Effect of Pharmaceutical Sludge Pre-Treatment with Fenton/Fenton-like Reagents on Toxicity and Anaerobic Digestion Efficiency
Abstract
1. Introduction
2. Materials and Methods
2.1. Experimental Design
2.2. Materials
2.2.1. Sourcing of Fe and H2O2 Ions
2.2.2. Pharmaceutical Wewage Sludge (PSS) and Anaerobic Sludge (AS)
2.3. Experimental Set-Up
2.3.1. Phase 1—AOP Reactor
2.3.2. Phase 2—Anaerobic Reactors
2.4. Analytical Methods
2.5. Calculation Methods
2.6. Statistical Methods and Optimization
3. Results and Discussion
3.1. Phase 1—Pre-Treatment Efficiency
3.1.1. Organic Compounds
3.1.2. Toxicity
3.1.3. Residual (Unreacted) H2O2 and pH Changes in the PSS
3.2. Phase 2—Anaerobic Digestion Performance
3.2.1. Biogas and Methane Production
3.2.2. Bacterial Community Structure
3.2.3. Organic Compounds
3.2.4. pH and FOS/TAC
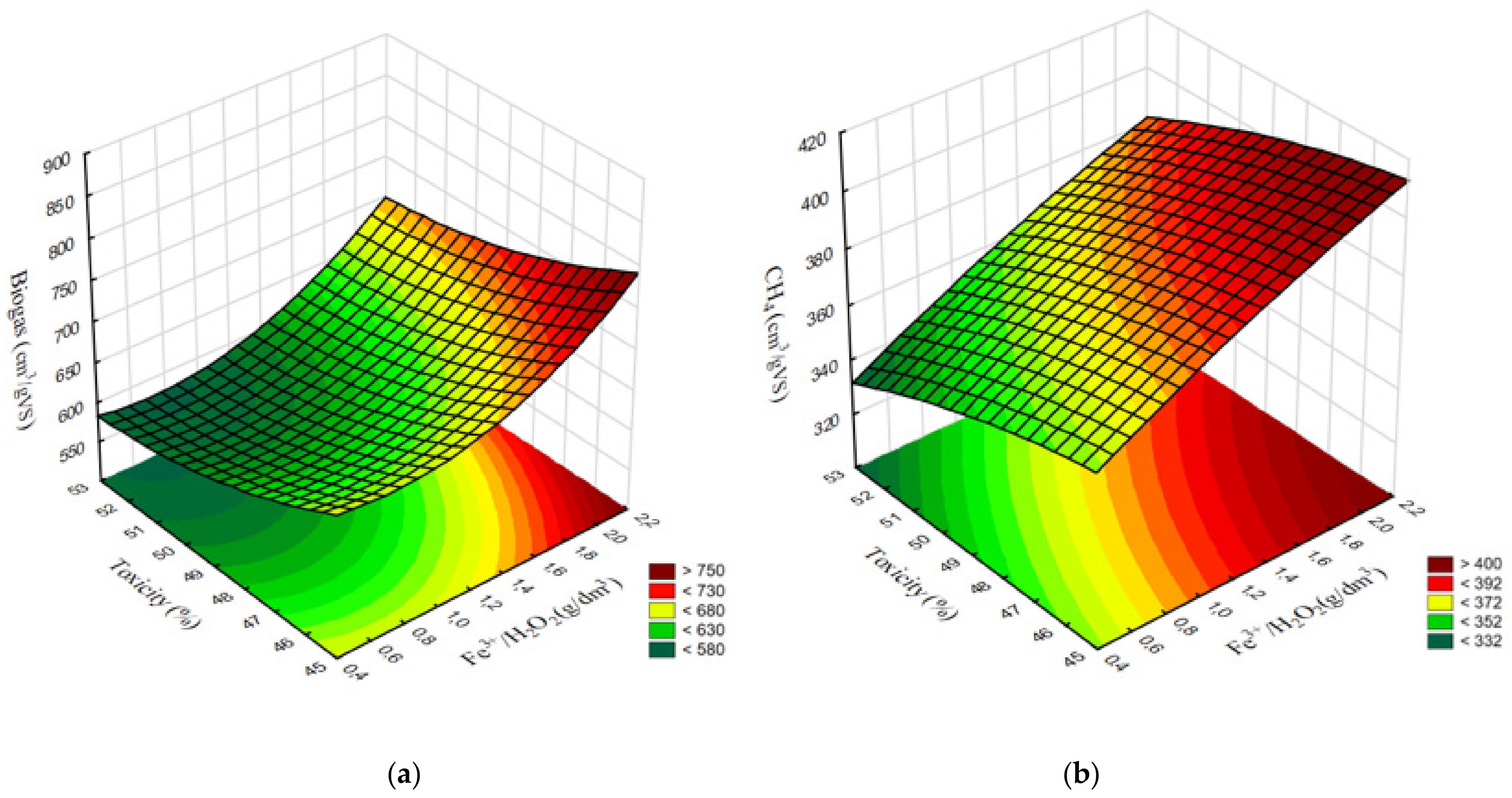
3.2.5. Empirical Model and Correlations
4. Conclusions
Author Contributions
Funding
Conflicts of Interest
References
- Khanh Nguyen, V.; Kumar Chaudhary, D.; Hari Dahal, R.; Hoang Trinh, N.; Kim, J.; Chang, S.W.; Hong, Y.; Duc La, D.; Nguyen, X.C.; Hao Ngo, H.; et al. Review on Pretreatment Techniques to Improve Anaerobic Digestion of Sewage Sludge. Fuel 2021, 285, 119105. [Google Scholar] [CrossRef]
- Jin, H.Y.; He, Z.W.; Ren, Y.X.; Tang, C.C.; Zhou, A.J.; Liu, W.; Liang, B.; Li, Z.H.; Wang, A. Current Advances and Challenges for Direct Interspecies Electron Transfer in Anaerobic Digestion of Waste Activated Sludge. Chem. Eng. J. 2022, 450, 137973. [Google Scholar] [CrossRef]
- Zamri, M.F.M.A.; Hasmady, S.; Akhiar, A.; Ideris, F.; Shamsuddin, A.H.; Mofijur, M.; Fattah, I.M.R.; Mahlia, T.M.I. A Comprehensive Review on Anaerobic Digestion of Organic Fraction of Municipal Solid Waste. Renew. Sustain. Energy Rev. 2021, 137, 110637. [Google Scholar] [CrossRef]
- Capson-Tojo, G.; Moscoviz, R.; Astals, S.; Robles; Steyer, J.P. Unraveling the Literature Chaos around Free Ammonia Inhibition in Anaerobic Digestion. Renew. Sustain. Energy Rev. 2020, 117, 109487. [Google Scholar] [CrossRef]
- Yao, Y.; Huang, G.; An, C.; Chen, X.; Zhang, P.; Xin, X.; Shen, J.; Agnew, J. Anaerobic Digestion of Livestock Manure in Cold Regions: Technological Advancements and Global Impacts. Renew. Sustain. Energy Rev. 2020, 119, 109494. [Google Scholar] [CrossRef]
- Czatzkowska, M.; Harnisz, M.; Korzeniewska, E.; Koniuszewska, I. Inhibitors of the Methane Fermentation Process with Particular Emphasis on the Microbiological Aspect: A Review. Energy Sci. Eng. 2020, 8, 1880–1897. [Google Scholar] [CrossRef]
- Wu, Q.; Zou, D.; Zheng, X.; Liu, F.; Li, L.; Xiao, Z. Effects of Antibiotics on Anaerobic Digestion of Sewage Sludge: Performance of Anaerobic Digestion and Structure of the Microbial Community. Sci. Total Environ. 2022, 845, 157384. [Google Scholar] [CrossRef]
- Buta, M.; Hubeny, J.; Zieliński, W.; Harnisz, M.; Korzeniewska, E. Sewage Sludge in Agriculture—The Effects of Selected Chemical Pollutants and Emerging Genetic Resistance Determinants on the Quality of Soil and Crops—A Review. Ecotoxicol. Environ. Saf. 2021, 214, 112070. [Google Scholar] [CrossRef]
- Tong, J.; Lu, X.; Zhang, J.; Angelidaki, I.; Wei, Y. Factors Influencing the Fate of Antibiotic Resistance Genes during Thermochemical Pretreatment and Anaerobic Digestion of Pharmaceutical Waste Sludge. Environ. Pollut. 2018, 243, 1403–1413. [Google Scholar] [CrossRef]
- Pei, J.; Yao, H.; Wang, H.; Ren, J.; Yu, X. Comparison of Ozone and Thermal Hydrolysis Combined with Anaerobic Digestion for Municipal and Pharmaceutical Waste Sludge with Tetracycline Resistance Genes. Water Res. 2016, 99, 122–128. [Google Scholar] [CrossRef]
- Tong, J.; Lu, X.T.; Zhang, J.Y.; Sui, Q.; Wang, R.; Chen, M.; Wei, Y. Occurrence of Antibiotic Resistance Genes and Mobile Genetic Elements in Enterococci and Genomic DNA during Anaerobic Digestion of Pharmaceutical Waste Sludge with Different Pretreatments. Bioresour. Technol. 2017, 235, 316–324. [Google Scholar] [CrossRef]
- Pérez-Lemus, N.; López-Serna, R.; Pérez-Elvira, S.I.; Barrado, E. Sample Pre-Treatment and Analytical Methodology for the Simultaneous Determination of Pharmaceuticals and Personal Care Products in Sewage Sludge. Chemosphere 2020, 258, 127273. [Google Scholar] [CrossRef]
- Alenzi, A.; Hunter, C.; Spencer, J.; Roberts, J.; Craft, J.; Pahl, O.; Escudero, A. Pharmaceuticals Effect and Removal, at Environmentally Relevant Concentrations, from Sewage Sludge during Anaerobic Digestion. Bioresour. Technol. 2021, 319, 124102. [Google Scholar] [CrossRef]
- Arun, S.; Kumar, R.M.; Ruppa, J.; Mukhopadhyay, M.; Ilango, K.; Chakraborty, P. Occurrence, Sources and Risk Assessment of Fluoroquinolones in Dumpsite Soil and Sewage Sludge from Chennai, India. Environ. Toxicol. Pharmacol. 2020, 79, 103410. [Google Scholar] [CrossRef]
- Gwenzi, W.; Musiyiwa, K.; Mangori, L. Sources, Behaviour and Health Risks of Antimicrobial Resistance Genes in Wastewaters: A Hotspot Reservoir. J. Environ. Chem. Eng. 2020, 8, 102220. [Google Scholar] [CrossRef]
- Wontorska, K.; Wąsowski, J. The Issue of Pharmaceuticals Disposal in Wastewater Treatment Processes. Gas Water Sanit. Technol. 2018, 1, 36–42. [Google Scholar] [CrossRef]
- Patel, M.; Kumar, R.; Kishor, K.; Mlsna, T.; Pittman, C.U.; Mohan, D. Pharmaceuticals of Emerging Concern in Aquatic Systems: Chemistry, Occurrence, Effects, and Removal Methods. Chem. Rev. 2019, 119, 3510–3673. [Google Scholar] [CrossRef]
- González Peña, O.I.; López Zavala, M.Á.; Cabral Ruelas, H. Pharmaceuticals Market, Consumption Trends and Disease Incidence Are Not Driving the Pharmaceutical Research on Water and Wastewater. Int. J. Environ. Res. Public Health 2021, 18, 2532. [Google Scholar] [CrossRef]
- Angeles, L.F.; Mullen, R.A.; Huang, I.J.; Wilson, C.; Khunjar, W.; Sirotkin, H.I.; McElroy, A.E.; Aga, D.S. Assessing Pharmaceutical Removal and Reduction in Toxicity Provided by Advanced Wastewater Treatment Systems. Environ. Sci. Water Res. Technol. 2019, 6, 62–77. [Google Scholar] [CrossRef]
- Giacomo, D.; Romano, G.; Di Giacomo, G.; Romano, P. Evolution and Prospects in Managing Sewage Sludge Resulting from Municipal Wastewater Purification. Energies 2022, 15, 5633. [Google Scholar] [CrossRef]
- Taoufik, N.; Boumya, W.; Achak, M.; Sillanpää, M.; Barka, N. Comparative Overview of Advanced Oxidation Processes and Biological Approaches for the Removal Pharmaceuticals. J. Environ. Manag. 2021, 288, 112404. [Google Scholar] [CrossRef] [PubMed]
- Krzemieniewski, M.; Dębowski, M.; Dobrzyńska, A.; Zieliński, M. Chemical Oxygen Demand Reduction Of Various Wastewater Types Using Magnetic Field-Assisted Fenton Reaction. Water Environ. Res. 2004, 76, 301–309. [Google Scholar] [CrossRef] [PubMed]
- Tavares, M.G.; da S. Duarte, J.L.; Oliveira, L.M.T.M.; Fonseca, E.J.S.; Tonholo, J.; Ribeiro, A.S.; Zanta, C.L.P.S. Reusable Iron Magnetic Catalyst for Organic Pollutant Removal by Adsorption, Fenton and Photo Fenton Process. J. Photochem. Photobiol. A Chem. 2022, 432, 114089. [Google Scholar] [CrossRef]
- Yang, B.; Zhou, P.; Cheng, X.; Li, H.; Huo, X.; Zhang, Y. Simultaneous Removal of Methylene Blue and Total Dissolved Copper in Zero-Valent Iron/H2O2 Fenton System: Kinetics, Mechanism and Degradation Pathway. J. Colloid Interface Sci. 2019, 555, 383–393. [Google Scholar] [CrossRef] [PubMed]
- Xu, G.; Ou, J.; Wei, H.; Mei, J.; Bai, M.; Fang, B.; Shi, N. Investigation of the SO2 Release Characteristics during Co-Combustion of Fenton/CaO Treated Municipal Sewage Sludge and Rice Husk. J. Environ. Chem. Eng. 2022, 10, 108475. [Google Scholar] [CrossRef]
- Khan, N.A.; Khan, A.H.; Tiwari, P.; Zubair, M.; Naushad, M. New Insights into the Integrated Application of Fenton-Based Oxidation Processes for the Treatment of Pharmaceutical Wastewater. J. Water Process Eng. 2021, 44, 102440. [Google Scholar] [CrossRef]
- Anjum, M.; Al-Makishah, N.H.; Barakat, M.A. Wastewater Sludge Stabilization Using Pre-Treatment Methods. Process Saf. Environ. Prot. 2016, 102, 615–632. [Google Scholar] [CrossRef]
- Wiśniowska, E. Sludge Activation, Conditioning, and Engineering. In Industrial and Municipal Sludge. Emerging Concerns and Scope for Resource Recovery; Butterworth-Heinemann: Oxford, UK, 2019; pp. 181–199. [Google Scholar] [CrossRef]
- Giwa, A.; Yusuf, A.; Balogun, H.A.; Sambudi, N.S.; Bilad, M.R.; Adeyemi, I.; Chakraborty, S.; Curcio, S. Recent Advances in Advanced Oxidation Processes for Removal of Contaminants from Water: A Comprehensive Review. Process Saf. Environ. Prot. 2021, 146, 220–256. [Google Scholar] [CrossRef]
- Rostam, A.B.; Taghizadeh, M. Advanced Oxidation Processes Integrated by Membrane Reactors and Bioreactors for Various Wastewater Treatments: A Critical Review. J. Environ. Chem. Eng. 2020, 8, 104566. [Google Scholar] [CrossRef]
- Bartolomeu, M.; Neves, M.G.P.M.S.; Faustino, M.A.F.; Almeida, A. Wastewater Chemical Contaminants: Remediation by Advanced Oxidation Processes. Photochem. Photobiol. Sci. 2018, 17, 1573–1598. [Google Scholar] [CrossRef]
- Sandoval, M.A.; Vidal, J.; Calzadilla, W.; Salazar, R. Solar (Electrochemical) Advanced Oxidation Processes as Efficient Treatments for Degradation of Pesticides. Curr. Opin. Electrochem. 2022, 36, 101125. [Google Scholar] [CrossRef]
- Liu, L.; Chen, Z.; Zhang, J.; Shan, D.; Wu, Y.; Bai, L.; Wang, B. Treatment of Industrial Dye Wastewater and Pharmaceutical Residue Wastewater by Advanced Oxidation Processes and Its Combination with Nanocatalysts: A Review. J. Water Process Eng. 2021, 42, 102122. [Google Scholar] [CrossRef]
- Bhanot, P.; Celin, S.M.; Sreekrishnan, T.R.; Kalsi, A.; Sahai, S.K.; Sharma, P. Application of Integrated Treatment Strategies for Explosive Industry Wastewater—A Critical Review. J. Water Process Eng. 2020, 35, 101232. [Google Scholar] [CrossRef]
- Nigam, M.; Mishra, P.; Kumar, P.; Rajoriya, S.; Pathak, P.; Singh, S.R.; Kumar, S.; Singh, L. Comprehensive Technological Assessment for Different Treatment Methods of Leather Tannery Wastewater. Environ. Sci. Pollut. Res. 2022, 1, 1–18. [Google Scholar] [CrossRef]
- Mu, H.; Qiu, Q.; Cheng, R.; Qiu, L.; Xie, K.; Gao, M.; Liu, G. Adsorption-Enhanced Ceramic Membrane Filtration Using Fenton Oxidation for Advanced Treatment of Refinery Wastewater: Treatment Efficiency and Membrane-Fouling Control. Membranes 2021, 11, 651. [Google Scholar] [CrossRef]
- Parvulescu, V.I.; Epron, F.; Garcia, H.; Granger, P. Recent Progress and Prospects in Catalytic Water Treatment. Chem. Rev. 2022, 122, 2981–3121. [Google Scholar] [CrossRef]
- Yang, J. Waste Treatment and Disposal Technology. In Zero Waste to Material Closed Loo; Springer: Singapore, 2022; pp. 49–101. Available online: https://link.springer.com/chapter/10.1007/978-981-16-7683-3_7 (accessed on 10 October 2022).
- Yang, Z.; Qian, J.; Shan, C.; Li, H.; Yin, Y.; Pan, B. Toward Selective Oxidation of Contaminants in Aqueous Systems. Environ. Sci. Technol. 2021, 55, 14494–14514. [Google Scholar] [CrossRef]
- PN-EN 15935:2022-01; Soil, Waste, Treated Bio-Waste and Sewage Sludge—Determination of Losses on Ignition. Health, Environment and Medicine Sector. Technical Body of Soil Chemistry: Warsaw, Poland, 2022. Available online: https://sklep.pkn.pl/pn-en-15935-2022-01e.html (accessed on 10 October 2022).
- Rombolà, A.G.; Torri, C.; Vassura, I.; Venturini, E.; Reggiani, R.; Fabbri, D. Effect of Biochar Amendment on Organic Matter and Dissolved Organic Matter Composition of Agricultural Soils from a Two-Year Field Experiment. Sci. Total Environ. 2022, 812, 151422. [Google Scholar] [CrossRef]
- Kazimierowicz, J.; Zieliński, M.; Bartkowska, I.; Dębowski, M. Effect of Acid Whey Pretreatment Using Ultrasonic Disintegration on the Removal of Organic Compounds and Anaerobic Digestion Efficiency. Int. J. Environ. Res. Public Health 2022, 19, 11362. [Google Scholar] [CrossRef]
- Zieliński, M.; Dębowski, M.; Kisielewska, M.; Nowicka, A.; Rokicka, M.; Szwarc, K. Comparison of Ultrasonic and Hydrothermal Cavitation Pretreatments of Cattle Manure Mixed with Straw Wheat on Fermentative Biogas Production. Waste Biomass Valorization 2019, 10, 747–754. [Google Scholar] [CrossRef]
- Boulos, S.; Tännler, A.; Nyström, L. Nitrogen-to-Protein Conversion Factors for Edible Insects on the Swiss Market: T. Molitor, A. Domesticus, and L. Migratoria. Front. Nutr. 2020, 7, 89. [Google Scholar] [CrossRef] [PubMed]
- Przygocka-Cyna, K.; Barłóg, P.; Spiżewski, T.; Grzebisz, W. Bio-Fertilizers Based on Digestate and Biomass Ash as an Alternative to Commercial Fertilizers—The Case of Tomato. Agronomy 2021, 11, 1716. [Google Scholar] [CrossRef]
- Cravotto, C.; Fabiano-Tixier, A.S.; Claux, O.; Rapinel, V.; Tomao, V.; Stathopoulos, P.; Skaltsounis, A.L.; Tabasso, S.; Jacques, L.; Chemat, F. Higher Yield and Polyphenol Content in Olive Pomace Extracts Using 2-Methyloxolane as Bio-Based Solvent. Foods 2022, 11, 1357. [Google Scholar] [CrossRef] [PubMed]
- Leukel, S.; Tremel, W. Water-Controlled Crystallization of CaCO3, SrCO3, and MnCO3 from Amorphous Precursors. Cryst. Growth Des. 2018, 18, 4662–4670. [Google Scholar] [CrossRef]
- Deschamps, L.; Merlet, D.; Lemaire, J.; Imatoukene, N.; Filali, R.; Clément, T.; Lopez, M.; Theoleyre, M.A. Excellent Performance of Anaerobic Membrane Bioreactor in Treatment of Distillery Wastewater at Pilot Scale. J. Water Process Eng. 2021, 41, 102061. [Google Scholar] [CrossRef]
- Azzena, U.; Carraro, M.; Corrias, M.; Crisafulli, R.; De Luca, L.; Gaspa, S.; Nuvoli, L.; Pintus, S.; Pisano, L.; Polese, R.; et al. Ammonium Salts Catalyzed Acetalization Reactions in Green Ethereal Solvents. Catalysts 2020, 10, 1108. [Google Scholar] [CrossRef]
- PN-EN ISO 11348-2:2008/A1:2019-03; Water Quality—Determination of the Inhibitory Effect of Water Samples on the Light Emission of Vibrio Fischeri (Luminescent Bacteria Test)—Part 2: Method Using Liquid-Dried Bacteria. ISO: Geneva, Switzerland, 2019. Available online: https://sklep.pkn.pl/pn-en-iso-11348-2-2008-a1-2019-03e.html (accessed on 10 October 2022).
- Wolska, L.; Mędrzycka, K. Assessing the Ecotoxicity of the Bottom Sediments from the Sea Ports of Gdansk and Gdynia. Environ. Pollut. Control 2009, 31, 49–52. Available online: https://www.infona.pl/resource/bwmeta1.element.baztech-article-BPOM-0012-0009?locale=en (accessed on 13 October 2022).
- Nielsen, P.H.; Lemmer, H.; Daims, H. Identification and Quantification of Microorganisms in Activated Sludge and Biofilms by FISH: Introduction. In FISH Handbook for Biological Wastewater Treatment; Balint, G., Antala, B., Carty, C., Mabieme, J.-M.A., Amar, I.B., Kaplanova, A., Eds.; IWA Publishing: London, UK, 2009; Volume 7, pp. 1–8. Available online: https://vbn.aau.dk/en/publications/identification-and-quantification-of-microorganisms-in-activated- (accessed on 13 October 2022).
- Rajeshwari, K.V.; Balakrishnan, M.; Kansal, A.; Lata, K.; Kishore, V.V.N. State-of-the-Art of Anaerobic Digestion Technology for Industrial Wastewater Treatment. Renew. Sustain. Energy Rev. 2000, 4, 135–156. [Google Scholar] [CrossRef]
- Stahl, D.A.; Amann, R.I. Development and Application of Nucleic Acid Probes. In Nucleic Acid Techniques in Bacterial Systematic; Stackbrandt, E., Goodfellow, M., Eds.; John Wiley & Sons: New York, NY, USA, 1991; pp. 205–248. Available online: https://cir.nii.ac.jp/crid/1570009749650622080 (accessed on 13 October 2022).
- Raskin, L.; Stromley, J.M.; Rittmann, B.E.; Stahl, D.A. Group-Specific 16S RRNA Hybridization Probes to Describe Natural Communities of Methanogens. Appl. Environ. Microbiol. 1994, 60, 1232–1240. [Google Scholar] [CrossRef]
- Dębowski, M.; Szwaja, S.; Zieliński, M.; Kisielewska, M.; Stańczyk-Mazanek, E. The Influence of Anaerobic Digestion Effluents (ADEs) Used as the Nutrient Sources for Chlorella Sp. Cultivation on Fermentative Biogas Production. Waste Biomass Valorization 2017, 8, 1153–1161. [Google Scholar] [CrossRef]
- Atay, Ş.; Akbal, F. Classification and Effects of Sludge Disintegration Technologies Integrated Into Sludge Handling Units: An Overview. Clean–Soil Air Water 2016, 44, 1198–1213. [Google Scholar] [CrossRef]
- Hutagalung, S.S.; Muchlis, I.; Khotimah, K. Textile Wastewater Treatment Using Advanced Oxidation Process (AOP). IOP Conf. Ser. Mater. Sci. Eng. 2020, 722, 012032. [Google Scholar] [CrossRef]
- Fontmorin, J.M.; Sillanpää, M. Dewatering and Removal of Metals from Urban Anaerobically Digested Sludge by Fenton’s Oxidation. Environ. Technol. 2016, 38, 495–505. [Google Scholar] [CrossRef]
- Yu, W.; Yang, J.; Tao, S.; Shi, Y.; Yu, J.; Lv, Y.; Liang, S.; Xiao, K.; Liu, B.; Hou, H.; et al. A Comparatively Optimization of Dosages of Oxidation Agents Based on Volatile Solids and Dry Solids Content in Dewatering of Sewage Sludge. Water Res. 2017, 126, 342–350. [Google Scholar] [CrossRef]
- Hu, S.; Hu, J.; Liu, B.; Wang, D.; Wu, L.; Xiao, K.; Liang, S.; Hou, H.; Yang, J. In Situ Generation of Zero Valent Iron for Enhanced Hydroxyl Radical Oxidation in an Electrooxidation System for Sewage Sludge Dewatering. Water Res. 2018, 145, 162–171. [Google Scholar] [CrossRef]
- Hallaji, S.M.; Torabian, A.; Aminzadeh, B.; Zahedi, S.; Eshtiaghi, N. Improvement of Anaerobic Digestion of Sewage Mixed Sludge Using Free Nitrous Acid and Fenton Pre-Treatment. Biotechnol. Biofuels 2018, 11, 233. [Google Scholar] [CrossRef]
- Cheng, Y.; Chen, Y.; Lu, J.; Nie, J.; Liu, Y. Fenton Treatment of Bio-Treated Fermentation-Based Pharmaceutical Wastewater: Removal and Conversion of Organic Pollutants as Well as Estimation of Operational Costs. Environ. Sci. Pollut. Res. 2018, 25, 12083–12095. [Google Scholar] [CrossRef]
- Jain, B.; Singh, A.K.; Kim, H.; Lichtfouse, E.; Sharma, V.K. Treatment of Organic Pollutants by Homogeneous and Heterogeneous Fenton Reaction Processes. Environ. Chem. Lett. 2018, 16, 947–967. [Google Scholar] [CrossRef]
- Lima, V.N.; Rodrigues, C.S.D.; Madeira, L.M. Simultaneous Treatment of Toluene-Containing Gas Waste and Industrial Wastewater by the Fenton Process. Sci. Total Environ. 2020, 749, 141497. [Google Scholar] [CrossRef]
- Taşcı, S.; Özgüven, A.; Yıldız, B. Multi-Response/Multi-Step Optimization of Heterogeneous Fenton Process with Fe3O4 Catalyst for the Treatment of Landfill Leachate. Water. Air. Soil Pollut. 2021, 232, 275. [Google Scholar] [CrossRef]
- Zhong, Q.; Zhang, Z.; Fu, Q.; Yu, J.; Liao, X.; Zhao, J.; He, D. Molecular Level Insights into HO• and Cl2•−-Mediated Transformation of Dissolved Organic Matter in Landfill Leachate Concentrates during the Fenton Process. Chem. Eng. J. 2022, 446, 137062. [Google Scholar] [CrossRef]
- Ikehata, K.; Li, Y. Ozone-Based Processes. In Advanced Oxidation Processes for Waste Water Treatment. Emerging Green Chemical Technology; Academic Press: Cambridge, MA, USA, 2018; pp. 115–134. [Google Scholar] [CrossRef]
- Catalkaya, E.C.; Kargi, F. Effects of Operating Parameters on Advanced Oxidation of Diuron by the Fenton’s Reagent: A Statistical Design Approach. Chemosphere 2007, 69, 485–492. [Google Scholar] [CrossRef] [PubMed]
- Pérez, M.; Torrades, F.; García-Hortal, J.A.; Domènech, X.; Peral, J. Removal of Organic Contaminants in Paper Pulp Treatment Effluents under Fenton and Photo-Fenton Conditions. Appl. Catal. B Environ. 2002, 36, 63–74. [Google Scholar] [CrossRef]
- Affam, A.C.; Ezechi, E.H.; Chaudhuri, M. Classical Fenton and Sequencing Batch Reactor Treatment of Pesticide Wastewater. In Handbook of Research on Resource Management for Pollution and Waste Treatment; IGI Global: Hershey, PA, USA, 2020; pp. 373–403. [Google Scholar] [CrossRef]
- Barbusiński, K.; Filipek, K. Use of Fenton’s Reagent for Removal of Pesticides from Industrial Wastewater. Pol. J. Environ. Stud. 2001, 10, 207–212. Available online: http://www.pjoes.com/Use-of-Fenton-s-reagent-for-removal-of-pesticides-from-industrial-wastewater,87375,0,2.html (accessed on 14 October 2022).
- Gerulová, K.; Soldán, M.; Kucmanová, A.; Sanny, Z. The effect of fenton’s reagent in combination with ozone to the biodegradability of metalworking fluids wastewaters. J. Chem. Technol. Metall. 2020, 55, 2136–2141. Available online: https://journal.uctm.edu/node/j2020-6/22_19-206_p_2136-2141.pdf (accessed on 14 October 2022).
- Lin, Z.; Zhang, C.; Su, P.; Lu, W.; Zhang, Z.; Wang, X.; Hu, W.; Lin, Z.; Zhang, C.; Su, P.; et al. Fenton Process for Treating Acrylic Manufacturing Wastewater: Parameter Optimization, Performance Evaluation, Degradation Mechanism. Water 2022, 14, 2913. [Google Scholar] [CrossRef]
- Gogate, P.R.; Pandit, A.B. A Review of Imperative Technologies for Wastewater Treatment I: Oxidation Technologies at Ambient Conditions. Adv. Environ. Res. 2004, 8, 501–551. [Google Scholar] [CrossRef]
- Xu, M.; Wu, C.; Zhou, Y. Advanced Oxidation Processes Applications, Trends, and Prospects; IntechOpen: London, UK, 2020. [Google Scholar]
- Tang, S.; Wang, Z.; Yuan, D.; Zhang, C.; Rao, Y.; Wang, Z.; Yin, K. Ferrous Ion-Tartaric Acid Chelation Promoted Calcium Peroxide Fenton-like Reactions for Simulated Organic Wastewater Treatment. J. Clean. Prod. 2020, 268, 122253. [Google Scholar] [CrossRef]
- Liu, Y.; Zhao, Y.; Wang, J. Fenton/Fenton-like Processes with in-Situ Production of Hydrogen Peroxide/Hydroxyl Radical for Degradation of Emerging Contaminants: Advances and Prospects. J. Hazard. Mater. 2021, 404, 124191. [Google Scholar] [CrossRef]
- Zhao, M.; Xiang, Y.; Jiao, X.; Cao, B.; Tang, S.; Zheng, Z.; Zhang, X.; Jiao, T.; Yuan, D. MoS2 Co-Catalysis Promoted CaO2 Fenton-like Process: Performance and Mechanism. Sep. Purif. Technol. 2021, 276, 119289. [Google Scholar] [CrossRef]
- Shokri, A.; Bayat, A.; Mahanpoor, K. Employing Fenton-like Process for the Remediation of Petrochemical Wastewater through Box-Behnken Design Method. Desal Water Treat 2019, 166, 135–143. [Google Scholar] [CrossRef]
- Ntampegliotis, K.; Riga, A.; Karayannis, V.; Bontozoglou, V.; Papapolymerou, G. Decolorization Kinetics of Procion H-Exl Dyes from Textile Dyeing Using Fenton-like Reactions. J. Hazard. Mater. 2006, 136, 75–84. [Google Scholar] [CrossRef]
- Chen, M.; Zhang, Z.; Zhu, L.; Wang, N.; Tang, H. Bisulfite-Induced Drastic Enhancement of Bisphenol A Degradation in Fe3+-H2O2 Fenton System. Chem. Eng. J. 2019, 361, 1190–1197. [Google Scholar] [CrossRef]
- Spuhler, D.; Andrés Rengifo-Herrera, J.; Pulgarin, C. The Effect of Fe2+, Fe3+, H2O2 and the Photo-Fenton Reagent at near Neutral PH on the Solar Disinfection (SODIS) at Low Temperatures of Water Containing Escherichia Coli K12. Appl. Catal. B Environ. 2010, 96, 126–141. [Google Scholar] [CrossRef]
- Arslan-Alaton, I.; Gurses, F. Photo-Fenton-like and Photo-Fenton-like Oxidation of Procaine Penicillin G Formulation Effluent. J. Photochem. Photobiol. A Chem. 2004, 165, 165–175. [Google Scholar] [CrossRef]
- Verma, M.; Haritash, A.K. Degradation of Amoxicillin by Fenton and Fenton-Integrated Hybrid Oxidation Processes. J. Environ. Chem. Eng. 2019, 7, 102886. [Google Scholar] [CrossRef]
- Hashemian, S.; Tabatabaee, M.; Gafari, M. Fenton Oxidation of Methyl Violet in Aqueous Solution. J. Chem. 2013, 2013, 509097. [Google Scholar] [CrossRef]
- Pak, D.; Chang, W. Oxidation of Aqueous Cyanide Solution Using Hydrogen Peroxide in the Presence of Heterogeneous Catalyst. Environ. Technol. 2010, 18, 557–561. [Google Scholar] [CrossRef]
- Brillas, E.; Sirés, I.; Oturan, M.A. Electro-Fenton Process and Related Electrochemical Technologies Based on Fenton’s Reaction Chemistry. Chem. Rev. 2009, 109, 6570–6631. [Google Scholar] [CrossRef]
- Krzemieniewski, M.; Dębowski, M.; Sikora, J. Possibility of Fenton’s Reaction Application for Processes of Conditioning and Stabilization of Sludge Coming from Intensive Pisciculture Plants. Annu. Set Environ. Prot. 2005, 7, 99–115. Available online: https://yadda.icm.edu.pl/baztech/element/bwmeta1.element.baztech-article-BPW8-0003-0096 (accessed on 14 October 2022).
- Alalm, M.G.; Tawfik, A.; Ookawara, S. Degradation of Four Pharmaceuticals by Solar Photo-Fenton Process: Kinetics and Costs Estimation. J. Environ. Chem. Eng. 2015, 3, 46–51. [Google Scholar] [CrossRef]
- Merzari, F.; Langone, M.; Andreottola, G.; Fiori, L. Methane Production from Process Water of Sewage Sludge Hydrothermal Carbonization. A Review. Valorising Sludge through Hydrothermal Carbonization. Crit. Rev. Environ. Sci. Technol. 2019, 49, 947–988. [Google Scholar] [CrossRef]
- Zieliński, M.; Dębowski, M.; Kazimierowicz, J. The Effect of Static Magnetic Field on Methanogenesis in the Anaerobic Digestion of Municipal Sewage Sludge. Energies 2021, 14, 590. [Google Scholar] [CrossRef]
- Chen, P.; Sun, F.; Wang, W.; Tan, F.; Wang, X.; Qiao, X. Facile One-Pot Fabrication of ZnO2 Particles for the Efficient Fenton-like Degradation of Tetracycline. J. Alloy. Compd. 2020, 834, 155220. [Google Scholar] [CrossRef]
- Gao, Y.; Zhu, W.; Liu, J.; Lin, P.; Zhang, J.; Huang, T.; Liu, K. Mesoporous Sulfur-Doped CoFe2O4 as a New Fenton Catalyst for the Highly Efficient Pollutants Removal. Appl. Catal. B Environ. 2021, 295, 120273. [Google Scholar] [CrossRef]
- Zawieja, I.; Brzeska, K. Biogas Production in the Methane Fermentation of Excess Sludge Oxidized with Fenton’s Reagent. E3S Web Conf. 2019, 116, 00104. [Google Scholar] [CrossRef]
- Dewil, R.; Appels, L.; Baeyens, J.; Degrève, J. Peroxidation Enhances the Biogas Production in the Anaerobic Digestion of Biosolids. J. Hazard. Mater. 2007, 146, 577–581. [Google Scholar] [CrossRef]
- Dhar, B.R.; Youssef, E.; Nakhla, G.; Ray, M.B. Pretreatment of Municipal Waste Activated Sludge for Volatile Sulfur Compounds Control in Anaerobic Digestion. Bioresour. Technol. 2011, 102, 3776–3782. [Google Scholar] [CrossRef]
- Erden, G.; Filibeli, A. Improving Anaerobic Biodegradability of Biological Sludges by Fenton Pre-Treatment: Effects on Single Stage and Two-Stage Anaerobic Digestion. Desalination 2010, 251, 58–63. [Google Scholar] [CrossRef]
- Amor, C.; Lucas, M.S.; García, J.; Dominguez, J.R.; De Heredia, J.B.; Peres, J.A. Combined Treatment of Olive Mill Wastewater by Fenton’s Reagent and Anaerobic Biological Process. J. Environ. Sci. Health Part A 2015, 50, 161–168. [Google Scholar] [CrossRef]
- Bampalioutas, K.; Vlysidis, A.; Lyberatos, G.; Vlyssides, A. Detoxification and Methane Production Kinetics from Three-Phase Olive Mill Wastewater Using Fenton’s Reagent Followed by Anaerobic Digestion. J. Chem. Technol. Biotechnol. 2019, 94, 265–275. [Google Scholar] [CrossRef]
- Singh, R.; Dong, H.; Liu, D.; Zhao, L.; Marts, A.R.; Farquhar, E.; Tierney, D.L.; Almquist, C.B.; Briggs, B.R. Reduction of Hexavalent Chromium by the Thermophilic Methanogen Methanothermobacter Thermautotrophicus. Geochim. Cosmochim. Acta 2015, 148, 442–456. [Google Scholar] [CrossRef]
- Kaynak, G.; Filibeli, A. Assessment of Fenton Process as a Minimization Technique for Biological Sludge: Effects on Anaerobic Sludge Bioprocessing. J. Residuals Sci. Technol. 2008, 5, 343–354. Available online: https://avesis.deu.edu.tr/yayin/b82cacf6-a064-4706-b0b0-6ec7fb5ef775/assessment-of-fenton-process-as-a-minimization-technique-for-biological-sludge-effects-on-anaerobic-sludge-bioprocessing (accessed on 12 October 2022).
- Pilli, S.; Yan, S.; Tyagi, R.D.; Surampalli, R.Y. Overview of Fenton Pre-Treatment of Sludge Aiming to Enhance Anaerobic Digestion. Rev. Environ. Sci. Biotechnol. 2015, 14, 453–472. [Google Scholar] [CrossRef]
- Ambrose, H.W.; Philip, L.; Suraishkumar, G.K.; Sen, T. Anaerobic Co-Digestion of Mixed Activated Sewage Sludge and Fruit and Vegetable Waste on Two-Stage Digester Stability. Authorea Prepr. 2020, 1–17. Available online: https://www.authorea.com/doi/full/10.22541/au.158379563.32487452 (accessed on 15 October 2022). [CrossRef]
- Nkuna, R.; Roopnarain, A.; Adeleke, R. Effects of Organic Loading Rates on Microbial Communities and Biogas Production from Water Hyacinth: A Case of Mono- and Co-Digestion. J. Chem. Technol. Biotechnol. 2019, 94, 1294–1304. [Google Scholar] [CrossRef]
- M’Arimi, M.M.; Kiprop, A.K.; Ramkat, R.C.; Kiriamiti, H.K. Progress in Applications of Advanced Oxidation Processes for Promotion of Biohydrogen Production by Fermentation Processes. Biomass Convers. Biorefinery 2020, 12, 6033–6057. [Google Scholar] [CrossRef]
- Del Álamo, A.C.; Pariente, M.I.; Vasiliadou, I.; Padrino, B.; Puyol, D.; Molina, R.; Martínez, F. Removal of Pharmaceutical Compounds from Urban Wastewater by an Advanced Bio-Oxidation Process Based on Fungi Trametes Versicolor Immobilized in a Continuous RBC System. Environ. Sci. Pollut. Res. 2018, 25, 34884–34892. [Google Scholar] [CrossRef]
- Cuerda-Correa, E.M.; Alexandre-Franco, M.F.; Fernández-González, C. Advanced Oxidation Processes for the Removal of Antibiotics from Water. An Overview. Water 2019, 12, 102. [Google Scholar] [CrossRef]
- Almomani, F.; Bhosale, R.R.; Khraisheh, M.A.M.; Shawaqfah, M. Enhancement of Biogas Production from Agricultural Wastes via Pre-Treatment with Advanced Oxidation Processes. Fuel 2019, 253, 964–974. [Google Scholar] [CrossRef]
- Malik, S.N.; Madhu, K.; Mhaisalkar, V.A.; Vaidya, A.N.; Mudliar, S.N. Pretreatment of Yard Waste Using Advanced Oxidation Processes for Enhanced Biogas Production. Biomass Bioenergy 2020, 142, 105780. [Google Scholar] [CrossRef]














| Phase 1 (P1)—AOP | ||
|---|---|---|
| Variant (V) | Series 1 (S1)—Fe2+/H2O2 | Series 2 (S2)—Fe3+/H2O2 |
| g/dm3 | ||
| V1 | 0.50/2.0 | 0.50/2.0 |
| V2 | 0.75/3.0 | 0.75/3.0 |
| V3 | 1.00/4.0 | 1.00/4.0 |
| V4 | 1.50/6.0 | 1.50/6.0 |
| V5 | 2.00/8.0 | 2.00/8.0 |
| Phase 2 (P2)— each variant of AOP of PSS was tested with regard to AD performance by means of respirometric measurements in semi-batch reactors. P2 was divided into the same series (S1, S2) and variants (V1–V5) as P1. | ||
| Indicator | Unit | PSS | AS |
|---|---|---|---|
| pH | - | 7.3 ± 0.2 | 7.1 ± 0.1 |
| Total solids (TS) | % | 6.4 ± 0.4 | 2.2 ± 0.4 |
| Volatile solids (VS) | %TS | 78.7 ± 0.9 | 69.9 ± 0.6 |
| Mineral solids (MS) | %TS | 27.3 ± 0.7 | 30.1 ± 0.7 |
| Total carbon (TC) | mg/gTS | 430 ± 13 | 277 ± 11 |
| Total organic carbon (TOC) | mg/gTS | 326 ± 10 | 201 ± 12 |
| Total nitrogen (TN) | mg/gTS | 24 ± 3 | 20 ± 1.7 |
| Total phosphorus (TP) | mg/gTS | 2.1 ± 0.7 | 1.7 ± 0.2 |
| Organic carbon to nitrogen ratio (C/N) | - | 13.5 ± 1.4 | 10 ± 1.1 |
| Protein | %TS | 15.4 ± 1.9 | 12.2 ± 1.2 |
| Lipids | %TS | 10.1 ± 1.1 | 4.1 ± 0.4 |
| Sugars | %TS | 13.7 ± 2.3 | 1.6 ± 0.3 |
| Factor | Unit | Series (S)–Variant (V) | |||||
|---|---|---|---|---|---|---|---|
| Control | S1V1 | S1V2 | S1V3 | S1V4 | S1V5 | ||
| VS | Concentration (%TS) | 78.7 ± 1.0 | 77.1 ± 2.7 | 76.7 ± 2.6 | 75.0 ± 1.1 | 74.4 ± 2.0 | 73.3 ± 2.2 |
| Removal (%) | - | 2.0 ± 0.07 | 2.5 ± 0.07 | 4.7 ± 0.03 | 5.4 ± 0.08 | 6.8 ± 0.1 | |
| TOC | Concentration (mg/dm3) | 326.3 ± 10.1 | 324.0 ± 14.7 | 314.0 ± 15.1 | 314.7 ± 9.3 | 302.3 ± 20.2 | 296.1 ± 5.0 |
| Removal (%) | - | 0.7 ± 0.03 | 3.8 ± 0.04 | 3.6 ± 0.02 | 7.3 ± 0.05 | 9.2 ± 0.02 | |
| Factor | Unit | Series (S)–Variant (V) | |||||
| Control | S2V1 | S2V2 | S2V3 | S2V4 | S2V5 | ||
| VS | Concentration (%TS) | 78.7 ± 1.0 | 78.5 ± 0.4 | 78.4 ± 1.2 | 77.0 ± 0.3 | 77.2 ± 1.1 | 76.3 ± 0.6 |
| Removal (%) | - | 0.2 ± 0.02 | 0.3 ± 0.03 | 2.1 ± 0.01 | 1.9 ± 0.04 | 2.9 ± 0.02 | |
| TOC | Concentration (mg/dm3) | 326.3 ± 10.1 | 325.7 ± 8.1 | 318.0 ± 6.6 | 321.7 ± 12.8 | 305.0 ± 10.6 | 303.0 ± 8.5 |
| Removal (%) | - | 0.2 ± 0.01 | 2.5 ± 0.02 | 1.4 ± 0.03 | 6.5 ± 0.03 | 7.1 ± 0.02 | |
| Factor | Unit | Series (S)–Variant (V) | |||||
|---|---|---|---|---|---|---|---|
| Control | S1V1 | S1V2 | S1V3 | S1V4 | S1V5 | ||
| % | 43.15 ± 2.2 | 43.18 ± 4.1 | 35.17 ± 4.2 | 47.69 ± 3.8 | 59.18 ± 2.3 | 58.50 ± 3.2 | |
| cm3/gVSrem. | 1455 ± 10 | 1480 ± 13 | 1708 ± 15 | 1309 ± 11 | 1184 ± 15 | 1182 ± 18 | |
| cm3/gVSrem. | 869 ± 8 | 854 ± 5 | 1047 ± 9 | 816 ± 8 | 762 ± 7 | 780 ± 9 | |
| Factor | Unit | Series (S)–Variant (V) | |||||
| Control | S2V1 | S2V2 | S2V3 | S2V4 | S2V5 | ||
| % | 43.15 ± 2.2 | 38.21 ± 3.1 | 40.21 ± 3.0 | 48.05 ± 2.2 | 49.04 ± 3.4 | 45.58 ± 2.1 | |
| cm3/gVSrem. | 1455 ± 10 | 1594 ± 18 | 1497 ± 13 | 1309 ± 17 | 1431 ± 15 | 1509 ± 19 | |
| cm3/gVSrem. | 869 ± 8 | 935 ± 9 | 903 ± 5 | 794 ± 7 | 825 ± 8 | 860 ± 8 | |
| Taxonomic Group | S1–Fe2+/H2O2 | |||||
|---|---|---|---|---|---|---|
| Control | V1 | V2 | V3 | V4 | V6 | |
| Bacteria (EUB338) | 69 ± 10 | 70 ± 11 | 71 ± 12 | 69 ± 10 | 68 ± 13 | 69 ± 11 |
| Archaea (ARC915) | 23 ± 5 | 26 ± 6 | 26 ± 6 | 26 ± 6 | 30 ± 7 | 31 ± 7 |
| Methanosarcinaceae (MSMX860) | 11 ± 4 | 11 ± 4 | 13 ± 6 | 12 ± 5 | 13 ± 5 | 14 ± 6 |
| Methanosaeta (MX825) | 6 ± 2 | 7 ± 3 | 8 ± 3 | 8 ± 4 | 10 ± 4 | 10 ± 4 |
| Taxonomic Group | S2–Fe3+/H2O2 | |||||
| Control | V1 | V2 | V3 | V4 | V6 | |
| Bacteria (EUB338) | 69 ± 10 | 68 ± 10 | 70 ± 14 | 69 ± 12 | 67 ± 11 | 68 ± 12 |
| Archaea (ARC915) | 23 ± 5 | 23 ± 6 | 22 ± 5 | 22 ± 5 | 20 ± 6 | 19 ± 5 |
| Methanosarcinaceae (MSMX860) | 11 ± 5 | 12 ± 6 | 10 ± 4 | 11 ± 5 | 9 ± 4 | 9 ± 4 |
| Methanosaeta (MX825) | 6 ± 2 | 8 ± 3 | 9 ± 4 | 8 ± 3 | 6 ± 2 | 7 ± 3 |
Disclaimer/Publisher’s Note: The statements, opinions and data contained in all publications are solely those of the individual author(s) and contributor(s) and not of MDPI and/or the editor(s). MDPI and/or the editor(s) disclaim responsibility for any injury to people or property resulting from any ideas, methods, instructions or products referred to in the content. |
© 2022 by the authors. Licensee MDPI, Basel, Switzerland. This article is an open access article distributed under the terms and conditions of the Creative Commons Attribution (CC BY) license (https://creativecommons.org/licenses/by/4.0/).
Share and Cite
Kazimierowicz, J.; Dębowski, M.; Zieliński, M. Effect of Pharmaceutical Sludge Pre-Treatment with Fenton/Fenton-like Reagents on Toxicity and Anaerobic Digestion Efficiency. Int. J. Environ. Res. Public Health 2023, 20, 271. https://doi.org/10.3390/ijerph20010271
Kazimierowicz J, Dębowski M, Zieliński M. Effect of Pharmaceutical Sludge Pre-Treatment with Fenton/Fenton-like Reagents on Toxicity and Anaerobic Digestion Efficiency. International Journal of Environmental Research and Public Health. 2023; 20(1):271. https://doi.org/10.3390/ijerph20010271
Chicago/Turabian StyleKazimierowicz, Joanna, Marcin Dębowski, and Marcin Zieliński. 2023. "Effect of Pharmaceutical Sludge Pre-Treatment with Fenton/Fenton-like Reagents on Toxicity and Anaerobic Digestion Efficiency" International Journal of Environmental Research and Public Health 20, no. 1: 271. https://doi.org/10.3390/ijerph20010271
APA StyleKazimierowicz, J., Dębowski, M., & Zieliński, M. (2023). Effect of Pharmaceutical Sludge Pre-Treatment with Fenton/Fenton-like Reagents on Toxicity and Anaerobic Digestion Efficiency. International Journal of Environmental Research and Public Health, 20(1), 271. https://doi.org/10.3390/ijerph20010271
