Air Pollution and Aeroallergens as Possible Triggers in Preterm Birth Delivery
Abstract
1. Introduction
2. Materials and Methods
2.1. Data Collection Area
2.2. Study Population
- Maternal age at delivery;
- Gestational age (weeks of amenorrhea);
- Apgar 1/5;
- Sex;
- Twins;
- Mother’s country of origin.
2.3. Meteorological Data
2.4. Chemical Air Pollution Data
2.5. Aeroallergen Data
2.6. Statistical Analysis
- -
- ƒ: log link function
- -
- λt: count of daily PTB at day t
- -
- α: intercept constant
- -
- β: estimated parameters vector
- -
- Xi: matrix of k independent variables (exposure and adjustment variables)
- -
- NS(Zt): natural spline smoothing function of calendar day Z
- (a)
- Day of the week (from Monday to Sunday);
- (b)
- Holidays, we considered main holidays in our zone, i.e., Christmas and Easter, ±3 days around them, other holidays, and other days. This resulted in a 4-level variable that was used in the model.
- (c)
- Summer population decrease, in our specific zone, population is known to decrease during summer holidays and this variable was intended to adjust for this effect, resulting in a categorical variable with factors considering such dates, i.e., from Saturday before Mid-August to the next Sunday (for a total amount of 16 days per year), from 16 July to the end of August (removing the aforementioned period), and all other days [28];
- (d)
- Daily average daily temperature (°C);
- (e)
- Daily average humidity (%)—relative;
- (f)
- Daily precipitations (mm)—cumulative.
3. Results
3.1. Population Enrolled
- Higher twins prevalence in PTB (preterm 42.2% vs. term 1.87%, p < 0.01);
- Lower Apgar 1/5 scores in PTB (preterm Apgar 1 score 7.6 ± 2.1 vs. term 8.8 ± 0.9, p < 0.01; preterm Apgar 5 score 8.2 ± 1.5 vs. term 8.9 ± 0.6, p < 0.01);
- Higher maternal age in PTB (preterm 34.1 ± 5.5 vs. term 33.3 ± 5.4, p < 0.01).
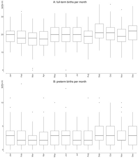
3.2. Temporal Distribution of Births
3.3. Environmental Pollutants and Allergens
3.4. Correlations between Birth and Environmental Data
3.4.1. Preterm
- (1)
- An increase of 10 μg/m3 of PM2.5 is associated with a significant 1.023 (RR 95% C.I. 1.003–1.043, p < 0.05) increased risk of PTB after 4 days.
- (2)
- An increase of 10 μg/m3 of O3 is associated with a significant 1.025 (RR 95% C.I. 1.001–1.048, p < 0.05) increased risk of PTB after 7 days.
- (3)
- An increase of 10 grains/m3 of aeroallergens is associated with an increased risk of PTB from 2 to 7 days after exposure:
- 1.006 (RR 95% C.I. 1.002–1.012, p < 0.05) after 2 days;
- 1.009 (RR 95% C.I. 1.002–1.014, p < 0.01) after 3 days;
- 1.01 (RR 95% C.I. 1.004–1.016, p < 0.01) after 4 days;
- 1.007 (RR 95% C.I. 1.001–1.013, p < 0.04) after 5 days;
- 1.007 (RR 95% C.I. 1.0008–1.03, p < 0.05) after 7 days.
3.4.2. Term
4. Discussion
5. Conclusions
Supplementary Materials
Author Contributions
Funding
Institutional Review Board Statement
Informed Consent Statement
Data Availability Statement
Acknowledgments
Conflicts of Interest
References
- Blencowe, H.; Cousens, S.; Chou, D.; Oestergaard, M.; Say, L.; Moller, A.-B.; Kinney, M.; Lawn, J.; the Born Too Soon Preterm Birth Action Group. Born Too Soon: The global epidemiology of 15 million preterm births. Reprod. Health 2013, 10 (Suppl. S1), S2. [Google Scholar] [CrossRef]
- Martin, J.A.; Osterman, M.J.K. Describing the Increase in Preterm Births in the United States, 2014–2016; NCHS Data Brief No. 312; U.S. Department of Health & Human Services: Washington, DC, USA, 2018; pp. 1–8.
- Macdorman, M.F.; Mathews, T.J. Recent Trends in Infant Mortality in the United States; NCHS Data Brief No. 9; U.S. Department Of Health & Human Services: Washington, DC, USA, 2008; pp. 1–8.
- Raju, T.N.; Pemberton, V.L.; Saigal, S.; Blaisdell, C.J.; Moxey-Mims, M.; Buist, S. Long-Term Healthcare Outcomes of Preterm Birth: An Executive Summary of a Conference Sponsored by the National Institutes of Health. J. Pediatr. 2016, 181, 309–318.e1. [Google Scholar] [CrossRef]
- Cresi, F.; Cocchi, E.; Maggiora, E.; Pirra, A.; Logrippo, F.; Ariotti, M.C.; Peila, C.; Bertino, E.; Coscia, A. Pre-discharge Cardiorespiratory Monitoring in Preterm Infants. the CORE Study. Front. Pediatr. 2020, 8, 234. [Google Scholar] [CrossRef] [PubMed]
- Squillacioti, G.; Bellisario, V.; Levra, S.; Piccioni, P.; Bono, R. Greenness Availability and Respiratory Health in a Population of Urbanised Children in North-Western Italy. Int. J. Environ. Res. Public Health 2019, 17, 108. [Google Scholar] [CrossRef] [PubMed]
- Hall, E.; Greenberg, J. Estimating community-level costs of preterm birth. Public Health 2016, 141, 222–228. [Google Scholar] [CrossRef]
- Goldenberg, R.L.; Culhane, J.F.; Iams, J.D.; Romero, R. Epidemiology and causes of preterm birth. Lancet 2008, 371, 75–84. [Google Scholar] [CrossRef] [PubMed]
- Alman, B.L.; Stingone, J.A.; Yazdy, M.; Botto, L.D.; Desrosiers, T.A.; Pruitt, S.; Herring, A.H.; Langlois, P.H.; Nembhard, W.N.; Shaw, G.M.; et al. Associations between PM2.5 and risk of preterm birth among liveborn infants. Ann. Epidemiol. 2019, 39, 46–53.e2. [Google Scholar] [CrossRef]
- Klepac, P.; Locatelli, I.; Korošec, S.; Künzli, N.; Kukec, A. Ambient air pollution and pregnancy outcomes: A comprehensive review and identification of environmental public health challenges. Environ. Res. 2018, 167, 144–159. [Google Scholar] [CrossRef]
- Mendola, P.; Nobles, C.; Williams, A.; Sherman, S.; Kanner, J.; Seeni, I.; Grantz, K. Air Pollution and Preterm Birth: Do Air Pollution Changes over Time Influence Risk in Consecutive Pregnancies among Low-Risk Women? Int. J. Environ. Res. Public Health 2019, 16, 3365. [Google Scholar] [CrossRef]
- Rappazzo, K.M.; Daniels, J.L.; Messer, L.C.; Poole, C.; Lobdell, D. Exposure to Fine Particulate Matter during Pregnancy and Risk of Preterm Birth among Women in New Jersey, Ohio, and Pennsylvania, 2000–2005. Environ. Health Perspect. 2014, 122, 992–997. [Google Scholar] [CrossRef]
- Liu, Y.; Xu, J.; Chen, D.; Sun, P.; Ma, X. The association between air pollution and preterm birth and low birth weight in Guangdong, China. BMC Public Health 2019, 19, 3. [Google Scholar] [CrossRef] [PubMed]
- Shi, L.; Shi, L.; Wu, X.; Wu, X.; Yazdi, M.D.; Yazdi, M.D.; Braun, D.; Braun, D.; Abu Awad, Y.; Abu Awad, Y.; et al. Long-term effects of PM2·5 on neurological disorders in the American Medicare population: A longitudinal cohort study. Lancet Planet. Health 2020, 4, e557–e565. [Google Scholar] [CrossRef]
- Taguchi, A.; Yamashita, A.; Kawana, K.; Nagamatsu, T.; Furuya, H.; Inoue, E.; Osuga, Y.; Fujii, T. Recent Progress in Therapeutics for Inflammation-Associated Preterm Birth: A Review. Reprod. Sci. 2015, 24, 7–18. [Google Scholar] [CrossRef]
- Faro, J.; Romero, R.; Schwenkel, G.; Garcia-Flores, V.; Arenas-Hernandez, M.; Leng, Y.; Xu, Y.; Miller, D.; Hassan, S.S.; Gomez-Lopez, N. Intra-amniotic inflammation induces preterm birth by activating the NLRP3 inflammasome. Biol. Reprod. 2018, 100, 1290–1305. [Google Scholar] [CrossRef]
- Rider, C.F.; Carlsten, C. Air pollution and DNA methylation: Effects of exposure in humans. Clin. Epigenet. 2019, 11, 131. [Google Scholar] [CrossRef]
- Pope, C.A.; Bhatnagar, A.; McCracken, J.P.; Abplanalp, W.; Conklin, D.J.; O’Toole, T. Exposure to Fine Particulate Air Pollution Is Associated With Endothelial Injury and Systemic Inflammation. Circ. Res. 2016, 119, 1204–1214. [Google Scholar] [CrossRef]
- Yue, W.; Tong, L.; Liu, X.; Weng, X.; Chen, X.; Wang, D.; Dudley, S.C.; Weir, E.K.; Ding, W.; Lu, Z.; et al. Short term PM2.5 exposure caused a robust lung inflammation, vascular remodeling, and exacerbated transition from left ventricular failure to right ventricular hypertrophy. Redox Biol. 2019, 22, 101161. [Google Scholar] [CrossRef]
- Boyle, A.K.; Rinaldi, S.F.; Rossi, A.G.; Saunders, P.T.K.; Norman, J.E. Repurposing simvastatin as a therapy for preterm labor: Evidence from preclinical models. FASEB J. 2018, 33, 2743–2758. [Google Scholar] [CrossRef] [PubMed]
- Belousova, V.S.; Svitich, O.A.; Timokhina, E.V.; Strizhakov, A.N.; Bogomazova, I.M. Polymorphism of the IL-1β, TNF, IL-1RA and IL-4 Cytokine Genes Significantly Increases the Risk of Preterm Birth. Biochemistry 2019, 84, 1040–1046. [Google Scholar] [CrossRef] [PubMed]
- Aung, M.T.; Yu, Y.; Ferguson, K.K.; Cantonwine, D.E.; Zeng, L.; McElrath, T.F.; Pennathur, S.; Mukherjee, B.; Meeker, J.D. Prediction and associations of preterm birth and its subtypes with eicosanoid enzymatic pathways and inflammatory markers. Sci. Rep. 2019, 9, 17049. [Google Scholar] [CrossRef] [PubMed]
- Munoz-Perez, V.M.; Ortiz, M.I.; Carino-Cortes, R.; Fernandez-Martinez, E.; Rocha-Zavaleta, L.; Bautista-Avila, M. Preterm Birth, Inflammation and Infection: New Alternative Strategies for their Prevention. Curr. Pharm. Biotechnol. 2019, 20, 354–365. [Google Scholar] [CrossRef]
- Bono, R.; Romanazzi, V.; Bellisario, V.; Tassinari, R.; Trucco, G.; Urbino, A.; Cassardo, C.; Siniscalco, C.; Marchetti, P.; Marcon, A. Air pollution, aeroallergens and admissions to pediatric emergency room for respiratory reasons in Turin, northwestern Italy. BMC Public Health 2016, 16, 722. [Google Scholar] [CrossRef] [PubMed]
- Samoli, E.; Peng, R.; Ramsay, T.; Pipikou, M.; Touloumi, G.; Dominici, F.; Burnett, R.; Cohen, A.; Krewski, D.; Samet, J.; et al. Acute Effects of Ambient Particulate Matter on Mortality in Europe and North America: Results from the APHENA Study. Environ. Health Perspect. 2008, 116, 1480–1486. [Google Scholar] [CrossRef]
- Peng, R.D.; Dominici, F.; Louis, T.A. Model choice in time series studies of air pollution and mortality. J. R. Stat. Soc. Ser. A Stat. Soc. 2006, 169, 179–203. [Google Scholar] [CrossRef]
- Stafoggia, M.; Colais, P.; Serinelli, M.; Gruppo collaborativo EpiAir. Methods of statistical analysis to evaluate the short term effects of air pollution in the EpiAir Project. Epidemiol. Prev. 2009, 33, 53–63. [Google Scholar]
- Marchetti, P.; Pesce, G.; Villani, S.; Antonicelli, L.; Ariano, R.; Attena, F.; Bono, R.; Bellisario, V.; Fois, A.; Gibelli, N.; et al. Pollen concentrations and prevalence of asthma and allergic rhinitis in Italy: Evidence from the GEIRD study. Sci. Total. Environ. 2017, 584–585, 1093–1099. [Google Scholar] [CrossRef] [PubMed]
- Squillacioti, G.; Bellisario, V.; Grignani, E.; Mengozzi, G.; Bardaglio, G.; Dalmasso, P.; Bono, R. The Asti Study: The Induction of Oxidative Stress in A Population of Children According to Their Body Composition and Passive Tobacco Smoking Exposure. Int. J. Environ. Res. Public Health 2019, 16, 490. [Google Scholar] [CrossRef]
- Bellisario, V.; Comoretto, R.I.; Berchialla, P.; Koumantakis, E.; Squillacioti, G.; Borraccino, A.; Bono, R.; Lemma, P.; Charrier, L.; Dalmasso, P. The Association between Greenness and Urbanization Level with Weight Status among Adolescents: New Evidence from the HBSC 2018 Italian Survey. Int. J. Environ. Res. Public Health 2022, 19, 5897. [Google Scholar] [CrossRef]
- Squillacioti, G.; Carsin, A.-E.; Bellisario, V.; Bono, R.; Garcia-Aymerich, J. Multisite greenness exposure and oxidative stress in children. The potential mediating role of physical activity. Environ. Res. 2022, 209, 112857. [Google Scholar] [CrossRef]
- Sustainability and Recognition—Piedmont Office Realty Trust. Available online: https://www.piedmontreit.com/about/sustainability-and-recognition/ (accessed on 7 April 2021).






| All Cohort (n = 21,509) | Term (n = 18,345) | Preterm (n = 3164) | ||||||||||
|---|---|---|---|---|---|---|---|---|---|---|---|---|
| Median (IQR) | IQR/Median | Min–Max | Mean ± SD | Median (IQR) | IQR/Median | Min–Max | Mean ± SD | Median (IQR) | IQR/Median | Min–Max | Mean ± SD | |
| Maternal age at delivery (weeks) | 33.7 (7.4) | 0.2 | 14.8–48.6 | 33.4 ± 5.4 | 33.6 (7.4) | 0.2 | 14.8–48.6 | 33.3 ± 5.4 | 34.3 (7.7) | 0.2 | 15.6–46.9 | 34.1 ± 5.5 |
| Gestational age (weeks + days) | 39 + 1 (2 + 1) | 0.05 | 21 + 5–49 + 0 | 38.7 ± 2.3 | 39 + 3 (1.7) | 0.04 | 37 + 0–49 + 0 | 39.4 ± 1.5 | 35 + 1 (3 + 0) | 0.09 | 21 + 5–36 + 6 | 34.3 ± 2.7 |
| Apgar 1 | 9 (0) | 0 | 0–10 | 8.6 ± 1.2 | 9 (0) | 0 | 0–10 | 8.8 ± 0.9 | 8 (2) | 0.2 | 0–10 | 7.6 ± 2.1 |
| Apgar 5 | 9 (0) | 0 | 0–10 | 8.9 ± 0.8 | 9 (0) | 0 | 0–10 | 8.9 ± 0.6 | 9 (1) | 0.11 | 0–10 | 8.2 ± 1.5 |
| Sex prevalence (%) | Male 11,066 (51.4%) | Male 9423 (51.4%) | Male 1640 (51.8%) | |||||||||
| Female 10,443 (48.6%) | Female 8919 (48.6%) | Female 1524 (48.2%) | ||||||||||
| Twins prevalence (%) | Single 20,005 (93.1%) | Single 17,999 (98.3%) | Single 1977 (62.5%) | |||||||||
| Double 1438 (6.6%) | Double 317 (1.7%) | Double 1121 (35.4%) | ||||||||||
| >2: 66 (0.3%) | >2: 66 (2.1%) | |||||||||||
| Maternal country of origin prevalence (%) | Italy 16,032 (74.5%) | Italy 13,649 (74.4%) | Italy 2381 (75.2%) | |||||||||
| Romania 1769 (8.2%) | Romania 1512 (8.2%) | Romania 257 (8.1%) | ||||||||||
| Morocco 768 (3.6%) | Morocco 651 (3.6%) | Morocco 116 (3.7%) | ||||||||||
| Nigeria 440 (2%) | Nigeria 368 (2%) | Nigeria 72 (2.3%) | ||||||||||
| Albany 292 (1.4%) | Albany 252 (1.4%) | Albany 40 (1.3%) | ||||||||||
| Peru 251 (1.2%) | Peru 214 (1.2%) | Peru 37 (1.2%) | ||||||||||
| Egypt 244 (1.1%) | Egypt 218 (1.2%) | Egypt 26 (0.8%) | ||||||||||
| China 152 (0.7%) | China 136 (0.7%) | China 17 (0.5%) | ||||||||||
| Other 1561 (7.3%) | Other 1342 (7.3%) | Other 221 (6.9%) | ||||||||||
| Available Data (Days) | Median (IQR) | Interquartile Ratio | Min–Max | Mean ± SD | |
|---|---|---|---|---|---|
| PM2.5 (μg/m3) | 996 | 17.0 (24.0) | 1.4 | 5.0–163.0 | 25.6 ± 21.4 |
| NO2 (μg/m3) | 1081 | 49.9 (29.6) | 0.6 | 10.9–129.8 | 54.1 ± 21.0 |
| O3 (μg/m3) | 1083 | 19.9 (51.1) | 2.6 | 1.7–262.3 | 41.1 ± 46.6 |
| Aeroallergens (grains/m3) | 888 | 11.8 (42.1) | 28.1 | 0.0–563.0 | 36.0 ± 61.4 |
Disclaimer/Publisher’s Note: The statements, opinions and data contained in all publications are solely those of the individual author(s) and contributor(s) and not of MDPI and/or the editor(s). MDPI and/or the editor(s) disclaim responsibility for any injury to people or property resulting from any ideas, methods, instructions or products referred to in the content. |
© 2023 by the authors. Licensee MDPI, Basel, Switzerland. This article is an open access article distributed under the terms and conditions of the Creative Commons Attribution (CC BY) license (https://creativecommons.org/licenses/by/4.0/).
Share and Cite
Cocchi, E.; Bellisario, V.; Cresi, F.; Plazzotta, C.; Cassardo, C.; Siniscalco, C.; Peruzzi, L.; Bono, R. Air Pollution and Aeroallergens as Possible Triggers in Preterm Birth Delivery. Int. J. Environ. Res. Public Health 2023, 20, 1610. https://doi.org/10.3390/ijerph20021610
Cocchi E, Bellisario V, Cresi F, Plazzotta C, Cassardo C, Siniscalco C, Peruzzi L, Bono R. Air Pollution and Aeroallergens as Possible Triggers in Preterm Birth Delivery. International Journal of Environmental Research and Public Health. 2023; 20(2):1610. https://doi.org/10.3390/ijerph20021610
Chicago/Turabian StyleCocchi, Enrico, Valeria Bellisario, Francesco Cresi, Claudio Plazzotta, Claudio Cassardo, Consolata Siniscalco, Licia Peruzzi, and Roberto Bono. 2023. "Air Pollution and Aeroallergens as Possible Triggers in Preterm Birth Delivery" International Journal of Environmental Research and Public Health 20, no. 2: 1610. https://doi.org/10.3390/ijerph20021610
APA StyleCocchi, E., Bellisario, V., Cresi, F., Plazzotta, C., Cassardo, C., Siniscalco, C., Peruzzi, L., & Bono, R. (2023). Air Pollution and Aeroallergens as Possible Triggers in Preterm Birth Delivery. International Journal of Environmental Research and Public Health, 20(2), 1610. https://doi.org/10.3390/ijerph20021610

