Repeated Massage Improves Swimmers’ Perceptions during Training Sessions but Not Sprint and Functional Performance: A Randomized Controlled Trial
Abstract
:1. Introduction
2. Materials and Methods
2.1. Study Design
2.2. Subjects
2.3. Procedures
2.4. Interventions
2.5. Outcomes
2.6. Statistical Analyses
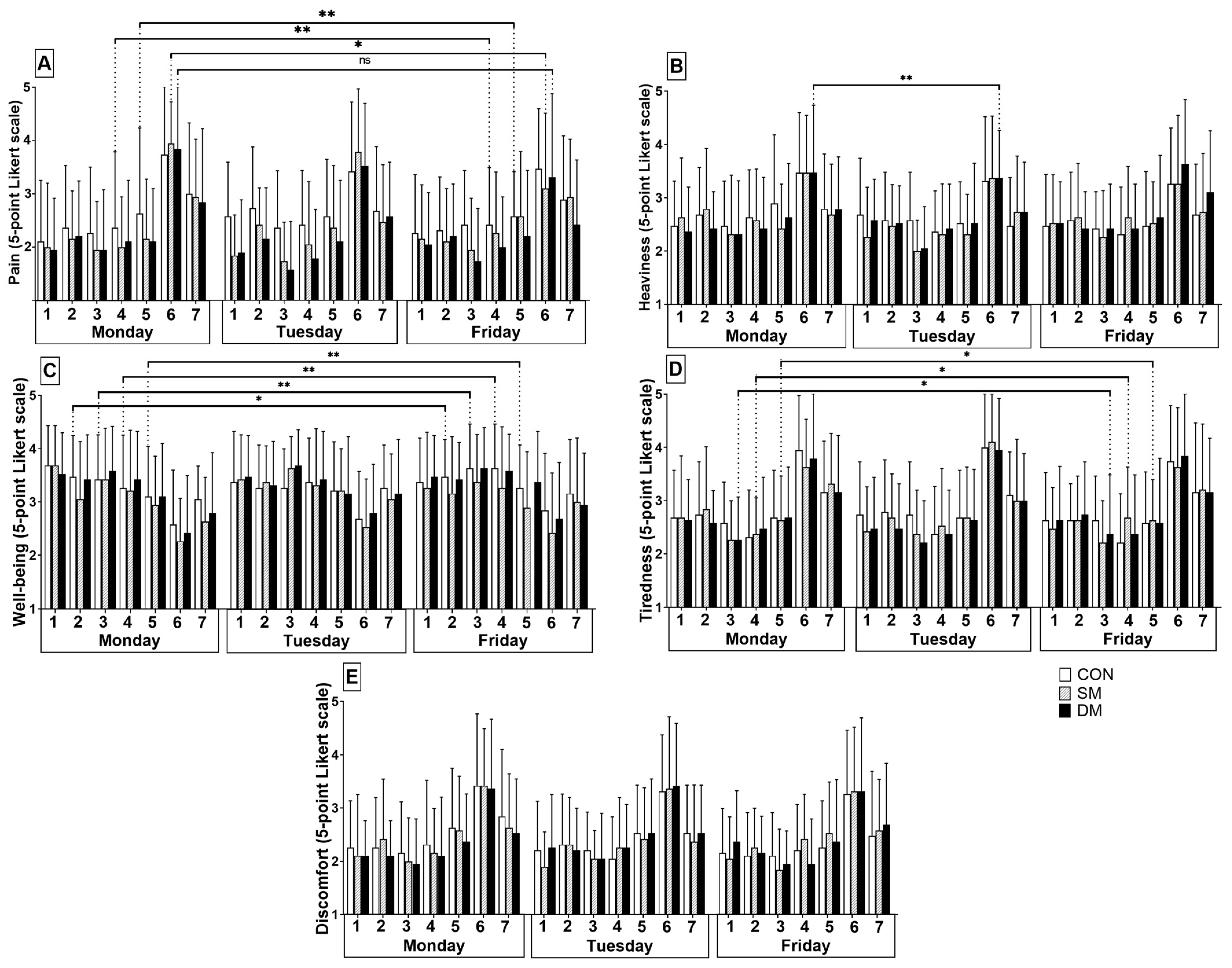
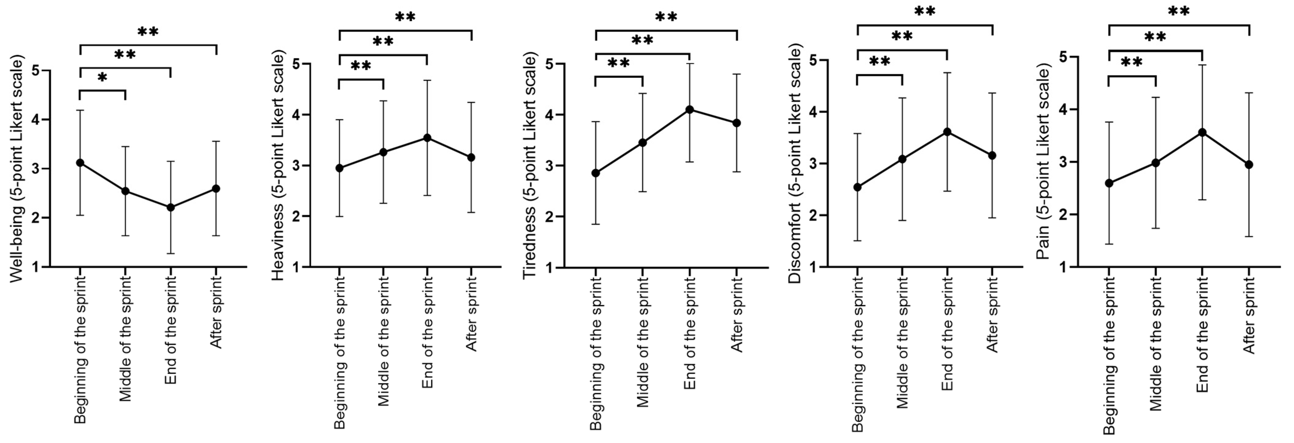
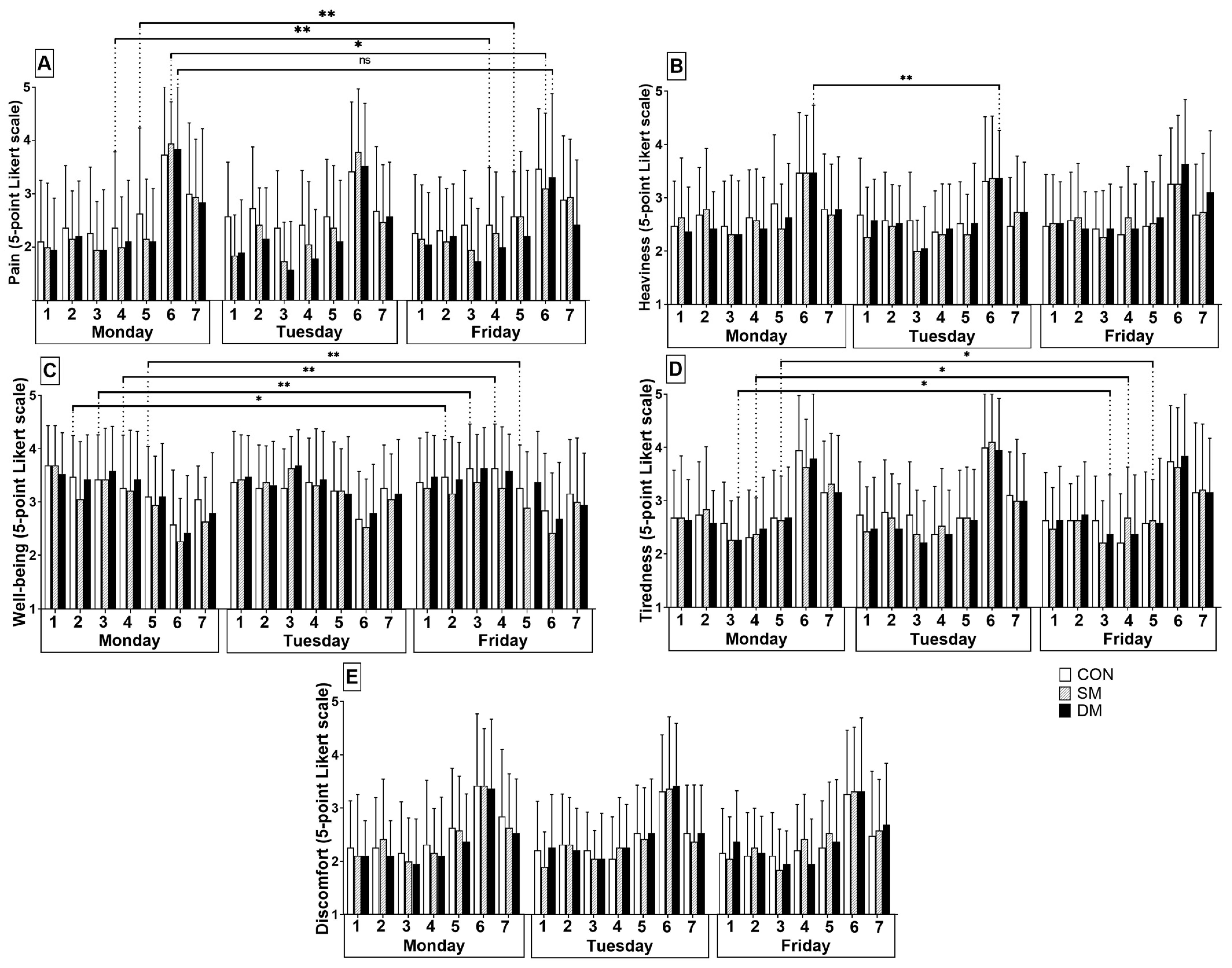
3. Results
- Pain
- Heaviness
- Well-being
- Tiredness
4. Discussion
5. Conclusions
Author Contributions
Funding
Institutional Review Board Statement
Informed Consent Statement
Data Availability Statement
Conflicts of Interest
Appendix A

Appendix B

References
- Junge, A.; Engebretsen, L.; Mountjoy, M.L.; Alonso, J.M.; Renström, P.A.; Aubry, M.J.; Dvorak, J. Sports injuries during the Summer Olympic Games 2008. Am. J. Sports Med. 2009, 37, 2165–2172. [Google Scholar] [CrossRef] [PubMed]
- Pollock, S.; Gaoua, N.; Johnston, M.J.; Cooke, K.; Girard, O.; Mileva, K.N. Training Regimes and Recovery Monitoring Practices of Elite British Swimmers. J. Sport Sci. Med. 2019, 18, 577–585. [Google Scholar]
- Meeusen, R.; Duclos, M.; Foster, C.; Fry, A.; Gleeson, M.; Nieman, D.; Raglin, J.; Rietjens, G.; Steinacker, J.; Urhausen, A. Prevention, diagnosis and treatment of the overtraining syndrome: Joint consensus statement of the European College of Sport Science (ECSS) and the American College of Sports Medicine (ACSM). Eur. J. Sport Sci. 2013, 13, 1–24. [Google Scholar] [CrossRef] [Green Version]
- Minett, G.M.; Costello, J.T. Specificity and context in post-exercise recovery: It is not a one-size-fits-all approach. Front. Physiol. 2015, 6, 130. [Google Scholar] [CrossRef] [Green Version]
- Kellmann, M.; Bertollo, M.; Bosquet, L.; Brink, M.; Coutts, A.J.; Duffield, R.; Erlacher, D.; Halson, S.L.; Hecksteden, A.; Heidari, J.; et al. Recovery and Performance in Sport: Consensus Statement. Int. J. Sports Physiol. Perform. 2018, 13, 240–245. [Google Scholar] [CrossRef] [Green Version]
- Marcora, S.M.; Staiano, W.; Manning, V. Mental fatigue impairs physical performance in humans. J. Appl. Physiol. 2009, 106, 857–864. [Google Scholar] [CrossRef] [Green Version]
- Crowther, F.; Sealey, R.; Crowe, M.; Edwards, A.; Halson, S. Team sport athletes′ perceptions and use of recovery strategies: A mixed-methods survey study. BMC Sports Sci. Med. Rehabil. 2017, 9, 6. [Google Scholar] [CrossRef] [Green Version]
- Heapy, A.M.; Hoffman, M.D.; Verhagen, H.H.; Thompson, S.W.; Dhamija, P.; Sandford, F.J.; Cooper, M.C. A randomized controlled trial of manual therapy and pneumatic compression for recovery from prolonged running—An extended study. Res. Sports Med. 2018, 26, 354–364. [Google Scholar] [CrossRef] [PubMed]
- Bender, P.U.; da Luz, C.M.; Feldkircher, J.M.; Nunes, G.S. Massage therapy slightly decreased pain intensity after habitual running, but had no effect on fatigue, mood or physical performance: A randomised trial. J. Physiother. 2019, 65, 75–80. [Google Scholar] [CrossRef] [PubMed]
- Eriksson Crommert, M.; Lacourpaille, L.; Heales, L.J.; Tucker, K.; Hug, F. Massage induces an immediate, albeit short-term, reduction in muscle stiffness. Scand. J. Med. Sci. Sports 2015, 25, e490–e496. [Google Scholar] [CrossRef]
- Tejero-Fernández, V.; Membrilla-Mesa, M.; Galiano-Castillo, N.; Arroyo-Morales, M. Immunological effects of massage after exercise: A systematic review. Phys. Ther. Sport 2015, 16, 187–192. [Google Scholar] [CrossRef]
- Kennedy, A.B.; Patil, N.; Trilk, J.L. ‘Recover quicker, train harder, and increase flexibility’: Massage therapy for elite paracyclists, a mixed-methods study. BMJ Open Sport Exerc. Med. 2018, 4, e000319. [Google Scholar] [CrossRef] [Green Version]
- Jönhagen, S.; Ackermann, P.; Eriksson, T.; Saartok, T.; Renström, P.A. Sports massage after eccentric exercise. Am. J. Sports Med. 2004, 32, 1499–1503. [Google Scholar] [CrossRef] [PubMed]
- Lightfoot, J.T.; Char, D.; McDermott, J.; Goya, C. Immediate post exercise massage does not attenuate delayed onset muscle soreness. J. Strength Cond. Res. 1997, 11, 119–124. [Google Scholar]
- Poppendieck, W.; Wegmann, M.; Ferrauti, A.; Kellmann, M.; Pfeiffer, M.; Meyer, T. Massage and Performance Recovery: A Meta-Analytical Review. Sports Med. 2016, 46, 183–204. [Google Scholar] [CrossRef] [PubMed]
- Rasooli, S.A.; Jahromi, M.K.; Asadmanesh, A.; Salesi, M. Influence of massage, active and passive recovery on swimming performance and blood lactat. J. Sports Med. Phys. Fit. 2012, 52, 122–127. [Google Scholar]
- Morais, J.E.; Silva, A.J.; Garrido, N.D.; Marinho, D.A.; Barbosa, T.M. The transfer of strength and power into the stroke biomechanics of young swimmers over a 34-week period. Eur. J. Sport Sci. 2018, 18, 787–795. [Google Scholar] [CrossRef]
- Bourdon, P.C.; Cardinale, M.; Murray, A.; Gastin, P.; Kellmann, M.; Varley, M.C.; Gabbett, T.J.; Coutts, A.J.; Burgess, D.J.; Gregson, W.; et al. Monitoring Athlete Training Loads: Consensus Statement. Int. J. Sports Physiol. Perform. 2017, 12, S2161–S2170. [Google Scholar] [CrossRef]
- Neiva, H.P.; Marques, M.C.; Fernandes, R.J.; Viana, J.L.; Barbosa, T.M.; Marinho, D.A. Does warm-up have a beneficial effect on 100-m freestyle? Int. J. Sports Physiol. Perform. 2014, 9, 145–150. [Google Scholar] [CrossRef]
- Muyor, J.M.; Vaquero-Cristóbal, R.; Alacid, F.; López-Miñarro, P.A. Criterion-Related Validity Of Sit-And-Reach And Toe-Touch Tests As A Measure Of Hamstring Extensibility In Athletes. J. Strength Cond. Res. 2014, 28, 546–555. [Google Scholar] [CrossRef]
- Markovic, G.; Dizdar, D.; Jukic, I.; Cardinale, M. Reliability and Factorial Validity of Squat and Countermovement Jump Tests. J. Strength Cond. Res. 2004, 18, 551–555. [Google Scholar] [PubMed]
- Balke, M.; Liem, D.; Dedy, N.; Thorwesten, L.; Balke, M.; Poetzl, W.; Marquardt, B. The laser-pointer assisted angle reproduction test for evaluation of proprioceptive shoulder function in patients with instability. Arch. Orthop. Trauma Surg. 2011, 131, 1077–1084. [Google Scholar] [CrossRef] [PubMed]
- Portney, L.G.; Watkins, M.P. Foundations of Clinical Research: Applications to Practice, 2nd ed.; Prentice-Hall: Upper Saddle River, NJ, USA, 2000. [Google Scholar]
- Andersen, L.L.; Jay, K.; Andersen, C.H.; Jakobsen, M.D.; Sundstrup, E.; Topp, R.; Behm, D.G. Acute effects of massage or active exercise in relieving muscle soreness: Randomized controlled trial. J. Strength Cond. Res. 2013, 17, 3352–3359. [Google Scholar] [CrossRef]
- Crane, J.D.; Ogborn, D.I.; Cupido, C.; Melov, S.; Hubbard, A.; Bourgeois, J.M.; Tarnopolsky, M.A. Massage therapy attenuates inflammatory signaling after exercise-induced muscle damage. Sci. Transl. Med. 2012, 4, 119ra113. [Google Scholar] [CrossRef] [PubMed] [Green Version]
- Stewart, A.M.; Hopkins, W.G. Seasonal training and performance of competitive swimmers. J. Sports Sci. 2000, 18, 873–884. [Google Scholar] [CrossRef]
- Malisoux, L.; Frisch, A.; Urhausen, A.; Seil, R.; Theisen, D. Monitoring of sport participation and injury risk in young athletes. J. Sci. Med. Sport 2013, 16, 504–508. [Google Scholar] [CrossRef]
- Gabbett, T.J. The training-injury prevention paradox: Should athletes be training smarter and harder? Br. J. Sports Med. 2016, 50, 273–280. [Google Scholar] [CrossRef] [Green Version]
- Skorski, S.; Mujika, I.; Bosquet, L.; Meeusen, R.; Coutts, A.J.; Meyer, T. The Temporal Relationship Between Exercise, Recovery Processes, and Changes in Performance. Int. J. Sports Physiol. Perform. 2019, 14, 1015–1021. [Google Scholar] [CrossRef] [PubMed]
- Rapaport, M.H.; Schettler, P.; Bresee, C. A preliminary study of the effects of repeated massage on hypothalamic-pituitary-adrenal and immune function in healthy individuals: A study of mechanisms of action and dosage. J. Altern. Complement. Med. 2012, 18, 789–797. [Google Scholar] [CrossRef]
- Robelot, L.E. Performance Profiles of Collegiate and Master’s Swimmers: A Validation Study; Louisiana: Graduate Faculty of the Louisiana State University and Agricultural and Mechanical College: Baton Rouge, LA, USA, 2017; p. 55. [Google Scholar]
- Carvalho, F.A.; Batista, N.P.; Machado, A.F.; Micheletti, J.K.; Pastre, C.M. Study Data: Repeated Systematic Massage Improves Perceptive Outcomes Over Training Sessions in Young Swimmers: A Randomized Controlled Clinical Trial. Mendeley Data, 3rd ed. 2021. Available online: https://data.mendeley.com/datasets/d88r6svvds (accessed on 10 November 2022).




| Control (n = 17) Mean (SD) | Superficial Massage (n = 18) Mean (SD) | Deep Massage (n = 16) Mean (SD) | |
|---|---|---|---|
| Sex a | |||
| Male | 11 (64.7) | 11 (61.1) | 10 (62.5) |
| Female | 6 (35.3) | 7 (38.9) | 6 (37.5) |
| Age (years) | 13.71 (1.57) | 13.61 (1.24) | 14.06 (1.61) |
| Body weight (kg) | 60.21 (13.07) | 59.05 (11.32) | 61.67 (12.57) |
| Body height (cm) | 1.67 (0.09) | 1.66 (0.09) | 1.68 (0.10) |
| BMI (kg/m2) | 21.43 (3.14) | 21.23 (2.96) | 21.74 (3.02) |
| Within Group Differences | Between Group Differences | |||||
|---|---|---|---|---|---|---|
| CON Mean ± SD B (95% CI) | SM Mean ± SD B (95% CI) | DM Mean ± SD B (95% CI) | SM—CON B (95% CI) | DM—CON B (95% CI) | SM—DM B (95% CI) | |
| Squat jump (cm) | ||||||
| Baseline | 26.80 ± 5.40 | 26.69 ± 5.55 | 27.78 ± 5.44 | 0.23 (−0.49, 0.96) | 0.80 (−0.10, 1.71) | −0.57 (−1.42, 0.28) |
| At 1 wk | 26.82 ± 5.40 | 27.40 ± 5.68 | 27.45 ± 5.36 | |||
| Baseline → 1 wk | 0.02 (−1.00, 1.05) | 0.70 (−0.33, 1.74) | −0.33 (−1.39, 0.72) | |||
| Bench press (m/s) | ||||||
| Baseline | 1.32 ± 0.24 | 1.26 ± 0.25 | 1.27 ± 0.24 | −0.04 (−0.11, 0.02) | −0.07 (−0.14, 0.00) | 0.02 (−0.02, 0.08) |
| At 1 wk | 1.33 ± 0.24 | 1.30 ± 0.25 | 1.23 ± 0.20 | |||
| Baseline → 1 wk | 0.003 (−0.07, 0.08) | 0.003 (−0.04, 0.11) | −0.03 (−0.11, 0.03) | |||
| Flexibility (cm) | ||||||
| Baseline | 33.91 ± 8.04 | 34.85 ± 8.52 | 35.61 ± 8.20 | 0.87 (−0.79, 2.54) | 1.03 (−0.74, 2.81) | −0.15 (−1.61, 1.30) |
| At 1 wk | 33.73 ± 7.83 | 34.55 ± 8.27 | 34.11 ± 7.68 | |||
| Baseline → 1 wk | −0.18 (−2.19, 1.83) | −0.29 (−2.36, 1.76) | −1.49 (−3.57, 0.59) | |||
| Proprioception at 55° (°) | ||||||
| Baseline | 9.36 ± 5.44 | 10.75 ± 6.32 | 9.75 ± 5.28 | 0.55 (−2.30, 3.42) | 0.30 (−2.11, 2.73) | 0.25 (−2.18, 2.68) |
| At 1 wk | 11.08 ± 6.34 | 10.73 ± 6.32 | 11.28 ± 6.40 | |||
| Baseline → 1 wk | 1.72 (−1.54, 4.98) | −0.02 (−3.37, 3.33) | 1.53 (−1.78, 4.86) | |||
| Proprioception at 90° (°) | ||||||
| Baseline | 6.41 ± 3.71 | 6.70 ± 3.98 | 5.76 ± 3.24 | 0.03 (−1.53, 1.59) | −0.80 (−2.59, 0.98) | 0.84 (−0.97, 2.65) |
| At 1 wk | 6.95 ± 3.71 | 6.71 ± 3.69 | 5.98 ± 3.08 | |||
| Baseline → 1 wk | 0.53 (−1.66, 2.73) | 0.005 (−2.21, 2.22) | 0.22 (−1.71, 2.15) | |||
| Proprioception at 125° (°) | ||||||
| Baseline | 9.01 ± 4.61 | 9.79 ± 5.13 | 9.46 ± 4.68 | −0.20 (−2.37, 1.78) | 0.10 (−1.93, 2.15) | −0.40 (−2.82, 2.02) |
| At 1 wk | 9.96 ± 4.16 | 8.60 ± 3.69 | 9.70 ± 3.92 | |||
| Baseline → 1 wk | 0.95 (−1.84, 3.75) | −1.18 (−3.97, 1.60) | 0.24 (−2.60, 3.08) | |||
| Total time (s) | ||||||
| Baseline | 68.91 ± 6.14 | 68.82 ± 6.27 | 69.87 ± 6.04 | −0.01 (−1.40, 1.37) | 0.23 (−1.24, 1.71) | −0.25 (−1.95, 1.45) |
| At 1 wk | 68.88 ± 5.23 | 68.94 ± 5.38 | 68.40 ± 5.04 | |||
| Baseline → 1 wk | −0.03 (−1.99, 1.92) | −0.12 (−1.82, 2.08) | −1.46 (−3.44, 0.51) | |||
| FINA points | ||||||
| Baseline | 872.46 ± 151.24 | 876.26 ± 156.30 | 857.62 ± 144.20 | −0.16 (−42.71, 43.03) | 1.17 (−51.39, 53.73) | −1.01 (−44.22, 42.19) |
| At 1 wk | 872.79 ± 125.30 | 869.33 ± 128.42 | 890.28 ± 124.00 | |||
| Baseline → 1 wk | 0.33 (−60.21, 60.87) | −6.92 (−67.59, 53.74) | 32.66 (−27.50, 92.83) | |||
| Swimming velocity | ||||||
| Baseline | 1.35 ± 0.12 | 1.36 ± 0.12 | 1.35 ± 0.12 | −0.03 (−0.10, 0.03) | −0.02 (−0.09, 0.04) | −0.01 (−0.06, 0.05) |
| At 1 wk | 1.42 ± 0.16 | 1.35 ± 0.16 | 1.37 ± 0.16 | |||
| Baseline → 1 wk | 0.06 (−0.01, 0.14) | −0.01 (−0.09, 0.06) | 0.01 (−0.06, 0.09) | |||
| Stroke frequency | ||||||
| Baseline | 1.40 ± 0.12 | 1.40 ± 0.12 | 1.39 ± 0.12 | −0.01 (−0.06, 0.05) | −0.03 (−0.10, 0.04) | 0.02 (−0.04, 0.09) |
| At 1 wk | 1.46 ± 0.16 | 1.46 ± 0.16 | 1.41 ± 0.12 | |||
| Baseline → 1 wk | 0.06 (−0.02, 0.14) | 0.06 (−0.02, 0.14) | 0.02 (−0.06, 0.10) | |||
| Distance per stroke | ||||||
| Baseline | 0.97 ± 0.12 | 0.98 ± 0.12 | 0.98 ± 0.12 | −0.01 (−0.04, 0.02) | 0.00 (−0.02, 0.03) | −0.01 (−0.04, 0.02) |
| At 1 wk | 0.97 ± 0.12 | 0.93 ± 0.12 | 0.97 ± 0.12 | |||
| Baseline → 1 wk | 0.00 (−0.04, 0.04) | −0.04 (−0.08, 0.00) | −0.00 (−0.05, 0.03) | |||
| Stroke index | ||||||
| Baseline | 1.32 ± 0.28 | 1.34 ± 0.29 | 1.34 ± 0.28 | −0.05 (−0.15, 0.04) | −0.02 (−0.11, 0.06) | −0.03 (−0.12, 0.06) |
| At 1 wk | 1.40 ± 0.28 | 1.27 ± 0.29 | 1.33 ± 0.28 | |||
| Baseline → 1 wk | 0.07 (−0.04, 0.19) | −0.07 (−0.18, 0.03) | −0.01 (−0.11, 0.11) | |||
Disclaimer/Publisher’s Note: The statements, opinions and data contained in all publications are solely those of the individual author(s) and contributor(s) and not of MDPI and/or the editor(s). MDPI and/or the editor(s) disclaim responsibility for any injury to people or property resulting from any ideas, methods, instructions or products referred to in the content. |
© 2023 by the authors. Licensee MDPI, Basel, Switzerland. This article is an open access article distributed under the terms and conditions of the Creative Commons Attribution (CC BY) license (https://creativecommons.org/licenses/by/4.0/).
Share and Cite
Carvalho, F.A.; Batista, N.P.; Diniz, F.P.; Machado, A.F.; Micheletti, J.K.; Pastre, C.M. Repeated Massage Improves Swimmers’ Perceptions during Training Sessions but Not Sprint and Functional Performance: A Randomized Controlled Trial. Int. J. Environ. Res. Public Health 2023, 20, 1677. https://doi.org/10.3390/ijerph20031677
Carvalho FA, Batista NP, Diniz FP, Machado AF, Micheletti JK, Pastre CM. Repeated Massage Improves Swimmers’ Perceptions during Training Sessions but Not Sprint and Functional Performance: A Randomized Controlled Trial. International Journal of Environmental Research and Public Health. 2023; 20(3):1677. https://doi.org/10.3390/ijerph20031677
Chicago/Turabian StyleCarvalho, Flávia A., Natanael P. Batista, Fernanda P. Diniz, Aryane F. Machado, Jéssica K. Micheletti, and Carlos M. Pastre. 2023. "Repeated Massage Improves Swimmers’ Perceptions during Training Sessions but Not Sprint and Functional Performance: A Randomized Controlled Trial" International Journal of Environmental Research and Public Health 20, no. 3: 1677. https://doi.org/10.3390/ijerph20031677
APA StyleCarvalho, F. A., Batista, N. P., Diniz, F. P., Machado, A. F., Micheletti, J. K., & Pastre, C. M. (2023). Repeated Massage Improves Swimmers’ Perceptions during Training Sessions but Not Sprint and Functional Performance: A Randomized Controlled Trial. International Journal of Environmental Research and Public Health, 20(3), 1677. https://doi.org/10.3390/ijerph20031677

