Musculoskeletal Health Complaints and Associated Risk Factors in Freshmen Music Students
Abstract
:1. Introduction
2. Materials and Methods
2.1. Sample
2.2. Outcome Measures
MHCs
2.3. Statistical Analysis
3. Results
3.1. Cross-Sectional Analysis: Comparison between Music Students and Students from Other Disciplines
3.2. Comparison between Music Students with and without Current MHCs
3.3. Longitudinal Analysis
Monthly Episodes of MHCs
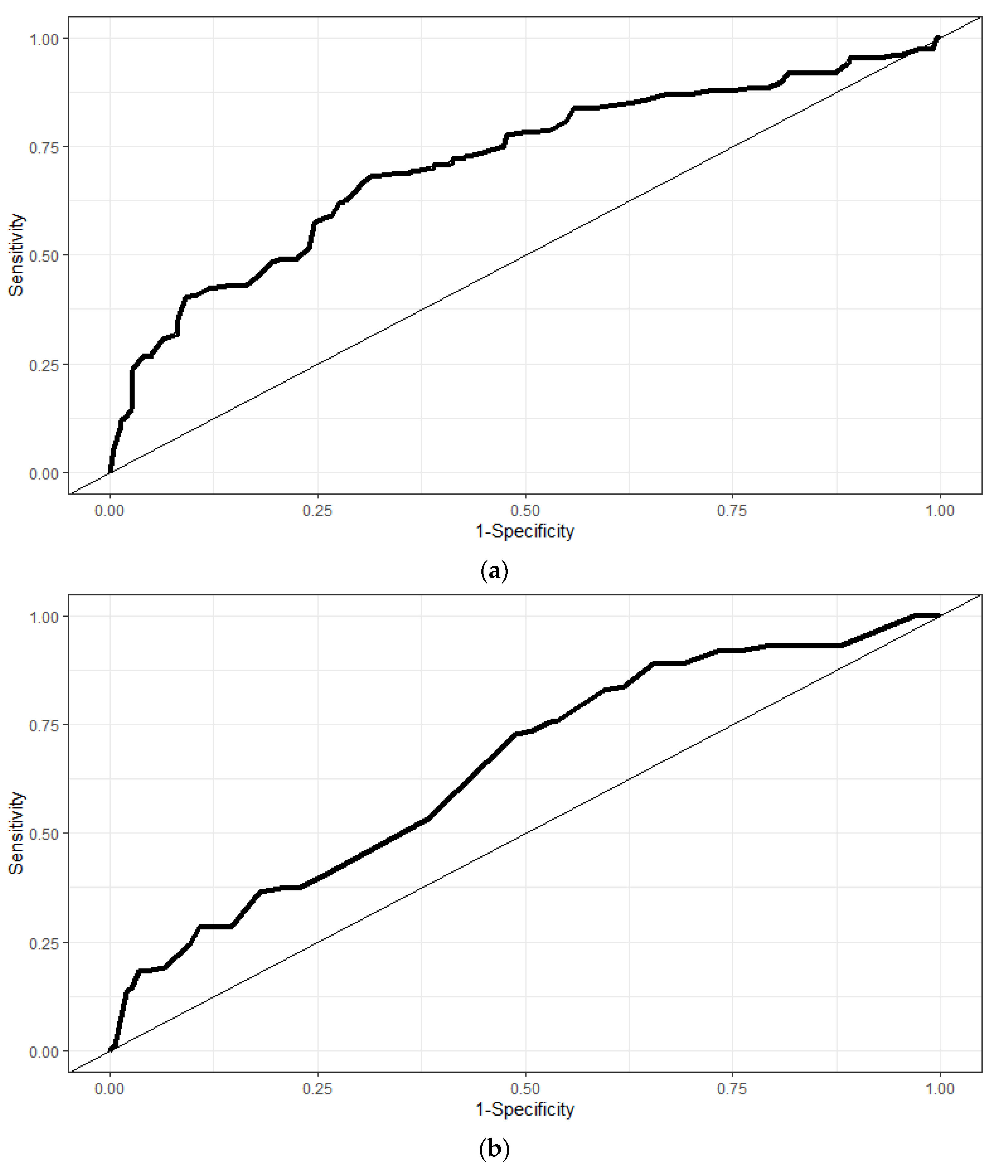
3.4. Risk Factors and Prediction Model
4. Discussion
4.1. Strengths and Weaknesses
4.2. Clinical Implications and Research Directions for the Future
5. Conclusions
Supplementary Materials
Author Contributions
Funding
Institutional Review Board Statement
Informed Consent Statement
Data Availability Statement
Conflicts of Interest
References
- Kenny, D.; Ackermann, B. Performance-related musculoskeletal pain, depression and music performance anxiety in professional orchestral musicians: A population study. Psychol. Music 2015, 43, 43–60. [Google Scholar] [CrossRef]
- Cruder, C.; Barbero, M.; Soldini, E.; Gleeson, N. Patterns of pain location in music students: A cluster analysis. BMC Musculoskelet. Disord. 2021, 22, 184. [Google Scholar] [CrossRef] [PubMed]
- Jacukowicz, A. Psychosocial work aspects, stress and musculoskeletal pain among musicians. A systematic review in search of correlates and predictors of playing-related pain. WOR 2016, 54, 657–668. [Google Scholar] [CrossRef] [PubMed]
- Rickert, D.L.; Barrett, M.S.; Ackermann, B.J. Injury and the Orchestral Environment: Part I. The Role of Work Organisation and Psychosocial Factors in Injury Risk. Med. Probl. Perform. Artist. 2013, 28, 219–229. [Google Scholar] [CrossRef]
- Kok, L.M.; Huisstede, B.M.A.; Voorn, V.M.A.; Schoones, J.W.; Nelissen, R.G.H.H. The occurrence of musculoskeletal complaints among professional musicians: A systematic review. Int. Arch. Occup. Environ. Health 2016, 89, 373–396. [Google Scholar] [CrossRef]
- Fishbein, M.; Middlestadt, S. Medical problems among ICSOM musicians: Overview of national survey. Med. Probl. Perform. Artist. 1988, 3, 31–38. [Google Scholar]
- Zaza, C.; Charles, C.; Muszynski, A. The meaning of playing-related musculoskeletal disorders to classical musicians. Soc. Sci. Med. 1998, 47, 2013–2023. [Google Scholar] [CrossRef]
- Kochem, F.B.; Silva, J.G. Prevalence of Playing-related Musculoskeletal Disorders in String Players: A Systematic Review. J. Manip. Physiol. Ther. 2018, 41, 540–549. [Google Scholar] [CrossRef]
- Wesner, R.B.; Noyes, R. The occurrence of performance anxiety among musicians. J. Affect. Disord. 1990, 18, 177–185. [Google Scholar] [CrossRef]
- Barbar, A.E.M.; de Souza Crippa, J.A.; de Lima Osório, F. Performance anxiety in Brazilian musicians: Prevalence and association with psychopathology indicators. J. Affect. Disord. 2014, 152–154, 381–386. [Google Scholar] [CrossRef]
- Kenny, D.T.; Davis, P.; Oates, J. Music performance anxiety and occupational stress amongst opera chorus artists and their relationship with state and trait anxiety and perfectionism. J. Anxiety Disord. 2004, 18, 757–777. [Google Scholar] [CrossRef] [PubMed]
- Brandfonbrener, A.G. History of Playing-related Pain in 330 University Freshman Music Students. Med. Probl. Perform. Artist. 2009, 24, 30–36. [Google Scholar] [CrossRef]
- Nusseck, M.; Mornell, A.; Voltmer, E.; Kötter, T.; Schmid, B.; Blum, J.; Türk-Espitalier, A.; Spahn, C. Gesundheit und Präventionsverhalten von Musikstudierenden an verschiedenen deutschen Musikhochschulen. Musik. Und Musik. 2017, 24, 67–84. [Google Scholar]
- Roset-Llobet, J.; Rosinés-Cubells, D.; Saló-Orfila, J.M. Identification of Risk Factors for Musicians in Catalonia (Spain). Med. Probl. Perform. Artist. 2000, 15, 167–174. [Google Scholar] [CrossRef]
- Steinmetz, A.; Möller, H.; Seidel, W.; Rigotti, T. Playing-related musculoskeletal disorders in music students-associated musculoskeletal signs. Eur. J. Phys. Rehabil. Med. 2012, 48, 625–633. [Google Scholar]
- Baadjou, V.A.E.; Roussel, N.A.; Verbunt, J.A.M.C.F.; Smeets, R.J.E.M.; de Bie, R.A. Systematic review: Risk factors for musculoskeletal disorders in musicians. Occup. Med. 2016, 66, 614–622. [Google Scholar] [CrossRef]
- Steinmetz, A.; Scheffer, I.; Esmer, E.; Delank, K.S.; Peroz, I. Frequency, severity and predictors of playing-related musculoskeletal pain in professional orchestral musicians in Germany. Clin. Rheumatol. 2015, 34, 965–973. [Google Scholar] [CrossRef]
- Davies, J.; Mangion, S. Predictors of Pain and Other Musculoskeletal Symptoms among Professional Instrumental Musicians: Elucidating Specific Effects. Med. Probl. Perform. Artist. 2002, 17, 155–168. [Google Scholar] [CrossRef]
- Berque, P.; Gray, H.; McFadyen, A. Playing-Related Musculoskeletal Problems Among Professional Orchestra Musicians in Scotland: A Prevalence Study Using a Validated Instrument, The Musculoskeletal Pain Intensity and Interference Questionnaire for Musicians (MPIIQM). Med. Probl. Perform. Artist. 2016, 31, 78–86. [Google Scholar] [CrossRef]
- Macdonald, H.M.; Lavigne, S.K.; Reineberg, A.E.; Thaut, M.H. Playing-Related Musculoskeletal Disorders, Risk Factors, and Treatment Efficacy in a Large Sample of Oboists. Front. Psychol. 2022, 12, 772357. [Google Scholar] [CrossRef]
- Rotter, G.; Noeres, K.; Fernholz, I.; Willich, S.N.; Schmidt, A.; Berghöfer, A. Musculoskeletal disorders and complaints in professional musicians: A systematic review of prevalence, risk factors, and clinical treatment effects. Int. Arch. Occup. Environ. Health 2020, 93, 149–187. [Google Scholar] [CrossRef]
- von Elm, E.; Altman, D.G.; Egger, M.; Pocock, S.J.; Gøtzsche, P.C.; Vandenbroucke, J.P. The Strengthening the Reporting of Observational Studies in Epidemiology (STROBE) Statement: Guidelines for Reporting Observational Studies. PLoS Med. 2007, 4, 335. [Google Scholar] [CrossRef]
- Ballenberger, N.; Möller, D.; Zalpour, C. Musculoskeletal Health Complaints and Corresponding Risk Factors Among Music Students: Study Process, Analysis Strategies, and Interim Results from a Prospective Cohort Study. Med. Probl. Perform. Artist. 2018, 33, 166–174. [Google Scholar] [CrossRef]
- Sample Size Calculator. Available online: https://www.abs.gov.au/websitedbs/d3310114.nsf/home/sample+size+calculator (accessed on 1 March 2015).
- Biering-Sørensen, F. Physical Measurements as Risk Indicators for Low-Back Trouble Over a One-Year Period. Spine 1984, 9, 106–119. [Google Scholar] [CrossRef]
- McGill, S.M.; Childs, A.; Liebenson, C. Endurance times for low back stabilization exercises: Clinical targets for testing and training from a normal database. Arch. Phys. Med. Rehabil. 1999, 80, 941–944. [Google Scholar] [CrossRef]
- Coorevits, P.; Danneels, L.; Cambier, D.; Ramon, H.; Vanderstraeten, G. Assessment of the validity of the Biering-Sørensen test for measuring back muscle fatigue based on EMG median frequency characteristics of back and hip muscles. J. Electromyogr. Kinesiol. 2008, 18, 997–1005. [Google Scholar] [CrossRef]
- Durall, C.J.; Greene, P.F.; Kernozek, T.W. A Comparison of Two Isometric Tests of Trunk Flexor Endurance. J. Strength Cond. Res. 2012, 26, 1939–1944. [Google Scholar] [CrossRef]
- Tong, T.K.; Wu, S.; Nie, J. Sport-specific endurance plank test for evaluation of global core muscle function. Phys. Ther. Sport 2014, 15, 58–63. [Google Scholar] [CrossRef]
- Beighton, P.; Solomon, L.; Soskolne, C.L. Articular mobility in an African population. Ann. Rheum. Dis. 1973, 32, 413–418. [Google Scholar] [CrossRef]
- Junge, T.; Jespersen, E.; Wedderkopp, N.; Juul-Kristensen, B. Inter-tester reproducibility and inter-method agreement of two variations of the Beighton test for determining Generalised Joint Hypermobility in primary school children. BMC Pediatr 2013, 13, 214. [Google Scholar] [CrossRef]
- Boyle, K.L.; Witt, P.; Riegger-Krugh, C. Intrarater and Interrater Reliability of the Beighton and Horan Joint Mobility Index. J. Athl. Train. 2003, 38, 281–285. [Google Scholar]
- Smits-Engelsman, B.; Klerks, M.; Kirby, A. Beighton Score: A Valid Measure for Generalized Hypermobility in Children. J. Pediatr. 2011, 158, 119–123.e4. [Google Scholar] [CrossRef]
- Audette, I.; Dumas, J.-P.; Côté, J.N.; De Serres, S.J. Validity and Between-Day Reliability of the Cervical Range of Motion (CROM) Device. J Orthop Sport. Phys 2010, 40, 318–323. [Google Scholar] [CrossRef]
- Mangone, M.; Bernetti, A.; Germanotta, M.; Di Sipio, E.; Razzano, C.; Ioppolo, F.; Santilli, V.; Venditto, T.; Paoloni, M. Reliability of the Cervical Spine Device for the Assessment of Cervical Spine Range of Motion in Asymptomatic Participants. J. Manip. Physiol. Ther. 2018, 41, 342–349. [Google Scholar] [CrossRef]
- Kinser, A.M.; Sands, W.A.; Stone, M.H. Reliability and Validity of a Pressure Algometer. J. Strength Cond. Res. 2009, 23, 312–314. [Google Scholar] [CrossRef]
- Persson, A.; Brogårdh, C.; Sjölund, B. Tender or not tender: Test-retest repeatability of pressure pain thresholds in the trapezius and deltoid muscles of healthy women. J. Rehabil. Med. 2004, 36, 17–27. [Google Scholar] [CrossRef]
- Wirtz, M.A.; Morfeld, M.; Glaesmer, H.; Brähler, E. Normierung des SF-12 Version 2.0 zur Messung der gesundheitsbezogenen Lebensqualität in einer deutschen bevölkerungsrepräsentativen Stichprobe. Diagnostica 2018, 64, 215–226. [Google Scholar] [CrossRef]
- Wirtz, M.A.; Morfeld, M.; Glaesmer, H.; Brähler, E. Konfirmatorische Prüfung der Skalenstruktur des SF-12 Version 2.0 in einer deutschen bevölkerungs-repräsentativen Stichprobe. Diagnostica 2018, 64, 84–96. [Google Scholar] [CrossRef]
- Drixler, K.; Morfeld, M.; Glaesmer, H.; Brähler, E.; Wirtz, M.A. Validierung der Messung gesundheitsbezogener Lebensqualität mittels des Short-Form-Health-Survey-12 (SF-12 Version 2.0) in einer deutschen Normstichprobe. Z. Für Psychosom. Med. Und Psychother. 2020, 66, 272–286. [Google Scholar] [CrossRef]
- Cheak-Zamora, N.C.; Wyrwich, K.W.; McBride, T.D. Reliability and validity of the SF-12v2 in the medical expenditure panel survey. Qual Life Res 2009, 18, 727–735. [Google Scholar] [CrossRef]
- Bjelland, I.; Dahl, A.A.; Haug, T.T.; Neckelmann, D. The validity of the Hospital Anxiety and Depression Scale An updated literature review. J. Psychosom. Res. 2002, 52, 69–77. [Google Scholar] [CrossRef]
- Frost, R.O.; Marten, P.; Lahart, C.; Rosenblate, R. The dimensions of perfectionism. Cogn. Ther. Res. 1990, 14, 449–468. [Google Scholar] [CrossRef]
- Ackermann, B.J.; Kenny, D.T.; O’Brien, I.; Driscoll, T.R. Sound Practice-improving occupational health and safety for professional orchestral musicians in Australia. Front. Psychol. 2014, 5, 973. [Google Scholar] [CrossRef]
- Chang-Arana, Á.M.; Kenny, D.T.; Burga-León, A.A. Validation of the Kenny Music Performance Anxiety Inventory (K-MPAI): A cross-cultural confirmation of its factorial structure. Psychol. Music 2018, 46, 551–567. [Google Scholar] [CrossRef]
- Kenny, D.T. The factor structure of the revised Kenny Music Performance Anxiety Inventory. Int. Symp. Perform. Sci. Utrecht 2009, 52, 69–77. [Google Scholar]
- Marshall, S.W. Power for tests of interaction: Effect of raising the Type I error rate. Epidemiol. Perspect. Innov. 2007, 4, 4. [Google Scholar] [CrossRef]
- Bruder, J.; Ballenberger, N.; Villas, B.; Haugan, C.; McKenzie, K.; Patel, Z.; Zalpour, C.; Mevawala, A.; Handl, M.; Guptill, C. MusicCohort: Pilot feasibility of a protocol to assess students’ physical and mental health in a Canadian post-secondary school of music. BMC Res. Notes 2021, 14, 441. [Google Scholar] [CrossRef]
- Kok, L.M.; Vlieland, T.P.V.; Fiocco, M.; Nelissen, R.G. A comparative study on the prevalence of musculoskeletal complaints among musicians and non-musicians. BMC Musculoskelet Disord. 2013, 14, 9. [Google Scholar] [CrossRef]
- Spahn, C.; Richter, B.; Altenmüller, E. MusikerMedizin: Diagnostik, Therapie und Prävention von Musikerspezifischen Erkrankungen, 1st ed.; Schattauer: Stuttgart, Germany, 2010. [Google Scholar]
- Lindell, M.; Grimby-Ekman, A. Stress, non-restorative sleep, and physical inactivity as risk factors for chronic pain in young adults: A cohort study. PLoS ONE 2022, 17, e0262601. [Google Scholar] [CrossRef]
- Wong, A.Y.L.; Chan, L.L.Y.; Lo, C.W.T.; Chan, W.W.Y.; Lam, K.C.K.; Bao, J.C.H.; Ferreira, M.L.; Armijo-Olivo, S. Prevalence/Incidence of Low Back Pain and Associated Risk Factors among Nursing and Medical Students: A Systematic Review and Meta-Analysis. PMR 2021, 13, 1266–1280. [Google Scholar] [CrossRef]
- Cruder, C.; Barbero, M.; Koufaki, P.; Soldini, E.; Gleeson, N. Prevalence and associated factors of playing-related musculoskeletal disorders among music students in Europe. Baseline findings from the Risk of Music Students (RISMUS) longitudinal multicentre study. PLoS ONE 2020, 15, e0242660. [Google Scholar] [CrossRef] [PubMed]
- Zalpour, C.; Ballenberger, N.; Avermann, F. A Physiotherapeutic Approach to Musicians’ Health—Data From 614 Patients From a Physiotherapy Clinic for Musicians (INAP/O). Front. Psychol. 2021, 12, 568684. [Google Scholar] [CrossRef] [PubMed]
- Cruder, C.; Koufaki, P.; Barbero, M.; Gleeson, N. A longitudinal investigation of the factors associated with increased RISk of playing-related musculoskeletal disorders in MUsic students (RISMUS): A study protocol. BMC Musculoskelet Disord. 2019, 20, 64. [Google Scholar] [CrossRef] [PubMed]
- Baadjou, V.A.E.; Verbunt, J.A.M.C.F.; van Eijsden-Besseling, M.D.F.; de Bie, R.A.; Girard, O.; Twisk, J.W.R.; Smeets, R.J.E. M Preventing musculoskeletal complaints in music students: A randomized controlled trial. Occup. Med. 2018, 68, 469–477. [Google Scholar] [CrossRef]

| Continuous Variables | Music Students | Students from Other Disciplines | SMD * | p-Value * | ||||
|---|---|---|---|---|---|---|---|---|
| N | Mean | SD | N | Mean | SD | |||
| Weight (kg) | 145 | 70.17 | 11.96 | 189 | 67.35 | 11.66 | −0.34 | <0.01 |
| Height (cm) | 145 | 173.26 | 22.45 | 190 | 172.25 | 16 | −0.07 | 0.56 |
| BMI | 145 | 22.65 | 5.53 | 190 | 22.35 | 2.21 | −0.21 | 0.06 |
| Sports (h/week) | 142 | 3.25 | 3.88 | 189 | 5.28 | 6.09 | 0.35 | <0.01 |
| Practice duration (h/week) | 137 | 19.78 | 13 | NA | NA | NA | NA | NA |
| Health-related quality of life (SF12) | ||||||||
| Physical functioning | 139 | 52.58 | 6.64 | 178 | 54.96 | 5.05 | 0.41 | <0.01 |
| Mental health | 139 | 46.98 | 9.87 | 178 | 49.95 | 8.18 | 0.31 | 0.01 |
| Pain | 147 | 1.66 | 0.74 | 189 | 1.3 | 0.56 | −0.5 | <0.01 |
| Anxiety and Depression scale (HADS) | ||||||||
| Depression | 98 | 3.39 | 2.84 | 122 | 2.3 | 2.69 | −0.42 | <0.01 |
| Anxiety | 98 | 6.11 | 3.59 | 122 | 4.54 | 2.84 | −0.48 | <0.01 |
| Perfectionism (FMPS) | 68 | 48.19 | 32.89 | 63 | 41.17 | 31.28 | −0.35 | 0.05 |
| Stress symptoms (SCI) | 130 | 23.71 | 5.98 | 151 | 20.4 | 4.85 | −0.65 | <0.01 |
| Performance anxiety (K-MPAI) | 97 | 91.39 | 36.34 | NA | NA | NA | NA | |
| PPT | 98 | 11.98 | 12.43 | 111 | 11.15 | 11.84 | −0.06 | 0.68 |
| Categorical Variables | N | Absolute Numbers | % | N | Absolute Numbers | % | OR * | p-Value * |
| Pain history (yes/no) | ||||||||
| Last 7 days | 131 | 36/95 | 27 | 148 | 23/125 | 16 | 2.27 | 0.01 |
| Last 4 weeks | 131 | 47/84 | 36 | 147 | 43/104 | 29 | 1.41 | 0.22 |
| Last 12 months | 131 | 70/61 | 53 | 149 | 75/74 | 50 | 1.12 | 0.66 |
| Ever | 131 | 92/31 | 70 | 149 | 102/47 | 68 | 1.22 | 0.49 |
| Continuous Variables | Without Current MHCs | With Current MHCs | SMD * | p-Value * | ||||
|---|---|---|---|---|---|---|---|---|
| N | Mean | SD | N | Mean | SD | |||
| Weight (kg) | 94 | 71.11 | 11.93 | 36 | 69.92 | 11.43 | −0.18 | 0.32 |
| Height (cm) | 94 | 173.18 | 27 | 36 | 175.83 | 9.69 | 0.12 | 0.56 |
| BMI | 94 | 22.61 | 3.31 | 36 | 22.54 | 3.39 | −0.08 | 0.56 |
| Sports (h/week) | 91 | 3.58 | 4.4 | 36 | 3 | 2.9 | −0.15 | 0.46 |
| Practice duration (h/week) | 88 | 21.37 | 13.01 | 34 | 19.49 | 14.27 | −0.11 | 0.58 |
| Health-related quality of life (SF12) | ||||||||
| Physical functioning | 87 | 54.29 | 4.94 | 36 | 47.56 | 7.93 | −1.00 | <0.01 |
| Mental health | 87 | 48.4 | 8.83 | 36 | 45.64 | 10.4 | −0.29 | 0.12 |
| Pain | 95 | 1.39 | 0.53 | 36 | 2.29 | 0.81 | 1.22 | <0.01 |
| Anxiety and Depression scale (HADS) | ||||||||
| Depression | 70 | 3.06 | 2.69 | 27 | 4.15 | 3.11 | 0.39 | 0.09 |
| Anxiety | 70 | 5.67 | 3.5 | 27 | 7.11 | 3.65 | 0.41 | 0.07 |
| Perfectionism (FMPS) | 51 | 48 | 34.38 | 16 | 51.13 | 28.09 | 0.03 | 0.9 |
| Stress symptoms (SCI) | 95 | 23.22 | 5.53 | 34 | 25.03 | 7.1 | 0.32 | 0.11 |
| Performance anxiety (K-MPAI) | 70 | 89.59 | 36.67 | 26 | 94.87 | 35.88 | 0.15 | 0.51 |
| PPT | 68 | 12.85 | 13.33 | 30 | 9.99 | 10 | −0.22 | 0.31 |
| Categorical Variables | N | Absolute Numbers | % | N | Absolute Numbers | % | OR * | p-Value * |
| Pain history (yes/no) | ||||||||
| Last 4 weeks | 95 | 14/81 | 15 | 36 | 33/3 | 92 | 84.36 | <0.01 |
| Last 12 months | 95 | 38/57 | 40 | 36 | 32/4 | 89 | 13.01 | <0.01 |
| Ever | 95 | 60/35 | 63 | 36 | 32/4 | 89 | 5.25 | <0.01 |
| MHCs | Predicted Probabilities | ||||
|---|---|---|---|---|---|
| No | Yes | All | |||
| Music students Students from other disciplines | Yes | 455 | 149 | 627 | 0.17 |
| No | 520 | 107 | 604 | 0.09 | |
| All | 975 | 256 | 1231 | 0.13 | |
| Monthly Episodes: Students from Other Disciplines | Monthly Episodes: Music Students | Interaction p-Value * | |||||
|---|---|---|---|---|---|---|---|
| N | OR | p-Value * | N | OR | p-Value * | ||
| Weight (kg) | 83 | 1.02 | 0.35 | 87 | 1 | 1 | 0.99 |
| Height (cm) | 83 | 1.01 | 0.8 | 87 | 0.99 | 0.75 | 0.98 |
| BMI | 83 | 1.11 | 0.44 | 87 | 0.98 | 0.76 | 0.94 |
| Sports (h/week) | 83 | 0.97 | 0.82 | 85 | 1.01 | 0.84 | 0.84 |
| Practice duration (h/week) | NA | NA | NA | 82 | 1 | 0.78 | NA |
| Health-related quality of life (SF12) | |||||||
| Physical functioning | 83 | 0.99 | 0.91 | 86 | 0.89 | <0.01 | 0.02 |
| Mental health | 83 | 0.93 | 0.02 | 86 | 0.99 | 0.71 | 0.09 |
| Pain | 82 | 1.92 | 0.16 | 88 | 2.68 | <0.01 | 0.2 |
| Anxiety and Depression scale (HADS) | |||||||
| Depression | 57 | 1.09 | 0.26 | 60 | 1.07 | 0.49 | 0.57 |
| Anxiety | 83 | 1.17 | 0.06 | 60 | 1.07 | 0.37 | 0.29 |
| Perfectionism (FMPS) | NA | NA | NA | 33 | 1.02 | 0.09 | NA |
| Stress symptoms (SCI) | 57 | 1.17 | <0.01 | 87 | 1.02 | 0.67 | 0.03 |
| Performance anxiety (K-MPAI) | NA | NA | NA | 60 | 0.99 | 0.34 | NA |
| PPT | 72 | 0.95 | 0.05 | 78 | 0.99 | 0.7 | 0.39 |
| Pain history (yes/no) | |||||||
| Last 7 days | 73 | 2.76 | 0.12 | 88 | 5.84 | <0.01 | 0.22 |
| Last 4 weeks | 82 | 1.85 | 0.28 | 88 | 3.03 | 0.01 | 0.26 |
| Last 12 months | 82 | 2.92 | 0.06 | 88 | 1.98 | 0.09 | 0.8 |
| Ever | 73 | 2.58 | 0.15 | 88 | 2.08 | 0.09 | 0.95 |
| Students from Other Disciplines | OR | p-Value | Music Students | OR | p-Value |
|---|---|---|---|---|---|
| MHCs (last 12 months) | 2.43 | 0.05 | Current MHCs | 2.8 | 0.01 |
| Stress symptoms | 1.15 | 0.004 | Physical function | 0.91 | 0.001 |
| Model p-value | 0.002 | Model p-value | <0.001 | ||
Disclaimer/Publisher’s Note: The statements, opinions and data contained in all publications are solely those of the individual author(s) and contributor(s) and not of MDPI and/or the editor(s). MDPI and/or the editor(s) disclaim responsibility for any injury to people or property resulting from any ideas, methods, instructions or products referred to in the content. |
© 2023 by the authors. Licensee MDPI, Basel, Switzerland. This article is an open access article distributed under the terms and conditions of the Creative Commons Attribution (CC BY) license (https://creativecommons.org/licenses/by/4.0/).
Share and Cite
Ballenberger, N.; Avermann, F.; Zalpour, C. Musculoskeletal Health Complaints and Associated Risk Factors in Freshmen Music Students. Int. J. Environ. Res. Public Health 2023, 20, 3169. https://doi.org/10.3390/ijerph20043169
Ballenberger N, Avermann F, Zalpour C. Musculoskeletal Health Complaints and Associated Risk Factors in Freshmen Music Students. International Journal of Environmental Research and Public Health. 2023; 20(4):3169. https://doi.org/10.3390/ijerph20043169
Chicago/Turabian StyleBallenberger, Nikolaus, Florian Avermann, and Christoff Zalpour. 2023. "Musculoskeletal Health Complaints and Associated Risk Factors in Freshmen Music Students" International Journal of Environmental Research and Public Health 20, no. 4: 3169. https://doi.org/10.3390/ijerph20043169
APA StyleBallenberger, N., Avermann, F., & Zalpour, C. (2023). Musculoskeletal Health Complaints and Associated Risk Factors in Freshmen Music Students. International Journal of Environmental Research and Public Health, 20(4), 3169. https://doi.org/10.3390/ijerph20043169

