Effects of Tai Chi on Sleep Quality as Well as Depression and Anxiety in Insomnia Patients: A Meta-Analysis of Randomized Controlled Trials
Abstract
1. Introduction
2. Methods
2.1. Literature Search
- #1
- “Sleep Initiation and Maintenance Disorders”[Mesh]
- #2
- Disorders of Initiating AND Maintaining Sleep OR DIMS Disorders of Initiating AND Maintaining Sleep OR Early Awakening OR Awakening, Early OR Nonorganic Insomnia OR Insomnia, Nonorganic OR Primary Insomnia OR Insomnia, Primary OR Transient Insomnia OR Insomnia, Transient OR Rebound Insomnia OR Insomnia, Rebound OR Secondary Insomnia OR Insomnia, Secondary OR Sleep Initiation Dysfunction OR Dysfunction, Sleep Initiation OR Dysfunctions, Sleep Initiation OR Sleep Initiation Dysfunctions OR Sleeplessness OR Insomnia Disorder OR Insomnia Disorders OR Insomnia OR Insomnias OR Chronic Insomnia OR Insomnia, Chronic OR Psychophysiological Insomnia OR Insomnia, Psychophysiological
- #3
- #1 OR #2
- #4
- “Tai Ji” [Mesh]
- #5
- Tai-ji OR Tai Chi OR Chi, Tai OR Tai Ji Quan OR Ji Quan, Tai OR Quan, Tai Ji OR Taiji OR Taijiquan OR T’ai Chi OR Tai Chi Chuan
- #6
- #4 OR #5
- #7
- randomized controlled trial [Publication Type] OR randomized OR placebo
- #8
- #3 AND #6 AND #7
2.2. Literature Inclusion and Exclusion Criteria
2.3. Data Extraction and Quality Assessment
2.4. Statistical Analysis
3. Results
3.1. Literature Search
3.2. Study Characteristics
3.3. Quality Evaluation
3.4. Grade Evidence Quality Rating
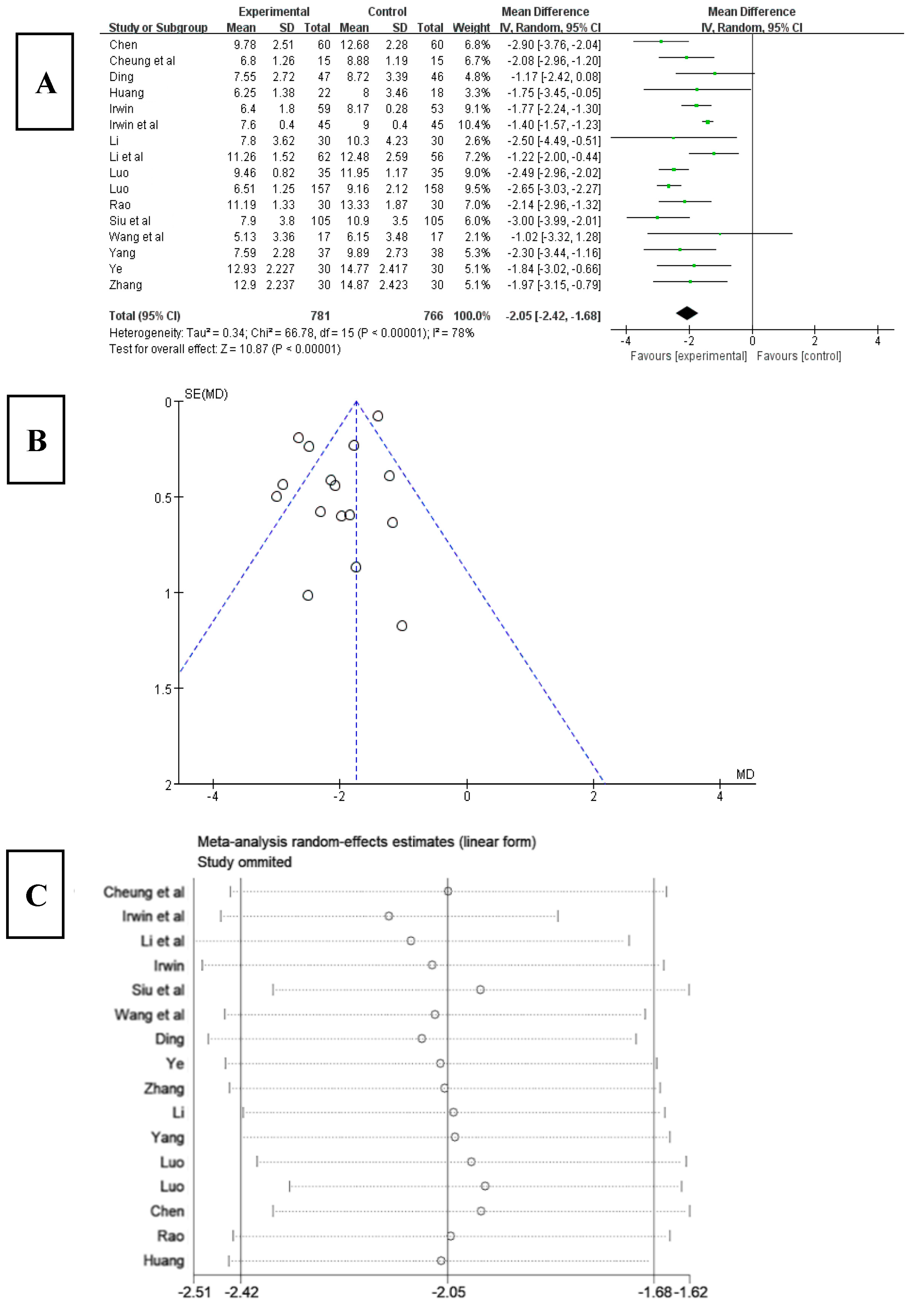
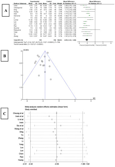
3.5. Effects of Tai Chi on the PSQI of Patients with Insomnia

3.6. The Influence of Tai Chi on Various Indicators in PSQI
3.6.1. Effects of Tai Chi on Sleep Quality in PSQI
3.6.2. Effect of Tai Chi on Sleep Latency in PSQI
3.6.3. Effects of Tai Chi on Sleep Time in PSQI
3.6.4. Effects of Tai Chi on Sleep Efficiency in PSQI
3.6.5. Effects of Tai Chi on Sleep Disorders in PSQI
3.6.6. Effects of Tai Chi on Hypnotics in PSQI
3.6.7. Effects of Tai Chi on Daytime Dysfunction in PSQI
3.7. Effects of Tai Chi on the Mood of Patients with Sleep Disorders
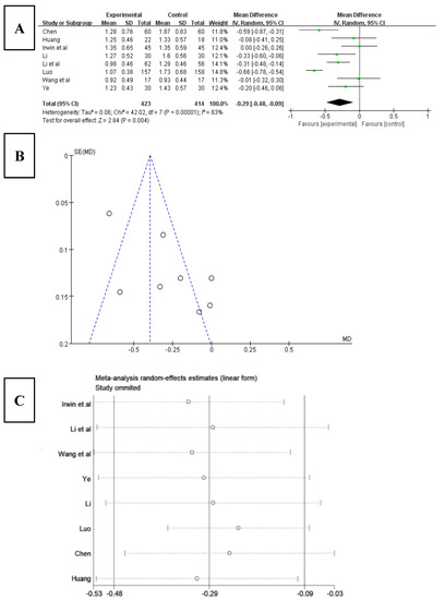
3.7.1. Effects of Tai Chi on HAMD in Patients with Sleep Disorders
3.7.2. Effects of Tai Chi on HAMA in Patients with Sleep Disorders
3.7.3. Effects of Tai Chi on SAS in Patients with Sleep Disorders
3.8. GRADE Evidence Quality Rating
4. Discussion
5. Conclusions
Author Contributions
Funding
Institutional Review Board Statement
Informed Consent Statement
Data Availability Statement
Acknowledgments
Conflicts of Interest
References
- Chinese Sleep Research Society. Guidelines for the diagnosis and treatment of insomnia in China. Natl. Med. J. China 2017, 24, 1844–1856. [Google Scholar]
- Winkley, K.; Upsher, R.; Stahl, D.; Pollard, D.; Kasera, A.; Brennan, A.; Heller, S.; Ismail, K. Psychological interventions to improve self-management of type 1 and type 2 diabetes: A systematic review. Health Technol. Assess. 2020, 28, 1–232. [Google Scholar] [CrossRef] [PubMed]
- Lu, L.; Shen, Y.C. Psychology; People’s Medical Publishing House: Beijing, China, 2017; p. 574. ISBN 9787117266659. [Google Scholar]
- Haynes, J.; Talbert, M.; Fox, S.; Close, E. Cognitive behavioral therapy in the treatment of insomnia. South. Med. J. 2018, 2, 75–80. [Google Scholar] [CrossRef] [PubMed]
- Soldatos, C.R.; Allaert, F.A.; Ohta, T.; Dikeos, D.G. How do individuals sleep around the world? Results from a single-day survey in ten countries. Sleep Med. 2005, 1, 5–13. [Google Scholar] [CrossRef] [PubMed]
- Bolge, S.C.; Doan, J.F.; Kannan, H.; Baran, R.W. Association of insomnia with quality of life, work productivity, and activity impairment. Qual. Life Res. 2009, 4, 415–422. [Google Scholar] [CrossRef]
- Meena, S.K.; Rita, A. The effects of insomnia and sleep loss on cardiovascular disease. Sleep Med. Clin. 2017, 2, 167–177. [Google Scholar]
- Yuan, R.; Wang, J.; Guo, L.L. Effects of sleep deprivation on coronary heart disease and progress in prevention and treatment of traditional Chinese medicine. Chin. J. Chin. Mater. Med. 2015, 9, 1666–1669. [Google Scholar]
- Zhang, P.; Li, Y.P.; Wu, H.J.; Zhao, Z.X. Guidelines for the diagnosis and treatment of adult insomnia in China. Chin. J. Neur. 2018, 5, 324–335. [Google Scholar]
- He, Q.N.; Wang, X.D.; Huang, M.; Sun, L. Research progress of drug therapy for chronic insomnia. Chin. J. Clin. Pharmacol. 2018, 15, 1932–1936. [Google Scholar]
- Sun, Y.K.; Shi, L.; Chen, S.Q.; Lin, X.; Lu, L.; Zhang, X.J. Effects of sedative-hypnotic drug therapy on cognitive function in patients with insomnia. Chin. J. Nerv. Ment. Dis. 2017, 11, 701–704. [Google Scholar]
- Zhao, F.Y.; Duan, Y.R.; Yan, H.X.; Li, A.Q.; Hu, Y.; Zhang, Z.Y.; Xu, H. Clinical evaluation of moxibustion combined with Taijiquan and Jacobson progressive muscle relaxation training on exercise-induced insomnia. J. Shenyang Sport Univ. 2016, 5, 75–80. [Google Scholar]
- Qiu, H.F. Tai Chi; Jilin Science and Technology Press: Changchun, China, 2009; p. 27. ISBN 9787538441888. [Google Scholar]
- Krueger, J.M.; Obal, F.J.; Fang, J.; Kubota, T.; Taishi, P. The role of cytokines in physiological sleep regulation. Ann. N. Y. Acad. Sci. 2001, 1, 211–221. [Google Scholar] [CrossRef]
- Irwin, M.R.; Thompson, J.; Miller, C.; Gillin, J.C.; Ziegler, M. Effects of sleep and sleepdeprivation on catecholamine and interleukin-2 levels in humans:clinical implications. J. Clin. Endocrinol. Metab. 1999, 6, 1979–1985. [Google Scholar]
- Wu, H.Y.; Shi, J.M. Characteristics and production methods of exercise prescriptions for middle-aged and elderly people. Bull. Sport Sci. Tech. 2015, 10, 98–99+101. [Google Scholar]
- Song, J.; Lai, H.; Xie, X.T.; Huang, J.; Wu, J.S. Research progress of Taijiquan intervention in elderly depressive disorder. Fujian J. Trad. Chin. Med. 2019, 4, 83–88. [Google Scholar]
- Liberati, A.; Altman, D.G.; Tetzlaff, J.; Mulrow, C.; Gotzsche, P.C.; Ioannidis, J.P.; Clarke, M.; Devereaux, P.J.; Kleijnen, J.; Moher, D. The PRISMA statement for reporting systematic reviews and meta-analyses of studies that evaluate health care interventions: Explanation and elaboration. PLoS Med. 2009, 7, e1000100. [Google Scholar]
- Cohen, J. Statistical Power Analysis for the Behavioral Sciences, 2nd ed.; Routledge Member of the Taylor and Francis Group: New York, NY, USA, 1988; ISBN 0805802835. [Google Scholar]
- Luo, Y.H. Study on the improvement of sleep and mood in patients with depression-related insomnia by Taijiquan. BaoJian Wenhui 2020, 26, 225–226. [Google Scholar]
- Rao, T.; Ni, J.H. Effects of Taijiquan on sleep and mood in patients with depression-related insomnia. Chin. Prim. Health Care 2018, 1, 66+78. [Google Scholar]
- Chen, Y.Z.; Wang, X.Y.; Zhang, M. Effects of Taijiquan training on sleep quality of elderly patients in cardiology department. Chin. Manip. Qi Gong Ther. 2017, 5, 64–66. [Google Scholar]
- Ding, Y.J. Research on the Intervention Effect of Taijiquan Exercise on Insomnia in the Elderly; Anhui University of Chinese Medicine: Hefei, China, 2020. [Google Scholar]
- Huang, T. Effects of Taijiquan on the Secretion of Melatonin and Its Related Indexes in Sports Students with Sleep Disorders; Guangzhou Sport University: Guangzhou, China, 2016. [Google Scholar]
- Luo, S.S. Research on the intervention effect of Taijiquan on college students’ sleep disorders. Chin. J. Conval. Med. 2021, 12, 1249–1252. [Google Scholar]
- Li, Y.Q. A Randomized Controlled Experimental Study on the Effects of Eight-Style Taijiquan Exercise on the Mental Health of the Elderly in Nursing Homes; Shandong Sport University: Jinan, China, 2020. [Google Scholar]
- Yang, X.W. Effects of Taijiquan on Sleep Quality in Elderly Patients with Essential Hypertension; Chengdu University of Traditional Chinese Medicine: Chengdu, China, 2018. [Google Scholar]
- Zhang, Y.D. Observation on the effect of 24-style Taijiquan intervention on 60 cases of insomnia. Chin. Comm. Doc. 2014, 35, 109–110. [Google Scholar]
- Ye, D. Research on TCM Syndrome of Insomnia in Hong Kong and Taijiquan Intervention; China Academy of Chinese Medical Sciences: Beijing, China, 2012. [Google Scholar]
- Cheung, D.S.T.; Takemura, N.; Lam, T.C.; Ho, J.C.M.; Deng, W.; Smith, R.; Yan, Y.; Lee, A.W.M.; Lin, C.C. Feasibility of Aerobic Exercise and Tai-Chi Interventions in Advanced Lung Cancer Patients: A Randomized Controlled Trial. Integr. Cancer Ther. 2021, 20, 15347354211033352. [Google Scholar] [CrossRef]
- Irwin, M.R.; Olmstead, R.; Motivala, S.J. Improving sleep quality in older adults with moderate sleep complaints: A randomized controlled trial of Tai Chi. Sleep 2008, 7, 1001–1008. [Google Scholar]
- Siu, P.M.; Yu, A.P.; Tam, B.T.; Chin, E.C.; Yu, D.S.; Chung, K.F.; Hui, S.S.; Woo, J.; Fong, D.Y.; Lee, P.H.; et al. Effects of Tai Chi or Exercise on Sleep in Older Adults With Insomnia: A Randomized Clinical Trial. JAMA. Netw. Open 2021, 2, e2037199. [Google Scholar] [CrossRef] [PubMed]
- Li, F.; Fisher, K.J.; Harmer, P.; Irbe, D.; Tearse, R.G.; Weimer, C. Tai chi and self-rated quality of sleep and daytime sleepiness in older adults: A randomized controlled trial. J. Am. Geriatr. Soc. 2004, 6, 892–900. [Google Scholar] [CrossRef]
- Irwin, M.R.; Olmstead, R.; Carrillo, C.; Sadeghi, N.; Nicassio, P.; Ganz, P.A.; Bower, J.E. Tai Chi Chih Compared with Cognitive Behavioral Therapy for the Treatment of Insomnia in Survivors of Breast Cancer: A Randomized, Partially Blinded, Noninferiority Trial. J. Clin. Oncol. 2017, 23, 2656–2665. [Google Scholar] [CrossRef]
- Wang, W.; Sawada, M.; Noriyama, Y.; Arita, K.; Ota, T.; Sadamatsu, M.; Kiyotou, R.; Hirai, M.; Kishimoto, T. Tai Chi exercise versus rehabilitation for the elderly with cerebral vascular disorder: A single-blinded randomized controlled trial. Psychogeriatrics 2010, 3, 160–166. [Google Scholar] [CrossRef]
- Gordon, G.; Andrew, D.; Oxman, E.; Regina, K.; Gunn, V.; Jan, B.; Susan, N.; Yngve, F.; Paul, G.; Hans, D.; et al. GRADE Guidelines: I Introduction–GRADE evidence summary table and results summary table. Chin. J. Evid. Based Med. 2011, 11, 437–445. [Google Scholar]
- American Academy of Sleep Medicine. International Classification of Sleep Disorders, 3rd ed.; American Academy of Sleep Medicine: Darien, IL, USA, 2014. [Google Scholar]
- Shergis, J.L.; Ni, X.; Sarris, J.; Zhang, A.L.; Guo, X.; Xue, C.C.; Lu, C.; Hugel, H. Ziziphus spinosa seeds for insomnia: A review of chemistry and psychopharmacology. Phytomedicine 2017, 34, 38–43. [Google Scholar] [CrossRef]
- Seow, S.Y.; Kwok, K.F.V.; Tay, K.H.; Chee, W.S.A.; Rawtaer, I.; Cheng, Y.; Tan, Q.X.; Tan, S.M. Systematic Review of Clinical Practice Guidelines for Insomnia Disorder. J. Psychiatr. Pract. 2022, 28, 465–477. [Google Scholar] [CrossRef]
- Liu, S.; Zhang, B. Interpretation of Chinese guidelines for the diagnosis and treatment of insomnia. Chin. J. Contemp. Neurol. Neurosurg. 2017, 17, 633–638. [Google Scholar]
- Du, S.; Dong, J.; Zhang, H.; Jin, S.; Xu, G.; Liu, Z.; Chen, L.; Yin, H.; Sun, Z. Taichi exercise for self-rated sleep quality in older people: A systematic review and meta-analysis. Int. J. Nurs. Stud. 2015, 52, 368–379. [Google Scholar] [CrossRef]
- Li, H.; Chen, J.; Xu, G.; Duan, Y.; Huang, D.; Tang, C.; Liu, J. The effect of Tai Chi for improving sleep quality: A systematic review and meta-analysis. J. Affect. Disord. 2020, 274, 1102–1112. [Google Scholar] [CrossRef]
- Zhao, C.L.; Ouyang, S.Y.; Chen, L.L.; Su, J.; Li, A.L. Effects of aerobic exercise on sleep quality, sleep structure and inflammatory factors in patients with primary insomnia. Chin. Nurs. Res. 2022, 1, 154–157. [Google Scholar]
- Nguyen, M.H.; Kruse, A. A randomized controlled trial of Tai chi for balance, sleepquality and cognitive performance in elderly Vietnamese. Clin. Interv. Aging 2012, 7, 185–190. [Google Scholar] [CrossRef]
- Chang, Y.; Cheng, S.Y.; Lin, M.; Gao, F.Y.; Chao, Y.F. The effectiveness of intradialytic legergometry exercise for improving sedentary life style and fatigue among patients withchronic kidney disease: A randomized clinical trial. Int. J. Nurs. Stud. 2010, 47, 1383–1388. [Google Scholar] [CrossRef]
- Neu, D.; Mairesse, O.; Verbanck, P.; Le, B.O. Slow wave sleep in the chronically fatigued: Power spectra distribution patterns in chronic fatigue syndrome and primary insomnia. Clin. Neurophysiol. 2015, 10, 1926–1933. [Google Scholar] [CrossRef]
- Riemann, D.; Krone, L.B.; Wulff, K.; Nissen, C. Sleep, insomnia, and depression. Neuropsychopharmacology 2020, 1, 74–89. [Google Scholar] [CrossRef]
- Li, P.S.; Wang, L.; Cao, L. The influence of different types of sports on the mental health of college students. J. Shenyang Sport Univ. 2013, 3, 143–144. [Google Scholar]
- Wang, Y.J.; Xu, S.L.; Liu, J. Research progress on brain effect mechanism of Tai Chi training. Rehabil. Med. 2022, 2, 177–182. [Google Scholar] [CrossRef]
- Zhao, Z.X. Clinical Sleep Disorders; Second Military Medical University Press: Shanghai, China, 2003. [Google Scholar]
- Irwin, M.R.; Olmstead, R.; Breen, E.C.; Witarama, T.; Carrillo, C.; Sadeghi, N.; Arevalo, J.M.; Ma, J.; Nicassio, P.; Bootzin, R.; et al. Cognitive behavioral therapy and tai chireverse cellular and genomic markers of inflammation in late-life insomnia: Arandomized controlled trial. Biol. Psychiatry 2015, 10, 721–729. [Google Scholar] [CrossRef] [PubMed]
- Huang, L.Y.; Yao, L.Z.; Huang, T. Effects of Taijiquan Practice on Upstream and Downstream Factors of Melatonin. In Proceedings of the 5th Shenjiang Int. Wushu Acad. Forum and Cai Longyun Wushu Thought Seminar, Shanghai, China, 2 November 2016. [Google Scholar]

| Author | Years | Area | n (T/C) | Age (T/C) | Key Interventions | Cycle/Week | Outcomes | Quality | |
|---|---|---|---|---|---|---|---|---|---|
| T | C | ||||||||
| Luo [20] | 2020 | China | 35/35 | 60.07 ± 4.01/60.03 ± 4.05 | Tai chi | acupuncture | 8/7 | ①② | 4 |
| Rao et al. [21] | 2018 | China | 30/30 | 54.91+4.65/54.32+4.99 | Tai chi | acupuncture | 8/5 | ①②③ | 4 |
| Chen et al. [22] | 2017 | China | 60/60 | 61.14 ± 5.30/60.60 ± 6.23 | Tai chi | routine care | 12/3 | ① | 5 |
| Ding [23] | 2020 | China | 47/46 | 60–80 | Tai chi | cognition | 12/3 | ① | 3 |
| Huang [24] | 2016 | China | 22/18 | 18.68 ± 1.76/18.67 ± 1.50 | Tai chi | exercise | 24/2 | ① | 3 |
| Luo [25] | 2021 | China | 157/158 | 18.58 ± 2.25 | Tai chi | blank | 8/3 | ①④ | 4 |
| Li [26] | 2020 | China | 30/30 | 79.13 ± 5.88/77.33 ± 6.05 | Tai chi | blank | 12/4 | ① | 6 |
| Yang [27] | 2018 | China | 37/38 | 60–75 | Tai chi | exercise | 16/3 | ①④ | 7 |
| Zhang [28] | 2014 | China | 30/30 | 48.4 ± 6.7/48.9 ± 7.4 | Tai chi | medical | 2/7 | ① | 4 |
| Ye [29] | 2012 | China | 30/30 | 56.37 ± 9.413/55.42 ± 9.76 | Tai chi | psychotherapy | 8/2 | ①②③ | 5 |
| Cheung et al. [30] | 2021 | HK | 15/15 | 61.11 ± 7.01/61.00 ± 12.12 | Tai chi | exercise | 12/2 | ① | 6 |
| Irwin et al. [31] | 2008 | USA | 59/53 | 69.7 ± 6.1/69.8 ± 7.6 | Tai chi | health education | 16/3 | ① | 6 |
| Siu et al. [32] | 2021 | HK | 105/105 | 66.5 ± 6.4/66.5 ± 6.4 | Tai chi | exercise | 12/3 | ① | 7 |
| Li et al. [33] | 2004 | USA | 62/56 | 75.30 ± 7.8/75.45 ± 7.8 | Tai chi | exercise | 24/3 | ① | 6 |
| Irwin et al. [34] | 2017 | USA | 45/45 | 59.6 ± 7.9/60.0 ± 9.3 | Tai chi | health education | 25/2 | ① | 5 |
| Wang et al. [35] | 2010 | Japan | 17/17 | 50+ | Tai chi | exercise | 12/1 | ① | 5 |
| Study Characteristics | Regression Coefficient (β) | 95% CI | t Value | p Value |
|---|---|---|---|---|
| intervention time | 0.092 | 0.043~0.140 | 4.15 | 0.002 |
| intervention frequency | −0.018 | −0.044~0.008 | −1.54 | 0.154 |
| sample size | −0.001 | −0.043~−0.04 | −0.08 | 0.935 |
| article quality | −0.321 | −0.729~0.088 | −1.75 | 0.111 |
| average age | 0.020 | −0.013~0.052 | 1.36 | 0.204 |
| _Cons | −2.041 | 3.516~−0.567 | −3.09 | 0.012 |
| Outcome Index | RCTs/ Number | Risk of Bias | Inconsistency | Indirectness | Inaccuracy | Publication Bias | Effect Size (95% CI) | Evidence Quality Grade |
|---|---|---|---|---|---|---|---|---|
| PSQI | 16 | serious ① | serious ② | no | no | existing | MD= −1.75 [−1.88, −1.62] | very low |
| HAMD | 3 | serious ① | no | no | no | no | MD = −5.08 [−5.46, −4.69] | moderate |
| HAMA | 2 | serious ① | no | no | no | no | MD = −2.18 [−2.98, −1.37] | moderate |
| SAS | 2 | serious ① | no | no | no | no | MD = −7.01 [−7.72, −6.29] | moderate |
Disclaimer/Publisher’s Note: The statements, opinions and data contained in all publications are solely those of the individual author(s) and contributor(s) and not of MDPI and/or the editor(s). MDPI and/or the editor(s) disclaim responsibility for any injury to people or property resulting from any ideas, methods, instructions or products referred to in the content. |
© 2023 by the authors. Licensee MDPI, Basel, Switzerland. This article is an open access article distributed under the terms and conditions of the Creative Commons Attribution (CC BY) license (https://creativecommons.org/licenses/by/4.0/).
Share and Cite
Yang, M.; Yang, J.; Gong, M.; Luo, R.; Lin, Q.; Wang, B. Effects of Tai Chi on Sleep Quality as Well as Depression and Anxiety in Insomnia Patients: A Meta-Analysis of Randomized Controlled Trials. Int. J. Environ. Res. Public Health 2023, 20, 3074. https://doi.org/10.3390/ijerph20043074
Yang M, Yang J, Gong M, Luo R, Lin Q, Wang B. Effects of Tai Chi on Sleep Quality as Well as Depression and Anxiety in Insomnia Patients: A Meta-Analysis of Randomized Controlled Trials. International Journal of Environmental Research and Public Health. 2023; 20(4):3074. https://doi.org/10.3390/ijerph20043074
Chicago/Turabian StyleYang, Min, Jiaqi Yang, Mingjun Gong, Rui Luo, Qinqin Lin, and Baihui Wang. 2023. "Effects of Tai Chi on Sleep Quality as Well as Depression and Anxiety in Insomnia Patients: A Meta-Analysis of Randomized Controlled Trials" International Journal of Environmental Research and Public Health 20, no. 4: 3074. https://doi.org/10.3390/ijerph20043074
APA StyleYang, M., Yang, J., Gong, M., Luo, R., Lin, Q., & Wang, B. (2023). Effects of Tai Chi on Sleep Quality as Well as Depression and Anxiety in Insomnia Patients: A Meta-Analysis of Randomized Controlled Trials. International Journal of Environmental Research and Public Health, 20(4), 3074. https://doi.org/10.3390/ijerph20043074
