Persistent Organic Pollutants (POPs) in Sardine (Sardinella brasiliensis): Biomonitoring and Potential Human Health Effects
Abstract
1. Introduction
2. Materials and Methods
2.1. Sampling
2.2. Sample Extraction and Clean-Up
2.3. Pop Quantification
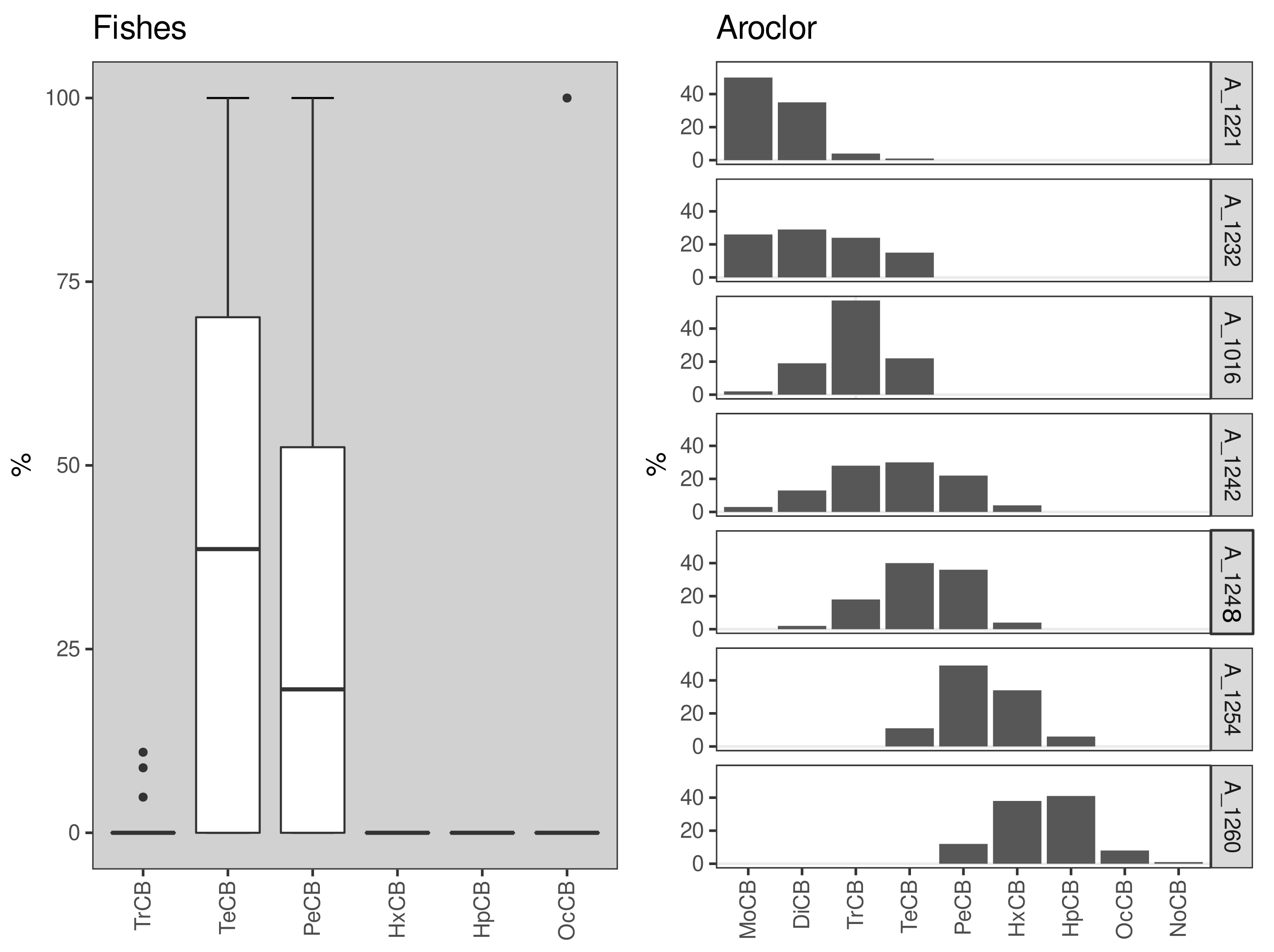
3. Results
3.1. Pop Concentrations per Sampling Site
3.1.1. PCBs
3.1.2. OCPs
4. Discussion
| Site | Specie | PCB.18 | PCB.28 | PCB.31 | PCB.44 | PCB.52 | PCB.101 | PCB.118 | PCB.138 | PCB.149 | PCB.180 | PCB.194 |
|---|---|---|---|---|---|---|---|---|---|---|---|---|
| Western Mediterranean Sea [2] | Dentex | 0.14 (0.10–0.23) | 0.17 (0.11–0.28) | 0.08 (0.05–0.14) | 0.26 (0.18–0.30) | 0.04 (0.01–0.07) | 0.77 (0.56–0.98) | 0.12 (0.05–0.25) | 1.38 (1.25–1.65) | 2.25 (1.67–2.47) | 2.14 (1.78–2.26) | 1.28 (1.10–1.66) |
| Seabream | 0.13 (0.07–0.18) | 0.19 (0.12–0.32) | 0.1 (0.07, 0.14) | 0.33 (0.24–0.40) | 0.38 (0.28, 0.44) | 0.92 (0.78–1.10) | 0.24 (0.17–0.30) | 2.9 (2.50–3.14) | 2.77 (2.60–2.88) | 3.25 (2.88–3.66) | 2.3 (1.90–2.65) | |
| Tuna | 0.02 (0.01–0.04) | 0.03 (0.02–0.06) | 0.11 (0.04, 0.17) | 0.1 (0.04–0.16) | 0.06 (0.04, 0.09) | 0.91 (0.66–0.99) | 0.21 (0.15–0.25) | 1.46 (1.35–1.63) | 1.91 (1.77–2.12) | 2.56 (2.38–2.93) | 1.42 (1.28–1.57) | |
| Overall | 0.07 (0.01–0.23) | 0.115 (0.02–0.32) | 0.1 (0.04, 0.17) | 0.2 (0.04–0.40) | 0.07 (0.01,0.44) | 0.9 (0.56–1.10) | 0.2 (0.05–0.30) | 1.49 (1.25–3.14) | 2.05 (1.67–2.88) | 2.59 (1.78–3.66) | 1.48 (1.10–2.65) | |
| Paraíba do Sul Estuary (Southeast Coast Brazil) [49] | Silver Scabbardfish | 1.57 (0.01–6.59) | 5.85 (0.51–33.0) | 2.83 (0.21–15.0) | 1.22 (0.23 –1.4) | 2.55 (0.37–17.9) | 1.95 (0.40–10.2) | 1.67 (0.30–5.50) | 4.34 (0.49–13.5) | 1.87 (0.20–4.82) | 2.47 (0.18–7.66) | 0.36 (<LOQ–1.28) |
| Whitemouth Croaker | 4.72 (0.65–15.2) | 18.2 (0.72–69.7 | 9.51 (0.83–40.5) | 4.75 (0.36–25.0) | 7.72 (0.69–34.1) | 3,17 (0.43–16,4) | 1.58 (0.33–8.13) | 0.66 (0.13–4.00) | 0.65 (0.04–3.31) | 0.16 (<LOQ–0.78) | <LOQ (<LOQ–0.04) | |
| Ilha Grande Bay (Southeast Coast Brazil) [34] | Silver Scabbardfish | 2.99 (0.83–11.1) | 8.86 (1.25–46.5) | 6.31 (2.13–42.2) | 6.13 (1.26–32.9) | 11.3 (3.36–59.1) | 12.7 (3.49–53.0) | 9.20 (3.40–35.2) | 9.69 (3.07–56.0) | 4.99 (1.85–24.5) | 3.58 (0.57–23.2) | 0.16 (<LOQ–2.82) |
| Whitemouth Croaker | 4.00 (1.42–6.78) | 11.0 (5.21–21.6) | 7.03 (2.96–16.13) | 7.69 (2.55–14.1) | 14.7 (4.66–25.3) | 16.0 (4.52–26.4) | 11.2 (3.57–16.6) | 6.57 (2.11–10.7) | 4.21 (10.9–6.30) | 1.23 (0.33–5.23) | <LOQ (<LOQ–10.7) | |
| Mullet | 1.92 (1.10–4.37) | 4.75 (2.32–9.31) | 3.57 (1.21–9.17) | 3.83 (2.71–7.10) | 8.44 (5.78–14.9) | 10.7 (6.73–17.1) | 8.83 (5.82–12.5) | 7.13 (4.21–14.4) | 3.28 (2.05–5.37) | 2.36 (0.69–7.91) | 0.38 (<LOQ–4.86) | |
| Vransko Lake (Croatia) [50] | Common Rudd | – | 0.265 (0.214–0.433) | – | – | 0.108 (0.034–0.159) | 0.169 (0.042–0.430) | 0.083 (0.048–0.113) | 0.120 (0.090–0.218) | – | 0.126 (0.082–0.298) | – |
| European carp | – | 0.219 (0.183–0.679) | – | – | 0.245 (0.061–0.543) | 0.179 (0.064–0.640) | 0.107 (0.061–0.265) | 0.200 (0.128–2.646) | – | 0.137 (0.069–3.814) | – | |
| Gibel carp | – | 0.290 (0.178–0.644) | – | – | 0.135 (0.058–0.827) | 0.067 (0.031–0.136) | 0.082 (0.053–0.159) | 0.125 (0.097–0.369) | – | 0.105 (0.075–0.344) | – | |
| Central Adriatic Sea (Area I) [40] | European anchovy | – | <LOQ | – | – | 2.00 (0.13–5.2) | 2.73 (0.32–6.64) | 1.17 (0.19-2.78) | 3.76 (0.80-7.40) | - | 0.63 (0.19–1.22) | - |
| European Pilchard | – | <LOQ | – | – | 2.34 (0.69–4.57) | 1.33 (0.41–3.00) | 1.91 (1.55-2.61) | 6.72 (5.66-7.41) | - | 1.19 (0.76–2.03) | - | |
| Atlantic Mackerel | – | <LOQ | – | – | 0.98 (0.02–0.34) | 2.36 (0.07-4.67) | 1.37 (0.07-2.75) | 5.89 (0.39-12.57) | - | 1.16 (0.14–2.22) | - | |
| This Research | Sardine | <0.12 (LOQ) | <0.12 (LOQ) | <0.12 (LOQ) (<0.12 –2.45) | <0.15 (LOQ) | 1.20 ( <0.15 (LOQ)—7.73) | <0.17 (LOQ) ( <0.17-2.27) | <0.15 (LOQ) | <0.17 (LOQ) | <0.17 (LOQ) | <0.21 (LOQ) | <0.21 (LOQ) |
5. Conclusions
Author Contributions
Funding
Institutional Review Board Statement
Informed Consent Statement
Data Availability Statement
Acknowledgments
Conflicts of Interest
Abbreviations
| POPs | Persistent Organic Pollutants |
| OPCs | Organochlorine Pollutant Compounds |
| PCBs | Polychlorinated Biphenyls |
| OCs | Organochlorine Pesticides |
| GC-MS/MS | Gas Chromatography coupled with Tandem Mass Spectrometry |
| QqQ | Triple-Quadrupole Analyzer |
| SRM | Selective Reaction Monitoring |
| CE | Collision Energy |
| LOQ | Limit of quantification |
| MoCB | Monochorobiphenyl |
| DiCB | Dichorobiphenyl |
| TrCB | Trichlorobiphenyl |
| TeCB | Tetra-chlorobiphenyl |
| PeCB | Penta-chlorobiphenyl |
| HxCB | Hexa-chlorobiphenyl |
| HpCB | Hepta-chlorobiphenyl |
| OcCB | Octa-chlorobiphenyl |
| NoCB | Nona-chlorobiphenyl |
| DeCB | Deca-chlorobiphenyl |
| IS | Internal Standard |
| ww | wet weight |
| ICES | ICES—International Committee for the Exploration of the Sea |
| ICES7 | The sum of the seven indicator congeners |
Appendix A

| Site | Minimum | 1st Quantile | Median | 3rd Quantile | Maximum |
|---|---|---|---|---|---|
| Cruise | <LOQ | 1.34 | 2.20 | 4.55 | 12.5 |
| NIT (A) | <LOQ | 1.89 | 10.13 | 14.4 | 18.3 |
| NIT (B) | <LOQ | <LOQ | 1.00 | 2.35 | 37.2 |
| RG | <LOQ | 3.94 | 5.55 | 18.5 | 22.2 |
| SJN | <LOQ | <LOQ | <LOQ | 1.51 | 7.89 |

References
- Van der Oost, R.; Beyer, J.; Vermeulen, N.P. Fish bioaccumulation and biomarkers in environmental risk assessment: A review. Environ. Toxicol. Pharmacol. 2003, 13, 57–149. [Google Scholar] [CrossRef] [PubMed]
- Panseri, S.; Chiesa, L.; Ghisleni, G.; Marano, G.; Boracchi, P.; Ranghieri, V.; Malandra, R.M.; Roccabianca, P.; Tecilla, M. Persistent organic pollutants in fish: Biomonitoring and cocktail effect with implications for food safety. Food Addit. Contam. Part A 2019, 36, 601–611. [Google Scholar] [CrossRef] [PubMed]
- Erdogrul, Ö.; Covaci, A.; Schepens, P. Levels of organochlorine pesticides, polychlorinated biphenyls and polybrominated diphenyl ethers in fish species from Kahramanmaras, Turkey. Environ. Int. 2005, 31, 703–711. [Google Scholar] [CrossRef] [PubMed]
- Sun, X.; Ng, C.A.; Small, M.J. Modeling the impact of biota on polychlorinated biphenyls (PCBs) fate and transport in Lake Ontario using a population-based multi-compartment fugacity approach. Environ. Pollut. 2018, 241, 720–729. [Google Scholar] [CrossRef]
- Iordache, A.; Iordache, M.; Sandru, C.; Voica, C.; Stegarus, D.; Zgavarogea, R.; Ionete, R.E.; Cotorcea, S.; Miricioiu, M.G. A fugacity based model for the assessment of pollutant dynamic evolution of VOCs and BTEX in the Olt River basin (Romania). Rev. Chim. 2019, 70, 3456–3463. [Google Scholar] [CrossRef]
- Nadal, M.; Marquès, M.; Mari, M.; Domingo, J.L. Climate change and environmental concentrations of POPs: A review. Environ. Res. 2015, 143, 177–185. [Google Scholar] [CrossRef]
- Dalla Valle, M.; Codato, E.; Marcomini, A. Climate change influence on POPs distribution and fate: A case study. Chemosphere 2007, 67, 1287–1295. [Google Scholar] [CrossRef]
- Hu, Z.; Li, J.; Li, B.; Zhang, Z. Annual changes in concentrations and health risks of PCDD/Fs, DL-PCBs and organochlorine pesticides in ambient air based on the Global Monitoring Plan in São Paulo. Environ. Pollut. 2019, 255, 113310. [Google Scholar] [CrossRef]
- Želježić, D.; Herceg Romanić, S.; Klinčić, D.; Matek Sarić, M.; Letinić, J.G. Persistent Organochlorine Pollutants in Placentas Sampled from Women in Croatia and an Evaluation of Their DNA Damaging Potential In Vitro. Arch. Environ. Contam. Toxicol. 2018, 74, 284–291. [Google Scholar] [CrossRef]
- Huang, W.; He, Y.; Xiao, J.; Huang, Y.; Li, A.; He, M.; Wu, K. Risk of breast cancer and adipose tissue concentrations of polychlorinated biphenyls and organochlorine pesticides: A hospital-based case-control study in Chinese women. Environ. Sci. Pollut. Res. 2019, 26, 32128–32136. [Google Scholar] [CrossRef]
- IARC (International Agency Research on Cancer). Agents Classified by the IARC Monographs. 2012. Available online: http://monographs.iarc.fr/ENG/Classification/index.php (accessed on 17 August 2022).
- Wang, X.; Celander, M.C.; Yin, X.; Zhang, Z.; Chen, Y.; Xu, H.; Yu, X.; Xu, K.; Zhang, X.; Kanchanopas-Barnette, P. PAHs and PCBs residues and consumption risk assessment in farmed yellow croaker (Larimichthys crocea) from the East China Sea, China. Mar. Pollut. Bull. 2019, 140, 294–300. [Google Scholar] [CrossRef]
- Lauby-Secretan, B.; Loomis, D.; Grosse, Y.; El Ghissassi, F.; Bouvard, V.; Benbrahim-Tallaa, L.; Guha, N.; Baan, R.; Mattock, H.; Straif, K.; et al. Carcinogenicity of polychlorinated biphenyls and polybrominated biphenyls. Lancet Oncol. 2013, 14, 287–288. [Google Scholar] [CrossRef]
- Gakuba, E.; Moodley, B.; Ndungu, P.; Birungi, G. Occurrence and significance of polychlorinated biphenyls in water, sediment pore water and surface sediments of Umgeni River, KwaZulu-Natal, South Africa. Environ. Monit. Assess. 2015, 187, 568. [Google Scholar] [CrossRef]
- Kleanthi, G.; Katerina, L.; Evaggelia, P.; Andreas, L. Mechanisms of actions and health effects of organochlorine substances. A review. Hsj-Health Sci. J. 2008, 2, 2. [Google Scholar]
- Jayaraj, R.; Megha, P.; Sreedev, P. Review Article. Organochlorine Pesticides, their toxic effects on living organisms and their fate in the environment. Interdiscip. Toxicol. 2016, 9, 90–100. [Google Scholar] [CrossRef]
- Davodi, M.; Esmaili-Sari, A.; Bahramifarr, N. Concentration of polychlorinated biphenyls and organochlorine pesticides in some edible fish species from the Shadegan Marshes (Iran). Ecotoxicol. Environ. Saf. 2011, 74, 294–300. [Google Scholar] [CrossRef]
- Ferrante, M.C.; Clausi, M.T.; Meli, R.; Fusco, G.; Naccari, C.; Lucisano, A. Polychlorinated biphenyls and organochlorine pesticides in European eel (Anguilla anguilla) from the Garigliano River (Campania region, Italy). Chemosphere 2010, 78, 709–716. [Google Scholar] [CrossRef]
- Bilau, M.; Sioen, I.; Matthys, C.; de Vocht, A.; Goemans, G.; Belpaire, C.; Willems, J.L.; de Henauw, S. Probabilistic approach to polychlorinated biphenyl (PCB) exposure through eel consumption in recreational fishermen vs. the general population. Food Addit. Contam. 2007, 24, 1386–1393. [Google Scholar] [CrossRef]
- Kalyoncu, L.; Agca, I.; Aktumsek, A. Some organochlorine pesticide residues in fish species in Konya, Turkey. Chemosphere 2009, 74, 885–889. [Google Scholar] [CrossRef]
- Zhou, R.; Zhu, L.; Chen, Y.; Kong, Q. Concentrations and characteristics of organochlorine pesticides in aquatic biota from Qiantang River in China. Environ. Pollut. 2008, 151, 190–199. [Google Scholar] [CrossRef]
- Islam, R.; Kumar, S.; Karmoker, J.; Kamruzzaman, M.; Rahman, M.A.; Biswas, N.; Tran, T.K.A.; Rahman, M.M. Bioaccumulation and adverse effects of persistent organic pollutants (POPs) on ecosystems and human exposure: A review study on Bangladesh perspectives. Environ. Technol. Innov. 2018, 12, 115–131. [Google Scholar] [CrossRef]
- Barakat, A.O.; Khairy, M.; Aukaily, I. Bioaccumulation of organochlorine contaminants in fish species from Lake Qarun, a protected area of Egypt. Toxicol. Environ. Chem. 2017, 99, 117–133. [Google Scholar] [CrossRef]
- Dias-Neto, J.D.; dos Santos, G.C.B. Comportamento da produção total e por estado, frota permissionada e balança comercial de sardinha-verdadeira. Rev. CEPSUL-Biodiversidade E Conserv. Mar. 2011, 2, 34–49. [Google Scholar] [CrossRef]
- Moraes, L.E.d.S.; Gherardi, D.F.M.; Katsuragawa, M.; Paes, E.T. Brazilian sardine (Sardinella brasiliensis Steindachner, 1879) spawning and nursery habitats: Spatial-scale partitioning and multiscale relationships with thermohaline descriptors. ICES J. Mar. Sci. 2012, 69, 939–952. [Google Scholar] [CrossRef]
- Massone, C.; Santos, A.; Ferreira, P.; Carreira, R. A baseline evaluation of PAH body burden in sardines from the southern Brazilian shelf. Mar. Pollut. Bull. 2021, 163, 111949. [Google Scholar] [CrossRef]
- EPA. Method 3545A (SW-846): Pressurized Fluid Extraction (PFE); Technical Report; United States Environmental Protection Agency: Washington, DC, USA, 2007. [Google Scholar]
- Santos, F.; Galceran, M. Modern developments in gas chromatography—Mass spectrometry-based environmental analysis. J. Chromatogr. A 2003, 1000, 125–151. [Google Scholar] [CrossRef]
- Zhang, Z.; Huang, J.; Yu, G.; Hong, H. Occurrence of PAHs, PCBs and organochlorine pesticides in the Tonghui River of Beijing, China. Environ. Pollut. 2004, 130, 249–261. [Google Scholar] [CrossRef]
- Chiaradia, M.C.; Collins, C.H.; Jardim, I.C.S.F. O estado da arte da cromatografia associada à espectrometria de massas acoplada à espectrometria de massas na análise de compostos tóxicos em alimentos. Química Nova 2008, 31, 623–636. [Google Scholar] [CrossRef]
- EPA. Method 1668C Chlorinated Biphenyl Congeners in Water, Soil, Sediment, Biosolids, and Tissue By HRGC/HRMS; Technical Report; Environmental Protection Agency, Engineering and Analysis Division: Washington, DC, USA, 2010. [Google Scholar]
- Magalhães, C.A.; Taniguchi, S.; Lourenço, R.A.; Montone, R.C. Organochlorine pesticides, PCBs, and PBDEs in liver and muscle tissues of Paralonchurus brasiliensis, Trichiurus lepturus and Cathorops spixii in Santos Bay and surrounding area, São Paulo, Brazil. Reg. Stud. Mar. Sci. 2017, 16, 42–48. [Google Scholar] [CrossRef]
- Da Silva, J.; Taniguchi, S.; Becker, J.H.; Werneck, M.R.; Montone, R.C. Occurrence of organochlorines in the green sea turtle (Chelonia mydas) on the northern coast of the state of São Paulo, Brazil. Mar. Pollut. Bull. 2016, 112, 411–414. [Google Scholar] [CrossRef]
- Lavandier, R.; Quinete, N.; Hauser-Davis, R.A.; Dias, P.S.; Taniguchi, S.; Montone, R.; Moreira, I. Polychlorinated biphenyls (PCBs) and Polybrominated Diphenyl ethers (PBDEs) in three fish species from an estuary in the southeastern coast of Brazil. Chemosphere 2013, 90, 2435–2443. [Google Scholar] [CrossRef]
- Commission, E. Commission Regulation (EU) No 1259/2011 of 2 December 2011 amending Regulation (EC) No 1881/2006 as regards maximum levels for dioxins, dioxin-like PCBs and non dioxin-like PCBs in foodstuffs. Off. J. Eur. Union. 2011, 320, 18–23. [Google Scholar]
- Shao, Y.; Wang, J.; Chen, X.; Wu, Y. The consolidation of food contaminants standards in China. Food Control 2014, 43, 213–216. [Google Scholar] [CrossRef]
- Luis Eduardo Pacifi Rangel. 2016. Ministério da Agricultura, Pecuária e Abastecimento. Secretaria de Defesa Agropecuária. Instrução Normativa No 9, de 12 de maio de. 2016. Available online: https://www.gov.br/agricultura/pt-br/assuntos/insumos-agropecuarios/insumos-pecuarios/alimentacao-animal/arquivos-alimentacao-animal/legislacao/instrucao-normativa-no-9-de-12-de-maio-de-2016.pdf/@@download/file/instrucao-normativa-no-9-de-12-de-maio-de-2016.pdf (accessed on 17 August 2022).
- Van den Berg, M.; Birnbaum, L.S.; Denison, M.; De Vito, M.; Farland, W.; Feeley, M.; Fiedler, H.; Hakansson, H.; Hanberg, A.; Haws, L.; et al. The 2005 World Health Organization Reevaluation of Human and Mammalian Toxic Equivalency Factors for Dioxins and Dioxin-Like Compounds. Toxicol. Sci. 2006, 93, 223–241. [Google Scholar] [CrossRef]
- Monirith, I.; Nakata, H.; Tanabe, S.; Seang Tana, T. Persistent Organochlorine Residues in Marine and Freshwater Fish in Cambodia. Mar. Pollut. Bull. 1999, 38, 604–612. [Google Scholar] [CrossRef]
- Perugini, M.; Cavaliere, M.; Giammarino, A.; Mazzone, P.; Olivieri, V.; Amorena, M. Levels of polychlorinated biphenyls and organochlorine pesticides in some edible marine organisms from the Central Adriatic Sea. Chemosphere 2004, 57, 391–400. [Google Scholar] [CrossRef]
- Wang, D.Q.; Yu, Y.X.; Zhang, X.Y.; Zhang, S.H.; Pang, Y.P.; Zhang, X.L.; Yu, Z.Q.; Wu, M.H.; Fu, J.M. Polycyclic aromatic hydrocarbons and organochlorine pesticides in fish from Taihu Lake: Their levels, sources, and biomagnification. Ecotoxicol. Environ. Saf. 2012, 82, 63–70. [Google Scholar] [CrossRef]
- Lavandier, R. Contaminação por Poluentes Orgânicos Persistentes (POPs) em Organismos Marinhos da Costa Centro-Norte do Estado do Rio de Janeiro, Brasil. Ph.D. Thesis, Pontifícia Universidade Católica do Rio de Janeiro, Rio de Janeiro, Brasil, 2015. [Google Scholar]
- Rogan, W.J.; Gladen, B.C.; McKinney, J.D.; Carreras, N.; Hardy, P.; Thullen, J.; Tinglestad, J.; Tully, M. Neonatal effects of transplacental exposure to PCBs and DDE. J. Pediatr. 1986, 109, 335–341. [Google Scholar] [CrossRef]
- Bordajandi, L.; Gómez, G.; Fernández, M.; Abad, E.; Rivera, J.; González, M. Study on PCBs, PCDD/Fs, organochlorine pesticides, heavy metals and arsenic content in freshwater fish species from the River Turia (Spain). Chemosphere 2003, 53, 163–171. [Google Scholar] [CrossRef]
- Weber, J.; Halsall, C.J.; Teixeira, C.; Small, J.; Solomon, K.; Hermanson, M.; Hung, H.; Bidleman, T. Endosulfan, a global pesticide: A review of its fate in the environment and occurrence in the Arctic. Sci. Total Environ. 2010, 408, 2966–2984. [Google Scholar] [CrossRef]
- Sapozhnikova, Y.; Bawardi, O.; Schlenk, D. Pesticides and PCBs in sediments and fish from the Salton Sea, California, USA. Chemosphere 2004, 55, 797–809. [Google Scholar] [CrossRef]
- Esposito, M.; De Roma, A.; D’Alessio, N.; Danese, A.; Gallo, P.; Galiero, G.; Santoro, M. First study on PCBs, organochlorine pesticides, and trace elements in the Eurasian otter (Lutra lutra) from southern Italy. Sci. Total Environ. 2020, 749, 141452. [Google Scholar] [CrossRef]
- Braga, H.O.; Pardal, M.Â.; da Cruz, R.C.M.; Alvarenga, T.C.; Azeiteiro, U.M. Fishers’ knowledge in Southeast Brazil: The case study of the Brazilian sardine. Ocean Coast. Manag. 2018, 165, 141–153. [Google Scholar] [CrossRef]
- Quinete, N.; Lavandier, R.; Dias, P.; Taniguchi, S.; Montone, R.; Moreira, I. Specific profiles of polybrominated diphenylethers (PBDEs) and polychlorinated biphenyls (PCBs) in fish and tucuxi dolphins from the estuary of Paraíba do Sul River, Southeastern Brazil. Mar. Pollut. Bull. 2011, 62, 440–446. [Google Scholar] [CrossRef]
- Romanić, S.H.; Vuković, G.; Klinčić, D.; Sarić, M.M.; Župan, I.; Antanasijević, D.; Popović, A. Organochlorine pesticides (OCPs) and polychlorinated biphenyls (PCBs) in Cyprinidae fish: Towards hints of their arrangements using advanced classification methods. Environ. Res. 2018, 165, 349–357. [Google Scholar] [CrossRef]



| Trace GC Ultra—Thermo Fischer Scientific | |
|---|---|
| Injector | PTV splitless |
| Evap: 250 ℃ to 340 ℃ at 14 ℃ min−1 | |
| 0.33 min splitless time | |
| Gas | Constant flow (He) 1 mL min−1 |
| Oven Temperature | 90 ℃ , 1 min hold |
| 15 ℃ min−1 to 160 ℃ | |
| 3 ℃ min−1 to 225 ℃ | |
| 6 ℃ min−1 to 305 ℃, 8 min hold | |
| 3 ℃ min−1 to 310 ℃, 17 min hold | |
| Transferline | 290 ℃ |
| Autosampler Triplus—Thermo Fischer Scientific | |
| Injection Volume | 2 μL |
| TSQ Quantum XLS—Thermo Fischer Scientific | |
| Source Temperature | 250 ℃ |
| Ionization | EI, 70 eV |
| Emission Current | 50 μA |
| Resolution | Q1 and Q3: 0.7 Da (FWHM) |
| Collision Gas | Argon 1.5 mTorr |
| Compound | Frag. Pattern A | Frag. Pattern B | ||||
|---|---|---|---|---|---|---|
| Precursor | Product | CE | Precursor | Product | CE | |
| α-HCH | 218.89 | 180.91 | 8 | 218.89 | 182.91 | 8 |
| γ-HCH | 218.89 | 180.91 | 8 | 218.89 | 182.91 | 8 |
| β-HCH | 218.89 | 180.91 | 8 | 218.89 | 182.91 | 8 |
| δ-HCH | 218.89 | 180.91 | 8 | 218.89 | 182.91 | 8 |
| Heptachlor | 269.88 | 234.88 | 15 | 271.88 | 236.89 | 15 |
| Aldrin | 292.9 | 185.93 | 20 | 292.9 | 257.91 | 10 |
| 4.4-dibromobiphenyl (IS) | 152.30 | 126.20 | 24 | 311.90 | 152.30 | 14 |
| Heptachlor epoxide | 353.00 | 237.00 | 15 | 353.00 | 263.00 | 15 |
| Endossulfan-I | 240.89 | 205.91 | 10 | 242.89 | 207.91 | 10 |
| p.p’DDE | 246.05 | 175.97 | 10 | 317.94 | 245.95 | 10 |
| Dieldrin | 276.91 | 240.92 | 12 | 278.91 | 242.92 | 12 |
| Endrin | 263.00 | 191.00 | 30 | 263.00 | 193.00 | 30 |
| Endossulfan-II | 240.89 | 205.91 | 10 | 242.89 | 207.91 | 10 |
| p.p’DDD | 235.01 | 164.98 | 20 | 237.01 | 164.98 | 20 |
| Endrin aldeide | 345.00 | 245.00 | 15 | 345.00 | 280.90 | 10 |
| Endossulfan sulphate | 272.00 | 237.00 | 16 | 387.00 | 289.00 | 9 |
| p.p’DDT | 235.01 | 165.07 | 20 | 237.01 | 165.07 | 20 |
| Endrin cetone | 316.90 | 245.00 | 15 | 316.90 | 280.90 | 5 |
| Metoxychlor | 227.01 | 169.01 | 20 | 227.01 | 184.08 | 20 |
| TrCB | 255.96 | 186.03 | 22 | 257.96 | 186.03 | 22 |
| TeCB | 289.92 | 219.99 | 22 | 291.92 | 219.99 | 22 |
| PeCB | 323.89 | 253.95 | 22 | 325.88 | 255.94 | 22 |
| HxCB | 357.85 | 287.91 | 22 | 359.84 | 289.91 | 22 |
| HpCB | 391.81 | 321.87 | 22 | 393.80 | 323.87 | 22 |
| OcCB | 427.77 | 357.83 | 22 | 429.76 | 357.83 | 22 |
| NoCB | 461.76 | 391.82 | 22 | 463.77 | 391.83 | 22 |
| DeCB | 495.70 | 425.80 | 22 | 497.70 | 427.80 | 22 |
| Compound/Site | Cruise | NIT (A) | NIT (B) | RG | SJN |
|---|---|---|---|---|---|
| δHCH | 1 (1.22) | - | - | - | - |
| γHCH | - | - | - | 1 (1.65) | 1 (0.82) |
| Endosulfan I | 2 (55.8; 2.92) | - | 2 (17.4; 16.5) | 1 (10.7) | - |
| DDE | 1 (6.93) | 2 (2.66; 0.98) | - | 2 (2.11; 0.89) | - |
| Dieldrin | - | - | - | 1 (4.84) | - |
| Endrin | - | 2 (9.94; 3.86) | 3 (6.31; 2.57; 2.22) | 3 (8.75; 2.27; 0.70) | 2 (5.82; 1.52) |
| Endossulfan II | - | 1 (5.34) | - | - | - |
| Endrin Aldehyde | - | 2 (1.77; 0.97) | 1 (0.84) | 3 (7.89; 2.33; 2.24) | 2 (18.4; 8.23) |
| Endossulfan sulfate | - | 1 (1.64) | - | - | - |
| Endrin ketone | 1 (1.26) | 3 (7.13; 6.00; 2.17) | 2 (4.00; 3.84) | 1 (4.91) | 2 (6.99; 1.52) |
| Methoxychlor | 1 (1.79) | 1 (0.72) | 1 (0.81) | 2 (2.04; 1.84) | 2 (1.50; 0.95) |
Disclaimer/Publisher’s Note: The statements, opinions and data contained in all publications are solely those of the individual author(s) and contributor(s) and not of MDPI and/or the editor(s). MDPI and/or the editor(s) disclaim responsibility for any injury to people or property resulting from any ideas, methods, instructions or products referred to in the content. |
© 2023 by the authors. Licensee MDPI, Basel, Switzerland. This article is an open access article distributed under the terms and conditions of the Creative Commons Attribution (CC BY) license (https://creativecommons.org/licenses/by/4.0/).
Share and Cite
Massone, C.G.; dos Santos, A.A.; Ferreira, P.G.; Carreira, R.d.S. Persistent Organic Pollutants (POPs) in Sardine (Sardinella brasiliensis): Biomonitoring and Potential Human Health Effects. Int. J. Environ. Res. Public Health 2023, 20, 2036. https://doi.org/10.3390/ijerph20032036
Massone CG, dos Santos AA, Ferreira PG, Carreira RdS. Persistent Organic Pollutants (POPs) in Sardine (Sardinella brasiliensis): Biomonitoring and Potential Human Health Effects. International Journal of Environmental Research and Public Health. 2023; 20(3):2036. https://doi.org/10.3390/ijerph20032036
Chicago/Turabian StyleMassone, Carlos German, Allan Amendola dos Santos, Pedro Gonçalves Ferreira, and Renato da Silva Carreira. 2023. "Persistent Organic Pollutants (POPs) in Sardine (Sardinella brasiliensis): Biomonitoring and Potential Human Health Effects" International Journal of Environmental Research and Public Health 20, no. 3: 2036. https://doi.org/10.3390/ijerph20032036
APA StyleMassone, C. G., dos Santos, A. A., Ferreira, P. G., & Carreira, R. d. S. (2023). Persistent Organic Pollutants (POPs) in Sardine (Sardinella brasiliensis): Biomonitoring and Potential Human Health Effects. International Journal of Environmental Research and Public Health, 20(3), 2036. https://doi.org/10.3390/ijerph20032036

