Comment on Redmayne, M.; Maisch, D.R. ICNIRP Guidelines’ Exposure Assessment Method for 5G Millimetre Wave Radiation May Trigger Adverse Effects. Int. J. Environ. Res. Public Health 2023, 20, 5267
Abstract
:1. Introduction
2. Brillouin Precursors
2.1. Origin of Phenomenon
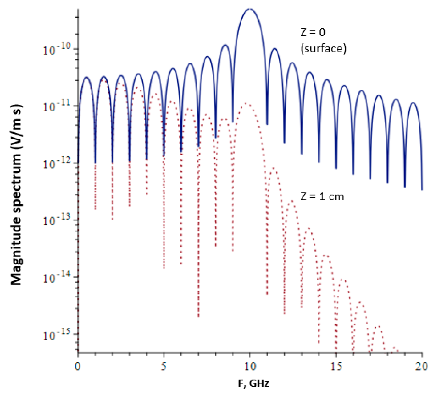
2.2. Frequency Spectrum of Pulse
2.3. Bandwidth of 5G NR Signals
3. Conclusions
4. Other Comment
Author Contributions
Acknowledgments
Conflicts of Interest
References
- Redmayne, M.; Maisch, D.R. ICNIRP Guidelines’ Exposure Assessment Method for 5G Millimetre Wave Radiation May Trigger Adverse Effects. Int. J. Environ. Res. Public Health 2023, 20, 5267. [Google Scholar] [CrossRef] [PubMed]
- Oughstun, K.E. Electromagnetic and Optical Pulse Propagation; Springer: Berlin/Heidelberg, Germany, 2006; Volume 1. [Google Scholar]
- Stoudt, D.C.; Peterkin, F.E.; Hankla, B.J. Transient RF and Microwave Pulse Propagation in a Debye Medium (Water). In Interaction Note; Dahlgren Division, Naval Surface Warfare Center: Dahlgren, VA, USA, 2011; Volume 622, pp. 1–43. [Google Scholar]
- Dawood, M.; Mohammed, H.U.R.; Vázquez Alejos, A. Experimental Detection of Brillouin Precursors through Tap Water at Microwave Frequencies. Electron. Lett. 2010, 46, 1645–1647. [Google Scholar] [CrossRef]
- Albanese, R.; Penn, J.; Medina, R. Short-Rise-Time Microwave Pulse Propagation through Dispersive Biological Media. JOSA A 1989, 6, 1441–1446. [Google Scholar] [CrossRef]
- Albanese, R.; Blaschak, J.; Medina, R.; Penn, J. Ultrashort Electromagnetic Signals: Biophysical Questions, Safety Issues and Medical Opportunities. Aviat. Space Environ. Med. 1994, 65, 116–120. [Google Scholar]
- Adair, R.K. Biophysics Limits on the Biological Effects of Ultrawideband Electromagnetic Radiation. In Radio Frequency Radiation Dosimetry and Its Relationship to the Biological Effects of Electromagnetic Fields; Springer: Berlin/Heidelberg, Germany, 2000; pp. 63–72. [Google Scholar]
- Adair, R.K. Environmental Objections to the Pave Paws Radar System: A Scientific Review. Radiat. Res. 2003, 159, 128–134. [Google Scholar] [CrossRef] [PubMed]
- Fowdur, T.P.; Jhengree, P. Enhanced Pulse Shaping Filters for IEEE 802.11 OFDM WLANS. J. Electr. Eng. Electron. Control Comput. Sci. 2017, 3, 21–28. [Google Scholar]
- Sami, G.; Lau, R.W.; Gabriel, C. The Dielectric Properties of Biological Tissues: III. Parametric Models for the Dielectric Spectrum of Tissues. Phys. Med. Biol. 1996, 41, 2271. [Google Scholar]
- Franci, D.; Coltellacci, S.; Grillo, E.; Pavoncello, S.; Aureli, T.; Cintoli, R.; Migliore, M.D. An Experimental Investigation on the Impact of Duplexing and Beamforming Techniques in Field Measurements of 5G Signals. Electronics 2020, 9, 223. [Google Scholar] [CrossRef]
- Kuehn, S.; Pfeifer, S.; Kuster, N. Total Local Dose in Hypothetical 5G Mobile Networks for Varied Topologies and User Scenarios. Appl. Sci. 2020, 10, 5971. [Google Scholar] [CrossRef]
- Colombi, D.; Joshi, P.; Xu, B.; Ghasemifard, F.; Narasaraju, V.; Törnevik, C. Analysis of the Actual Power and EMF Exposure from Base Stations in a Commercial 5G Network. Appl. Sci. 2020, 10, 5280. [Google Scholar] [CrossRef]
- Aerts, S.; Deprez, K.; Colombi, D.; van den Bossche, M.; Verloock, L.; Martens, L.; Törnevik, C.; Joseph, Q. In Situ Assessment of 5G NR Massive MIMO Base Station Exposure in a Commercial Network in Bern, Switzerland. Appl. Sci. 2021, 11, 3592. [Google Scholar] [CrossRef]
- Neufeld, E.; Kuster, N. Systematic Derivation of Safety Limits for Time-Varying 5G Radiofrequency Exposure Based on Analytical Models and Thermal Dose. Health Phys. 2018, 115, 705–711. [Google Scholar] [CrossRef] [PubMed]
- Foster, K.R. Comments on Neufeld and Kuster, “Systematic Derivation of Safety Limits for Time-Varying 5G Radiofrequency Exposure Based on Analytical Models and Thermal Dose”. Health Phys. 2019, 117, 67–69. [Google Scholar] [CrossRef] [PubMed]
- Sasaki, K.; Mizuno, M.; Wake, K.; Watanabe, S. Monte Carlo Simulations of Skin Exposure to Electromagnetic Field from 10 GHz to 1 THz. Phys. Med. Biol. 2017, 62, 6993. [Google Scholar] [CrossRef] [PubMed]
- Laakso, I.; Ryota, M.; Akimasa, H.; Teruo, O. Computational Dosimetry of the Human Head Exposed to Near-Field Microwaves Using Measured Blood Flow. IEEE Trans. Electromagn. Compat. 2017, 59, 739–746. [Google Scholar] [CrossRef]
- Hirata, A.; Kodera, S.; Sasaki, K.; Gomez-Tames, J.; Laakso, I.; Wood, A.; Watanabe, S.; Foster, K.R. Human Exposure to Radiofrequency Energy above 6 GHz. Phys. Med. Biol. 2021, 66, 08TR01. [Google Scholar] [CrossRef] [PubMed]
- Funahashi, D.; Hirata, A.; Kodera, S.; Foster, K.R. Area-Averaged Transmitted Power Density at Skin Surface as Metric to Estimate Surface Temperature Elevation. IEEE Access 2018, 6, 77665–77674. [Google Scholar] [CrossRef]
- Karimi, F.; Kühn, S.; Xi, J.; Reboux, S.; Christ, A.; Fallahi, A.; Meyer, R.; Kuster, N. Method and Implementations to Measure the Absorbed Power Density. In Proceedings of the 2022 IEEE MTT-S International Microwave Biomedical Conference, Suzhou, China, 16–18 May 2022. [Google Scholar]


| 5G Band | Uplink Frequencies (GHz) | Downlink Frequencies (GHz) | Channel Bandwidths (MHz) * | Power Penetration Depth L in Skin/Muscle, cm (at the Center of the Band), cm | ΔL in Widest Band |
|---|---|---|---|---|---|
| N5 | 0.824–0.849 | 0.869–0.894 | 5–25 | 2.1 (muscle) | 9 mm |
| N66 | 1.710–1.780 | 2.100–2.200 | 5–45 | 1.5 (muscle) | 0.3 mm |
| N2 | 1.850–1.910 | 1.930–1.990 | 5–40 | 1.4 (muscle) | 0.2 mm |
| n258 | 24.25–27.50 | 50–400 | 0.05 (skin) | 0.01 mm | |
Disclaimer/Publisher’s Note: The statements, opinions and data contained in all publications are solely those of the individual author(s) and contributor(s) and not of MDPI and/or the editor(s). MDPI and/or the editor(s) disclaim responsibility for any injury to people or property resulting from any ideas, methods, instructions or products referred to in the content. |
© 2023 by the authors. Licensee MDPI, Basel, Switzerland. This article is an open access article distributed under the terms and conditions of the Creative Commons Attribution (CC BY) license (https://creativecommons.org/licenses/by/4.0/).
Share and Cite
Foster, K.R.; Balzano, Q. Comment on Redmayne, M.; Maisch, D.R. ICNIRP Guidelines’ Exposure Assessment Method for 5G Millimetre Wave Radiation May Trigger Adverse Effects. Int. J. Environ. Res. Public Health 2023, 20, 5267. Int. J. Environ. Res. Public Health 2023, 20, 7029. https://doi.org/10.3390/ijerph20227029
Foster KR, Balzano Q. Comment on Redmayne, M.; Maisch, D.R. ICNIRP Guidelines’ Exposure Assessment Method for 5G Millimetre Wave Radiation May Trigger Adverse Effects. Int. J. Environ. Res. Public Health 2023, 20, 5267. International Journal of Environmental Research and Public Health. 2023; 20(22):7029. https://doi.org/10.3390/ijerph20227029
Chicago/Turabian StyleFoster, Kenneth R., and Quirino Balzano. 2023. "Comment on Redmayne, M.; Maisch, D.R. ICNIRP Guidelines’ Exposure Assessment Method for 5G Millimetre Wave Radiation May Trigger Adverse Effects. Int. J. Environ. Res. Public Health 2023, 20, 5267" International Journal of Environmental Research and Public Health 20, no. 22: 7029. https://doi.org/10.3390/ijerph20227029
APA StyleFoster, K. R., & Balzano, Q. (2023). Comment on Redmayne, M.; Maisch, D.R. ICNIRP Guidelines’ Exposure Assessment Method for 5G Millimetre Wave Radiation May Trigger Adverse Effects. Int. J. Environ. Res. Public Health 2023, 20, 5267. International Journal of Environmental Research and Public Health, 20(22), 7029. https://doi.org/10.3390/ijerph20227029

