Graduation [Others] | 1.70 | 0.71–4.06 | 0.232 | 0.52 | 0.14–2.52 | 0.362 | 0.41 | 0.16–1.00 | 0.054 |
| Country Of Graduation [Saudi Arabia] | 0.47 | 0.16–1.31 | 0.158 | 0.29 | 0.07–1.31 | 0.091 | 0.58 | 0.21–1.57 | 0.289 |
| Rank Of Employment [Senior] | 1.19 | 0.45–3.06 | 0.721 | 1.59 | 0.28–29.96 | 0.665 | 3.73 | 1.19–12.85 | 0.031 |
| Observations | 209 | 209 | 209 | ||||||
| R2 Nagelkerke | 0.079 | 0.074 | 0.080 | ||||||
4. Discussion
5. Conclusions
Supplementary Materials
Author Contributions
Funding
Institutional Review Board Statement
Informed Consent Statement
Data Availability Statement
Acknowledgments
Conflicts of Interest
References
- What Is Pharmacovigilance? Available online: https://www.who.int/teams/regulation-prequalification/regulation-and-safety/pharmacovigilance (accessed on 16 December 2022).
- Members of the WHO Programme for International Drug Monitoring [Online]. Available online: https://www.who-umc.org/global-pharmacovigilance/who-programme-for-international-drug-monitoring/who-programme-members/ (accessed on 16 December 2022).
- Pharmacovigilance. [Online]. Available online: https://www.who.int/medicines/areas/quality_safety/safety_efficacy/pharmvigi/en/ (accessed on 16 December 2022).
- International Drug Monitoring: The Role of National Centres, Report of a WHO Meeting [Held in Geneva from 20 to 25 September 1971]. Available online: https://apps.who.int/iris/handle/10665/40968 (accessed on 21 December 2022).
- Montastruc, J.L.; Lafaurie, M.; de Canecaude, C.; Durrieu, G.; Sommet, A.; Montastruc, F.; Bagheri, H. Fatal adverse drug reactions: A worldwide perspective in the World Health Organization pharmacovigilance database. Br. J. Clin. Pharmacol. 2021, 87, 4334–4340. [Google Scholar] [CrossRef] [PubMed]
- World Health Organization (WHO). [Online]. Available online: https://apps.who.int/iris/bitstream/handle/10665/43384/9241593911_eng.pdf (accessed on 16 December 2022).
- Saudi Food and Drug Authority (SFDA). Pharmacovigilance. Available online: https://www.sfda.gov.sa/ (accessed on 16 December 2022).
- World Health Organization. WHO Pharmacovigilance Indicators: A Practical Manual for the Assessment of Pharmacovigilance Systems. [Online]. Available online: https://apps.who.int/iris/handle/10665/186642 (accessed on 24 January 2023).
- AlShammari, T.M.; Almoslem, M.J. Knowledge, attitudes & practices of healthcare professionals in hospitals towards the reporting of adverse drug reactions in Saudi Arabia: A multi-centre cross sectional study. Saudi Pharm. J. 2018, 26, 925–931. [Google Scholar] [PubMed]
- Abdel-Latif, M.M.; Abdel-Wahab, B.A. Knowledge and awareness of adverse drug reactions and pharmacovigilance practices among healthcare professionals in Al-Madinah Al-Munawwarah, Kingdom of Saudi Arabia. Saudi Pharm. J. 2015, 23, 154–161. [Google Scholar] [CrossRef] [PubMed]
- Kasliwal, R. Spontaneous reporting in pharmacovigilance: Strengths, weaknesses and recent methods of analysis. J. Clin. Prev. Cardiol. 2012, 1, 20–23. [Google Scholar]
- Mahmoud, M.A.; Alswaida, Y.; Alshammari, T.; Khan, T.M.; Alrasheedy, A.; Hassali, M.A.; Aljadhey, H. Community pharmacists’ knowledge, behaviors and experiences about adverse drug reaction reporting in Saudi Arabia. Saudi Pharm. J. 2014, 22, 411–418. [Google Scholar] [CrossRef]
- Almaghaslah, D.; Alsayari, A.; Almaghaslah, S.; Alsanna, H. Patients’ Satisfaction with E-Prescribing (Wasfaty) in Saudi Arabia: A Survey of Country-Level Implementation. Healthcare 2022, 10, 806. [Google Scholar] [CrossRef]
- Ministry of Interior. Emirate of Al-Qasim Province. [Online]. 2023. Available online: https://www.moi.gov.sa/wps/portal/Home/emirates/qasim/contents (accessed on 9 February 2023).
- Alsaleh, F.M.; Alzaid, S.W.; Abahussain, E.A.; Bayoud, T.; Lemay, J. Knowledge, attitude and practices of pharmacovigilance and adverse drug reaction reporting among pharmacists working in secondary and tertiary governmental hospitals in Kuwait. Saudi Pharm. J. 2017, 25, 830–837. [Google Scholar] [CrossRef]
- Raosoft, I. Sample Size Calculator by Raosoft Inc. [Online]. Available online: http://www.raosoft.com/samplesize.html (accessed on 16 September 2020).
- Tahir, R.M.; Hussein, M. Knowledge, Attitude, and Practice of Community Pharmacists towards Pharmacovigilance and Adverse Drug Reactions: A Study from Sudan. J. Sci. Res. Med. Biol. Sci. 2020, 1, 123–132. [Google Scholar]
- Bajaj, J.K.; Rakesh, K. A survey on the knowledge, attitude and the practice of pharmacovigilance among the health care professionals in a teaching hospital in northern India. J. Clin. Diagn. Res. 2013, 7, 97. [Google Scholar] [CrossRef]
- Tadvi, N.A.; Alromaih, A.A.; Aldahash, A.A.; Almuhesseny, A.A.; Alotaibi, S.H.; Alduhayshi, I.S.; Alrukimi, A.S.; Sami, W. Knowledge, attitude and practice of pharmacovigilance in healthcare professionals and medical students in majmaah, Saudi Arabia care centre. Health Sci. 2018, 7, 101–107. [Google Scholar]
- Faqihi, M.A.; Fageehi, W.A. Pharmacist’s knowledge, attitude, and practice toward pharmacovigilance and adverse drug reactions reporting process: A cross-sectional survey. Int. J. Med. Dev. Ctries. 2019, 3, 409–414. [Google Scholar] [CrossRef]
- Khan, T.M. Community pharmacists’ knowledge and perceptions about adverse drug reactions and barriers towards their reporting in Eastern region, Alahsa, Saudi Arabia. Ther. Adv. Drug Saf. 2013, 4, 45–51. [Google Scholar] [CrossRef] [PubMed]
- Hussain, R.; Hassali, M.A.; Hashmi, F.; Akram, T. Exploring healthcare professionals’ knowledge, attitude, and practices towards pharmacovigilance: A cross-sectional survey. J. Pharm. Policy Pract. 2021, 14, 5. [Google Scholar] [CrossRef]
- Syed, A.; Azhar, S.; Raza, M.M.; Saeed, H.; Jamshed, S.Q. Assessment of knowledge, attitude and barriers towards pharmacovigilance among physicians and pharmacists of Abbottabad, Pakistan. Pharmacy 2018, 6, 29. [Google Scholar] [CrossRef] [PubMed]
- Alomi, Y.A.; Alghamdi, S.J.; Alattyh, R.A. National adverse drug reaction reporting system at the ministry of health, Saudi Arabia. Pharmacol. Toxicol. Biomed. Rep. 2018, 4, 21–23. [Google Scholar] [CrossRef]
- Herdeiro, M.T.; Figueiras, A.; Polónia, J.; Gestal-Otero, J.J. Influence of pharmacists’ attitudes on adverse drug reaction reporting. Drug Saf. 2006, 29, 331–340. [Google Scholar] [CrossRef]
- Agarwal, M.; Ahmed, J.; Roy, V. Knowledge, attitude, and practice about pharmacovigilance among healthcare providers of a tertiary care teaching hospital in New Delhi (India). MAMC J. Med. Sci. 2017, 3, 146. [Google Scholar]
- Bawazir, S.A. Consumer attitudes towards community pharmacy services in Saudi Arabia. Int. J. Pharm. Pract. 2004, 12, 83–89. [Google Scholar] [CrossRef]
- Aljadhey, H.; Mahmoud, M.A.; Alshammari, T.M.; Al-Dhaeefi, M.; Le Louet, H.; Perez-Gutthann, S.; Pitts, P.J. A qualitative exploration of the major challenges facing pharmacovigilance in Saudi Arabia. Saudi Med. J. 2015, 36, 1097. [Google Scholar] [CrossRef]
- Hughes, M.L.; Weiss, M. Adverse drug reaction reporting by community pharmacists—The barriers and facilitators. Pharmacoepidemiol. Drug Saf. 2019, 28, 1552–1559. [Google Scholar] [CrossRef]
- Al Doughan, F.F.; Alomi, Y.A.; Iflaifel, M.H. Pharmacist’s Practice of Reporting of Adverse Drug Reactions in Saudi Arabia. Int. J. Pharmacol. Clin. Sci. 2019, 8, 86–93. [Google Scholar] [CrossRef]
- Jeetu, G.; Anusha, G. Pharmacovigilance: A worldwide master key for drug safety monitoring. J. Young Pharm. 2010, 2, 315–320. [Google Scholar] [CrossRef]



| Demographic Characteristics | n (%) |
|---|---|
| Age (Median, IQR) | 32 (27, 37) |
| Gender | |
| Male | 193 (92%) |
| Female | 17 (8%) |
| Nationality | |
| Egyptian | 130 (62%) |
| Saudi | 54 (26%) |
| Sudanese | 10 (5%) |
| Yamen | 9 (4%) |
| India | 2 (1%) |
| Bangladesh | 2 (1%) |
| Iraq | 1 (0.5%) |
| Jordan | 1 (0.5%) |
| Rank of Employment | |
| Pharmacist | 184 (88%) |
| Senior Pharmacist | 14 (7%) |
| Beginner Pharmacist | 8 (4%) |
| Head of Pharmacy Specialist | 2 (1%) |
| Senior Pharmacy Specialist | 1 (0.5%) |
| Pharmacy Specialist | 1 (0.5%) |
| Qualification | |
| Bachelor | 152 (72%) |
| Pharm D | 50 (24%) |
| Master | 6 (3%) |
| PhD | 2 (1%) |
| Practice Years (Median, IQR) | 7.0 (3.0, 14.0) |
| Location of Pharmacy | |
| Unaizah | 72 (34%) |
| Buraidah | 52 (25%) |
| Alrass | 40 (19%) |
| Bukairyah | 18 (9%) |
| Badaie | 14 (7%) |
| Riyadh Al Khabra | 9 (4%) |
| Mithnab | 4 (2%) |
| Knowledge Questions | n (%) |
|---|---|
| The best definition of PV | |
| The science and activities of detecting, assessing, understanding & preventing adverse effects (correct) | 130 (62%) |
| The science of detecting the type & incidence of ADRs after a drug is marketed. | 37 (18%) |
| The process of improving the safety of drugs | 24 (11%) |
| I don’t know | 13 (6%) |
| The science of monitoring ADRs happening in a Hospital | 5 (2%) |
| The purpose of PV | |
| To enhance patients’ safety (correct) | 144 (69%) |
| To identify unrecognized ADRs | 19 (9%) |
| To identify predisposing factors to ADRs | 18 (9%) |
| To calculate incidence of ADRs | 16 (8%) |
| I don’t know | 12 (6%) |
| ADRs definition | |
| Any noxious or undesired effect of a drug (correct) | 123 (59%) |
| Adverse health outcomes | 39 (19%) |
| Harm resulting from the use | 20 (10%) |
| Other health problems | 11 (5%) |
| Harm caused by drug overdose | 9 (4%) |
| Adverse outcomes associated with drug | 7 (3%) |
| Common cause of ADR | |
| Allergic reactions | 143 (68%) |
| Drug interaction | 126 (60%) |
| Undesirable effects | 96 (46%) |
| Unsafe drug for the patient fast | 67 (32%) |
| Incorrect administration | 59 (28%) |
| Dosage increased or decreased too fast | 44 (21%) |
| Which ADRs should be reported | |
| All of the above (correct) | 131 (62%) |
| All serious | 56 (27%) |
| ADRs to new drugs | 9 (4.3%) |
| ADRs to herbal | 5 (2.4%) |
| ADRs to vaccines | 3 (1.4%) |
| Unknown ADRs to old drugs | 3 (1.4%) |
| None of the above | 2 (1%) |
| Are ADRs classified as DTP? | |
| Yes | 142 (68%) |
| No | 36 (17%) |
| I don’t know | 31 (15%) |
| Who is qualified to report ADRs? | |
| Pharmacists | 182 (87%) |
| Doctors | 158 (76%) |
| Nurses | 74 (35%) |
| Dentists | 67 (32%) |
| Patients | 56 (27%) |
| Physiotherapists | 37 (18%) |
| Organizations that educate HC professionals on safe medication practices | |
| Canadian Patient Safety Institute | 120 (58%) |
| International Medication Safety Network | 92 (44%) |
| Institute for Safe Medication Practices | 70 (33%) |
| Are you aware of centers for reporting ADR in SA? | |
| No | 84 (40%) |
| Yes | 73 (35%) |
| I don’t know | 52 (25%) |
| Where to report ADRs | |
| I don’t know | 149 (71%) |
| SFDA | 36 (17%) |
| MOH | 12 (6%) |
| WHO | 2 (1%) |
| The most preferable method to report ADR | |
| Email/on Website | 118 (57%) |
| Direct contact | 56 (27%) |
| Telephone | 23 (11%) |
| Post | 8 (4%) |
| Other (please specify) | 4 (2%) |
| Attitude Questions | Yes [n (%)] | No [n (%)] | IDK n (%) |
|---|---|---|---|
| Is it necessary to report ADR? | 195 (93%) | 7 (3%) | 8 (4%) |
| Reporting ADR will positively impact HC system | 196 (94%) | 5 (2%) | 9 (4%) |
| Should ADR reporting and PV should be reported in HC setting? | 183 (88%) | 12 (6%) | 15 (7%) |
| Is ADR reporting a professional obligation? | 172 (82%) | 20 (10%) | 18 (9%) |
| Conducting a medication review can prevent ADR | 167 (80%) | 17 (8%) | 26 (12%) |
| Are you willing to implement ADR reporting in your practice? | 155 (74%) | 33 (16%) | 22 (10%) |
| Practice Questions | Yes n (%) | No n (%) | IDK n (%) |
|---|---|---|---|
| Have you ever conducted a medication review with your patients? | 142 (68%) | 68 (33%) | |
| Have you ever identified an ADR in any patient? | 114 (55%) | 96 (46%) | |
| Have you ever reported an ADR? | 46 (22%) | 162 (77%) | 2 (1)% |
| Do you know to whom ADR should be reported? | |||
| Saudi Food and Drug Authority (SFDA) | 137 (66%) | 72 (34%) | |
| The ministry of health(MOH) | 102 (49%) | 107 (51%) | |
| Drug company | 43(21%) | 166(79 %) |
| What Factors Do You Think May Be Discouraging of Reporting ADRs? | Yes |
|---|---|
| Lack of formal process | 131 (63%) |
| Lack of knowledge by the patients about their medications | 119 (57%) |
| Lack of time | 86 (41%) |
| Lack of training on how to conduct a medication review | 84 (40%) |
| Communication (language barrier) difficulties with the patients | 56 (27%) |
| Others | 17 (8%) |
| Total percentage may not be 100% due to the choice given for multiple responses |
| What Factors Do You Think May Be Discouraging of Reporting ADRs? | Yes | No |
| Not knowing how to report | 123 (59%) | 87 (41%) |
| Not knowing what information to report | 70 (33%) | 140 (67%) |
| Thinking it is not important to report an ADR incident | 55 (26%) | 155 (74%) |
| Managing patients is more important than reporting ADR | 51 (24%) | 159 (76%) |
| Patient confidentiality issues | 37 (18%) | 173 (82%) |
| It is not part of my job to report ADRs | 25 (12%) | 185 (88%) |
| What do you think are the barriers for Saudi Arabia to have a formal PV Center? | Yes | No |
| None | 166 (79%) | |
| Lack of training | 23 (11%) | |
| Lack of staff | 13 (6%) | |
| Workload | 6 (3%) | |
| Lack of time | 2 (1%) | |
| Total percentage may not be 100% due to the choice given for multiple responses |
Disclaimer/Publisher’s Note: The statements, opinions and data contained in all publications are solely those of the individual author(s) and contributor(s) and not of MDPI and/or the editor(s). MDPI and/or the editor(s) disclaim responsibility for any injury to people or property resulting from any ideas, methods, instructions or products referred to in the content. |
© 2023 by the authors. Licensee MDPI, Basel, Switzerland. This article is an open access article distributed under the terms and conditions of the Creative Commons Attribution (CC BY) license (https://creativecommons.org/licenses/by/4.0/).
Share and Cite
Abdulsalim, S.; Farooqui, M.; Alshammari, M.S.; Alotaibi, M.; Alhazmi, A.; Alqasomi, A.; Altowayan, W.M. Evaluation of Knowledge, Attitudes, and Practices about Pharmacovigilance among Community Pharmacists in Qassim, Saudi Arabia. Int. J. Environ. Res. Public Health 2023, 20, 3548. https://doi.org/10.3390/ijerph20043548
Abdulsalim S, Farooqui M, Alshammari MS, Alotaibi M, Alhazmi A, Alqasomi A, Altowayan WM. Evaluation of Knowledge, Attitudes, and Practices about Pharmacovigilance among Community Pharmacists in Qassim, Saudi Arabia. International Journal of Environmental Research and Public Health. 2023; 20(4):3548. https://doi.org/10.3390/ijerph20043548
Chicago/Turabian StyleAbdulsalim, Suhaj, Maryam Farooqui, Mohammed Salem Alshammari, Meshal Alotaibi, Abdulfattah Alhazmi, Abdulmajeed Alqasomi, and Waleed Mohammad Altowayan. 2023. "Evaluation of Knowledge, Attitudes, and Practices about Pharmacovigilance among Community Pharmacists in Qassim, Saudi Arabia" International Journal of Environmental Research and Public Health 20, no. 4: 3548. https://doi.org/10.3390/ijerph20043548
APA StyleAbdulsalim, S., Farooqui, M., Alshammari, M. S., Alotaibi, M., Alhazmi, A., Alqasomi, A., & Altowayan, W. M. (2023). Evaluation of Knowledge, Attitudes, and Practices about Pharmacovigilance among Community Pharmacists in Qassim, Saudi Arabia. International Journal of Environmental Research and Public Health, 20(4), 3548. https://doi.org/10.3390/ijerph20043548

