Mixture Effects of Polychlorinated Biphenyls (PCBs) and Three Organochlorine Pesticides on Cognitive Function in Mohawk Adults at Akwesasne
Abstract
1. Introduction
2. Materials and Methods
2.1. Study Design and Population
2.2. DSST Module
2.3. Assessment of PCB and Organochlorine Pesticides Concentrations
2.4. Statistical Analyses: Analyses of Exposures to PCBs or Organochlorine Pesticides on Cognitive Function
2.5. Statistical Analyses: Mixture Analysis of PCBs and Organochlorine Pesticides on Cognitive Function
3. Results
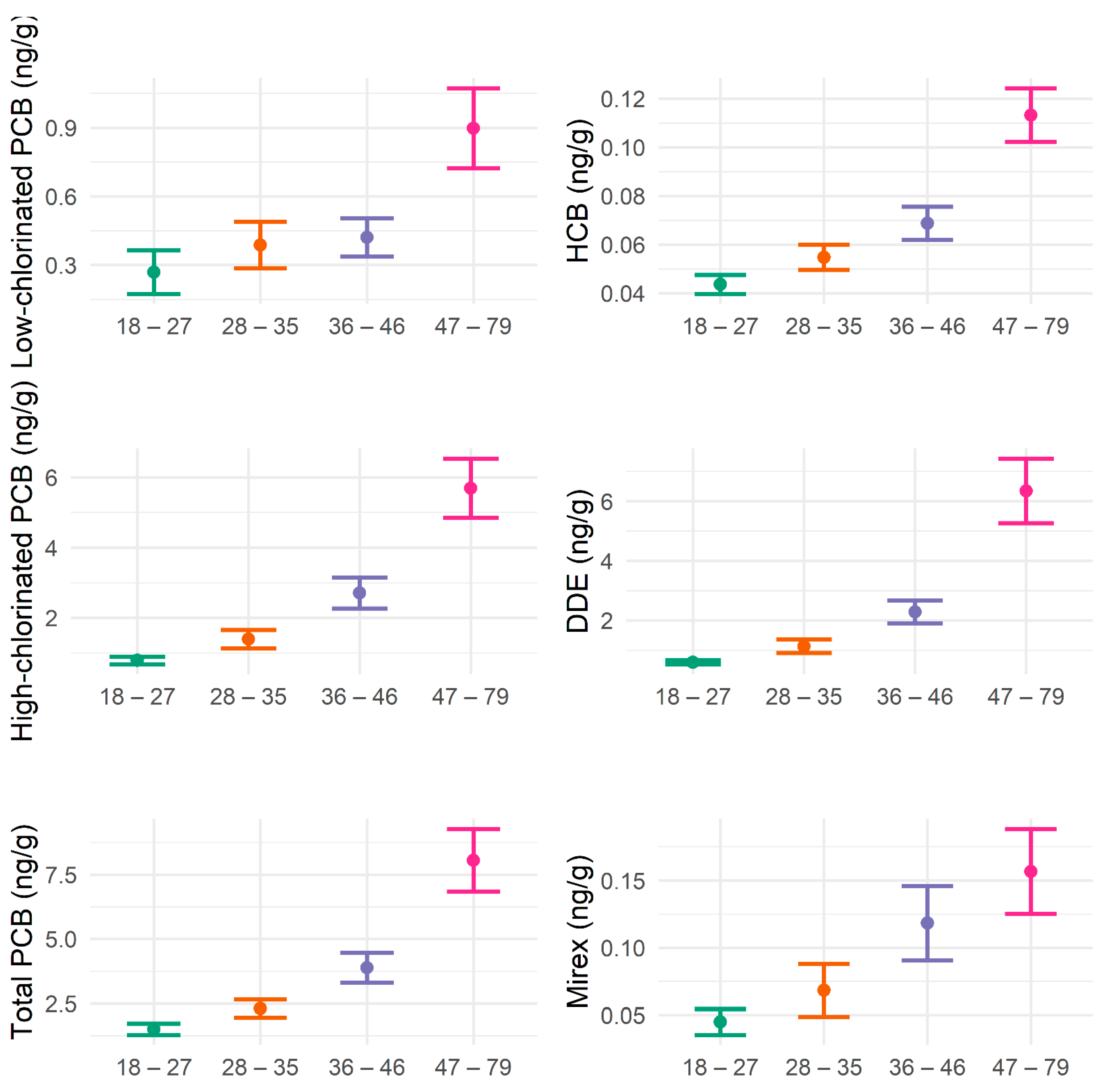
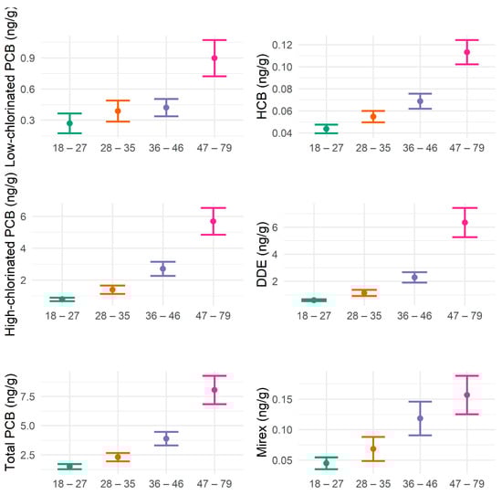
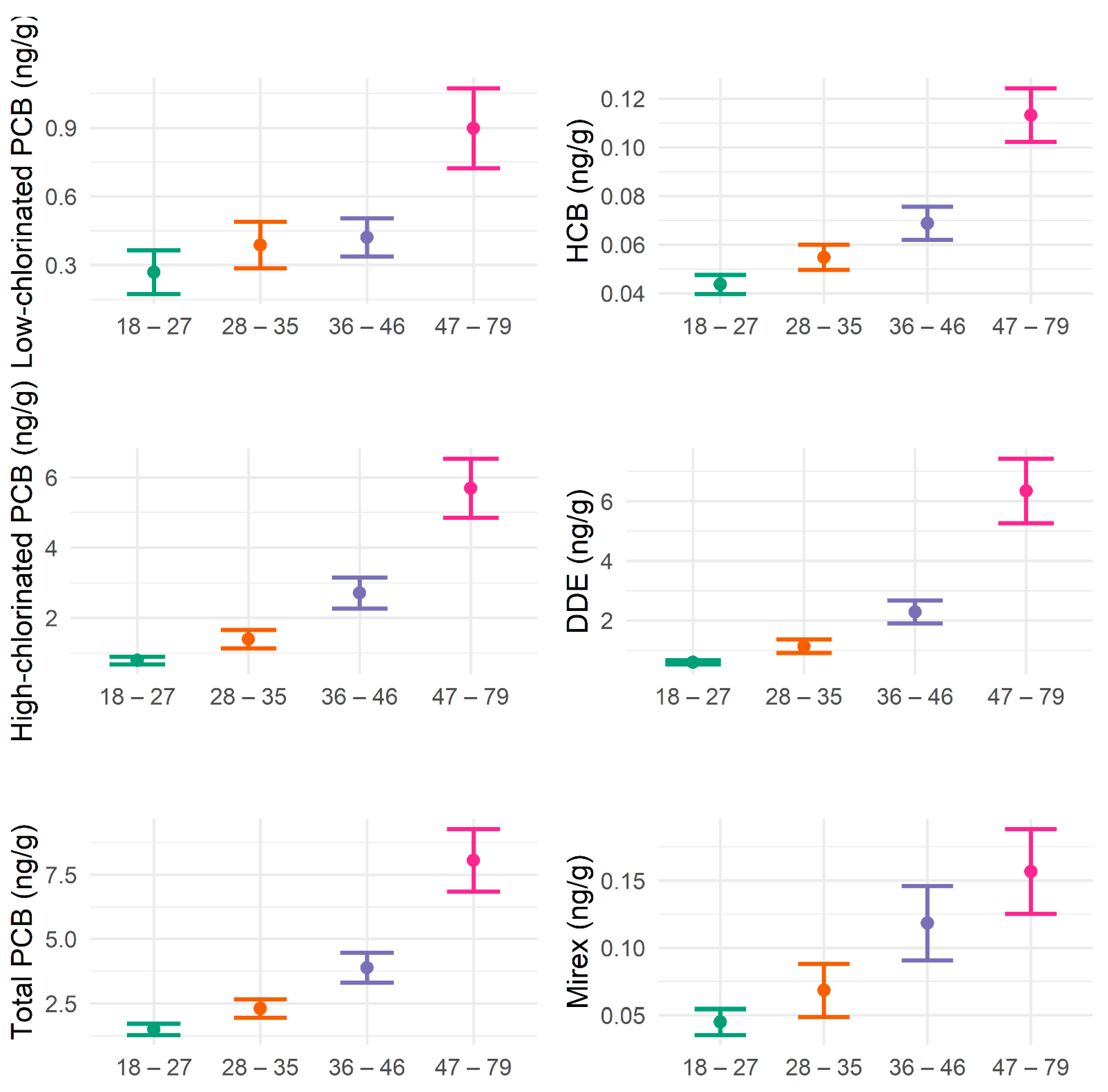
3.1. Overview of the Study Population
3.2. Associations between Single PCB Congener Groups or Organochlorine Pesticide Exposures and Cognition
3.3. Mixture Effects of PCBs and Organochlorine Pesticides on Cognition
4. Discussion
4.1. Study Population
4.2. Exposure Route for PCBs, HCB, DDE, and Mirex
4.3. Evidence That PCB Exposure Results in Reduction in Cognitive Function
4.4. Do Organochlorine Pesticides Contribute to Cognitive Decline?
4.5. What Is the Relative Contribution of Low- vs. High-Chlorinated PCBs to the Decrement in Cognitive Function?
4.6. Study Strengths and Limitations
5. Conclusions
Author Contributions
Funding
Institutional Review Board Statement
Informed Consent Statement
Data Availability Statement
Acknowledgments
Conflicts of Interest
References
- Agency for Toxic Substances and Disease Registry. Toxicological Profile for Polychlorinated Biphenyls (PCBs). 2000. Available online: https://www.atsdr.cdc.gov/toxprofiles/tp17.pdf (accessed on 15 October 2021).
- Agency for Toxic Substances and Disease Registry. Toxicological Profile for Mirex and Chlordecone. 2020. Available online: https://www.atsdr.cdc.gov/ToxProfiles/tp66.pdf (accessed on 15 October 2021).
- Agency for Toxic Substances and Disease Registry. Toxicological Profile for Hexachlorobenzen. 2015. Available online: https://www.atsdr.cdc.gov/ToxProfiles/tp90.pdf (accessed on 15 October 2021).
- Marek, R.F.; Thorne, P.S.; DeWall, J.; Hornbuckle, K.C. Variability in PCB and OH-PCB Serum Levels in Children and Their Mothers in Urban and Rural U.S. Communities. Environ. Sci. Technol. 2014, 48, 13459–13467. [Google Scholar] [CrossRef] [PubMed]
- Xue, J.; Liu, S.V.; Zartarian, V.G.; Geller, A.M.; Schultz, B.D. Analysis of NHANES measured blood PCBs in the general US population and application of SHEDS model to identify key exposure factors. J. Expo. Sci. Environ. Epidemiol. 2014, 24, 615–621. [Google Scholar] [CrossRef] [PubMed]
- Haase, R.F.; McCaffrey, R.J.; Santiago-Rivera, A.L.; Morse, G.S.; Tarbell, A. Evidence of an age-related threshold effect of polychlorinated biphenyls (PCBs) on neuropsychological functioning in a Native American population. Environ. Res. 2009, 109, 73–85. [Google Scholar] [CrossRef] [PubMed]
- United States Environmental Protection Agency (USEPA). Superfund Site: Reynolds Metals Co Massena, NY. 2022. Available online: https://cumulis.epa.gov/supercpad/SiteProfiles/index.cfm?fuseaction=second.cleanup&id=0201465 (accessed on 5 April 2022).
- New York State Department of Health (NYSDOH). Fish: Health Advice on Eating Fish You Catch. 2011. Available online: https://www.health.ny.gov/environmental/outdoors/fish/health_advisories/ (accessed on 5 April 2022).
- Aminov, Z.; Carpenter, D.O. Serum concentrations of persistent organic pollutants and the metabolic syndrome in Akwesasne Mohawks, a Native American community. Environ. Pollut. 2020, 260, 114004. [Google Scholar] [CrossRef]
- Carpenter, D.O. Exposure to and health effects of volatile PCBs. Rev. Environ. Health 2015, 30, 81–92. [Google Scholar] [CrossRef]
- Aminov, Z.; Haase, R.; Carpenter, D.O. Diabetes in Native Americans: Elevated risk as a result of exposure to polychlorinated biphenyls (PCBs). Rev. Environ. Health 2016, 31, 115–119. [Google Scholar] [CrossRef]
- Gallo, M.V.; Ravenscroft, J.; Carpenter, D.O.; Schell, L.M.; Akwesasne Task Force on the Environment. Persistent organic pollutants as predictors of increased FSH:LH ratio in naturally cycling, reproductive age women. Environ. Res. 2018, 164, 556–564. [Google Scholar] [CrossRef]
- Gallo, M.V.; Ravenscroft, J.; Carpenter, D.O.; Frye, C.; Akwesasne Task Force on the Environment; Cook, B.; Schell, L.M. Endocrine disrupting chemicals and ovulation: Is there a relationship? Environ. Res. 2016, 151, 410–418. [Google Scholar] [CrossRef]
- Newman, J.; Aucompaugh, A.G.; Schell, L.M.; Denham, M.; DeCaprio, A.P.; Gallo, M.V.; Ravenscroft, J.; Kao, C.C.; Hanover, M.R.; David, D.; et al. PCBs and cognitive functioning of Mohawk adolescents. Neurotoxicol. Teratol. 2006, 28, 439–445. [Google Scholar] [CrossRef]
- Newman, J.; Gallo, M.V.; Schell, L.M.; DeCaprio, A.P.; Denham, M.; Deane, G.D.; Akwesasne Task Force on the Environment. Analysis of PCB congeners related to cognitive functioning in adolescents. Neurotoxicology 2009, 30, 686–696. [Google Scholar] [CrossRef]
- Niehoff, N.M.; Keil, A.P.; O’Brien, K.M.; Jackson, B.P.; Karagas, M.R.; Weinberg, C.R.; White, A.J. Metals and trace elements in relation to body mass index in a prospective study of US women. Environ. Res. 2020, 184, 109396. [Google Scholar] [CrossRef] [PubMed]
- Oppenheimer, A.V.; Bellinger, D.C.; Coull, B.A.; Weisskopf, M.G.; Korrick, S.A. Prenatal Exposure to Chemical Mixtures and Cognitive Flexibility among Adolescents. Toxics 2021, 9, 329. [Google Scholar] [CrossRef] [PubMed]
- Schantz, S.L.; Eskenazi, B.; Buckley, J.P.; Braun, J.M.; Sprowles, J.N.; Bennett, D.H.; Cordero, J.; Frazier, J.A.; Lewis, J.; Hertz-Picciotto, I.; et al. A framework for assessing the impact of chemical exposures on neurodevelopment in ECHO: Opportunities and challenges. Environ. Res. 2020, 188, 109709. [Google Scholar] [CrossRef] [PubMed]
- Keil, A.P.; Buckley, J.P.; O’Brien, K.M.; Ferguson, K.K.; Zhao, S.; White, A.J. A Quantile-Based g-Computation Approach to Addressing the Effects of Exposure Mixtures. Environ. Health Perspect. 2020, 128, 47004. [Google Scholar] [CrossRef]
- Jaeger, J. Digit Symbol Substitution Test: The Case for Sensitivity Over Specificity in Neuropsychological Testing. J. Clin. Psychopharmacol. 2018, 38, 513–519. [Google Scholar] [CrossRef]
- Wechsler, D. Wechsler Adult Intelligence Scale-Revised; The Psychological Corporation: San Antonio, TX, USA, 1981. [Google Scholar]
- DeCaprio, A.P.; Tarbell, A.M.; Bott, A.; Wagemaker, D.L.; Williams, R.L.; O’Hehir, C.M. Routine analysis of 101 polychlorinated biphenyl congeners in human serum by parallel dual-column gas chromatography with electron capture detection. J. Anal. Toxicol. 2000, 24, 403–420. [Google Scholar] [CrossRef] [PubMed]
- DeCaprio, A.P.; Johnson, G.W.; Tarbell, A.M.; Carpenter, D.O.; Chiarenzelli, J.R.; Morse, G.S.; Santiago-Rivera, A.L.; Schymura, M.J.; Akwesasne Task Force on the Environment. Polychlorinated biphenyl (PCB) exposure assessment by multivariate statistical analysis of serum congener profiles in an adult Native American population. Environ. Res. 2005, 98, 284–302. [Google Scholar] [CrossRef]
- Grimm, F.A.; Hu, D.; Kania-Korwel, I.; Lehmler, H.J.; Ludewig, G.; Hornbuckle, K.C.; Duffel, M.W.; Bergman, A.; Robertson, L.W. Metabolism and metabolites of polychlorinated biphenyls. Crit. Rev. Toxicol. 2015, 45, 245–272. [Google Scholar] [CrossRef]
- Quinete, N.; Esser, A.; Kraus, T.; Schettgen, T. PCB 28 metabolites elimination kinetics in human plasma on a real case scenario: Study of hydroxylated polychlorinated biphenyl (OH-PCB) metabolites of PCB 28 in a highly exposed German Cohort. Toxicol. Lett. 2017, 276, 100–107. [Google Scholar] [CrossRef]
- Casey, A.; Bush, B.; Carpenter, D.O. PCBs in indoor air and human blood in Pittsfield, Massachusetts. Chemosphere 2022, 293, 133551. [Google Scholar] [CrossRef]
- Aminov, Z.; Haase, R.; Rej, R.; Schymura, M.J.; Santiago-Rivera, A.; Morse, G.; DeCaprio, A.; Carpenter, D.O.; Akwesasne Task Force on the Environment. Diabetes Prevalence in Relation to Serum Concentrations of Polychlorinated Biphenyl (PCB) Congener Groups and Three Chlorinated Pesticides in a Native American Population. Environ. Health Perspect. 2016, 124, 1376–1383. [Google Scholar] [CrossRef] [PubMed]
- Fitzgerald, E.F.; Hwang, S.A.; Langguth, K.; Cayo, M.; Yang, B.Z.; Bush, B.; Worswick, P.; Lauzon, T. Fish consumption and other environmental exposures and their associations with serum PCB concentrations among Mohawk women at Akwesasne. Environ. Res. 2004, 94, 160–170. [Google Scholar] [CrossRef] [PubMed]
- Sasaki, N.; Jones, E.L. Carpenter OD, Omega-3 polyunsaturated fatty acids from diet and fish consumption are positively associated with cognitive function even in the presence of heavy metal exposure. Environ. Res. 2022. under review. [Google Scholar]
- Carpenter, D.O. Polychlorinated Biphenyls (PCBs): Routes of Exposure and Effects on Human Health. Rev. Environ. Health 2006, 21, 1–24. [Google Scholar] [CrossRef] [PubMed]
- Schantz, S.L.; Gasior, D.M.; Polverejan, E.; McCaffrey, R.J.; Sweeney, A.M.; Humphrey, H.E.; Gardiner, J.C. Impairments of memory and learning in older adults exposed to polychlorinated biphenyls via consumption of Great Lakes fish. Environ. Health Perspect. 2001, 109, 605–611. [Google Scholar] [CrossRef] [PubMed]
- Lin, K.C.; Guo, N.W.; Tsai, P.C.; Yang, C.Y.; Guo, Y.L.L. Neurocognitive changes among elderly exposed to PCBs/PCDFs in Taiwan. Environ. Health Perspect. 2008, 116, 184–189. [Google Scholar] [CrossRef]
- Pessah, I.N.; Lein, P.J.; Seegal, R.F.; Sagiv, S.K. Neurotoxicity of polychlorinated biphenyls and related organohalogens. Acta Neuropathol. 2019, 138, 363–387. [Google Scholar] [CrossRef]
- Shain, W.; Bush, B.; Seegal, R. Neurotoxicity of polychlorinated biphenyls: Structure-activity relationship of individual congeners. Toxicol. Appl. Pharmacol. 1991, 111, 33–42. [Google Scholar] [CrossRef]
- Seegal, R.F.; Bush, B.; Shain, W. Lightly chlorinated ortho-substituted PCB congeners decrease dopamine in nonhuman primate brain and in tissue culture. Toxicol. Appl. Pharmacol. 1990, 106, 136–144. [Google Scholar] [CrossRef]
- Tan, Y.; Chen, C.H.; Lawrence, D.; Carpenter, D.O. Ortho-substituted PCBs kill cells by altering membrane structure. Toxicol. Sci. 2004, 80, 54–59. [Google Scholar] [CrossRef]
- Sanchez-Alonso, J.A.; Lopez-Aparicio, P.; Recio, M.N.; Perez-Albarsanz, M.A. Polychlorinated biphenyl mixtures (Aroclors) induce apoptosis via Bcl-2, Bax and caspase-3 proteins in neuronal cell cultures. Toxicol. Lett. 2004, 153, 311–326. [Google Scholar] [CrossRef] [PubMed]
- Niemi, W.D.; Audi, J.; Bush, B.; Carpenter, D.O. PCBs reduce long-term potentiation in the CA1 region of rat hippocampus. Exp. Neurol. 1998, 151, 26–34. [Google Scholar] [CrossRef] [PubMed]
- Carpenter, D.O.; Hussain, R.J.; Berger, D.F.; Lombardo, J.P.; Park, Y.Y. Electrophysiologic and Behavioral Effects of Perinatal and Acute Exposure of Rats to Lead and Polychlorinated Biphenyls. Environ. Health Perspect. 2002, 110, 377–386. [Google Scholar] [CrossRef] [PubMed]
- Ozcan, M.; Yilmaz, B.; King, W.M.; Carpenter, D.O. Hippocampal Long-Term Potentiation (LTP) is Reduced by a Coplanar PCB Congener. NeuroToxicology 2004, 25, 981–988. [Google Scholar] [CrossRef] [PubMed]
- Kodavanti, P.R.S.; Ward, T.R.; Derr-Yellin, E.C.; Mundy, W.R.; Casey, A.C.; Bush, B.; Tilson, H.A. Congener-specific distribution of polychlorinated biphenyls in brain regions, blood, liver, and fat of adult rats following repeated exposure to Aroclor 1254. Toxicol. Appl. Pharmacol. 1998, 153, 199–210. [Google Scholar] [CrossRef] [PubMed]
- Steenland, K.; Mora, A.M.; Barr, D.B.; Juncos, J.; Roman, N.; Wesseling, C. Organochlorine chemicals and neurodegeneration among elderly subjects in Costa Rica. Environ. Res. 2014, 134, 205–209. [Google Scholar] [CrossRef] [PubMed]
- Kim, K.S.; Lee, Y.M.; Lee, H.W.; Jacobs, D.R.; Lee, D.H. Associations between organochlorine pesticides and cognition in US elders: National Health and Nutrition Examination Survey 1999–2002. Environ. Int. 2015, 75, 87–92. [Google Scholar] [CrossRef]
- Medehouenou, T.C.M.; Ayotte, P.; Carmichael, P.H.; Kroger, E.; Verreault, R.; Lindsay, J.; Dewailly, E.; Tyas, S.L.; Bureau, A.; Laurin, D. Exposure to polychlorinated biphenyls and organochlorine pesticides and risk of dementia, Alzheimer’s disease and cognitive decline in an older population: A prospective analysis from the Canadian Study of Health and Aging. Environ. Health 2019, 18, 57. [Google Scholar] [CrossRef]
- Bowers, W.J.; Nakai, J.S.; Chu, I.; Wade, M.G.; Moir, D.; Yagminas, A.; Gill, S.; Pulido, O.; Meuller, R. Early developmental neurotoxicity of a PCB/organochlorine mixture in rodents after gestational and lactational exposure. Toxicol. Sci. 2004, 77, 51–62. [Google Scholar] [CrossRef]
- Padhi, B.K.; Pelletier, G.; Williams, A.; Berndt-Weis, L.; Yauk, C.; Bowers, W.J.; Chu, I. Gene expression profiling in rat cerebellum following in utero and lactational exposure to mixtures of methylmercury, polychlorinated biphenyls and organochlorine pesticides. Toxicol. Lett. 2008, 176, 93–103. [Google Scholar] [CrossRef]
- Rubin, D.B. Multiple Imputation for Nonresponse in Surveys; John Wiley & Sons: Hoboken, NJ, USA, 2004; Volume 81. [Google Scholar]



| Variables | n (301) | DSST Scores (95% CI) | p-Value 2 |
|---|---|---|---|
| Age categories, years old | |||
| 18–27 | 71 | 63.41 (60.68, 66.08) | 0.97 |
| 28–35 | 71 | 64.41 (61.27, 67.54) | ref 1 |
| 36–46 | 81 | 55.58 (52.75, 58.41) | <0.01 3 |
| 47–79 | 78 | 47.42 (44.06, 50.79) | <0.01 3 |
| Sex | |||
| Male | 102 | 50.52 (47.86, 53.18) | ref 1 |
| Female | 199 | 60.91 (58.93, 62.89) | <0.01 2 |
| Education | |||
| ≤High school graduate | 134 | 51.03 (48.59, 53.47) | ref 1 |
| ≥Some college | 167 | 62.49 (60.48, 64.50) | <0.01 2 |
| Smoking per day | |||
| Nonsmoker | 101 | 58.57 (55.48, 61.66) | ref |
| <1 pack | 193 | 57.17 (55.15, 59.20) | 0.37 2 |
| 1–2 pack | 7 | 46.29 (33.69, 58.88) | 0.09 2 |
| Local fish consumption | |||
| Yes | 130 | 55.90 (53.31, 58.49) | 0.13 |
| No | 171 | 58.52 (56.31, 60.73) | ref |
| Minimum | 5th Percentile | 25th Percentile | Median | Mean | 75th Percentile | 95th Percentile | 99th Percentile | Maximum | |
|---|---|---|---|---|---|---|---|---|---|
| Age group 18–27 (n = 71) | |||||||||
| Low-chlorinated PCBs, ng/g | 0.02 | 0.03 | 0.08 | 0.13 | 0.27 | 0.26 | 1.11 | 1.83 | 1.86 |
| High-chlorinated PCBs, ng/g | 0.19 | 0.27 | 0.46 | 0.70 | 0.79 | 0.95 | 1.65 | 2.31 | 2.32 |
| Total PCBs, ng/g | 0.35 | 0.43 | 0.92 | 1.22 | 1.50 | 1.84 | 3.43 | 4.26 | 5.04 |
| HCB, ng/g | 0.02 | 0.02 | 0.03 | 0.04 | 0.04 | 0.05 | 0.07 | 0.08 | 0.09 |
| DDE, ng/g | 0.11 | 0.27 | 0.39 | 0.56 | 0.60 | 0.76 | 1.15 | 1.35 | 1.43 |
| Mirex, ng/g | 0.02 | 0.02 | 0.02 | 0.02 | 0.05 | 0.07 | 0.11 | 0.19 | 0.20 |
| DSST | 36.00 | 45.50 | 57.50 | 63.00 | 63.38 | 70.50 | 81.50 | 85.60 | 87.00 |
| Age group 28–35 (n = 71) | |||||||||
| Low-chlorinated PCBs, ng/g | 0.02 | 0.05 | 0.11 | 0.22 | 0.39 | 0.43 | 1.18 | 1.72 | 2.51 |
| High-chlorinated PCBs, ng/g | 0.31 | 0.49 | 0.77 | 1.14 | 1.39 | 1.59 | 3.75 | 5.68 | 6.41 |
| Total PCBs, ng/g | 0.49 | 0.85 | 1.26 | 2.03 | 2.30 | 2.57 | 5.23 | 7.49 | 8.06 |
| HCB, ng/g | 0.03 | 0.03 | 0.04 | 0.05 | 0.05 | 0.06 | 0.10 | 0.14 | 0.16 |
| DDE, ng/g | 0.32 | 0.49 | 0.65 | 0.87 | 1.13 | 1.21 | 2.67 | 4.66 | 6.74 |
| Mirex, ng/g | 0.02 | 0.02 | 0.02 | 0.04 | 0.07 | 0.07 | 0.19 | 0.44 | 0.45 |
| DSST | 26.00 | 47.00 | 57.00 | 63.00 | 64.41 | 73.00 | 87.00 | 89.20 | 92.00 |
| Age group 36–46 (n = 81) | |||||||||
| Low-chlorinated PCBs, ng/g | 0.02 | 0.05 | 0.16 | 0.30 | 0.42 | 0.60 | 1.12 | 1.39 | 2.16 |
| High-chlorinated PCBs, ng/g | 0.55 | 0.74 | 1.40 | 1.87 | 2.71 | 3.59 | 6.39 | 8.96 | 10.45 |
| Total PCBs, ng/g | 0.76 | 1.22 | 1.90 | 3.11 | 3.88 | 4.89 | 9.19 | 11.55 | 12.33 |
| HCB, ng/g | 0.02 | 0.03 | 0.05 | 0.06 | 0.07 | 0.08 | 0.13 | 0.17 | 0.19 |
| DDE, ng/g | 0.08 | 0.74 | 1.14 | 1.62 | 2.29 | 2.88 | 5.37 | 8.28 | 10.76 |
| Mirex, ng/g | 0.02 | 0.02 | 0.03 | 0.07 | 0.12 | 0.17 | 0.36 | 0.53 | 0.55 |
| DSST | 29.0 | 37.0 | 45.0 | 55.0 | 55.58 | 66.0 | 73.0 | 81.0 | 89.0 |
| Age group 47–79 (n = 78) | |||||||||
| Low-chlorinated PCBs, ng/g | 0.12 | 0.17 | 0.40 | 0.58 | 0.90 | 1.17 | 2.81 | 3.26 | 3.59 |
| High-chlorinated PCBs, ng/g | 0.98 | 2.36 | 3.27 | 4.91 | 5.69 | 6.71 | 12.06 | 20.61 | 20.94 |
| Total PCBs, ng/g | 1.67 | 2.96 | 4.73 | 6.62 | 8.06 | 9.37 | 18.76 | 28.68 | 28.77 |
| HCB, ng/g | 0.03 | 0.05 | 0.08 | 0.11 | 0.11 | 0.13 | 0.22 | 0.24 | 0.26 |
| DDE, ng/g | 0.64 | 1.40 | 2.80 | 4.81 | 6.35 | 8.37 | 16.05 | 21.76 | 22.51 |
| Mirex, ng/g | 0.02 | 0.03 | 0.07 | 0.11 | 0.16 | 0.19 | 0.45 | 0.65 | 0.68 |
| DSST | 9.00 | 23.25 | 39.25 | 45.50 | 47.42 | 59.00 | 68.00 | 83.38 | 88.00 |
| Full Model Adjusted for Fish Consumption 1 (n = 291) | Full Model 2 (n = 301) | |||
|---|---|---|---|---|
| β (95% CI) | p-Value | β (95% CI) | p-Value | |
| Low-chlorinated PCBs, ng/g 3 | −0.39 (−1.94, 1.16) | 0.62 | −0.33 (−1.86, 1.20) | 0.67 |
| High-chlorinated PCBs, ng/g 3 | −2.03 (−4.26, 0.21) | 0.13 | −2.00 (−4.19, 0.20) | 0.07 |
| Total PCBs, ng/g 3 | −1.54 (−3.55, 0.48) | 0.11 | −1.52 (−3.50, 0.47) | 0.13 |
| HCB, ng/g 3 | −1.90 (−3.71, −0.08) | 0.04 | −1.78 (−3.55, −0.01) | 0.05 |
| DDE, ng/g 3 | −2.46 (−4.64, −0.28) | 0.03 | −2.35 (−4.50, −0.20) | 0.03 |
| Mirex, ng/g 3 | 0.13 (−1.48, 1.75) | 0.87 | 0.10 (−1.48, 1.69) | 0.90 |
| All Age Model (n = 301) | Model Age 18–27 (n = 71) | Model Age 28–35 (n = 71) | Model Age 36–46 (n = 81) | Model Age 47–79 (n = 78) | ||||||
|---|---|---|---|---|---|---|---|---|---|---|
| β (95% CI) | p-Value | β (95% CI) | p-Value | β (95% CI) | p-Value | β (95% CI) | p-Value | β (95% CI) | p-Value | |
| Model 1 1 | ||||||||||
| Mixture | −1.06 (−3.61, 1.48) | 0.41 | 1.45 (−6.85, 9.74) | 0.73 | 1.33 (−3.01, 5.67) | 0.55 | 0.18 (−2.71, 3.07) | 0.90 | −4.01 (−7.55, −0.47) | 0.03 |
| Model 2 2 | ||||||||||
| Mixture | −1.03 (−3.55, 1.49) | 0.42 | 0.09 (−7.61, 7.79) | 0.98 | 0.18 (−3.92, 4.28) | 0.93 | 0.16 (−2.66, 2.98) | 0.91 | −3.72 (−7.19, −0.25) | 0.04 |
Disclaimer/Publisher’s Note: The statements, opinions and data contained in all publications are solely those of the individual author(s) and contributor(s) and not of MDPI and/or the editor(s). MDPI and/or the editor(s) disclaim responsibility for any injury to people or property resulting from any ideas, methods, instructions or products referred to in the content. |
© 2023 by the authors. Licensee MDPI, Basel, Switzerland. This article is an open access article distributed under the terms and conditions of the Creative Commons Attribution (CC BY) license (https://creativecommons.org/licenses/by/4.0/).
Share and Cite
Sasaki, N.; Jones, L.E.; Morse, G.S.; Carpenter, D.O.; on behalf of the Akwesasne Task Force on the Environment. Mixture Effects of Polychlorinated Biphenyls (PCBs) and Three Organochlorine Pesticides on Cognitive Function in Mohawk Adults at Akwesasne. Int. J. Environ. Res. Public Health 2023, 20, 1148. https://doi.org/10.3390/ijerph20021148
Sasaki N, Jones LE, Morse GS, Carpenter DO, on behalf of the Akwesasne Task Force on the Environment. Mixture Effects of Polychlorinated Biphenyls (PCBs) and Three Organochlorine Pesticides on Cognitive Function in Mohawk Adults at Akwesasne. International Journal of Environmental Research and Public Health. 2023; 20(2):1148. https://doi.org/10.3390/ijerph20021148
Chicago/Turabian StyleSasaki, Nozomi, Laura E. Jones, Gayle S. Morse, David O. Carpenter, and on behalf of the Akwesasne Task Force on the Environment. 2023. "Mixture Effects of Polychlorinated Biphenyls (PCBs) and Three Organochlorine Pesticides on Cognitive Function in Mohawk Adults at Akwesasne" International Journal of Environmental Research and Public Health 20, no. 2: 1148. https://doi.org/10.3390/ijerph20021148
APA StyleSasaki, N., Jones, L. E., Morse, G. S., Carpenter, D. O., & on behalf of the Akwesasne Task Force on the Environment. (2023). Mixture Effects of Polychlorinated Biphenyls (PCBs) and Three Organochlorine Pesticides on Cognitive Function in Mohawk Adults at Akwesasne. International Journal of Environmental Research and Public Health, 20(2), 1148. https://doi.org/10.3390/ijerph20021148

