Does Agricultural Credit Input Promote Agricultural Green Total Factor Productivity? Evidence from Spatial Panel Data of 30 Provinces in China
Abstract
1. Introduction
2. Literature Review
3. Methods and Data
3.1. Spatial Econometric Model
3.1.1. Setting of Spatial Weight Matrix (W)
3.1.2. Spatial Correlation Test
3.1.3. Model Established
3.2. Variables
3.2.1. Explained Variable: AGTFP
3.2.2. Core Explanatory Variable
3.2.3. Control Variables
3.3. Study Area, Data Sources, and Statistical Description
4. Results
4.1. The Calculation Results of AGTFP
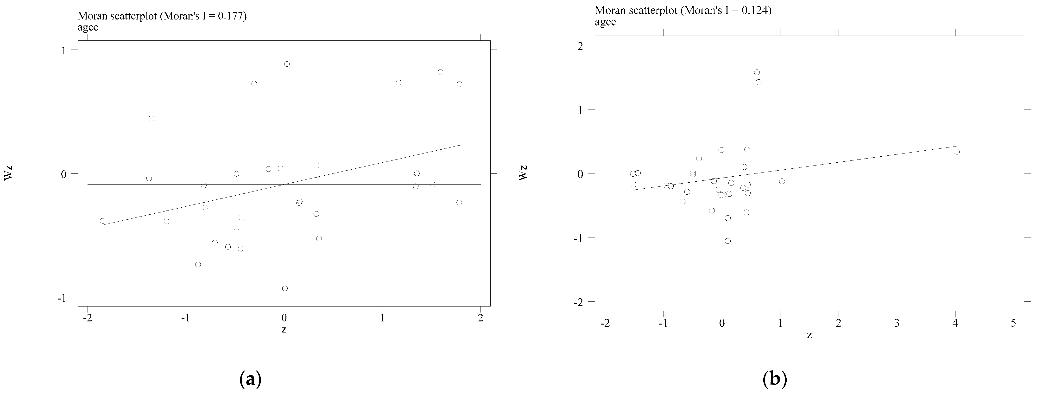
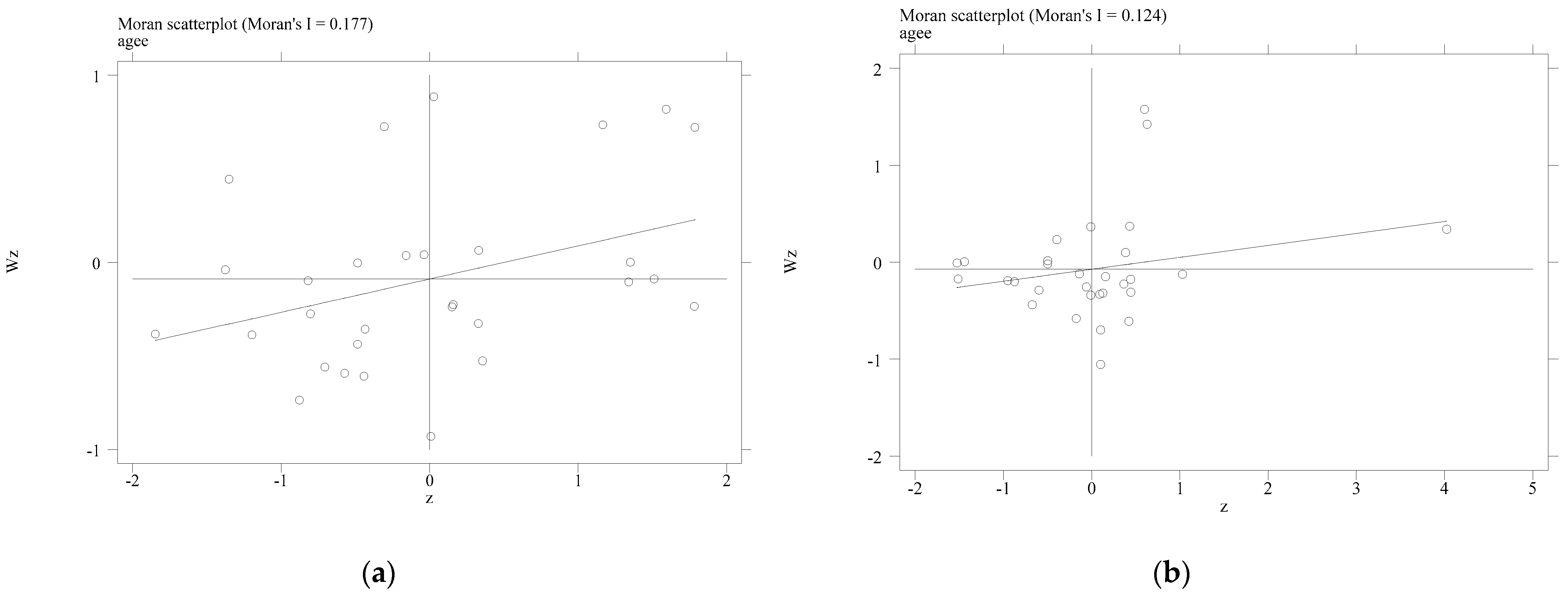
4.2. Results of Spatial Correlation Test
4.3. Results of Benchmark Regression
4.4. Results of Robustness Test
4.5. Results of Heterogeneity Test
4.5.1. Results of Regional Heterogeneity Test
4.5.2. Results of Temporal Heterogeneity Test
5. Discussions
5.1. Spatial Distribution and Agglomeration Characteristics of AGTFP
5.2. The Impact of Agricultural Credit Input on AGTFP and Its Spatial Spillover Effect
6. Conclusions and Policy Recommendations
6.1. Conclusions
6.2. Policy Recomendations
Author Contributions
Funding
Institutional Review Board Statement
Informed Consent Statement
Data Availability Statement
Conflicts of Interest
References
- Liu, D.; Zhu, X.; Wang, Y. China’s agricultural green total factor productivity based on carbon emission: An analysis of evolution trend and influencing factors. J. Clean. Prod. 2021, 278, 123692. [Google Scholar] [CrossRef]
- Liu, Y.; Feng, C. What drives the fluctuations of “green” productivity in China’s agricultural sector? A weighted Russell directional distance approach. Resour. Conserv. Recycl. 2019, 147, 201–213. [Google Scholar] [CrossRef]
- Yang, Z.; Wang, D.; Du, T.; Zhang, A.; Zhou, Y. Total-Factor Energy Efficiency in China’s Agricultural Sector: Trends, Disparities and Potentials. Energies 2018, 11, 853. [Google Scholar] [CrossRef]
- Hu, Y.; Liu, C.; Peng, J. Financial inclusion and agricultural total factor productivity growth in China. Econ. Model. 2021, 96, 68–82. [Google Scholar] [CrossRef]
- Zhao, X.; Nakonieczny, J.; Jabeen, F.; Shahzad, U.; Jia, W. Does green innovation induce green total factor productivity? Novel findings from Chinese city level data. Technol. Forecast. Soc. Chang. 2022, 185, 122021. [Google Scholar] [CrossRef]
- Yao, S.; Wu, G. Research on the Efficiency of Green Agricultural Science and Technology Innovation Resource Allocation Based on a Three-Stage DEA Model-A Case Study of Anhui Province, China. Int. J. Environ. Res. Public Health 2022, 19, 13683. [Google Scholar] [CrossRef] [PubMed]
- Yang, Y.; Ma, H.; Wu, G. Agricultural Green Total Factor Productivity under the Distortion of the Factor Market in China. Sustainability 2022, 14, 9309. [Google Scholar] [CrossRef]
- Balana, B.B.; Oyeyemi, M.A. Agricultural credit constraints in smallholder farming in developing countries: Evidence from Nigeria. World Dev. Sustain. 2022, 1, 100012. [Google Scholar] [CrossRef]
- Wen, H.; Wang, H. Spatio-temporal relationship between agricultural credit scale and agricultural total factor productivity. Mod. Econ. Res. 2022, 4, 114–125. (In Chinese) [Google Scholar]
- Kumbhakar, S.C.; Wang, H.-J.; Horncastle, A.P. A Practitioner’s Guide to Stochastic Frontier Analysis Using Stata; Cambridge University Press: Cambridge, UK, 2015. [Google Scholar] [CrossRef]
- Aigner, D.; Lovell, C.A.K.; Schmidt, P. Formulation and estimation of stochastic frontier production function models. J. Econom. 1977, 6, 21–37. [Google Scholar] [CrossRef]
- Du, L.; Wang, F.; Tian, M.; Zhao, Z.; Ma, S.; Wang, F. Spatiotemporal differentiation and spatial correlation of agricultural total factor productivity in China: An estimation based on the data of prefecture-level cities. Ciência Rural. 2023, 53, e20210877. [Google Scholar] [CrossRef]
- Zhong, S.; Li, Y.; Li, J.; Yang, H. Measurement of total factor productivity of green agriculture in China: Analysis of the regional differences based on China. PLoS ONE 2021, 16, e0257239. [Google Scholar] [CrossRef] [PubMed]
- Huang, X.; Feng, C.; Qin, J.; Wang, X.; Zhang, T. Measuring China’s agricultural green total factor productivity and its drivers during 1998–2019. Sci. Total Environ. 2022, 829, 154477. [Google Scholar] [CrossRef] [PubMed]
- Liu, S.; Lei, P.; Li, X.; Li, Y. A nonseparable undesirable output modified three-stage data envelopment analysis application for evaluation of agricultural green total factor productivity in China. Sci. Total Environ. 2022, 838, 155947. [Google Scholar] [CrossRef] [PubMed]
- Zhu, L.; Shi, R.; Mi, L.; Liu, P.; Wang, G. Spatial Distribution and Convergence of Agricultural Green Total Factor Productivity in China. Int. J. Environ. Res. Public Health 2022, 19, 8786. [Google Scholar] [CrossRef]
- Färe, R.; Grosskopf, S.; Lindgren, B.; Roos, P. Productivity Changes in Swedish Pharamacies 1980–1989: A Non-Parametric Malmquist Approach. J. Product. Anal. 1992, 3, 85–101. [Google Scholar] [CrossRef]
- Färe, R.; Grosskopf, S.; Lovell, C.A.K. Production Frontiers; Cambridge University Press: Cambridge, UK, 1994. [Google Scholar]
- Sheng, Y.; Ball, V.E.; Erickson, K.; Mesonada, C.S.J. Cross-country agricultural TFP convergence and capital deepening: Evidence for induced innovation from 17 OECD countries. J. Product. Anal. 2022, 58, 185–202. [Google Scholar] [CrossRef]
- Song, Y.; Zhang, B.; Wang, J.; Kwek, K. The impact of climate change on China’s agricultural green total factor productivity. Technol. Forecast. Soc. Change 2022, 185, 122054. [Google Scholar] [CrossRef]
- Yu, B. Urban spatial structure and total-factor energy efficiency in Chinese provinces. Ecol. Indic. 2021, 126, 107662. [Google Scholar] [CrossRef]
- Tone, K. A Slacks-Based Measure of Super-Efficiency in Data Envelopment Analysis. Eur. J. Oper. Res. 2002, 143, 32–41. [Google Scholar] [CrossRef]
- Chen, Y.; Miao, J.; Zhu, Z. Measuring green total factor productivity of China’s agricultural sector: A three-stage SBM-DEA model with non-point source pollution and CO2 emissions. J. Clean. Prod. 2021, 318, 128543. [Google Scholar] [CrossRef]
- Yu, D.; Liu, L.; Gao, S.; Yuan, S.; Shen, Q.; Chen, H. Impact of carbon trading on agricultural green total factor productivity in China. J. Clean. Prod. 2022, 367, 132789. [Google Scholar] [CrossRef]
- Sun, Y. Environmental regulation, agricultural green technology innovation, and agricultural green total factor productivity. Front. Environ. Sci. 2022, 10, 955954. [Google Scholar] [CrossRef]
- Fang, L.; Hu, R.; Mao, H.; Chen, S. How crop insurance influences agricultural green total factor productivity: Evidence from Chinese farmers. J. Clean. Prod. 2021, 321, 128977. [Google Scholar] [CrossRef]
- Li, H.; Tang, M.; Cao, A.; Guo, L. Assessing the relationship between air pollution, agricultural insurance, and agricultural green total factor productivity: Evidence from China. Environ. Sci. Pollut. Res. Int. 2022, 29, 78381–78395. [Google Scholar] [CrossRef] [PubMed]
- Gao, Q.; Cheng, C.; Sun, G.; Li, J. The Impact of Digital Inclusive Finance on Agricultural Green Total Factor Productivity: Evidence from China. Front. Ecol. Evol. 2022, 10, 905644. [Google Scholar] [CrossRef]
- Du, L.; Wang, F.; Tian, M. Environmental information disclosure and green energy efficiency: A spatial econometric analysis of 113 prefecture-level cities in China. Front. Environ. Sci. 2022, 10, 996580. [Google Scholar] [CrossRef]
- Lou, L.; Li, J.; Zhong, S. Sulfur dioxide (SO2) emission reduction and its spatial spillover effect in high-tech industries: Based on panel data from 30 provinces in China. Environ. Sci. Pollut. Res. Int. 2021, 28, 31340–31357. [Google Scholar] [CrossRef]
- Du, L.; Tian, M.; Cheng, J.; Chen, W.; Zhao, Z. Environmental regulation and green energy efficiency: An analysis of spatial Durbin model from 30 provinces in China. Environ. Sci. Pollut. Res. Int. 2022, 29, 67046–67062. [Google Scholar] [CrossRef]
- Anselin, L.; Getis, A. Spatial statistical analysis and geographic information systems. Ann. Reg. Sci. 1993, 26, 19–33. [Google Scholar] [CrossRef]
- Elhorst, J.P. Spatial Panel Data Models; Springer: Berlin/Heidelberg, Germany, 2014; pp. 37–93. [Google Scholar]
- LeSage, J.P.; Pace, R.K. Spatial Econometric Models. In Handbook of Applied Spatial Analysis: Software Tools, Methods and Applications; Fischer, M.M., Getis, A., Eds.; Springer: Berlin/Heidelberg, Germany, 2010; pp. 355–376. [Google Scholar] [CrossRef]
- Tone, K. Dealing with Undesirable Outputs in DEA: A Slacksbased measure (SBM) Approach. In Proceedings of the NAPW III, Toronto, ON, Canada, 23–25 June 2004; pp. 44–45. [Google Scholar]
- Adjognon, S.G.; Liverpool-Tasie, L.S.O.; Reardon, T.A. Agricultural input credit in Sub-Saharan Africa: Telling myth from facts. Food Policy 2017, 67, 93–105. [Google Scholar] [CrossRef]
- Li, X.; Huo, X. Impacts of land market policies on formal credit accessibility and agricultural net income: Evidence from China’s apple growers. Technol. Forecast. Soc. Change 2021, 173, 121132. [Google Scholar] [CrossRef]
- Lee, L.F.; Yu, J. Estimation of spatial autoregressive panel data models with fixed effects. J. Econom. 2010, 154, 165–185. [Google Scholar] [CrossRef]
- Xu, X.; Huang, X.; Huang, J.; Gao, X.; Chen, L. Spatial-Temporal Characteristics of Agriculture Green Total Factor Productivity in China, 1998–2016: Based on More Sophisticated Calculations of Carbon Emissions. Int. J. Environ. Res. Public Health 2019, 16, 3932. [Google Scholar] [CrossRef]





| Indicator’s Type | Indicator’s Name | Meaning | Units |
|---|---|---|---|
| Input | Labor | The number of agricultural employees | 10 thousand people |
| Mechanics | The total power of agricultural machinery | 10,000 kw | |
| Land | The total planting area of crops | 1000 HA | |
| Water | Effective irrigation area | 1000 HA | |
| Power | Agricultural diesel consumption | 10,000 tons | |
| Fertilizer | The amount of pure fertilizer application | 10,000 tons | |
| Pesticide | The use amount of pesticide | 10,000 tons | |
| Plastic sheeting | Consumption of agricultural plastic film | 10,000 tons | |
| Desirable output | GDP | Gross value of agriculture | 10,000 yuan |
| Undesirable output | Agricultural total carbon emissions | 10,000 tons |
| Carbon Source | Carbon Emission Coefficient | Reference |
|---|---|---|
| Fertilizer | 0.8956 kg·kg−1 | Oak Ridge National Laboratory, ORNL |
| Pesticides | 4.9341 kg·kg−1 | Oak Ridge National Laboratory, ORNL |
| Agricultural plastic sheeting | 5.18 kg·kg−1 | Institute of Resources, Ecosystem and Environment of Agriculture, IREEA, Nanjing Agricultural University |
| Agricultural diesel | 0.5927 kg·kg−1 | IPCC |
| Agricultural ploughing | 312.6 kg·kg−2 | Institute of Agriculture and Biotechnology of China Agricultural University, IABCAU |
| Agricultural irrigation | 20.476 kg/hm2 | Li et al. (2011) |
| Type | Variables | Symbol | Definitions |
|---|---|---|---|
| Explained variable | Agricultural green total factor productivity | AGTFP | The calculation value of AGTFP based on the super-efficiency SBM model with undesirable outputs |
| Core explanatory variable | Agricultural credit input | lnFin | The balance of agricultural loans of financial institutions |
| Control variables | Industrial structure | IS | The proportion of added value of the primary industry in GDP |
| Agricultural fiscal expenditure | FE | The proportion of agricultural expenditure in total financial expenditure | |
| Degree of opening up | Open | The proportion of total foreign direct investment in GDP | |
| Urbanization level | Urban | The proportion of urban population in total population | |
| Economic development level | lnRGDP | Per capita GDP | |
| Disaster area | lnDis | Affected area of crops |
| Variables | Obs | Mean | Std.Dev | Min | Max |
|---|---|---|---|---|---|
| AGTFP | 360 | 0.8932 | 0.1704 | 0.5464 | 1.7504 |
| lnFin | 360 | 8.5793 | 0.9336 | 5.8886 | 10.7557 |
| IS | 360 | 0.9996 | 0.0558 | 0.0027 | 0.2926 |
| FE | 360 | 0.1140 | 0.0324 | 0.0359 | 0.2038 |
| Open | 360 | 0.3949 | 0.4161 | 0.0477 | 3.7303 |
| Urban | 360 | 0.5696 | 0.1265 | 0.2989 | 0.8960 |
| lnRGDP | 360 | 10.7019 | 0.5018 | 9.3030 | 12.0130 |
| lnDis | 360 | 6.0891 | 1.5661 | 0.6931 | 8.9084 |
| Variables | AGTFP | lnFin | IS | FE | Open | Urban | lnRGDP | lnDis |
|---|---|---|---|---|---|---|---|---|
| AGTFP | 1.0000 | |||||||
| lnFin | 0.0842 * | 1.0000 | ||||||
| IS | −0.4498 * | −0.1537 * | 1.0000 | |||||
| FE | −0.5582 * | −0.0008 | 0.7011 * | 1.0000 | ||||
| Open | 0.4399 * | −0.1856 * | −0.3585 * | −0.5143 * | 1.0000 | |||
| Urban | 0.6315 * | −0.0253 | −0.6728 * | −0.6712 * | 0.6810 * | 1.0000 | ||
| lnRGDP | 0.6180 * | 0.3249 * | −0.6529 * | −0.5440 * | 0.5601 * | 0.8685 * | 1.0000 | |
| lnDis | −0.4119 * | 0.3320 * | 0.4729 * | 0.4854 * | −0.6420 * | −0.6883 * | −0.5913 * | 1.0000 |
| Year | Moran’s I | Z-Value | Year | Moran’s I | Z-Value |
|---|---|---|---|---|---|
| 2009 | 0.177 ** | 2.004 | 2015 | 0.209 *** | 2.348 |
| 2010 | 0.207 ** | 2.284 | 2016 | 0.214 *** | 2.375 |
| 2011 | 0.224 *** | 2.445 | 2017 | 0.207 *** | 2.347 |
| 2012 | 0.211 ** | 2.317 | 2018 | 0.174 ** | 2.076 |
| 2013 | 0.228 *** | 2.485 | 2019 | 0.172 ** | 2.205 |
| 2014 | 0.172 ** | 1.967 | 2020 | 0.124 ** | 1.783 |
| W1 | W2 | W3 | |
|---|---|---|---|
| LR SAR | 57.43 (0.000) | 74.95 (0.000) | 38.32 (0.000) |
| LR SEM | 56.29 (0.000) | 72.67 (0.000) | 33.92 (0.000) |
| Wald SAR | 62.68 (0.000) | 83.68 (0.000) | 40.65 (0.000) |
| Wald SEM | 32.74 (0.000) | 13.85 (0.000) | 18.17 (0.000) 1 |
| (1) OLS-FE | (2) OLS-RE | (3) SAR | (4) SEM | (5) SDM | |
|---|---|---|---|---|---|
| W1 | W1 | W1 | |||
| lnFin | 0.0528 ** | 0.0119 | 0.0555 *** | 0.0456 ** | 0.0461 * |
| (2.486) | (0.767) | (2.774) | (2.416) | (1.726) | |
| IS | 0.1623 | 0.1233 | 0.1482 | 0.0874 | 0.2687 |
| (0.888) | (0.692) | (0.862) | (0.511) | (1.638) | |
| FE | 0.0077 | −0.1483 | 0.0102 | 0.0077 | 0.0211 |
| (0.029) | (−0.582) | (0.041) | (0.033) | (0.084) | |
| Open | 0.0499 *** | 0.0488 *** | 0.0565 *** | 0.0578 *** | 0.0073 |
| (3.498) | (3.399) | (4.097) | (4.280) | (0.489) | |
| Urban | −0.5316 ** | −0.0736 | −0.5262 *** | −0.4689 ** | −0.7596 *** |
| (−2.491) | (−0.436) | (−2.625) | (−2.450) | (−3.418) | |
| lnRGDP | 0.1103 *** | 0.1180 *** | 0.1230 *** | 0.1112 *** | 0.0304 |
| (3.311) | (3.630) | (3.856) | (3.663) | (0.831) | |
| lnDis | −0.0096 * | −0.0080 | −0.0098 ** | −0.0085 * | −0.0017 * |
| (−1.810) | (−1.509) | (−1.970) | (−1.745) | (−1.849) | |
| W × lnFin | −0.1688 *** | ||||
| (−3.958) | |||||
| W × IS | −0.8282 ** | ||||
| (−2.308) | |||||
| W × FE | −0.4434 | ||||
| (−1.170) | |||||
| W × Open | 0.0948 ** | ||||
| (2.556) | |||||
| W × Urban | 0.6206 | ||||
| (1.439) | |||||
| W × lnRGDP | 0.0040 | ||||
| (0.063) | |||||
| W × lnDis | 0.0040 | ||||
| (0.454) | |||||
| Constant | −0.4153 * | −0.3952 * | |||
| (−1.854) | (−1.758) | ||||
| ρ/λ | 0.1448 ** | 0.1779 ** | 0.4217 *** | ||
| (2.041) | (2.309) | (5.640) | |||
| R2 | 0.4031 | 0.3895 | 0.4018 | 0.1015 | 0.4780 |
| Fixed effect | YES | YES | YES | YES | YES |
| Time effect | YES | YES | YES | YES | YES |
| Log-likelihood | 540.9060 | 541.4749 | 586.7417 1 |
| (1) Direct Effect | (2) Indirect Effect | (3) Total Effect | |
|---|---|---|---|
| lnFin | 0.0853 *** (2.873) | −0.0589 * (−1.725) | 0.0263 (1.239) |
| IS | 0.3443 ** (2.120) | −0.8614 *** (−3.561) | −0.5171 ** (−2.148) |
| FE | 0.0098 (0.037) | −0.2668 (−0.721) | −0.2569 (−0.893) |
| Open | 0.0026 (0.170) | 0.1327 *** (5.027) | 0.1353 *** (6.150) |
| Urban | −1.1678 *** (−5.250) | 1.1874 *** (3.515) | 0.0196 (0.070) |
| lnRGDP | 0.0484 (1.300) | 0.0063 (0.125) | 0.0547 (1.258) |
| lnDis | −0.0031 (−0.563) | 0.0054 (0.668) | 0.0023 (0.323) 1 |
| (1) SAR | (2) SEM | (3) SDM | (4) SAR | (5) SEM | (6) SDM | (7) SDM | |
|---|---|---|---|---|---|---|---|
| W2 | W2 | W2 | W3 | W3 | W3 | W1 | |
| lnFin | 0.0509 ** | 0.0406 ** | 0.0102 | 0.0535 *** | 0.0440 ** | 0.0803 *** | 0.0973 *** |
| (2.494) | (2.168) | (0.485) | (2.659) | (2.300) | (2.884) | (2.703) | |
| IS | 0.1715 | 0.0578 | 0.1252 | 0.1530 | 0.1046 | 0.2130 | 0.1348 |
| (0.987) | (0.327) | (0.940) | (0.882) | (0.619) | (1.274) | (0.641) | |
| FE | −0.0030 | 0.1117 | −0.1843 | 0.0160 | 0.0505 | −0.0223 | 0.3453 |
| (−0.012) | (0.459) | (−0.966) | (0.065) | (0.207) | (−0.090) | (0.588) | |
| Open | 0.0467 *** | 0.0701 *** | 0.0255 ** | 0.0523 *** | 0.0608 *** | 0.0303 ** | 0.0117 |
| (3.161) | (4.013) | (2.245) | (3.729) | (4.425) | (2.126) | (0.591) | |
| Urban | −0.5422 *** | −0.4284 ** | −0.4151 ** | −0.5411 *** | −0.5699 *** | −0.3305 | −0.7460 ** |
| (−2.671) | (−2.258) | (−2.394) | (−2.672) | (−3.047) | (−1.347) | (−2.501) | |
| lnRGDP | 0.1057 *** | 0.1123 *** | 0.0600 ** | 0.1161 *** | 0.1236 *** | 0.0527 | 0.0201 |
| (3.235) | (3.753) | (2.088) | (3.537) | (4.089) | (1.478) | (0.435) | |
| lnDis | −0.0095 * | −0.0092 * | −0.0029 | −0.0099 ** | −0.0116 ** | −0.0100 ** | −0.0047 |
| (−1.886) | (−1.881) | (−0.779) | (−1.963) | (−2.288) | (−2.065) | (−0.705) | |
| W × lnFin | −1.0470 *** | −0.0550 | −0.0883 * | ||||
| (−8.852) | (−1.382) | (−1.926) | |||||
| W × IS | −1.7444 * | −0.5254 | 1.1234 *** | ||||
| (−1.694) | (−1.596) | (3.057) | |||||
| W × FE | −0.9072 | 0.3580 | −1.8026 * | ||||
| (−0.803) | (0.652) | (−1.958) | |||||
| W × Open | 0.3103 *** | 0.0861 *** | 0.1312 *** | ||||
| (3.460) | (3.782) | (3.328) | |||||
| W × Urban | 0.7778 | −1.1428 *** | 1.7918 *** | ||||
| (0.742) | (−2.578) | (3.740) | |||||
| W × lnRGDP | −0.1496 | 0.2077 *** | −0.0087 | ||||
| (−0.695) | (3.305) | (−0.120) | |||||
| W × lnDis | −0.0333 | −0.0163 * | −0.0025 | ||||
| (−1.520) | (−1.662) | (−0.210) | |||||
| ρ/λ | 1.3474 *** | 2.1561 *** | 2.2147 *** | 0.0503 | 0.2108 ** | 0.1801 ** | 0.1631 ** |
| (6.038) | (8.815) | (11.037) | (0.635) | (2.225) | (2.114) | (2.185) | |
| R2 | 0.4053 | 0.3978 | 0.4777 | 0.4005 | 0.4009 | 0.4567 | 0.3725 |
| Fixed effect | YES | YES | YES | YES | YES | YES | YES |
| Time effect | YES | YES | YES | YES | YES | YES | YES |
| Log-likelihood | 583.9626 | 540.1004 | 576.4355 | 539.0277 | 541.2299 | 558.1885 1 | 475.9818 |
| (1) Eastern Region | (2) Central Region | (3) Western Region | |
|---|---|---|---|
| lnFin | 0.1847 *** | 0.1331 *** | 0.0174 |
| (3.825) | (7.057) | (0.370) | |
| W × lnFin | −0.6269 *** | −0.0506 | −0.5576 *** |
| (−3.917) | (−0.453) | (−3.547) | |
| Control variables | YES | YES | YES |
| ρ | 0.9430 *** | 1.2343 *** | 1.5090 *** |
| (4.769) | (4.954) | (10.638) | |
| R2 | 0.3835 | 0.0865 | 0.2084 |
| Fixed effect | YES | YES | YES |
| Time effect | YES | YES | YES |
| Log-likelihood | 243.3372 | 331.0586 | 212.4441 1 |
| (1) Lag 1 Period | (2) Lag 2 Period | |
|---|---|---|
| lnFin | 0.0436 ** | 0.0893 ** |
| (1.971) | (2.118) | |
| W × lnFin | −1.1209 *** | −0.0399 |
| (−7.959) | (−1.249) | |
| Control variables | YES | YES |
| ρ | 0.4061 *** | 0.2209 *** |
| (−12.149) | (2.941) | |
| R2 | 0.2379 | 0.4293 |
| Fixed effect | YES | YES |
| Time effect | YES | YES |
| Log-likelihood | 601.8594 | 484.8800 |
Disclaimer/Publisher’s Note: The statements, opinions and data contained in all publications are solely those of the individual author(s) and contributor(s) and not of MDPI and/or the editor(s). MDPI and/or the editor(s) disclaim responsibility for any injury to people or property resulting from any ideas, methods, instructions or products referred to in the content. |
© 2022 by the authors. Licensee MDPI, Basel, Switzerland. This article is an open access article distributed under the terms and conditions of the Creative Commons Attribution (CC BY) license (https://creativecommons.org/licenses/by/4.0/).
Share and Cite
Wang, F.; Du, L.; Tian, M. Does Agricultural Credit Input Promote Agricultural Green Total Factor Productivity? Evidence from Spatial Panel Data of 30 Provinces in China. Int. J. Environ. Res. Public Health 2023, 20, 529. https://doi.org/10.3390/ijerph20010529
Wang F, Du L, Tian M. Does Agricultural Credit Input Promote Agricultural Green Total Factor Productivity? Evidence from Spatial Panel Data of 30 Provinces in China. International Journal of Environmental Research and Public Health. 2023; 20(1):529. https://doi.org/10.3390/ijerph20010529
Chicago/Turabian StyleWang, Fuwei, Lei Du, and Minghua Tian. 2023. "Does Agricultural Credit Input Promote Agricultural Green Total Factor Productivity? Evidence from Spatial Panel Data of 30 Provinces in China" International Journal of Environmental Research and Public Health 20, no. 1: 529. https://doi.org/10.3390/ijerph20010529
APA StyleWang, F., Du, L., & Tian, M. (2023). Does Agricultural Credit Input Promote Agricultural Green Total Factor Productivity? Evidence from Spatial Panel Data of 30 Provinces in China. International Journal of Environmental Research and Public Health, 20(1), 529. https://doi.org/10.3390/ijerph20010529

