Distribution of Minor and Major Metallic Elements in Residential Indoor Dust: A Case Study in Latvia
Abstract
1. Introduction
- Which are the minor and major metallic elements in residential indoor dust in Latvia?
- Which are the concentration ranges of toxic elements adhered to the investigated household dust from dwellings located in urban, suburban and rural areas in Latvia?
- Can the results from two non-standardized dust-sampling approaches—dust vacuuming and manual dust sampling with a brush and plastic spatula—be comparable?
- Which trace elements detected in residential indoor dust could be of greater concern for human health?
2. Materials and Methods
2.1. Study Area
2.2. Sampling Strategy
2.3. Chemical Analysis of Indoor Dust
2.4. Statistical Analysis
3. Results
3.1. Concentrations of Major and Minor Elements in Residential Dust
3.2. Different Sampling Approaches
- Settled dust collection with wet wipes [42];
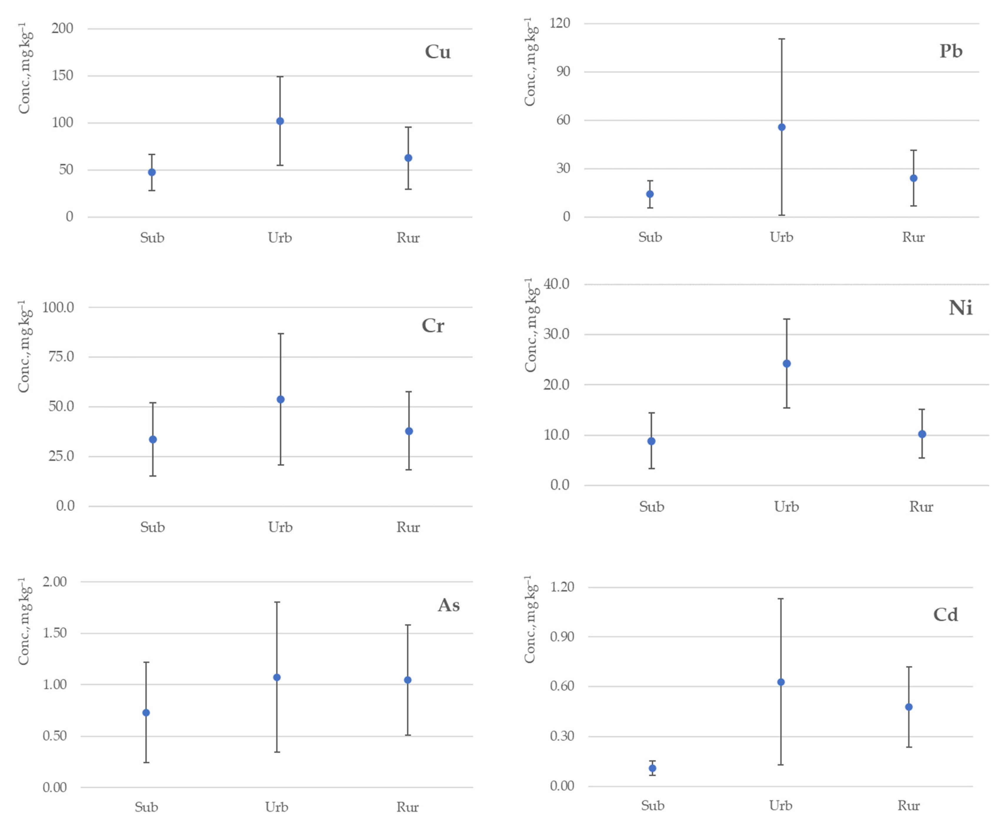
3.3. Distribution of Elements Depending on the Sampling Site and Zones within the Dwellings
3.4. Principal Component Analysis
4. Discussion
5. Conclusions
- High amounts (104–103 mg kg−1) for Ca > Na > Mg > K > Fe > Al > Zn;
- Moderate amounts (102–101 mg kg−1) for Ba > Cu > Mn > B > Pb > Cr > Sr > Ni > Bi;
- Lower concentrations (100–10−1 mg kg−1) for Ce > Rb > La > V > Li > Co > As > Cd > Se.
Supplementary Materials
Author Contributions
Funding
Institutional Review Board Statement
Informed Consent Statement
Data Availability Statement
Acknowledgments
Conflicts of Interest
References
- Klepeis, N.E.; Nelson, W.C.; Ott, W.R.; Robinson, J.P.; Tsang, A.M.; Switzer, P.; Behar, J.V.; Hern, S.C.; Engelmann, W.H. The National Human Activity Pattern Survey (NHAPS): A resource for assessing exposure to environmental pollutants. J. Expo. Sci. Environ. Epidemiol. 2001, 11, 231–252. [Google Scholar] [CrossRef] [PubMed]
- Schweizer, C.; Edwards, R.D.; Bayer-Oglesby, L.; Gauderman, W.J.; Ilacqua, V.; Jantunen, M.J.; Lai, H.K.; Nieuwenhuijsen, M.; Künzli, N. Indoor time–microenvironment–activity patterns in seven regions of Europe. J. Expo. Sci. Environ. Epidemiol. 2007, 17, 170–181. [Google Scholar] [CrossRef] [PubMed]
- World Health Organization (WHO). Burden of Disease from Household Air Pollution for 2016. 2018. Available online: https://cdn.who.int/media/docs/default-source/air-quality-database/aqd-2018/hap_bod_methods_may2018.pdf?sfvrsn=d277d739_32018/hap_bod_methods_may2018.pdf?sfvrsn=d277d739_3 (accessed on 28 July 2022).
- Lucialli, P.; Marinello, S.; Pollini, E.; Scaringi, M.; Sajani, S.Z.; Marchesi, S.; Cori, L. Indoor and outdoor concentrations of benzene, toluene, ethylbenzene and xylene in some Italian schools evaluation of areas with different air pollution. Atmos. Pollut. Res. 2020, 11, 1998–2010. [Google Scholar] [CrossRef]
- Latif, M.T.; Yong, S.M.; Saad, A.; Mohamad, N.; Baharudin, N.H.; Mokhtar, M.B.; Tahir, N.M. Composition of heavy metals in indoor dust and their possible exposure: A case study of preschool children in Malaysia. Air Qual. Atmos. Health 2014, 7, 181–193. [Google Scholar] [CrossRef]
- Doyi, I.N.Y.; Isley, C.F.; Soltani, N.S.; Taylor, M.P. Human exposure and risk associated with trace element concentrations in indoor dust from Australian homes. Environ. Int. 2019, 133, 105125. [Google Scholar] [CrossRef] [PubMed]
- Jeleńska, M.; Górka-Kostrubiec, B.; Werner, T.; Kądziałko-Hofmokl, M.; Szczepaniak-Wnuk, I.; Gonet, T.; Szwarczewski, P. Evaluation of indoor/outdoor urban air pollution by magnetic, chemical and microscopic studies. Atmos. Pollut. Res. 2017, 8, 754–766. [Google Scholar] [CrossRef]
- Zararsız, A.; Öztürk, F. Estimation of Health Risks Associated with Household Dust Contamination in Bolu (Turkey). Düzce Univ. J. Sci. Technol. 2020, 8, 2245–2265. [Google Scholar] [CrossRef]
- Sabzevari, E.; Sobhanardakani, S. Analysis of Selected Heavy Metals in Indoor Dust in Khorramabad City, Iran: A Case Study. Jundishapur J. Health Sci. 2018, 10, e67382. [Google Scholar] [CrossRef]
- Turner, A. Oral bioaccessibility of trace metals in household dust: A review. Environ. Geochem. Health 2011, 33, 331–341. [Google Scholar] [CrossRef]
- Paustenbach, D.J.; Finley, B.L.; Long, T.F. The critical role of house dust in understanding the hazards posed by contaminated soils. Int. J. Toxicol. 1997, 16, 339–362. [Google Scholar] [CrossRef]
- Kulshrestha, A.; Massey, D.D.; Masih, J.; Taneja, A. Source Characterization of Trace Elements in Indoor Environments at Urban, Rural and Roadside Sites in a Semi Arid Region of India. Aerosol Air Qual. Res. 2014, 14, 1738–1751. [Google Scholar] [CrossRef]
- Khoder, M.I.; Hassan, S.K.; El-Abssawy, A.A. An evaluation of loading rate of dust, Pb, Cd, and Ni and metals mass concentration in the settled surface dust in domestic houses and factors affecting them. Indoor Built Environ. 2010, 19, 391–399. [Google Scholar] [CrossRef]
- Tan, S.Y.; Praveena, S.M.; Abidin, E.Z.; Cheema, M.S. A review of heavy metals in indoor dust and its human health-risk implications. Rev. Environ. Health 2016, 31, 447–456. [Google Scholar] [CrossRef]
- Salwa, K.M.H. Metal concentrations and distribution in the household, stairs and entryway dust of some Egyptian homes. Atmos. Environ. 2012, 54, 207–215. [Google Scholar] [CrossRef]
- Isley, C.F.; Fry, K.F.; Liu, X.; Filippelli, G.M.; Entwistle, J.A.; Martin, A.P.; Kah, M.; Meza-Figueroa, D.; Shukle, J.T.; Jabeen, K.; et al. International Analysis of Sources and Human Health Risk Associated with Trace Metal Contaminants in Residential Indoor Dust. Environ. Sci. Technol. 2022, 56, 1053–1068. [Google Scholar] [CrossRef]
- Ibañez-Del Rivero, C.; Fry, K.L.; Gillings, M.M.; Barlow, C.F.; Aelion, C.M.; Taylor, M.P. Sources, pathways and concentrations of potentially toxic trace metals in home environments. Environ. Res. 2023, 220, 115173. [Google Scholar] [CrossRef]
- Tchounwou, P.B.; Yedjou, C.G.; Patlolla, A.K.; Sutton, D.J. Heavy metal toxicity and the environment. EXS 2012, 101, 133–164. [Google Scholar] [CrossRef]
- Engwa, G.; Ferdinand, P.; Nwalo, N.; Unachkwu, M. Mechanism and health effects of heavy metal toxicity in humans. In Poisoning in the Modern World—New Tricks for an Old Dog? Ozgur, K., Banu, A., Eds.; Intech Open: London, UK, 2019; pp. 77–99. [Google Scholar] [CrossRef]
- Alghamdi, M.A.; Hassan, S.K.; Alzahrani, N.A.; Almehmadi, F.M.; Khoder, M.I. Risk assessment and implications of schoolchildren exposure to classroom heavy metals particles in Jeddah, Saudi Arabia. Int. J. Environ. Res. Public Health 2019, 16, 5017. [Google Scholar] [CrossRef]
- Zhang, H.; Mao, Z.; Huang, K.; Wang, X.; Cheng, L.; Zeng, L.; Zhou, Y.; Jing, T. Multiple exposure pathways and health risk assessment of heavy metal(loid)s for children living in fourth-tier cities in Hubei Province. Environ. Int. 2019, 129, 517–524. [Google Scholar] [CrossRef]
- Dockery, D.; Pope, A. Epidemiology of acute health effects: Summary of time series studies. In Particles in Our Air—Concentration and Health Effects; Wilson, R., Spengler, J.D., Eds.; Harvard University Press: Cambridge, MA, USA, 1996; pp. 123–147. [Google Scholar]
- Kurt-Karakus, P.B. Determination of heavy metals in indoor dust from Istanbul, Turkey: Estimation of the health risk. Environ. Int. 2012, 50, 47–55. [Google Scholar] [CrossRef]
- Tong, S.T.Y.; Lam, K.C. Home sweet home? A case study of household dust contamination in Hong Kong. Sci. Total Environ. 2000, 256, 115–123. [Google Scholar] [CrossRef] [PubMed]
- Riga Municipality Portal. Available online: https://www.riga.lv/en/article/welcome-new-portal-riga-municipality (accessed on 28 September 2022).
- Riga Air Quality Index. Available online: http://gmsd.riga.lv/main.php?i_lang=2 (accessed on 28 September 2022).
- Google Maps. Latvia. Riga. Available online: https://www.google.com/maps/ (accessed on 29 September 2022).
- Doyi, I.N.Y.; Strezov, V.; Isley, C.F.; Yazdanparast, T.; Taylor, M.P. The relevance of particle size distribution and bioaccessibility on human health risk assessment for trace elements measured in indoor dust. Sci. Total Environ. 2020, 733, 137931. [Google Scholar] [CrossRef] [PubMed]
- Darus, F.M.; Nasir, R.A.; Sumari, S.M.; Ismail, Z.S.; Omar, N.A. Heavy Metals Composition of Indoor Dust in Nursery Schools Building. Procedia Soc. Behav. Sci. 2012, 38, 169–175. [Google Scholar] [CrossRef]
- Dingle, J.H.; Kohl, L.; Khan, N.; Meng, M.; Shi, Y.A.; Pedroza-Brambila, M.; Chow, C.; Chan, A.W.H. Sources and composition of metals in indoor house dust in a mid-size Canadian city. Environ. Pollut. 2021, 289, 117867. [Google Scholar] [CrossRef]
- Rashed, M.N. Total and extractable heavy metals in indoor, outdoor and street dust from Aswan city, Egypt. Clean 2008, 36, 850–857. [Google Scholar] [CrossRef]
- Lisiewicz, M.; Heimburger, R.; Golimowski, J. Granulometry and the content of toxic and potentially toxic elements in vacuum-cleaner collected, indoor dusts of the city of Warsaw. Sci. Total Environ. 2000, 263, 69–78. [Google Scholar] [CrossRef]
- Chattopadhyay, G.; Lin, K.C.P.; Feitz, A.J. Household dust metal levels in the Sydney metropolitan area. Environ. Res. 2003, 93, 301–307. [Google Scholar] [CrossRef]
- Rasmussen, P.E.; Levesque, C.; Chénier, M.; Gardner, H.D.; Jones-Otazo, H.; Petrovic, S. Canadian House Dust Study: Population-based concentrations, loads and loading rates of arsenic, cadmium, chromium, copper, nickel, lead, and zinc inside urban homes. Sci. Total Environ. 2013, 443, 520–529. [Google Scholar] [CrossRef]
- Turner, A.; Simmonds, L. Elemental concentrations and metal bioaccessibility in UK household dust. Sci. Total Environ. 2006, 371, 74–81. [Google Scholar] [CrossRef]
- Glorennec, P.; Lucas, J.P.; Mandin, C.; le Bot, B. French children’s exposure to metals via ingestion of indoor dust, outdoor playground dust and soil: Contamination data. Environ. Int. 2012, 45, 129–134. [Google Scholar] [CrossRef]
- Ashley, K.; Brisson, M.J.; White, K.T. Review of standards for surface and dermal sampling. J. ASTM Int. 2011, 1533, 3–16. [Google Scholar] [CrossRef]
- Al-Harbi, M.; Alhajri, I.; Whalen, J.K. Characteristics and health risk assessment of heavy metal contamination from dust collected on household HVAC air filters. Chemosphere 2021, 277, 130276. [Google Scholar] [CrossRef] [PubMed]
- Latif, M.T.; Othman, M.R.; Kim, C.L.; Murayadi, S.A.; Sahaimi, K.N.A. Composition of household dust in semi-urban areas in Malaysia. Indoor Built Environ. 2009, 18, 155–161. [Google Scholar] [CrossRef]
- Tashakor, M.; Behrooz, R.D.; Asvad, S.R.; Kaskaoutis, D.G. Tracing of Heavy Metals Embedded in Indoor Dust Particles from the Industrial City of Asaluyeh, South of Iran. Int. J. Environ. Res. Public Health 2022, 19, 7905. [Google Scholar] [CrossRef] [PubMed]
- Plumejeaud, S.; Reis, A.P.; Tassistro, V.; Patinha, C.; Noack, Y.; Orsière, T. Potentially harmful elements in house dust from Estarreja, Portugal: Characterization and genotoxicity of the bioaccessible fraction. Environ. Geochem. Health 2018, 40, 127–144. [Google Scholar] [CrossRef] [PubMed]
- Barrio-Parra, F.; de Miguel, E.; Lázaro-Navas, S.; Gómez, A.; Izquierdo, M. Indoor Dust Metal Loadings: A Human Health Risk Assessment. Expo. Health 2018, 10, 41–50. [Google Scholar] [CrossRef]
- Al Hejami, A.; Davis, M.; Prete, D.; Lu, J.; Wang, S. Heavy metals in indoor settled dusts in Toronto, Canada. Sci. Total Environ. 2020, 703, 134895. [Google Scholar] [CrossRef]
- Gemenetzis, P.; Moussas, P.; Arditsoglou, A.; Samara, C. Mass concentration and elemental composition of indoor PM2.5 and PM10 in University rooms in Thessaloniki, Northern Greece. Atmos. Environ. 2006, 40, 3195–3206. [Google Scholar] [CrossRef]
- Mohammed, G.; Karani, G.; Mitchell, D. Trace Elemental Composition in PM10 and PM2.5 Collected in Cardiff, Wales. Energy Procedia 2017, 111, 540–547. [Google Scholar] [CrossRef]
- Yu, P.; Han, Y.; Wang, M.; Zhu, Z.; Tong, Z.; Shao, X.; Peng, J.; Hamid, Y.; Yang, X.; Deng, Y.; et al. Heavy metal content and health risk assessment of atmospheric particles in China: A meta-analysis. Sci. Total Environ. 2023, 867, 161556. [Google Scholar] [CrossRef]
- Oliveira, M.; Slezakova, K.; Delerue-Matos, C.; Pereira, M.C.; Morais, S. Assessment of air quality in preschool environments (3–5 years old children) with emphasis on elemental composition of PM10 and PM2.5. Environ. Pollut. 2016, 214, 430–439. [Google Scholar] [CrossRef] [PubMed]
- Zwoździak, A.; Sówka, I.; Krupińska, B.; Zwoździak, J.; Nych, A. Infiltration or indoor sources as determinants of the elemental composition of particulate matter inside a school in Wrocław, Poland? Build. Environ. 2013, 66, 173–180. [Google Scholar] [CrossRef]
- Evagelopoulos, V.; Charisiou, N.D.; Zoras, S. Dataset of Polycyclic aromatic hydrocarbons and trace elements in PM2.5 and PM10 atmospheric particles from two locations in North-Western Greece. Data Brief. 2022, 42, 108266. [Google Scholar] [CrossRef]
- Bārdule, A. Micro-and Macro Element Flows in Short Rotation Hybrid Aspen (Populus tremuloides Michx. * Populus tremula L.) Plantation in Agricultural Land. Ph.D. Thesis, Latvian State Forest Research Institute “Silava”, University of Latvia, Riga, Latvia, 2019; p. 124. (In Latvian). [Google Scholar]
- Reis, A.; Cave, M.R.; Sousa, A.J.; Wragg, J.; Rangel, M.J.; Oliveira, A.R.; Patinha, C.; Rocha, F.; Orsiére, T.; Noack, Y. Lead and zinc concentrations in household dust and toenails of the residents (Estarreja, Portugal): A source-pathway-fate model. Environ. Sci. Processes Impacts 2018, 20, 1210–1224. [Google Scholar] [CrossRef]
- Chao, C.Y.H.; Tung, T.C.W.; Burnett, J. Influence of Different Indoor Activities on the Indoor Particulate Levels in Residential Buildings. Indoor Built Environ. 1998, 7, 110–121. [Google Scholar] [CrossRef]
- Ogilo, J.K.; Onditi, A.O.; Salim, A.M.; Yusuf, A.O. Assessment of Levels of Heavy Metals in Paints from Interior Walls and Indoor Dust from Residential Houses in Nairobi City County, Kenya. Chem. Sci. Int. J. 2017, 21, 37392. [Google Scholar] [CrossRef]
- Chu, H.; Liu, Y.; Xu, N.; Xu, J. Concentration, sources, influencing factors and hazards of heavy metals in indoor and outdoor dust: A review. Environ. Chem. Lett. 2022, 21, 1203–1230. [Google Scholar] [CrossRef]
- Gruppo di Chemiometria della Divisione di Chimica Analitica della Società Chimica Italiana (SCI). Chemometric Agile Tool (CAT). Available online: http://gruppochemiometria.it/index.php/software (accessed on 1 June 2022).
- Shi, T.; Wang, Y. Heavy metals in indoor dust: Spatial distribution, influencing factors, and potential health risks. Sci. Total Environ. 2021, 755, 142367. [Google Scholar] [CrossRef]
- Larsen, P.B.; Christensen, F.; Jensen, K.A.; Brinch, A.; Mikkelsen, S.H.; Exposure Assessment of Nanomaterials in Consumer Products. Environmental Project No. 1636. 2015. Available online: https://www2.mst.dk/Udgiv/publications/2015/01/978-87-93283-57-2.pdf (accessed on 9 September 2022).
- Olowoyo, J.O.; Mugivhisa, L.L.; Magoloi, Z.G. Composition of Trace Metals in Dust Samples Collected from Selected High Schools in Pretoria, South Africa. Appl. Environ. Soil Sci. 2016, 2016, 5829657. [Google Scholar] [CrossRef]
- Colt, J.S.; Gunier, R.B.; Metayer, C.; Nishioka, M.G.; Bell, E.M.; Reynolds, P.; Buffler, P.A.; Ward, M.H. Household vacuum cleaners vs. the high-volume surface sampler for collection of carpet dust samples in epidemiologic studies of children. Environ. Health 2008, 7, 6. [Google Scholar] [CrossRef]
- Vicente, E.D.; Vicente, A.M.; Evtyugina, M.; Calvo, A.I.; Oduber, F.; Blanco Alegre, C.; Castro, A.; Fraile, R.; Nunes, T.; Lucarelli, F.; et al. Impact of vacuum cleaning on indoor air quality. Build. Environ. 2020, 180, 107059. [Google Scholar] [CrossRef]
- Government of Latvia. Regulations Regarding Quality Standards for Soil and Ground. Republic of Latvia Cabinet Regulation No. 804 Adopted 25 October 2005; Government of Latvia: Riga, Latvia, 2005. Available online: https://likumi.lv/ta/en/en/id/120072 (accessed on 15 November 2022).





| Parameter | Data from Questionnaires (Number of Dwellings * or Samples in Urban (U), Suburban (S) and Rural (R) Sites) | |||||
|---|---|---|---|---|---|---|
| Sampling site | Urban 28 * | Suburban 8 * | Rural 10 * | |||
| Structure of the building | Bricks 19 * | Concrete 23 * | Wood 4 * | |||
| Age of building | <5 years 3 * | 6–10 years 5 * | >10 years 38 * | |||
| Type of heating | Central heating 33 * | Wood stove heating 8 * | Briquette or pellet stove heating 5 * | |||
| Type of room | Corridor 6 (U2; S2; R2) | Living room 33 (U16; R17) | Living room and kitchen 21 (S21) | Kitchen 10 (U6; R4) | Bedroom 45 (U24; S10; R11) | All rooms 5 (U5) |
| Floor cover | Hardwood 8 | Laminate 42 | Parquet 6 | Tile 16 | Other 48 | |
| Smoking | No 27 * | Yes 15 * | No information 4 * | |||
| Pets in home | No 29 * | Yes 17 * | ||||
| Cleaning frequency | Several times per week 5 * | Twice a week 7 * | Once a week 21 * | Once per two weeks 8 * | Once per month 3 * | Less often 2 * |
| Parameter | Setting | Parameter | Setting |
|---|---|---|---|
| RF power (W) | 1550 | Extraction 1 lens (V) | −5.0 |
| Sampling depth (mm) | 8.0 | Extraction 2 lens (V) | 7.0 |
| Plasma gas flow rate (L min−1) | 15.0 | Omega lens (V) 7.0 | −200 |
| Nebulizer gas flow rate (mL min−1) | 0.90 | Omega bias lens (V) | −110 |
| Makeup gas flow rate (mL min−1) | 0.0 | Octopole bias (V) | −3.0 |
| He cell gas flow (mL min−1) | 5.0 | Cell gas flow rate (% of full scale) | 20 |
| Arithmetic Mean | Min | Max | Median | Standard Deviation | CV, % | |
|---|---|---|---|---|---|---|
| Li | 3.43 | 0.01 | 15.7 | 2.60 | 3.00 | 87.1 |
| B | 68.7 | 2.94 | 406 | 41.7 | 71.7 | 104 |
| Na | 5580 | 692 | 52,000 | 4270 | 6090 | 109 |
| Mg | 4250 | 500 | 15,900 | 3590 | 2690 | 63.2 |
| Al | 2160 | 8.20 | 10,620 | 1660 | 1930 | 89.0 |
| K | 4210 | 122 | 12,800 | 3980 | 2030 | 48.3 |
| Ca | 17,970 | 851 | 57,000 | 14,740 | 12,300 | 68.4 |
| V | 4.95 | 27.0 | 0.01 | 3.93 | 4.60 | 93.1 |
| Cr | 53.1 | 4.93 | 412 | 41.6 | 48.4 | 91.1 |
| Mn | 117 | 6.82 | 865 | 74.5 | 133 | 114 |
| Fe | 3890 | 187 | 19,380 | 2690 | 3500 | 90.0 |
| Co | 3.35 | 0.26 | 26.6 | 2.53 | 3.65 | 110 |
| Ni | 21.5 | 0.07 | 513 | 12.4 | 55.2 | 256 |
| Cu | 117 | 5.71 | 1880 | 69.3 | 214 | 182 |
| Zn | 1010 | 53.6 | 21,100 | 372 | 2430 | 240 |
| As | 2.19 | 0.01 | 69.2 | 0.78 | 7.33 | 334 |
| Se | 0.44 | 0.01 | 1.61 | 0.29 | 0.41 | 92.7 |
| Rb | 7.07 | 0.20 | 34.9 | 5.92 | 4.80 | 67.9 |
| Sr | 47.6 | 11.1 | 309 | 35.1 | 43.2 | 90.8 |
| Cd | 0.99 | 0.01 | 6.37 | 0.53 | 1.26 | 127 |
| Ba | 209 | 7.01 | 1800 | 109 | 283 | 136 |
| La | 4.95 | 0.07 | 23.4 | 3.36 | 4.97 | 101 |
| Ce | 9.25 | 0.33 | 44.6 | 6.18 | 8.99 | 97.1 |
| Pb | 61.2 | 0.27 | 1180 | 21.4 | 138 | 225 |
| Bi | 12.2 | 0.04 | 421 | 1.11 | 56.6 | 463 |
| p-Values | Zn | Mn | Cu | Pb | Cr | Ni | As | Cd |
|---|---|---|---|---|---|---|---|---|
| 0.66 | 0.10 | 0.41 | 0.31 | 0.58 | 0.22 | 0.12 | 0.002 | |
| Sampling Site | ΔD | |||||||
| 1-Urb | 1.00 | −0.37 | 0.31 | 0.39 | 0.67 | 0.06 | −0.48 | nd (M) * |
| 2-Urb | 1.08 | 0.28 | 0.39 | 0.17 | −0.57 | 0.36 | −0.62 | nd (M) |
| 3-Urb | 0.32 | 0.22 | 0.28 | 0.57 | 0.63 | 0.08 | 0.31 | nd (M) |
| 4-Urb | −0.39 | −0.55 | −0.23 | −0.97 | 0.14 | −0.59 | nd (M,V) | nd (M,V) * |
| 5-Urb | −0.54 | −1.15 | −0.88 | −1.62 | −0.11 | −0.86 | nd (M) | nd (M) |
| 6-Urb | −0.20 | 0.43 | 0.20 | −0.52 | 0.36 | 0.76 | −0.24 | nd (M,V) |
| 7-Urb | −0.44 | −1.27 | −0.06 | −0.51 | −0.64 | −1.98 | nd (M) | nd (M) |
| 8-Urb | 1.44 | 0.23 | 0.62 | 0.30 | 0.62 | 0.15 | 0.97 | nd (M) |
| 9-Urb | 0.24 | −0.18 | 0.24 | −0.97 | −0.27 | −0.37 | 0.08 | nd (M) |
| 10-Sub | −1.12 | −0.50 | −1.54 | 0.56 | −1.75 | −1.66 | nd (V) * | nd (M,V) |
| 11-Sub | 0.13 | 0.19 | −0.15 | 0.38 | 0.27 | 1.10 | nd (V) | nd (M,V) |
| 12-Rur | −0.13 | −0.51 | −0.15 | −0.85 | 0.09 | −1.47 | nd (M) | nd (M) |
| 13-Rur | −0.44 | −0.42 | −0.32 | −1.12 | 0.05 | −0.81 | nd (M) | nd (M) |
| 14-Rur | 0.03 | −0.54 | −0.22 | −0.75 | 0.13 | −0.53 | nd (M) | nd (M) |
| 15-Rur | −0.26 | −0.81 | −0.76 | −1.00 | 0.44 | −0.81 | −1.10 | nd (M) |
| 16-Rur | 1.72 | −0.66 | 1.36 | 0.32 | −0.27 | 1.23 | −0.24 | nd (M) |
Disclaimer/Publisher’s Note: The statements, opinions and data contained in all publications are solely those of the individual author(s) and contributor(s) and not of MDPI and/or the editor(s). MDPI and/or the editor(s) disclaim responsibility for any injury to people or property resulting from any ideas, methods, instructions or products referred to in the content. |
© 2023 by the authors. Licensee MDPI, Basel, Switzerland. This article is an open access article distributed under the terms and conditions of the Creative Commons Attribution (CC BY) license (https://creativecommons.org/licenses/by/4.0/).
Share and Cite
Araja, A.; Bertins, M.; Celma, G.; Busa, L.; Viksna, A. Distribution of Minor and Major Metallic Elements in Residential Indoor Dust: A Case Study in Latvia. Int. J. Environ. Res. Public Health 2023, 20, 6207. https://doi.org/10.3390/ijerph20136207
Araja A, Bertins M, Celma G, Busa L, Viksna A. Distribution of Minor and Major Metallic Elements in Residential Indoor Dust: A Case Study in Latvia. International Journal of Environmental Research and Public Health. 2023; 20(13):6207. https://doi.org/10.3390/ijerph20136207
Chicago/Turabian StyleAraja, Agnese, Maris Bertins, Gunita Celma, Lauma Busa, and Arturs Viksna. 2023. "Distribution of Minor and Major Metallic Elements in Residential Indoor Dust: A Case Study in Latvia" International Journal of Environmental Research and Public Health 20, no. 13: 6207. https://doi.org/10.3390/ijerph20136207
APA StyleAraja, A., Bertins, M., Celma, G., Busa, L., & Viksna, A. (2023). Distribution of Minor and Major Metallic Elements in Residential Indoor Dust: A Case Study in Latvia. International Journal of Environmental Research and Public Health, 20(13), 6207. https://doi.org/10.3390/ijerph20136207

