Effects of Ambient Temperature, Relative Humidity, and Precipitation on Diarrhea Incidence in Surabaya
Abstract
1. Introduction
2. Materials and Methods
2.1. Data Sources
2.2. Data Analysis
2.2.1. Incidence Rate Analysis
2.2.2. Time-Series Analysis of Diarrhea
3. Results
3.1. Trends of Climatic Characteristics and Diarrhea Morbidity in Surabaya
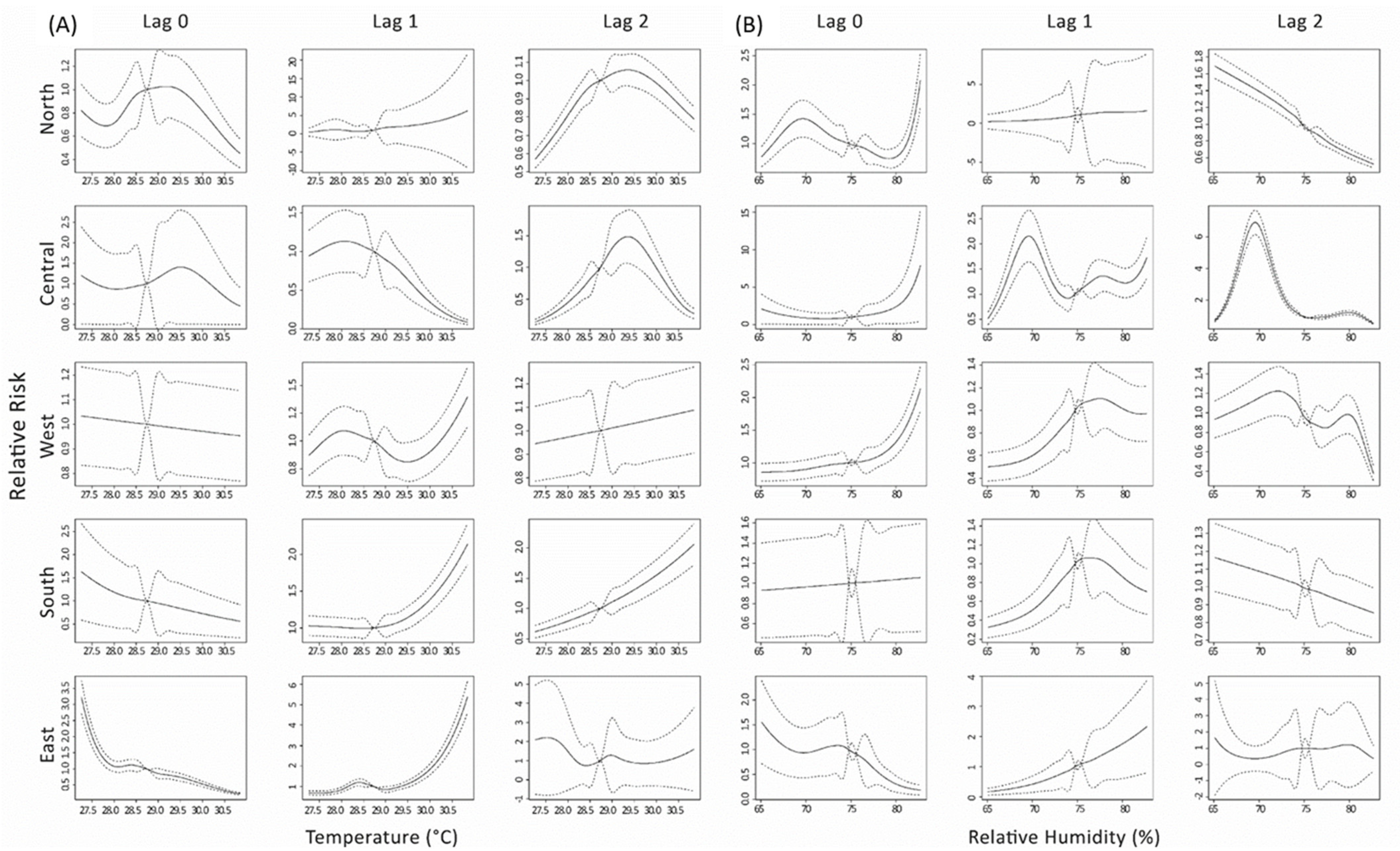
3.2. The Association between Diarrhea Cases and Weather Variables
4. Discussion
5. Conclusions
Supplementary Materials
Author Contributions
Funding
Institutional Review Board Statement
Informed Consent Statement
Data Availability Statement
Acknowledgments
Conflicts of Interest
References
- Li, R.; Lai, Y.; Feng, C.; Dev, R.; Wang, Y.; Hao, Y. Diarrhea in under Five Year-Old Children in Nepal: A Spatiotemporal Analysis Based on Demographic and Health Survey Data. Int. J. Environ. Res. Public Health 2020, 17, 2140. [Google Scholar] [CrossRef] [PubMed]
- Beyene, H.; Deressa, W.; Kumie, A.; Grace, D. Spatial, temporal, and spatiotemporal analysis of under-five diarrhea in Southern Ethiopia. Trop. Med. Health 2018, 46, 18. [Google Scholar] [CrossRef] [PubMed]
- World Health Organization. Safer Water, Better Health; World Health Organization: Geneva, Switzerland, 2019.
- Collaborators, G. GBD Diarrhoeal Diseases Collaborators Estimates of global, regional, and national morbidity, mortality, and aetiologies of diarrhoeal diseases: A systematic analysis for the Global Burden of Disease Study 2015. Lancet Infect. Dis. 2017, 17, 909–948. [Google Scholar]
- UNICEF. Diarrhoea. Available online: https://data.unicef.org/topic/child-health/diarrhoeal-disease/ (accessed on 23 August 2021).
- Chang, H.; Guo, J.; Wei, Z.; Huang, Z.; Wang, C.; Qiu, Y.; Xu, X.; Zeng, M. Aetiology of acute diarrhoea in children in Shanghai, 2015–2018. PLoS ONE 2021, 16, e0249888. [Google Scholar] [CrossRef] [PubMed]
- LaRocque, R.; Harris, J.B. Approach to the adult with acute diarrhea in resource-rich settings. UpToDate. 2020. Available online: https://www.medilib.ir/uptodate/show/2717 (accessed on 13 November 2022).
- George, C.M.; Perin, J.; De Calani, K.J.N.; Norman, W.R.; Perry, H.; Davis Jr, T.P.; Lindquist, E.D. Risk factors for diarrhea in children under five years of age residing in peri-urban communities in Cochabamba, Bolivia. Am. J. Trop. Med. Hyg. 2014, 91, 1190. [Google Scholar] [CrossRef]
- Mokomane, M.; Kasvosve, I.; Melo, E.D.; Pernica, J.M.; Goldfarb, D.M. The global problem of childhood diarrhoeal diseases: Emerging strategies in prevention and management. Ther. Adv. Infect. Dis. 2018, 5, 29–43. [Google Scholar] [CrossRef]
- Andhikaputra, G.; Sapkota, A.; Lin, Y.-K.; Chan, T.-C.; Gao, C.; Deng, L.-W.; Wang, Y.-C. The impact of temperature and precipitation on all-infectious-, bacterial-, and viral-diarrheal disease in Taiwan. Sci. Total Environ. 2023, 862, 160850. [Google Scholar] [CrossRef] [PubMed]
- Hao, Q.; Gao, Q.; Zhao, R.; Wang, H.; Li, H.; Jiang, B. The effect and attributable risk of daily temperature on category C infectious diarrhea in Guangdong Province, China. Environ. Sci. Pollut. Res. 2021, 29, 23963–23974. [Google Scholar] [CrossRef]
- Buis, A. A Degree of Concern: Why Global Temperatures Matter. Available online: https://climate.nasa.gov/news/2865/a-degree-of-concern-why-global-temperatures-matter/ (accessed on 27 August 2021).
- Pachauri, R.K.; Meyer, L.A. Climate Change 2014: Synthesis Report; Intergovernmental Panel on Climate Change: Geneva, Switzerland, 2015. [Google Scholar]
- Delahoy, M.J.; Cárcamo, C.; Huerta, A.; Lavado, W.; Escajadillo, Y.; Ordoñez, L.; Vasquez, V.; Lopman, B.; Clasen, T.; Gonzales, G.F.; et al. Meteorological factors and childhood diarrhea in Peru, 2005–2015: A time series analysis of historic associations, with implications for climate change. Environ. Health 2021, 20, 22. [Google Scholar] [CrossRef]
- Mengistie, B.; Gobena, T.; Admassu, D.; Assefa, N.; Mekbib Ayele, D.; Mengistu, D.A.; Worku, A.; Kumie, A.; Terfa, W.; Bikila, Z.; et al. Seasonal Variability Influence on the Prevalence of Diarrhoea among Under-Five-Year-old Children in Kersa District, Eastern Ethiopia: A Community-Based Longitudinal Study. Environ. Health Insights 2022, 16, 11786302221093480. [Google Scholar] [CrossRef]
- Bhandari, D.; Bi, P.; Sherchand, J.B.; Dhimal, M.; Hanson-Easey, S. Assessing the effect of climate factors on childhood diarrhoea burden in Kathmandu, Nepal. Int. J. Hyg. Environ. Health 2020, 223, 199–206. [Google Scholar] [CrossRef] [PubMed]
- Chowdhury, F.R.; Ibrahim, Q.S.U.; Bari, M.S.; Alam, M.M.J.; Dunachie, S.J.; Rodriguez-Morales, A.J.; Patwary, M.I. The association between temperature, rainfall and humidity with common climate-sensitive infectious diseases in Bangladesh. PLoS ONE 2018, 13, e0199579. [Google Scholar] [CrossRef]
- Li, Z.J.; Zhang, X.J.; Hou, X.X.; Xu, S.; Zhang, J.S.; Song, H.B.; Lin, H.L. Nonlinear and threshold of the association between meteorological factors and bacillary dysentery in Beijing, China. Epidemiol. Infect. 2015, 143, 3510–3519. [Google Scholar] [CrossRef] [PubMed]
- Qiu, Y.; Zhou, Y.; Chang, Y.; Liang, X.; Zhang, H.; Lin, X.; Qing, K.; Zhou, X.; Luo, Z. The Effects of Ventilation, Humidity, and Temperature on Bacterial Growth and Bacterial Genera Distribution. Int. J. Environ. Res. Public Health 2022, 19, 15345. [Google Scholar] [CrossRef]
- Soedjono, E.; Fitriani, N.; Santoso, F.R.E.; Destio, R.; Fahmi, I.; Gemardi, A.; Ningsih, D.A. Achieving open defecation free in Surabaya city by 2019. IOP Conf. Ser. Mater. Sci. Eng. 2019, 669, 012050. [Google Scholar] [CrossRef]
- Komarulzaman, A.; Smits, J.; de Jong, E. Clean water, sanitation and diarrhoea in Indonesia: Effects of household and community factors. Glob. Public Health 2017, 12, 1141–1155. [Google Scholar] [CrossRef]
- Rehana, A.; Setiabudi, R.J.; Sulistiawati, S.; Wahyunitisari, M.R. Implementation of Hygiene and Environmental Sanitation in Under Five Years Old Diarrhea Patients at Surabaya Primary Health Center. J. Ilm. Kesehat. (JIKA) 2021, 3, 1–15. [Google Scholar] [CrossRef]
- Boithias, L.; Choisy, M.; Souliyaseng, N.; Jourdren, M.; Quet, F.; Buisson, Y.; Thammahacksa, C.; Silvera, N.; Latsachack, K.; Sengtaheuanghoung, O.; et al. Hydrological Regime and Water Shortage as Drivers of the Seasonal Incidence of Diarrheal Diseases in a Tropical Montane Environment. PLOS Negl. Trop. Dis. 2016, 10, e0005195. [Google Scholar] [CrossRef] [PubMed]
- IPCC. Climate Change 2022: Impacts, Adaptation and Vulnerability; Contribution of Working Group II to the Fourth Assessment Report of the Intergovernmental Panel on Climate Change; Cambridge University Press: Cambridge, UK, 2022. [Google Scholar]
- BPS. Kota Surabaya Dalam Angka 2021; BPS-Statistics of Surabaya Municipality: Surabaya, Indonesia, 2021. [Google Scholar]
- Dicker, R.C.; Coronado, F.; Koo, D.; Parrish, R.G. Principles of Epidemiology in Public Health Practice: An Introduction to Applied Epidemiology and Biostatistics, 3rd ed.; U.S. Department of Health and Human Services, Centers for Disease Control and Prevention: Atlanta, GA, USA, 2011.
- Ravindra, K.; Rattan, P.; Mor, S.; Aggarwal, A.N. Generalized additive models: Building evidence of air pollution, climate change and human health. Environ. Int. 2019, 132, 104987. [Google Scholar] [CrossRef] [PubMed]
- Fang, X.; Ai, J.; Liu, W.; Ji, H.; Zhang, X.; Peng, Z.; Wu, Y.; Shi, Y.; Shen, W.; Bao, C. Epidemiology of infectious diarrhoea and the relationship with etiological and meteorological factors in Jiangsu Province, China. Sci. Rep. 2019, 9, 19571. [Google Scholar] [CrossRef] [PubMed]
- Li, Z.; Wang, L.; Sun, W.; Hou, X.; Yang, H.; Sun, L.; Xu, S.; Sun, Q.; Zhang, J.; Song, H.; et al. Identifying high-risk areas of bacillary dysentery and associated meteorological factors in Wuhan, China. Sci. Rep. 2013, 3, 3239. [Google Scholar] [CrossRef] [PubMed]
- Liu, X.; Liu, Z.; Ding, G.; Jiang, B. Projected burden of disease for bacillary dysentery due to flood events in Guangxi, China. Sci. Total Environ. 2017, 601, 1298–1305. [Google Scholar] [CrossRef] [PubMed]
- Rosenberg, A.; Weinberger, M.; Paz, S.; Valinsky, L.; Agmon, V.; Peretz, C. Ambient temperature and age-related notified Campylobacter infection in Israel: A 12-year time series study. Environ. Res. 2018, 164, 539–545. [Google Scholar] [CrossRef] [PubMed]
- Ma, W.; Sun, X.; Song, Y.; Tao, F.; Feng, W.; He, Y.; Zhao, N.; Yuan, Z. Applied Mixed Generalized Additive Model to Assess the Effect of Temperature on the Incidence of Bacillary Dysentery and Its Forecast. PLoS ONE 2013, 8, e62122. [Google Scholar] [CrossRef] [PubMed]
- Cenfetelli, R.T.; Bassellier, G. Interpretation of Formative Measurement in Information Systems Research. MIS Q. 2009, 33, 689–707. [Google Scholar] [CrossRef]
- Lamberti, L.M.; Fischer Walker, C.L.; Black, R.E. Systematic review of diarrhea duration and severity in children and adults in low- and middle-income countries. BMC Public Health 2012, 12, 276. [Google Scholar]
- Zhou, X.; Zhou, Y.; Chen, R.; Ma, W.; Deng, H.; Kan, H. High Temperature as a Risk Factor for Infectious Diarrhea in Shanghai, China. J. Epidemiol. 2013, 23, 418–423. [Google Scholar] [CrossRef]
- Xu, Z.; Liu, Y.; Ma, Z.; Sam Toloo, G.; Hu, W.; Tong, S. Assessment of the temperature effect on childhood diarrhea using satellite imagery. Sci. Rep. 2014, 4, 5389. [Google Scholar] [CrossRef]
- Cook, S.; Glass, R.; LeBaron, C.; Ho, M.-S. Global seasonality of rotavirus infections. Bull. World Health Organ. 1990, 68, 171. [Google Scholar]
- Moe, K.; Shirley, J.A. The effects of relative humidity and temperature on the survival of human rotavirus in faeces. Arch. Virol. 1982, 72, 179–186. [Google Scholar] [CrossRef]
- Masinaei, M. Estimating the seasonally varying effect of meteorological factors on the district-level incidence of acute watery diarrhea among under-five children of Iran, 2014–2018: A Bayesian hierarchical spatiotemporal model. Int. J. Biometeorol. 2022, 66, 1125–1144. [Google Scholar] [CrossRef] [PubMed]
- Azage, M.; Kumie, A.; Worku, A.; Bagtzoglou, A.C.; Anagnostou, E. Effect of climatic variability on childhood diarrhea and its high risk periods in northwestern parts of Ethiopia. PLoS ONE 2017, 12, e0186933. [Google Scholar] [CrossRef] [PubMed]
- Zhang, Y.; Bi, P.; Hiller, J.E. Weather and the transmission of bacillary dysentery in Jinan, northern China: A time-series analysis. Public Health Rep. 2008, 123, 61–66. [Google Scholar] [CrossRef] [PubMed]
- Hao, Y.; Liao, W.; Ma, W.; Zhang, J.; Zhang, N.; Zhong, S.; Wang, Z.; Yang, L.; Huang, C. Effects of ambient temperature on bacillary dysentery: A multi-city analysis in Anhui Province, China. Sci. Total Environ. 2019, 671, 1206–1213. [Google Scholar] [CrossRef]
- Prasetyo, D.; Ermaya, Y.; Martiza, I.; Yati, S. Correlation between climate variations and rotavirus diarrhea in under-five children in Bandung. Asian Pac. J. Trop. Dis. 2015, 5, 908–911. [Google Scholar] [CrossRef]
- Rimba, A.B.; Yastika, P.E. Indonesia: Threats to physical urban water problems. E3S Web Conf. 2020, 148, 06001. [Google Scholar] [CrossRef]
- Bhavnani, D.; Goldstick, J.E.; Cevallos, W.; Trueba, G.; Eisenberg, J.N.S. Impact of rainfall on diarrheal disease risk associated with unimproved water and sanitation. Am. J. Trop. Med. Hyg. 2014, 90, 705–711. [Google Scholar] [CrossRef]
- Chen, M.-J.; Lin, C.-Y.; Wu, Y.-T.; Wu, P.-C.; Lung, S.-C.; Su, H.-J. Effects of extreme precipitation to the distribution of infectious diseases in Taiwan, 1994–2008. PLoS ONE 2012, 7, e34651. [Google Scholar] [CrossRef]
- Ghoshal, V.; Das, R.R.; Nayak, M.K.; Singh, S.; Das, P.; Mohakud, N.K. Climatic Parameters and Rotavirus Diarrhea Among Hospitalized Children: A Study of Eastern India. Front. Pediatr. 2020, 8, 573448. [Google Scholar] [CrossRef]
- Phung, D.; Huang, C.; Rutherford, S.; Chu, C.; Wang, X.; Nguyen, M.; Nguyen, N.H.; Manh, C.D.; Nguyen, T.H. Association between climate factors and diarrhoea in a Mekong Delta area. Int. J. Biometeorol. 2015, 59, 1321–1331. [Google Scholar] [CrossRef]
- Wang, H.; Di, B.; Zhang, T.; Lu, Y.; Chen, C.; Wang, D.; Li, T.; Zhang, Z.; Yang, Z. Association of meteorological factors with infectious diarrhea incidence in Guangzhou, southern China: A time-series study (2006–2017). Sci. Total Environ. 2019, 672, 7–15. [Google Scholar] [CrossRef] [PubMed]
- Aik, J.; Ong, J.; Ng, L.-C. The effects of climate variability and seasonal influence on diarrhoeal disease in the tropical city-state of Singapore—A time-series analysis. Int. J. Hyg. Environ. Health 2020, 227, 113517. [Google Scholar] [CrossRef] [PubMed]
- Ijaz, M.K.; Sattar, S.A.; Johnson-Lussenburg, C.M.; Springthorpe, V.S.; Nair, R.C. Effect of relative humidity, atmospheric temperature, and suspending medium on the airborne survival of human rotavirus. Can. J. Microbiol. 1985, 31, 681–685. [Google Scholar] [CrossRef]
- Shirleyana, S.; Hawken, S.; Sunindijo, R.Y. City of: Risk and resilience in the urban communities of Surabaya, Indonesia. Int. J. Build. Pathol. Adapt. 2018, 36, 543–568. [Google Scholar] [CrossRef]
- Srivastava, S.; Banerjee, S.; Debbarma, S.; Kumar, P.; Sinha, D. Rural-urban differentials in the prevalence of diarrhoea among older adults in India: Evidence from Longitudinal Ageing Study in India, 2017–2018. PLoS ONE 2022, 17, e0265040. [Google Scholar] [CrossRef]
- Nyambe, S.; Agestika, L.; Yamauchi, T. The improved and the unimproved: Factors influencing sanitation and diarrhoea in a peri-urban settlement of Lusaka, Zambia. PLoS ONE 2020, 15, e0232763. [Google Scholar] [CrossRef]
- Sahai, A.K.; Mandal, R.; Joseph, S.; Saha, S.; Awate, P.; Dutta, S.; Dey, A.; Chattopadhyay, R.; Phani, R.; Pattanaik, D.R.; et al. Development of a probabilistic early health warning system based on meteorological parameters. Sci. Rep. 2020, 10, 14741. [Google Scholar] [CrossRef] [PubMed]
- Morin, C.W.; Semenza, J.C.; Trtanj, J.M.; Glass, G.E.; Boyer, C.; Ebi, K.L. Unexplored Opportunities: Use of Climate- and Weather-Driven Early Warning Systems to Reduce the Burden of Infectious Diseases. Curr. Environ. Health Rep. 2018, 5, 430–438. [Google Scholar] [CrossRef] [PubMed]
- Isnawati, A.; Gitawati, R.; Raini, M.; Alegantina, S.; Setiawaty, V. Indonesia basic health survey: Self-medication profile for diarrhea with traditional medicine. Afr. Health Sci. 2019, 19, 2365–2371. [Google Scholar] [CrossRef] [PubMed]




| Sum of Cases | Mean (SD) | Min | 5th | Q1 | Q2 | Q3 | 95th | Max | |
|---|---|---|---|---|---|---|---|---|---|
| Diarrhea cases in Surabaya region | |||||||||
| North | 1246 | 36.7 (22.6) | 5 | 7 | 18 | 33 | 52 | 53.8 | 90 |
| Central | 723 | 21.9 (19.1) | 0 | 1 | 7 | 15 | 42 | 52.6 | 60 |
| West | 2186 | 66.2 (29.3) | 21 | 24.8 | 39 | 66 | 86 | 116 | 124 |
| South | 2725 | 82.6 (40.9) | 31 | 36.2 | 53 | 71 | 109 | 151 | 215 |
| East | 4117 | 125 (78.2) | 35 | 53.2 | 83 | 106 | 130 | 265 | 427 |
| Weather measurements | |||||||||
| Temperature (°C) | 28.7 (0.88) | 27.3 | 27.3 | 28.1 | 28.5 | 29.2 | 30 | 30.9 | |
| Precipitation (mm) | 155 (164) | 0 | 0 | 6.2 | 102 | 268 | 442 | 443 | |
| Humidity (%) | 75.2 (5.56) | 65.1 | 66.3 | 71.6 | 74.5 | 80.7 | 82.2 | 82.8 | |
| Region\Month | Jan | Feb | Mar | Apr | May | Jun | Jul | Aug | Sept | Oct | Nov | Dec | Average |
|---|---|---|---|---|---|---|---|---|---|---|---|---|---|
| North | 6.61 | 4.62 | 3.77 | 2.92 | 4.69 | 2.44 | 3.14 | 4.36 | 3.43 | 4.98 | 5.10 | 4.98 | 4.25 |
| Central | 8.73 | 7.65 | 8.46 | 5.94 | 5.67 | 5.40 | 6.12 | 4.32 | 1.98 | 8.77 | 4.59 | 2.83 | 5.87 |
| West | 25.4 | 19.5 | 17.8 | 14.2 | 13.4 | 10.7 | 13.3 | 10.5 | 10.8 | 13.5 | 10.6 | 14.4 | 14.5 |
| South | 17.6 | 16.3 | 11.4 | 7.98 | 6.85 | 5.07 | 10.1 | 9.37 | 10.1 | 9.82 | 12.4 | 13.1 | 10.8 |
| East | 40.4 | 28.6 | 30.3 | 12.0 | 17.4 | 14.2 | 13.6 | 19.6 | 17.4 | 23.4 | 12.6 | 28.0 | 21.5 |
Disclaimer/Publisher’s Note: The statements, opinions and data contained in all publications are solely those of the individual author(s) and contributor(s) and not of MDPI and/or the editor(s). MDPI and/or the editor(s) disclaim responsibility for any injury to people or property resulting from any ideas, methods, instructions or products referred to in the content. |
© 2023 by the authors. Licensee MDPI, Basel, Switzerland. This article is an open access article distributed under the terms and conditions of the Creative Commons Attribution (CC BY) license (https://creativecommons.org/licenses/by/4.0/).
Share and Cite
Wibawa, B.S.S.; Maharani, A.T.; Andhikaputra, G.; Putri, M.S.A.; Iswara, A.P.; Sapkota, A.; Sharma, A.; Syafei, A.D.; Wang, Y.-C. Effects of Ambient Temperature, Relative Humidity, and Precipitation on Diarrhea Incidence in Surabaya. Int. J. Environ. Res. Public Health 2023, 20, 2313. https://doi.org/10.3390/ijerph20032313
Wibawa BSS, Maharani AT, Andhikaputra G, Putri MSA, Iswara AP, Sapkota A, Sharma A, Syafei AD, Wang Y-C. Effects of Ambient Temperature, Relative Humidity, and Precipitation on Diarrhea Incidence in Surabaya. International Journal of Environmental Research and Public Health. 2023; 20(3):2313. https://doi.org/10.3390/ijerph20032313
Chicago/Turabian StyleWibawa, Bima Sakti Satria, Aussie Tahta Maharani, Gerry Andhikaputra, Marsha Savira Agatha Putri, Aditya Prana Iswara, Amir Sapkota, Ayushi Sharma, Arie Dipareza Syafei, and Yu-Chun Wang. 2023. "Effects of Ambient Temperature, Relative Humidity, and Precipitation on Diarrhea Incidence in Surabaya" International Journal of Environmental Research and Public Health 20, no. 3: 2313. https://doi.org/10.3390/ijerph20032313
APA StyleWibawa, B. S. S., Maharani, A. T., Andhikaputra, G., Putri, M. S. A., Iswara, A. P., Sapkota, A., Sharma, A., Syafei, A. D., & Wang, Y.-C. (2023). Effects of Ambient Temperature, Relative Humidity, and Precipitation on Diarrhea Incidence in Surabaya. International Journal of Environmental Research and Public Health, 20(3), 2313. https://doi.org/10.3390/ijerph20032313

