Effects of Environmental Features in Small Public Urban Green Spaces on Older Adults’ Mental Restoration: Evidence from Tokyo
Abstract
:1. Introduction
1.1. Environmental Features in SPUGS
1.2. Mental Restoration of Older Adults
1.3. Research Framework
2. Materials and Methods
2.1. Overall Research Procedure
2.2. Selection of Targeted Parks and SPUGS Typologies
2.3. Environmental Factors and Variable Measurements
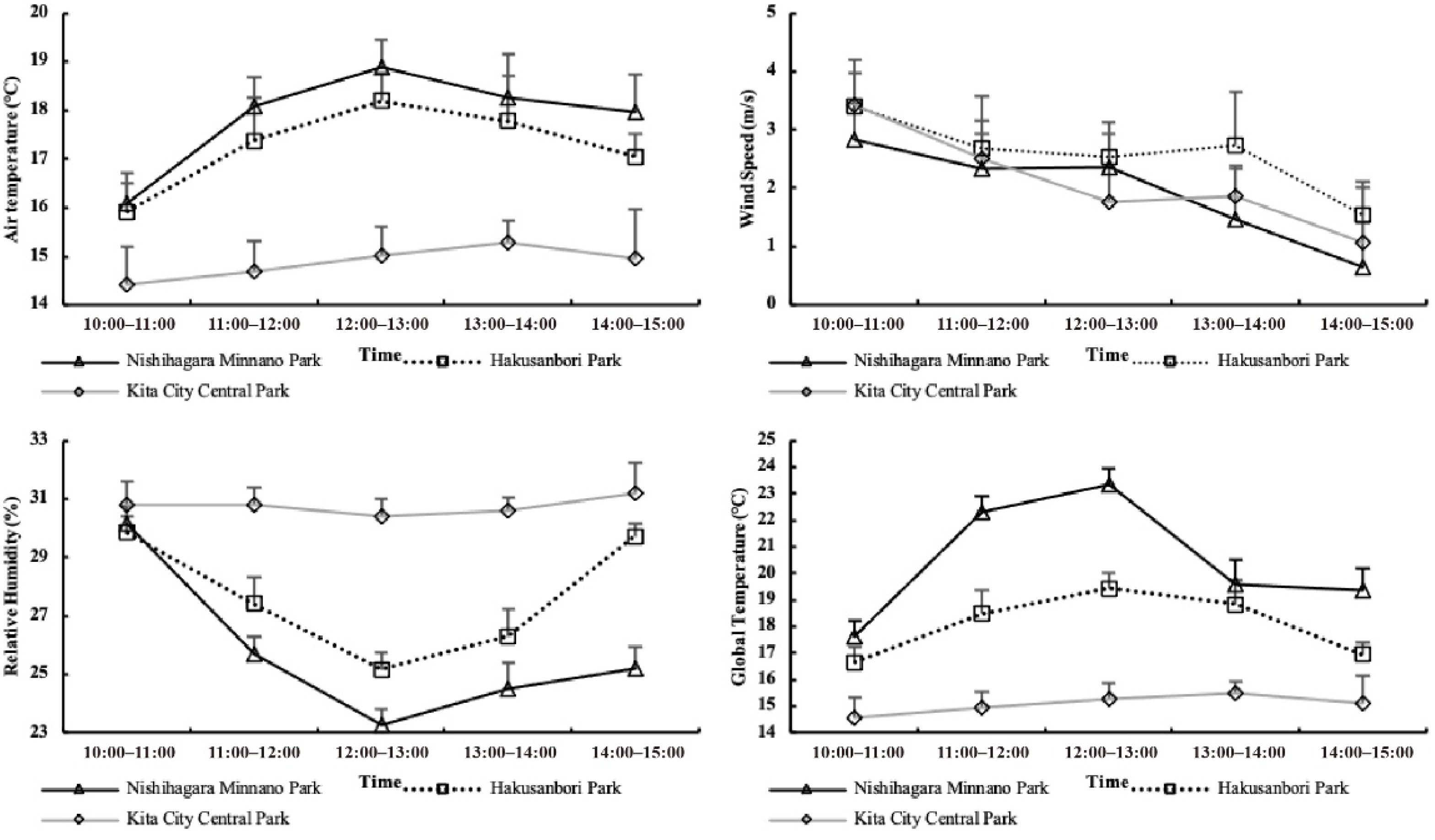
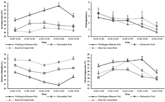
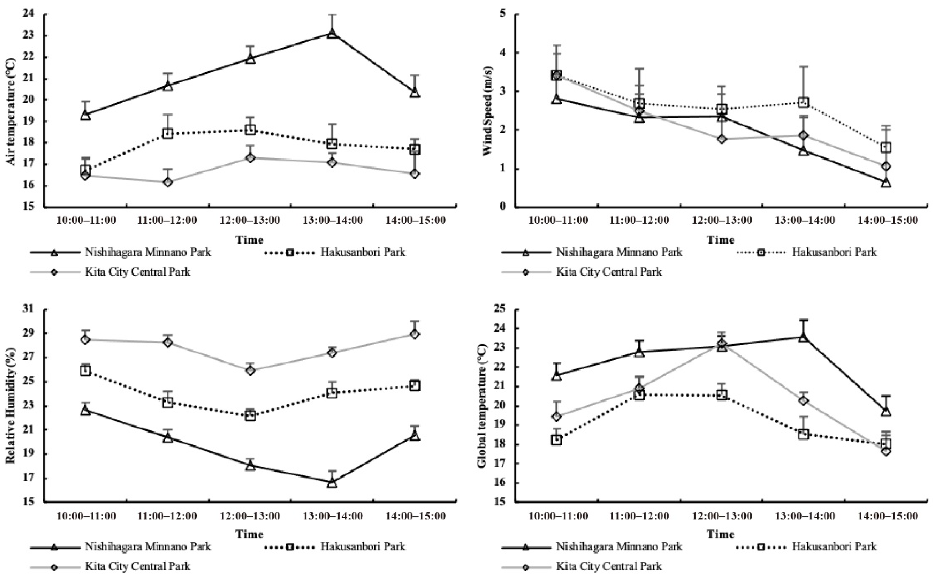
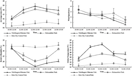
2.3.1. Microclimate Measurement
2.3.2. Spatial Form, Nature, and Facility Feature Variables
2.4. Questionnaire Survey
2.5. Statistical Analysis
3. Results
3.1. The SPUGS’s Environment Features and Respondents’ Characteristics
3.2. Effects of Individual and Environmental Features on ROS
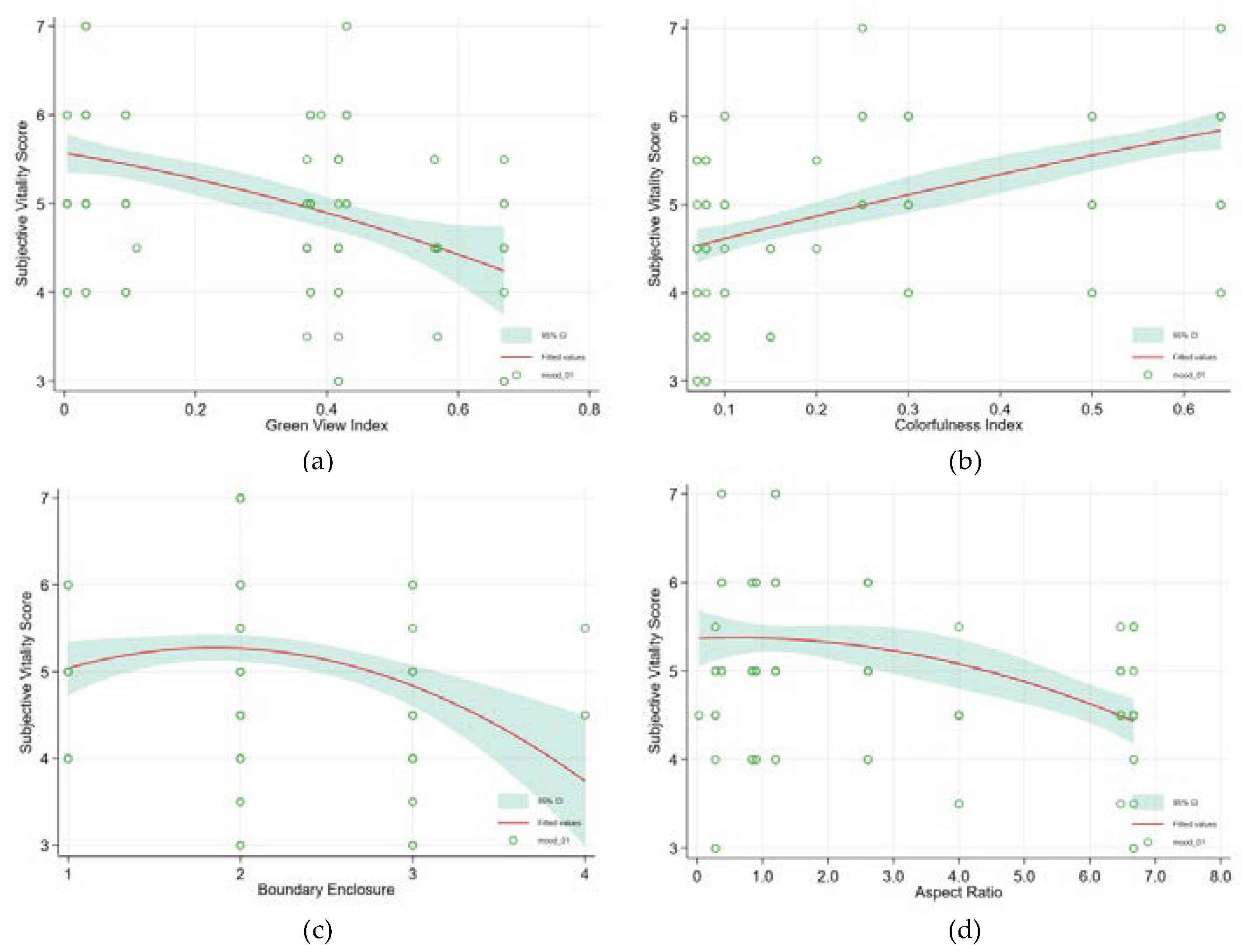
3.3. Effects of Individual and Environmental Features on Subjective Vitality Benefits
4. Discussion
Limitations and Implications
5. Conclusions
- Participants over 70 were more likely to gain revitalization benefits from the SPUGS. When the older adults remained in the SPUGS for more than 30 min, the ROS and self-reported vitality restoration scores increased significantly. Companionship was found to exert an influence on the psychological benefits gained during visits to the parks, which supports previous studies;
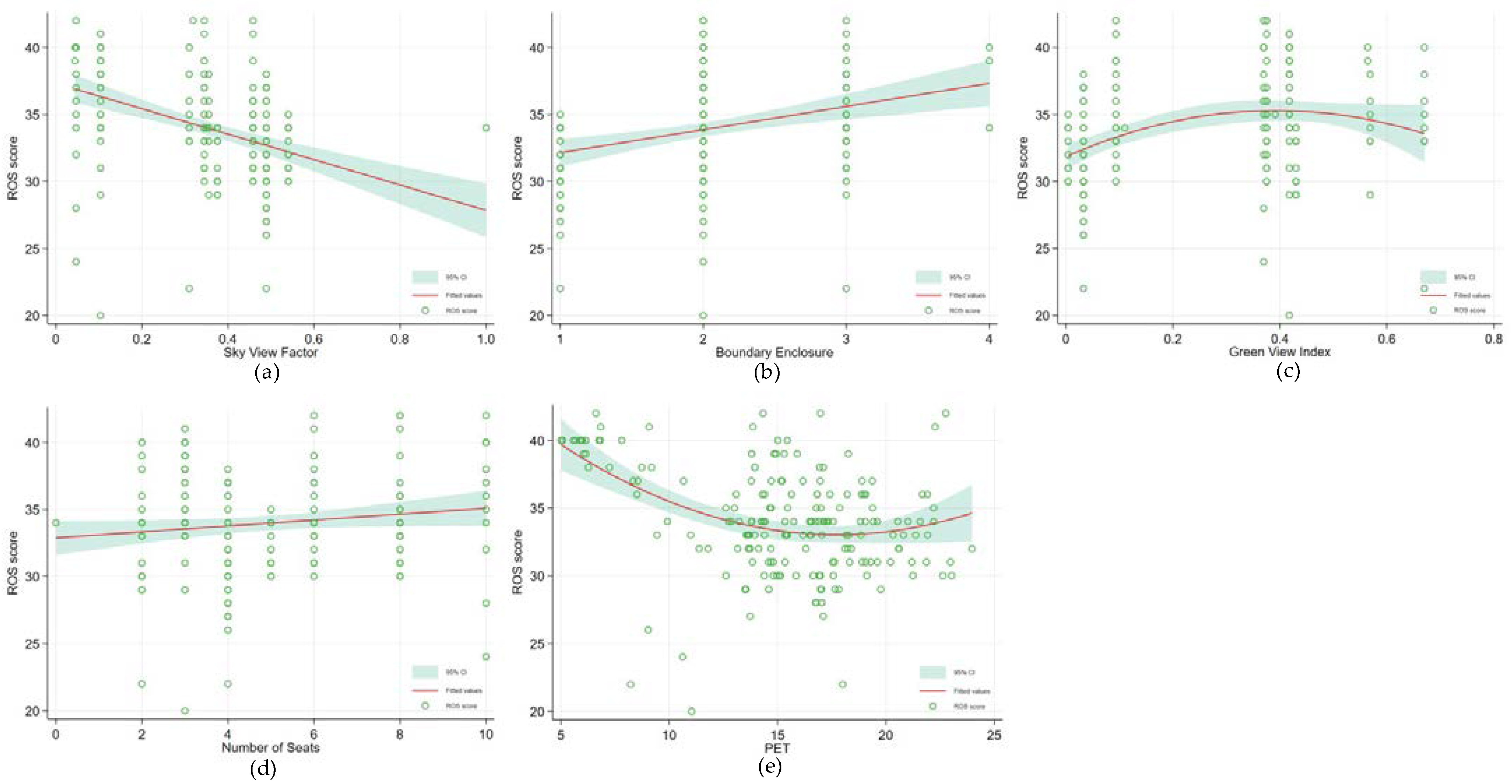
- The sky view factor strongly affected the older adults’ restorative effects. The boundary enclosure and green view index have a significant impact, which suggests that shrubs and trees should be combined to provide older adults with a greater sense of enclosure and security, as well as offer a more appropriate level of greenness. The green view index should be about 0.4. Spaces with a proper number of seats are more inclined to provide psychological recovery benefits;
- The vitalizing effects were significantly affected by the colorfulness index, green vision rate, water features, road paving, boundary enclosure, and aspect ratio. Older adults can benefit from vitality recovery when visiting SPUGS through the perception of aesthetic and space edge protection. In addition, water features should be avoided in SPUGS;
- PET was confirmed to have negative, direct effects on the restorative benefits of older adults within the range of 5–20 °C. The relationship was more prominent in older respondents with a PET of more than 16 °C.
Author Contributions
Funding
Institutional Review Board Statement
Informed Consent Statement
Data Availability Statement
Acknowledgments
Conflicts of Interest
Nomenclature
| SPUGS | Small Public Urban Green Space |
| UGS | Urban Green Space |
| ART | Attention Restoration Theory |
| SRT | Stress Reduction Theory |
| PET | Physiological Equivalent Temperature |
| ROS | Restoration Outcome Scale |
Appendix A

Appendix B


References
- Ministry of Health, Labour and Welfare. The White Paper on Health, Labour and Welfare in Japan. 2020. Available online: https://www.mhlw.go.jp/content/000735866.pdf.2020 (accessed on 6 April 2022).
- Zhao, L.; Wu, L. The Association between Social Participation and Loneliness of the Chinese Older Adults over Time—The Mediating Effect of Social Support. Int. J. Environ. Res. Public Health 2022, 19, 815. [Google Scholar] [CrossRef] [PubMed]
- Czaja, S.J.; Moxley, J.H.; Rogers, W.A. Social Support, Isolation, Loneliness, and Health Among Older Adults in the PRISM Randomized Controlled Trial. Front. Psychol. 2021, 12, 728658. [Google Scholar] [CrossRef] [PubMed]
- The Patient Survey 2017. 2017. Available online: https://www.mhlw.go.jp/toukei/saikin/hw/kanja/17/index.html.2017. (accessed on 6 April 2022).
- Lee, K.; Jeong, G.-C.; Yim, J. Consideration of the Psychological and Mental Health of the Elderly during COVID-19: A Theoretical Review. IInt. J. Environ. Res. Public Health 2020, 17, 8098. [Google Scholar] [CrossRef] [PubMed]
- Yamamoto, T.; Uchiumi, C.; Suzuki, N.; Yoshimoto, J.; Murillo-Rodriguez, E. The Psychological Impact of ’Mild Lockdown’ in Japan during the COVID-19 Pandemic: A Nationwide Survey under a Declared State of Emergency. Int. J. Environ. Res. Public Health 2020, 17, 9382. [Google Scholar] [CrossRef]
- Takano, T.; Nakamura, K.; Watanabe, M. Urban residential environments and senior citizens’ longevity in megacity areas: The importance of walkable green spaces. J. Epidemiol. Community Health 2002, 56, 913–918. [Google Scholar] [CrossRef] [Green Version]
- Ribeiro, A.I.; Pires, A.; Carvalho, M.S.; Pina, M.F. Distance to parks and non-residential destinations influences physical activity of older people, but crime doesn’t: A cross-sectional study in a southern European city. BMC Public Health 2015, 15, 593. [Google Scholar] [CrossRef] [Green Version]
- Hilisdon, M.; Panter, J.; Foster, C.; Jones, A. The relationship between access and quality of urban green space with population physical activity. Public Health 2006, 120, 1127–1132. [Google Scholar] [CrossRef]
- King, W.C.; Belle, S.H.; Brach, J.S.; Simkin-Silverman, L.R.; Soska, T.; Kriska, A.M. Objective measures of neighborhood environment and physical activity in older women. Am. J. Prev. Med. 2005, 28, 461–469. [Google Scholar] [CrossRef]
- Tan, Z.; Lau, K.K.-L.; Roberts, A.C.; Chao, S.T.-Y.; Ng, E. Designing Urban Green Spaces for Older Adults in Asian Cities. Int. J. Environ. Res. Public Health 2019, 16, 4423. [Google Scholar] [CrossRef] [Green Version]
- Brown, S.C.; Perrino, T.; Lombard, J.; Wang, K.F.; Toro, M.; Rundek, T.; Gutierrez, C.M.; Dong, C.H.; Plater-Zyberk, E.; Nardi, M.I.; et al. Health Disparities in the Relationship of Neighborhood Greenness to Mental Health Outcomes in 249,405 US Medicare Beneficiaries. Int. J. Environ. Res. Public Health 2018, 15, 430. [Google Scholar] [CrossRef] [Green Version]
- Hirsch, J.A.; Meyer, K.A.; Peterson, M.; Rodriguez, D.A.; Song, Y.; Peng, K.; Huh, J.; Gordon-Larsen, P. Obtaining Longitudinal Built Environment Data Retrospectively across 25 years in Four US Cities. Front. Public Health 2016, 4, 65. [Google Scholar] [CrossRef] [PubMed] [Green Version]
- Vogt, S.; Mielck, A.; Berger, U.; Grill, E.; Peters, A.; Döring, A.; Holle, R.; Strobl, R.; Zimmermann, A.K.; Linkohr, B.; et al. Neighborhood and healthy aging in a German city: Distances to green space and senior service centers and their associations with physical constitution, disability, and health-related quality of life. Eur. J. Ageing 2015, 12, 273–283. [Google Scholar] [CrossRef] [PubMed] [Green Version]
- Grahn, P.; Stigsdotter, U.K. The relation between perceived sensory dimensions of urban green space and stress restoration. Landsc. Urban Plan. 2010, 94, 264–275. [Google Scholar] [CrossRef]
- Peschardt, K.K.; Stigsdotter, U.K. Associations between park characteristics and perceived restorativeness of small public urban green spaces. Landsc. Urban Plan. 2013, 112, 26–39. [Google Scholar] [CrossRef]
- Gidlow, C.J.; Ellis, N.J.; Bostock, S. Development of the Neighbourhood Green Space Tool (NGST). Landsc. Urban Plan. 2012, 106, 347–358. [Google Scholar] [CrossRef]
- Peschardt, K.K.; Schipperijn, J.; Stigsdotter, U.K. Use of Small Public Urban Green Spaces (SPUGS). Urban For. Urban Green. 2012, 11, 235–244. [Google Scholar] [CrossRef]
- Peschardt, K.K.; Stigsdotter, U.K.; Schipperrijn, J. Identifying Features of Pocket Parks that May Be Related to Health Promoting Use. Landsc. Res. 2016, 41, 79–94. [Google Scholar] [CrossRef]
- Kaplan, S. The restorative benefits of nature: Toward an integrative framework. J. Environ. Psychol. 1995, 15, 169–182. [Google Scholar] [CrossRef]
- Grahn, P.; Stigsdotter, U.A. Landscape planning and stress. Urban For. Urban Green. 2003, 2, 1–18. [Google Scholar] [CrossRef] [Green Version]
- Nordh, H.; Ostby, K. Pocket parks for people—A study of park design and Use. Urban For. Urban Green. 2013, 12, 12–17. [Google Scholar] [CrossRef]
- Mazumdar, S.; Learnihan, V.; Cochrane, T.; Davey, R. The Built Environment and Social Capital: A Systematic Review. Environ. Behav. 2018, 50, 119–158. [Google Scholar] [CrossRef]
- Ekkel, E.D.; de Vries, S. Nearby green space and human health: Evaluating accessibility metrics. Landsc. Urban Plan. 2017, 157, 214–220. [Google Scholar] [CrossRef]
- Maas, J.; Verheij, R.A.; de Vries, S.; Spreeuwenberg, P.; Schellevis, F.G.; Groenewegen, P.P. Morbidity is related to a green living environment. J. Epidemiol. Community Health 2009, 63, 967–973. [Google Scholar] [CrossRef] [PubMed] [Green Version]
- Chu, Y.T.; Li, D.Y.; Chang, P.J. Effects of Urban Park Quality, Environmental Perception, and Leisure Activity on Well-Being among the Older Population. Int. J. Environ. Res. Public Health 2021, 18, 11402. [Google Scholar] [CrossRef]
- Sugiyama, T.; Francis, J.; Middleton, N.J.; Owen, N.; Giles-Corti, B. Associations Between Recreational Walking and Attractiveness, Size, and Proximity of Neighborhood Open Spaces. Am. J. Public Health 2010, 100, 1752–1757. [Google Scholar] [CrossRef]
- James, P.; Hart, J.E.; Banay, R.F.; Laden, F. Exposure to Greenness and Mortality in a Nationwide Prospective Cohort Study of Women. Environ. Health Perspect. 2016, 124, 1344–1352. [Google Scholar] [CrossRef] [Green Version]
- Dee, C. Form and Fabric in Landscape Architecture: An Introduction; Taylor Francis Group: Abingdon, UK, 2001. [Google Scholar]
- Li, X.; Zhang, C.; Li, W.; Ricard, R.; Meng, Q.; Zhang, W. Assessing street-level urban greenery using Google Street View and a modified green view index. Urban For. Urban Green. 2015, 14, 675–685. [Google Scholar] [CrossRef]
- Kumakoshi, Y.; Chan, S.Y.; Koizumi, H.; Li, X.; Yoshimura, Y. Standardized Green View Index and Quantification of Different Metrics of Urban Green Vegetation. Sustainability 2020, 12, 7434. [Google Scholar] [CrossRef]
- Helbich, M.; Yao, Y.; Liu, Y.; Zhang, J.; Liu, P.; Wang, R. Using deep learning to examine street view green and blue spaces and their associations with geriatric depression in Beijing, China. Environ. Int. 2019, 126, 107–117. [Google Scholar] [CrossRef]
- Larkin, A.; Hystad, P. Evaluating street view exposure measures of visible green space for health research. J. Expo. Sci. Environ. Epidemiol. 2019, 29, 447–456. [Google Scholar] [CrossRef]
- Lachowycz, K.; Jones, A.P. Towards a better understanding of the relationship between greenspace and health: Development of a theoretical framework. Landsc. Urban Plan. 2013, 118, 62–69. [Google Scholar] [CrossRef]
- Sugiyama, T.; Thompson, C.W. Older people’s health, outdoor activity and supportiveness of neighbourhood environments. Landsc. Urban Plan. 2007, 83, 168–175. [Google Scholar] [CrossRef]
- Chen, C.; Luo, W.; Kang, N.; Li, H.; Yang, X.; Xia, Y. Study on the Impact of Residential Outdoor Environments on Mood in the Elderly in Guangzhou, China. Sustainability 2020, 12, 3933. [Google Scholar] [CrossRef]
- Sun, X.; Wang, L.; Wang, F.; Soltani, S. Behaviors of seniors and impact of spatial form in small-scale public spaces in Chinese old city zones. Cities 2020, 107, 102894. [Google Scholar] [CrossRef]
- Chen, C.-L.; Zhang, H. Using emotion to evaluate our community: Exploring the relationship between the affective appraisal of community residents and the community environment. Archit. Eng. Des. Manag. 2018, 14, 256–271. [Google Scholar] [CrossRef]
- Saelens, B.E.; Frank, L.D.; Auffrey, C.; Whitaker, R.C.; Burdette, H.L.; Colabianchi, N. Measuring Physical Environments of Parks and Playgrounds: EAPRS Instrument Development and Inter-Rater Reliability. J. Phys. Act. Health 2006, 3, S190–S207. [Google Scholar] [CrossRef] [Green Version]
- Elsadek, M.; Liu, B.; Lian, Z.; Xie, J. The influence of urban roadside trees and their physical environment on stress relief measures: A field experiment in Shanghai. Urban For. Urban Green. 2019, 42, 51–60. [Google Scholar] [CrossRef]
- Park, B.-J.; Furuya, K.; Kasetani, T.; Takayama, N.; Kagawa, T.; Miyazaki, Y. Relationship between psychological responses and physical environments in forest settings. Landsc. Urban Plan. 2011, 102, 24–32. [Google Scholar] [CrossRef]
- Wang, Z.; de Dear, R.; Luo, M.H.; Lin, B.R.; He, Y.D.; Ghahramani, A.; Zhu, Y.X. Individual difference in thermal comfort: A literature review. Build. Environ. 2018, 138, 181–193. [Google Scholar] [CrossRef]
- Parsons, R.; Tassinary, L.G.; Ulrich, R.S.; Hebl, M.R.; Grossman-Alexander, M. The view from the road: Implications for stress recovery and immunization. J. Environ. Psychol. 1998, 18, 113–140. [Google Scholar] [CrossRef]
- Kaplan, R. The Nature of the View from Home. Environ. Behav. 2001, 33, 507–542. [Google Scholar] [CrossRef]
- Hartig, T.; Evans, G.W.; Jamner, L.D.; Davis, D.S.; Gärling, T. Tracking restoration in natural and urban field settings. J. Environ. Psychol. 2003, 23, 109–123. [Google Scholar] [CrossRef]
- Korpela, K.M.; Ylén, M.; Tyrväinen, L.; Silvennoinen, H. Determinants of restorative experiences in everyday favorite places. Health Place 2008, 14, 636–652. [Google Scholar] [CrossRef] [PubMed] [Green Version]
- Bielinis, E.; Takayama, N.; Boiko, S.; Omelan, A.; Bielinis, L. The effect of winter forest bathing on psychological relaxation of young Polish adults. Urban For. Urban Green. 2018, 29, 276–283. [Google Scholar] [CrossRef]
- Takayama, N.; Korpela, K.; Lee, J.; Morikawa, T.; Tsunetsugu, Y.; Park, B.-J.; Li, Q.; Tyrvainen, L.; Miyazaki, Y.; Kagawa, T. Emotional, Restorative and Vitalizing Effects of Forest and Urban Environments at Four Sites in Japan. Int. J. Environ. Res. Public Health 2014, 11, 7207–7230. [Google Scholar] [CrossRef] [Green Version]
- Ryan, R.M.; Weinstein, N.; Bernstein, J.; Brown, K.W.; Mistretta, L.; Gagné, M. Vitalizing effects of being outdoors and in nature. J. Environ. Psychol. 2010, 30, 159–168. [Google Scholar] [CrossRef]
- Ryan, R.M.; Frederick, C. On energy, personality, and health: Subjective vitality as a dynamic reflection of well-being. J. Personal. 1997, 65, 529–565. [Google Scholar] [CrossRef]
- Ryan, R.M.; Deci, E.L. From ego depletion to vitality: Theory and findings concerning the facilitation of energy available to the self. Soc. Personal. Psychol. Compass 2008, 2, 702–717. [Google Scholar] [CrossRef]
- Benyamini, Y.; Idler, E.L.; Leventhal, H.; Leventhal, E.A. Positive affect and function as influences on self-assessments of health: Expanding our view beyond illness and disability. J. Gerontol. Ser. B-Psychol. Sci. Soc. Sci. 2000, 55, P107–P116. [Google Scholar] [CrossRef] [Green Version]
- Chang, L.-C.; Kao, I.C. Enhancing social support and subjective vitality among older adults through leisure education. Int. Psychogeriatr. 2019, 31, 1839–1840. [Google Scholar] [CrossRef] [Green Version]
- Plante, T.; Cage, C.; Clements, S.; Stover, A. Psychological Benefits of Exercise Paired With Virtual Reality: Outdoor Exercise Energizes Whereas Indoor Virtual Exercise Relaxes. Int. J. Stress Manag. 2006, 13, 108–117. [Google Scholar] [CrossRef]
- Höppe, P. The physiological equivalent temperature—A universal index for the biometeorological assessment of the thermal environment. Int. J. Biometeorol. 1999, 43, 71–75. [Google Scholar] [CrossRef] [PubMed]
- Thorsson, S.; Lindberg, F.; Eliasson, I.; Holmer, B. Different methods for estimating the mean radiant temperature in an outdoor urban setting. Int. J. Climatol. 2007, 27, 1983–1993. [Google Scholar] [CrossRef]
- Hasler, D.; Suesstrunk, S. Measuring Colourfulness in Natural Images. Proc. SPIE 2003, 5007, 87–95. [Google Scholar] [CrossRef] [Green Version]
- Ashrae. ASHRAE Handbook Fundamentals 2017: Inch-Pound Edition; American Society of Heating, Refrigerating and Air-Conditioning Engineers: Peachtree Corners, GA, USA, 2017. [Google Scholar]
- Fujisawa, M.; Takayama, N. Verification of Restorative Effect in Off-site Forest Bathing by ROS Japanese Edition. J. Environ. Inf. Sci. 2014, 28, 316–366. [Google Scholar]
- Kajosaari, A.; Pasanen, T.P. Restorative benefits of everyday green exercise: A spatial approach. Landsc. Urban Plan. 2021, 206, 103978. [Google Scholar] [CrossRef]
- Ulrich, R.; Simons, R.; Losito, B.; Fiorito, E.; Miles, M.; Zelson, M. Stress Recovery During Exposure to Natural and Urban Environments. J. Environ. Psychol. 1991, 11, 201–230. [Google Scholar] [CrossRef]
- Wang, R.; Liu, Y.; Lu, Y.; Zhang, J.; Liu, P.; Yao, Y.; Grekousis, G. Perceptions of built environment and health outcomes for older Chinese in Beijing: A big data approach with street view images and deep learning technique. Comput. Environ. Urban Syst. 2019, 78, 101386. [Google Scholar] [CrossRef]
- Southon, G.E.; Jorgensen, A.; Dunnett, N.; Hoyle, H.; Evans, K.L. Perceived species-richness in urban green spaces: Cues, accuracy and well-being impacts. Landsc. Urban Plan. 2018, 172, 1–10. [Google Scholar] [CrossRef]
- Irmak, M.A.; Yilmaz, S.; Dursun, D. Effect of different pavements on human thermal comfort conditions. Atmosfera 2017, 30, 355–366. [Google Scholar] [CrossRef] [Green Version]
- Gehl, J. Life Between Buildings, 6th ed.; Island Press: Washington, DC, USA, 2011. [Google Scholar]
- Gatterer, H.; Dünnwald, T.; Turner, R.; Csapo, R.; Schobersberger, W.; Burtscher, M.; Faulhaber, M.; Kennedy, M.D. Practicing Sport in Cold Environments: Practical Recommendations to Improve Sport Performance and Reduce Negative Health Outcomes. Int. J. Environ. Res. Public Health 2021, 18, 9700. [Google Scholar] [CrossRef] [PubMed]
- Guszkowska, M. Effects of exercise on anxiety, depression and mood. Psychiatr. Pol. 2004, 38, 611–620. [Google Scholar] [PubMed]
- Thompson Coon, J.; Boddy, K.; Stein, K.; Whear, R.; Barton, J.; Depledge, M.H. Does participating in physical activity in outdoor natural environments have a greater effect on physical and mental wellbeing than physical activity indoors? A systematic review. Environ. Sci. Technol. 2011, 45, 1761–1772. [Google Scholar] [CrossRef]
- Peterson, C.; Seligman, M.E.P. Character Strengths and Virtues: A Handbook and Classification; Oxford University Press: New York, NY, USA, 2004; p. xiv, 800. [Google Scholar]
- Altuğ, H.; Fuks, K.B.; Hüls, A.; Mayer, A.K.; Tham, R.; Krutmann, J.; Schikowski, T. Air pollution is associated with depressive symptoms in elderly women with cognitive impairment. Environ. Int. 2020, 136, 105448. [Google Scholar] [CrossRef] [PubMed]
- Lim, Y.-H.; Kim, H.; Kim, J.H.; Bae, S.; Park, H.Y.; Hong, Y.-C. Air Pollution and Symptoms of Depression in Elderly Adults. Environ. Health Perspect. 2012, 120, 1023–1028. [Google Scholar] [CrossRef] [Green Version]
- Cerwén, G.; Pedersen, E.; Pálsdóttir, A.-M. The Role of Soundscape in Nature-Based Rehabilitation: A Patient Perspective. Int. J. Environ. Res. Public Health 2016, 13, 1229. [Google Scholar] [CrossRef] [PubMed]
- Zhang, Z.; Long, Y.; Chen, L.; Chen, C. Assessing personal exposure to urban greenery using wearable cameras and machine learning. Cities 2021, 109, 103006. [Google Scholar] [CrossRef]







| Basic Information | Park A (Hakusanbori) | Park B (Nishigahara Minnano) | Park C (Kita City Central) |
|---|---|---|---|
| Classification | Neighborhood park | City Block Park | Park |
| Area size (m2) | 2500 | 21,900 | 79,200 |
| Neighborhood aging rate (%) | 36.27 | 25.10 | 21.00 |
| Green cover rate (%) | 52.50 | 59.70 | 72.80 |
| Lawn-grass cover rate (%) | 4.20 | 28.00 | 14.40 |
| Microclimate Factors | Instruments | Height (m) | Range | Accuracy |
|---|---|---|---|---|
| Air temperature | Temperature sensor IC (RTR503) | 1.1 | 0–55 °C | ±0.3 °C |
| Relative humidity | Humidity sensor IC (RTR503) | 1.1 | 10–95% | ±5% RH |
| Wind velocity | Three-cup type wind speed meter (DT-187) | 1.1 | 0.5–30 m/s | ±0.2 m/s |
| Global temperature | 40 mm ping-pong ball with a class 1 type T-type thermocouple | 1.1 | −40–125 °C | ±0.5 °C |
| Variables | Full Sample (N = 202) | Sex | |
|---|---|---|---|
| Male (N = 127) | Female (N = 75) | ||
| Age | |||
| 60–69 | 54 (26.73%) | 31 (24.41%) | 23 (30.67%) |
| 70–79 | 104 (51.49%) | 68 (53.54%) | 36 (48.00%) |
| ≥80 | 44 (21.78%) | 28 (22.05%) | 16 (21.33%) |
| Health status | |||
| Very healthy | 125 (61.88%) | 80 (62.99%) | 45 (60.00%) |
| Healthy | 72 (35.64%) | 43 (33.86%) | 29 (38.67%) |
| Poor | 5 (2.48%) | 4 (3.15%) | 1 (1.33%) |
| Length of residency | |||
| <1 year | 1 (0.50%) | 1 (0.79%) | 0 |
| 1–3 years | 11 (5.45%) | 8 (6.30%) | 3 (4.00%) |
| >3 years | 169 (83.66%) | 103 (81.10%) | 66 (88.00%) |
| Visit frequency | |||
| 1–2 times per week | 121 (59.90%) | 82 (64.57%) | 39 (52.00%) |
| 3–4 times per week | 81 (40.10%) | 45 (35.43%) | 36 (48.00%) |
| Distance from home | |||
| Less than 10 min | 114 (56.44%) | 69 (54.33%) | 45 (60.00%) |
| 10–20 min | 56 (27.72%) | 36 (28.35%) | 20 (26.67%) |
| More than 20 min | 32 (15.84%) | 22 (17.32%) | 10 (13.33%) |
| Time spent | |||
| Less than 10 min | 14 (6.93%) | 8 (6.30%) | 6 (8.00%) |
| 10–30 min | 54 (26.73%) | 29 (22.83%) | 25 (33.33%) |
| Over 30 min | 134 (66.34%) | 90 (70.87%) | 44 (58.67%) |
| Reason for visit | |||
| Exercise | 85 (42.08%) | 56 (44.09%) | 29 (38.67%) |
| Socializing | 23 (11.39%) | 13 (10.24%) | 10 (13.33%) |
| Relaxation | 55 (27.23%) | 37 (29.13%) | 18 (24.00%) |
| Companionship | 30 (14.85%) | 14 (11.02%) | 16 (21.33%) |
| Passing by/living near | 9 (4.46%) | 7 (5.51%) | 2 (2.67%) |
| Clothing insulation (SD) | 1.05 (0.18) | 1.04 (0.18) | 1.06 (0.18) |
| PET (°C) (SD) | 15.24 (4.32) | 14.97 (4.50) | 15.75 (3.94) |
| ROS score (SD) | 33.91 (4.00) | 34.03 (4.18) | 33.69 (3.70) |
| Subjective vitality score (SD) | 5.13 (0.95) | 5.06 (0.93) | 5.25 (0.99) |
| a1 | a2 | b1 | b2 | b3 | c1 | c2 | c3 | c4 | c5 | c6 | |
|---|---|---|---|---|---|---|---|---|---|---|---|
| Skyview factor (mean) | 0.376 | 0.489 | 0.528 | 0.454 | 0.345 | 0.355 | 0.045 | 0.310 | 1.000 | 0.104 | 0.047 |
| Aspect ratio | 0.375 | 1.200 | 0.840 | 0.610 | 0.900 | 4.000 | 4.000 | 0.280 | 0.030 | 6.670 | 6.470 |
| Boundary enclosure | 1 | 2 | 1 | 2 | 3 | 3 | 4 | 3 | 4 | 2 | 2 |
| Green view index | 0.430 | 0.033 | 0.004 | 0.375 | 0.094 | 0.569 | 0.564 | 0.670 | 0.110 | 0.418 | 0.370 |
| Colorfulness index | 25 | 64 | 10 | 30 | 50 | 15 | 20 | 8 | 10 | 7 | 8 |
| Water facility | No | Yes | No | No | Yes | No | No | No | No | No | Yes |
| Number of seats | 4 | 2 | 1 | 4 | 2 | 2 | 0 | 2 | 6 | 2 | 4 |
| Road pavement | No | Yes | Yes | No | Yes | Yes | Yes | No | No | Yes | No |
| Fixed Effects | Coefficient (SE) | ||
|---|---|---|---|
| Null Model 1 | Model 2 | Model 3 | |
| Age (60–69 as reference) | |||
| 70–79 | 0.199 (0.554) | 0.320 (0.527) | |
| Above 80 | 1.197 * (0.672) | 1.018 (0.637) | |
| Sex (male as reference) | |||
| Female | −0.521 (0.472) | −0.669 (0.467) | |
| Health status (poor as reference) | |||
| Healthy | −0.912 (1.809) | −0.277 (1.690) | |
| Not very healthy | −2.107 (1.826) | −1.715 (1.701) | |
| Length of residency (less than 1 year as reference) | |||
| 1–3 years | 1.549 (3.161) | 1.658 (2.934) | |
| More than 3 years | 0.660 (3.012) | 0.541 (2.778) | |
| Visit frequency (1–2 times per week as reference) | |||
| 3–4 times per week | −0.048 (0.492) | 0.107 (0.494) | |
| Time spent | |||
| 10–30 min | 2.716 ** (0.941) | 2.971 ** (0.945) | |
| More than 30 min | 3.313 *** (0.887) | 3.196 *** (0.893) | |
| Reason to visit (exercise as reference) | |||
| Socializing | 0.862 (0.773) | 0.531 (0.750) | |
| Relaxation | 0.714 (0.693) | 0.636 (0.606) | |
| Companionship | 3.405 ***(0.725) | 2.295 *** (0.722) | |
| Passing by/living near | −0.292 (1.150) | 0.313 (1.132) | |
| Access feature (less than 10 min walking as reference) | |||
| 10–20 min walking | −0.018 (0.504) | ||
| More than 20 min walking | −0.380 (0.777) | ||
| Spatial form features | |||
| Sky view factor | −7.906 * (3.346) | ||
| Boundary enclosure | 1.901 ** (0.665) | ||
| Aspect ratio | −0.319 (0.386) | ||
| Natural features | |||
| Green view index | −4.800 * (2.791) | ||
| Colorfulness index | −3.681 (6.326) | ||
| Water features (no as reference) | −2.226 (2.105) | ||
| Facility features | |||
| Number of seats | 0.502 *** (0.110) | ||
| Pavement (unpaved as reference) | −1.316 (1.788) | ||
| Thermal feature | |||
| PET | −0.239 *** (0.066) | ||
| Intercept | 34.236 *** (0.610) | 31.233 *** (3.778) | 33.940 *** (4.479) |
| Random effects | |||
| ICC | 0.183 | 0.249 | 9.13e-20 |
| AIC | 1106.4 | 953.9 | 872.959 |
| Log likelihood | −550.200 | −459.945 | −408.480 |
| Fixed Effects | Coefficient (SE) | ||
|---|---|---|---|
| Null Model 4 | Model 5 | Model 6 | |
| Age (60–69 as reference) | |||
| 70–79 | 0.291 ** (0.118) | 0.262 * (0.112) | |
| Above 80 | 0.524 ***(0.142) | 0.480 ***(0.135) | |
| Sex (male as reference) | |||
| Female | 0.293 ** (0.100) | 0.181 (0.099) | |
| Health status (poor as reference) | |||
| Healthy | 0.569 (0.383) | 0.531 (0.359) | |
| Not very healthy | 0.316 (0.386) | 0.226 (0.361) | |
| Length of residency (less than 1 year as reference) | |||
| 1–3 years | −0.375 (0.669) | −0.149 (0.623) | |
| More than 3 years | −0.167 (0.638) | −0.090 (0.589) | |
| Visit frequency (1–2 times per week as reference) | |||
| 3–4 times per week | −0.024 (0.105) | −0.010 (0.105) | |
| Time spent | |||
| 10–30 min | 0.207 (0.199) | 0.292 (0.200) | |
| More than 30 min | 0.550 ** (0.188) | 0.539 ** (0.189) | |
| Reason to visit (exercise as reference) | |||
| Socializing | −0.205 (0.166) | −0.154 (0.159) | |
| Relaxation | 0.137 (0.152) | 0.177 (0.128) | |
| Companionship | 0.501 ***(0.154) | 0.389 ** (0.153) | |
| Passing by/living near | −0.311 (0.245) | −0.153 (0.240) | |
| Access feature (less than 10 min walking as reference) | |||
| 10–20 min walking | −0.001 (0.107) | ||
| More than 20 min walking | −0.011 (0.165) | ||
| Spatial form features | |||
| Sky view factor | −1.273 (0.710) | ||
| Boundary enclosure | 0.598 *** (0.141) | ||
| Aspect ratio | 0.485 *** (0.082) | ||
| Natural features | |||
| Green view index | −2.329 *** (0.592) | ||
| Colorfulness index | 12.287 *** (1.342) | ||
| Water features (no as reference) | −3.158 *** (0.500) | ||
| Facility features | |||
| Number of seats | 0.024 (0.023) | ||
| Pavement (unpaved as reference) | −2.806 *** (0.379) | ||
| Thermal feature | |||
| PET | −0.005 (0.014) | ||
| Intercept | 4.913 *** (0.190) | 3.761 *** (0.812) | 1.994 * (0.950) |
| Random effects | |||
| ICC | 0.384 | 0.453 | 2.63e-17 |
| AIC | 473.416 | 399.693 | 345.839 |
| Log likelihood | −233.708 | −182.847 | −144.919 |
Publisher’s Note: MDPI stays neutral with regard to jurisdictional claims in published maps and institutional affiliations. |
© 2022 by the authors. Licensee MDPI, Basel, Switzerland. This article is an open access article distributed under the terms and conditions of the Creative Commons Attribution (CC BY) license (https://creativecommons.org/licenses/by/4.0/).
Share and Cite
Lu, S.; Oh, W.; Ooka, R.; Wang, L. Effects of Environmental Features in Small Public Urban Green Spaces on Older Adults’ Mental Restoration: Evidence from Tokyo. Int. J. Environ. Res. Public Health 2022, 19, 5477. https://doi.org/10.3390/ijerph19095477
Lu S, Oh W, Ooka R, Wang L. Effects of Environmental Features in Small Public Urban Green Spaces on Older Adults’ Mental Restoration: Evidence from Tokyo. International Journal of Environmental Research and Public Health. 2022; 19(9):5477. https://doi.org/10.3390/ijerph19095477
Chicago/Turabian StyleLu, Shan, Wonseok Oh, Ryozo Ooka, and Lijun Wang. 2022. "Effects of Environmental Features in Small Public Urban Green Spaces on Older Adults’ Mental Restoration: Evidence from Tokyo" International Journal of Environmental Research and Public Health 19, no. 9: 5477. https://doi.org/10.3390/ijerph19095477
APA StyleLu, S., Oh, W., Ooka, R., & Wang, L. (2022). Effects of Environmental Features in Small Public Urban Green Spaces on Older Adults’ Mental Restoration: Evidence from Tokyo. International Journal of Environmental Research and Public Health, 19(9), 5477. https://doi.org/10.3390/ijerph19095477

