Greenhouse Gas Emissions from Soils Amended with Cornstalk Biochar at Different Addition Ratios
Abstract
1. Introduction
2. Materials and Methods
2.1. Soil Sampling and Biochar
2.2. Design of the Incubation Experiment
2.3. Samples Determination
2.4. Calculations
2.5. Data Analyses
3. Results
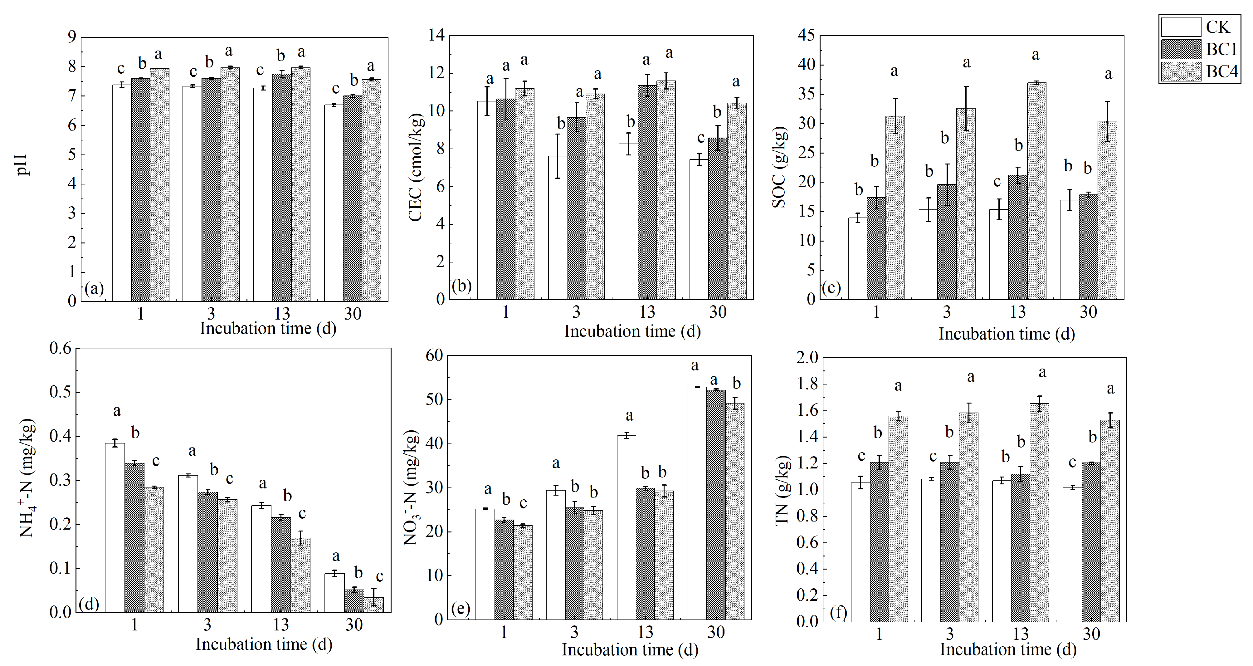
3.1. The Effects of Biochar Addition on Soil Characteristic
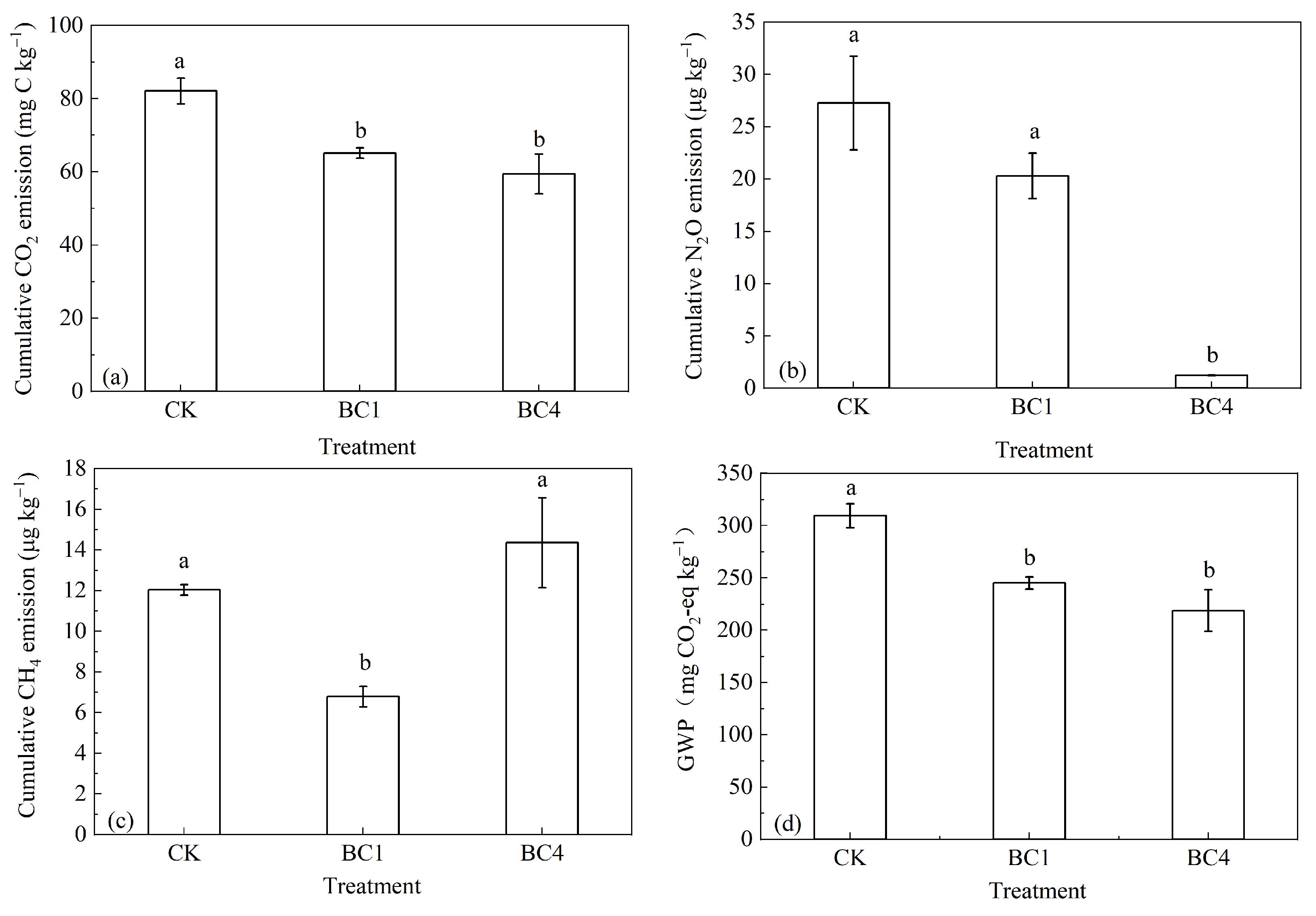
3.2. The Effects of Biochar Addition on Soil CO2, N2O and CH4 Emissions
3.3. The Priming Effects of Biochar Addition on Soil Organic Carbon Mineralization
4. Discussion
4.1. Effects of Biochar Addition on Soil Characteristic
4.2. Effects of Biochar Addition on Soil CO2, N2O and CH4 Emissions
4.3. The Priming Effects of Biochar Addition on Soil Organic Carbon Mineralization
5. Conclusions
Author Contributions
Funding
Institutional Review Board Statement
Informed Consent Statement
Data Availability Statement
Acknowledgments
Conflicts of Interest
References
- IPCC. Special Report on Global Warming of 1.5 °C; Cambridge University Press: Cambridge, UK, 2018. [Google Scholar]
- IPCC. The Physical Science Basis. Contribution of Working Group I to the Sixth Assessment Report of the Intergovernmental Panel on Climate Change. 2021. Available online: https://www.ipcc.ch/report/ar6/wg1/#FullReport (accessed on 1 November 2022).
- Ibrahim, S. Impact of greenhouse gases and climate change. Nature 2016, 2, 250–274. [Google Scholar]
- IPCC. Synthesis Report. Contribution of Working Groups I, II and III to the Fifth Assessment Report of the Intergovernmental Panel on Climate Change; Cambridge University Press: Cambridge, UK, 2014. [Google Scholar]
- Smith, P. Soil carbon sequestration and biochar as negative emission technologies. Glob. Chang. Biol. 2016, 22, 1315–1324. [Google Scholar] [CrossRef]
- Wang, L.; Gao, C.; Yang, K.; Sheng, Y.; Zhu, L. Effects of biochar aging in the soil on its mechanical property and performance for soil CO2 and N2O emissions. Sci. Total Environ. 2021, 782, 146824. [Google Scholar] [CrossRef]
- Pokharel, P.; Kwak, J.H.; Ok, Y.S.; Chang, S.X. Pine sawdust biochar reduces GHG emission by decreasing microbial and enzyme activities in forest and grassland soils in a laboratory experiment. Sci. Total Environ. 2018, 625, 1247–1256. [Google Scholar] [CrossRef]
- Zhang, Y.; Wang, J.; Feng, Y. The effects of biochar addition on soil physicochemical properties: A review. Catena 2021, 202, 105284. [Google Scholar] [CrossRef]
- Mitchell, P.J.; Simpson, A.J.; Soong, R.; Simpson, M.J. Shifts in microbial community and water-extractable organic matter composition with biochar amendment in a temperate forest soil. Soil Biol. Biochem. 2015, 81, 244–254. [Google Scholar] [CrossRef]
- Tang, Y.; Gao, W.C.; Cai, K.; Chen, Y.; Li, C.B.; Lee, X.Q.; Cheng, H.G.; Zhang, Q.H.; Cheng, J.Z. Effects of biochar amendment on soil carbon dioxide emission and carbon budget in the karst region of southwest China. Geoderma 2021, 385, 114895. [Google Scholar] [CrossRef]
- Wang, Q.; Zeng, Z.; Zhong, M. Soil Moisture Alters the Response of Soil Organic Carbon Mineralization to Litter Addition. Ecosystems 2016, 19, 450–460. [Google Scholar] [CrossRef]
- Yang, X.; Meng, J.; Lan, Y.; Chen, W.F.; Yang, T.X.; Yuan, J.; Liu, S.N.; Han, J. Effects of maize stover and its biochar on soil CO2 emissions and labile organic carbon fractions in Northeast China. Agric. Ecosyst. Environ. 2017, 240, 24–31. [Google Scholar] [CrossRef]
- Herath, H.; Camps-Arbestain, M.; Hedley, M.J.; Kirschbaum, M.; Wang, T.; Hale, R.V. Experimental evidence for sequestering C with biochar by avoidance of CO2 emissions from original feedstock and protection of native soil organic matter. GCB Bioenergy 2015, 7, 512–526. [Google Scholar] [CrossRef]
- Li, J.B.; Kwak, J.H.; Chang, S.X.; Gong, X.; An, Z.; Chen, J. Greenhouse gas emissions from forest soils reduced by Straw biochar and nitrapyrin applications. Land 2021, 10, 189. [Google Scholar] [CrossRef]
- Odugbenro, G.O.; Liu, Z.; Sun, Y. Dynamics of C and N in a clay loam soil amended with biochar and corn straw. Indian J. Agric. Res. 2019, 53, 675–680. [Google Scholar] [CrossRef]
- Sakin, E.; Ramazanoglu, E.; Seyrek, A. Effects of Different Biochar Amendments on Soil Enzyme Activities and Carbondioxide Emission. Commun. Soil Sci. Plant Anal. 2021, 52, 2933–2944. [Google Scholar] [CrossRef]
- Deng, B.L.; Zheng, L.Y.; Ma, Y.C.; Zhang, L.; Liu, X.J.; Zhang, X.L.; Zhang, W.Y.; Huang, W.; Hu, X.F.; Guo, X.M.; et al. Effects of mixing biochar on soil N2O, CO2, and CH4 emissions after prescribed fire in alpine meadows of Wugong Mountain, China. J. Soils Sediments 2020, 20, 3062–3072. [Google Scholar] [CrossRef]
- Khan, M.N.; Li, D.C.; Shah, A.; Huang, J.; Zhang, L.; Núez-Delgado, A.; Han, T.F.; Du, J.X.; Ali, S.; Sial, T.A. The impact of pristine and modified rice straw biochar on the emission of greenhouse gases from a red acidic soil. Environ. Res. 2022, 208, 112676. [Google Scholar] [CrossRef]
- Li, H.; Meng, J.; Liu, Z.Q.; Lan, Y.; Yang, X.; Huang, Y.W.; He, T.Y.; Chen, W.F. Effects of biochar on N2O emission in denitrification pathway from paddy soil: A drying incubation study. Sci. Total Environ. 2021, 787, 147591. [Google Scholar] [CrossRef]
- Tang, Z.M.; Liu, X.R.; Li, G.C.; Liu, X.W. Mechanism of biochar on nitrification and denitrification to N2O emissions based on isotope characteristic values. Environ. Res. 2022, 212, 113219. [Google Scholar] [CrossRef]
- Elizabeth, V.; Johan, S. Biochar does not mitigate field-scale N2O emissions in a Northern California vineyard: An assessment across two years. Agric. Ecosyst. Environ. 2014, 191, 27–38. [Google Scholar]
- Lin, Y.; Ding, W.; Liu, D.; He, T.; Yoo, G.; Yuan, J.; Chen, Z.; Fan, J. Wheat straw-derived biochar amendment stimulated N2O emissions from rice paddy soils by regulating the amoA genes of ammonia-oxidizing bacteria. Soil Biol. Biochem. 2017, 113, 89–98. [Google Scholar] [CrossRef]
- Feng, Y.Z.; Xu, Y.P.; Yu, Y.C.; Xie, Z.B.; Lin, X.G. Mechanisms of biochar decreasing methane emission from Chinese paddy soils. Soil Biol. Biochem. 2012, 46, 80–88. [Google Scholar] [CrossRef]
- Qi, L.; Ma, Z.; Chang, S.X.; Zhou, P.; Gao, M. Biochar decreases methanogenic archaea abundance and methane emissions in a flooded paddy soil. Sci. Total Environ. 2020, 752, 141958. [Google Scholar] [CrossRef] [PubMed]
- Wu, Z.; Zhang, X.; Dong, Y.B.; Xu, X.; Xiong, Z.Q. Microbial explanations for field-aged biochar mitigating greenhouse gas emissions during a rice-growing season. Environ. Sci. Pollut. Res. 2018, 25, 31307–31317. [Google Scholar] [CrossRef] [PubMed]
- Kubaczynski, A.; Walkiewicz, A.; Pytlak, A.; Galazka, A.; Brzezinska, M.; Grzadziel, J. Biochar dose determines methane uptake and methanotroph abundance in Haplic Luvisol. Sci. Total Environ. 2021, 806, 151259. [Google Scholar] [CrossRef] [PubMed]
- Wu, Y.Y.; Hou, P.F.; Guo, Z.; Sun, H.J.; Li, D.T.; Xue, L.H.; Feng, Y.F.; Yu, S.; Yang, L.Z.; Xing, B.S. Raw material of water-washed hydrochar was critical for the mitigation of GHGI in infertile paddy soil: A column experiment. Biochar 2021, 3, 381–390. [Google Scholar] [CrossRef]
- Brassard, P.; Godbout, S.; Raghavan, V. Soil biochar amendment as a climate change mitigation tool: Key parameters and mechanisms involved. J. Environ. Manag. 2016, 181, 484–497. [Google Scholar] [CrossRef]
- Lu, W.W.; Zhang, H.L. Response of biochar induced carbon mineralization priming effects to additional nitrogen in a sandy loam soil. Appl. Soil Ecol. 2015, 96, 165–171. [Google Scholar] [CrossRef]
- Bao, S.D. Soil and Agro-Chemical Analysis, 3rd ed.; China Agricultural Press: Beijing, China, 2008; pp. 30–176. [Google Scholar]
- Zwieten, L.V.; Kimber, S.; Morris, S.; Downie, A.; Berger, E.; Rust, J.; Scheer, C. Influence of biochars on flux of N2O and CO2 from Ferrosol. Soil Res. 2010, 48, 1043–1046. [Google Scholar] [CrossRef]
- Aylward, G.H.; Finlay, T.J.V. SI Chemical Data; John Wiley and Sons: Hong Kong, China, 1974. [Google Scholar]
- Beetz, S.; Liebersbach, H.; Glatzel, S.; Jurasinski, G.; Buczko, U.; Hoeper, H. Effects of land use intensity on the full greenhouse gas balance in an Atlantic peat bog. Bio. Geosci. 2013, 10, 1067–1082. [Google Scholar] [CrossRef]
- Lu, W.W.; Ding, W.X.; Zhang, J.H.; Li, Y.; Luo, J.F.; Bolan, N.; Xie, Z.B. Biochar suppressed the decomposition of organic carbon in a cultivated sandy loam soil: A negative priming effect. Soil Biol. Biochem. 2014, 76, 12–21. [Google Scholar] [CrossRef]
- Pataki, D.E.; Ehleringer, J.R.; Flanagan, L.B.; Yakir, D.; Bowling, D.R.; Still, C.J.; Buchmann, N.; Kaplan, J.O.; Berry, J.A. The application and interpretation of Keeling plots in terrestrial carbon cycle research. Glob. Biogeochem. Cycles 2003, 17, 1022. [Google Scholar] [CrossRef]
- Stocker, T.F.; Qin, D.; Plattner, G.-K.; Tignor, M.; Allen, S.; Boschung, J.; Nauels, A.; Xia, Y.; Bex, V.; Midgley, P. Climate Change 2013: The Physical Science Basis: Working Group I Contribution to the Fifth Assessment Report of the Intergovernmental Panel on Climate Change; Cambridge University Press: Cambridge, UK; New York, NY, USA, 2014. [Google Scholar]
- Gan, W.J.; He, Y.; Zhang, X.F.; Zhang, S.T.; Lin, Y.S. Effects and Mechanisms of Straw Biochar on Remediation Contaminated Soil in Electroplating Factory. J. Ecol. Rural Environ. 2012, 28, 305–309. [Google Scholar]
- Jones, D.L.; Murphy, D.V.; Khalid, M.; Ahmad, W.; Edwards-Jones, G.; Deluca, T.H. Short-term biochar-induced increase in soil CO2 release is both biotically and abiotically mediated. Soil Biol. Biochem. 2011, 43, 1723–1731. [Google Scholar] [CrossRef]
- Jien, S.H.; Wang, C.S. Effects of biochar on soil properties and erosion potential in a highly weathered soil. Catena 2013, 110, 225–233. [Google Scholar] [CrossRef]
- Kharel, G.; Sacko, O.; Feng, X.; Morris, J.R.; Phillips, C.L.; Trippe, K.; Kumar, S.; Lee, J.W. Biochar Surface Oxygenation by Ozonization for Super High Cation Exchange Capacity. ACS Sustain. Chem. Eng. 2019, 7, 16410–16418. [Google Scholar] [CrossRef]
- Maestrini, B.; Nannipieri, P.; Abiven, S. A meta-analysis on pyrogenic organic matter induced priming effect. GCB Bioenergy 2015, 7, 577–590. [Google Scholar] [CrossRef]
- Murtaza, G.; Ahmed, Z.; Usman, M.; Tariq, W.; Ullah, Z.; Shareef, M.; Iqbal, H.; Waqas, M.; Tariq, A.; Wu, Y.F.; et al. Biochar induced modifications in soil properties and its impacts on crop growth and production. J. Plant Nutr. 2021, 44, 1677–1691. [Google Scholar] [CrossRef]
- Janssen, B.H. Nitrogen mineralization in relation to C:N ratio and decomposability of organic materials. Plant Soil 1996, 181, 39–45. [Google Scholar] [CrossRef]
- Nishio, T.; Komada, M.; Arao, T.; Kanamori, T. Simultaneous determination of transformation rates of nitrate in soil. Jpn. Agric. Res. Q. 2001, 35, 11–17. [Google Scholar] [CrossRef][Green Version]
- Wang, J.; Xiong, Z.; Kuzyakov, Y. Biochar stability in soil: Meta-analysis of decomposition and priming effects. GCB Bioenergy 2016, 8, 512–523. [Google Scholar] [CrossRef]
- Kerre, B.; Hernandez-Soriano, M.C.; Smolders, E. Partitioning of carbon sources among functional pools to investigate short-term priming effects of biochar in soil: A 13C study. Sci. Total Environ. 2016, 547, 30–38. [Google Scholar] [CrossRef]
- Zheng, T.; Zhang, J.; Tang, C.; Liao, K.; Guo, L. Positive and negative priming effects in an Ultisol in relation to aggregate size class and biochar level. Soil Tillage Res. 2021, 208, 104874. [Google Scholar] [CrossRef]
- Dong, W.; Walkiewicz, A.; Bieganowski, A.; Oenema, O.; Nosalewicz, M.; He, C.; Zhang, Y.; Hu, C. Biochar promotes the reduction of N2O to N2 and concurrently suppresses the production of N2O in calcareous soil. Geoderma 2020, 362, 114091. [Google Scholar] [CrossRef]
- Shi, Y.; Liu, X.; Zhang, Q.; Li, Y. Contrasting effects of biochar and organic fertilizer-amendment on community compositions of nitrifiers and denitrifiers in a wheat-maize rotation system. Appl. Soil Ecol. 2022, 171, 104320. [Google Scholar] [CrossRef]
- Xu, X.; Yuan, X.; Zhang, Q.; Wei, Q.; Liu, X.; Deng, W.; Wang, J. Biochar derived from spent mushroom substrate reduced N2O emissions with lower water content but increased CH4 emissions under flooded condition from fertilized soils in Camellia oleifera plantations. Chemosphere 2021, 287, 132110. [Google Scholar] [CrossRef]
- Liao, X.; Muller, C.; Jansen-Willems, A.; Luo, J.F.; Lindsey, S.; Liu, D.Y.; Chen, Z.M.; Niu, Y.H.; Ding, W.X. Field-aged biochar decreased N2O emissions by reducing autotrophic nitrification in a sandy loam soil. Biol. Fertil. Soils 2021, 57, 471–483. [Google Scholar] [CrossRef]
- Jeffery, S.; Verheijen, F.G.A.; Kammann, C.; Abalos, D. Biochar effects on methane emissions from soils: A meta-analysis. Soil Biol. Biochem. 2016, 101, 251–258. [Google Scholar] [CrossRef]
- Sadasivam, B.Y.; Reddy, K.R. Adsorption and transport of methane in landfill cover soil amended with waste-wood biochars. J. Environ. Manag. 2015, 158, 11–23. [Google Scholar] [CrossRef]
- Zhang, G.B.; Zhang, W.X.; Yu, H.Y.; Ma, J.; Xu, H.; Yagi, K. Fraction of CH4 oxidized in paddy field measured by stable carbon isotopes. Plant Soil 2015, 389, 349–359. [Google Scholar] [CrossRef]
- Cui, Y.; Li, N.; Chen, L. Carbon neutrality and mitigating contribution of terrestrial carbon sink on anthropogenic climate warming in China, the United States, Russia and Canada. J. Geogr. Sci. 2021, 31, 925–937. [Google Scholar] [CrossRef]
- Li, N.; Cui, Y.P.; Fu, Y.M.; Liu, X.Y.; Run, Y.D.; Li, M.D.; Chen, L.Y.; Xia, H.M.; Lu, H.L. Contribution of anthropogenic CO2 in China to global radiative forcing and its offset by the ecosystem during 2000–2015. Ann. N. Y. Acad. Sci. 2021, 1448, 56–66. [Google Scholar] [CrossRef]
- Gross, C.D.; Bork, E.W.; Carlyle, C.N.; Chang, S.X. Biochar and its manure-based feedstock have divergent effects on soil organic carbon and greenhouse gas emissions in croplands. Sci. Total Environ. 2022, 806, 151337. [Google Scholar] [CrossRef] [PubMed]




| pH | CEC cmol kg−1 | SOC g kg−1 | TN g kg−1 | NO3−-N mg kg−1 | NH4+-N mg kg−1 | δ13C ‰ | |
|---|---|---|---|---|---|---|---|
| Soil | 7.19 | 10.9 | 14.59 | 0.69 | 24.67 | 0.30 | −24.4 |
| Biochar | 8.81 | 13.25 | 601.42 | 21.39 | - | - | −14.4 |
Disclaimer/Publisher’s Note: The statements, opinions and data contained in all publications are solely those of the individual author(s) and contributor(s) and not of MDPI and/or the editor(s). MDPI and/or the editor(s) disclaim responsibility for any injury to people or property resulting from any ideas, methods, instructions or products referred to in the content. |
© 2023 by the authors. Licensee MDPI, Basel, Switzerland. This article is an open access article distributed under the terms and conditions of the Creative Commons Attribution (CC BY) license (https://creativecommons.org/licenses/by/4.0/).
Share and Cite
Zhou, Y.; Li, D.; Li, Z.; Guo, S.; Chen, Z.; Wu, L.; Zhao, Y. Greenhouse Gas Emissions from Soils Amended with Cornstalk Biochar at Different Addition Ratios. Int. J. Environ. Res. Public Health 2023, 20, 927. https://doi.org/10.3390/ijerph20020927
Zhou Y, Li D, Li Z, Guo S, Chen Z, Wu L, Zhao Y. Greenhouse Gas Emissions from Soils Amended with Cornstalk Biochar at Different Addition Ratios. International Journal of Environmental Research and Public Health. 2023; 20(2):927. https://doi.org/10.3390/ijerph20020927
Chicago/Turabian StyleZhou, Yongchun, Danyang Li, Zhenglong Li, Sibo Guo, Zhimin Chen, Liulin Wu, and Yan Zhao. 2023. "Greenhouse Gas Emissions from Soils Amended with Cornstalk Biochar at Different Addition Ratios" International Journal of Environmental Research and Public Health 20, no. 2: 927. https://doi.org/10.3390/ijerph20020927
APA StyleZhou, Y., Li, D., Li, Z., Guo, S., Chen, Z., Wu, L., & Zhao, Y. (2023). Greenhouse Gas Emissions from Soils Amended with Cornstalk Biochar at Different Addition Ratios. International Journal of Environmental Research and Public Health, 20(2), 927. https://doi.org/10.3390/ijerph20020927
