Understanding the Interaction between Regulatory Focus and Message Framing in Determining Chinese Consumers’ Attitudes toward Artificial Meat
Abstract
:1. Introduction
2. Literature
2.1. Message Framing and Regulatory Focus Theory
2.2. Perceived Benefits
2.3. Perceived Risks
2.4. Variables for Balance Check
3. Materials and Methods
3.1. Message Design
3.2. Data and Variable
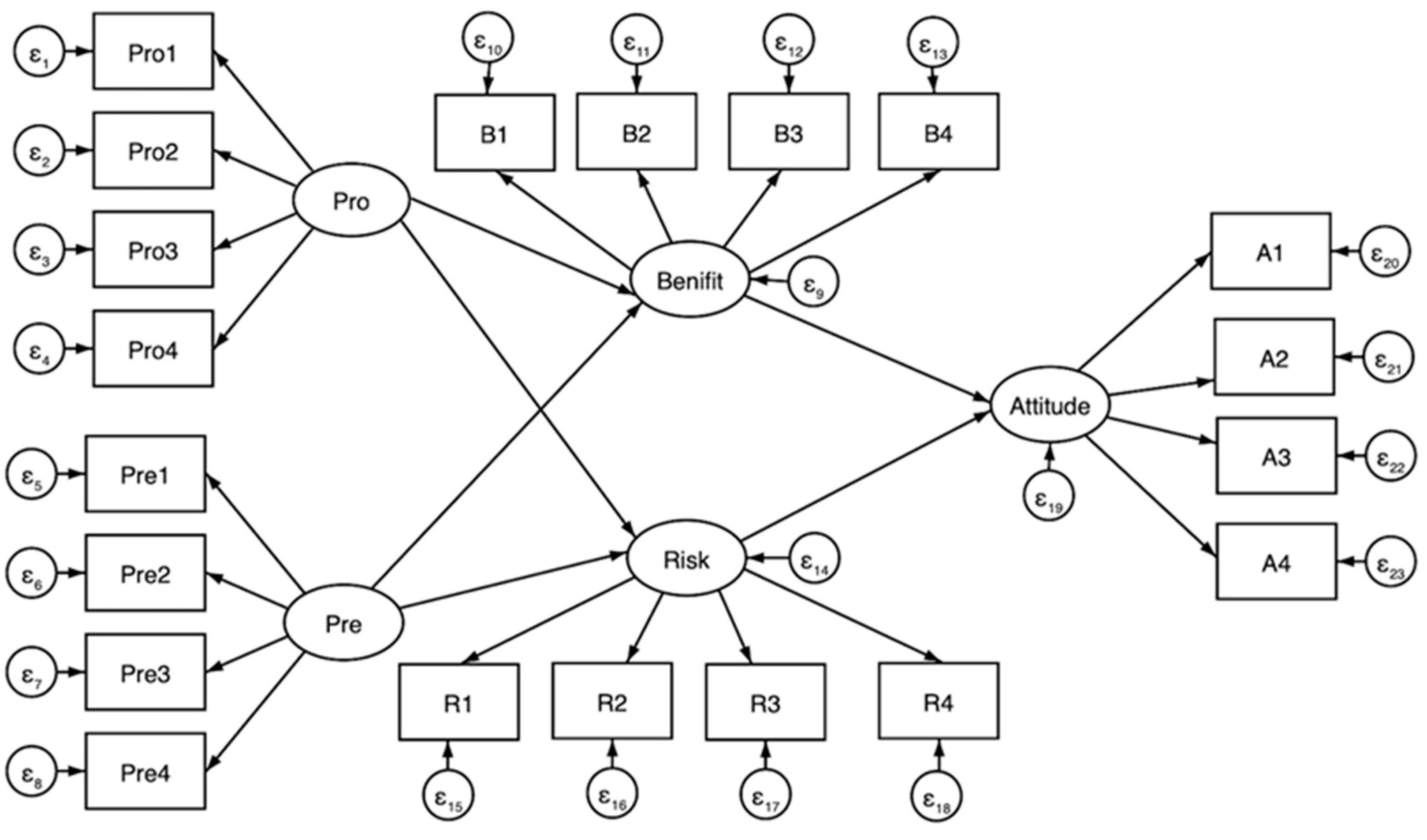
3.3. Empirical Strategy
4. Results
4.1. Descriptive Statistics
4.2. Results of Structural Equation Modeling
5. Conclusions
6. Policy Recommendation
Author Contributions
Funding
Institutional Review Board Statement
Informed Consent Statement
Data Availability Statement
Conflicts of Interest
Appendix A
| Information Group | Message |
|---|---|
| Control group participants: 838 | Artificial meat products are primarily made from two food technologies: plant-based meat and clean meat. Plant-based meat is an alternative for regular meat which contains ingredients such as proteins, oils, and starches. For consumers, plant-based meat is available on market. Clean meat is an alternative for regular meat which is also known as lab-grown, in vitro, or cultured meat. It is the meat that is grown in cell culture rather than an animal’s body. For consumers, the clean meat products of Mosa Meat are expected to be on market in 2021. |
| Treatment group: Gain-oriented Message participants: 692 | Control group message plus: Plant-based meat is produced with natural plant-based ingredients, which is an environmentally friendly substitute for regular meat. The clean meat is produced in a natural way similar to the fermentation process of yogurt or beer production, which has been used for the last thousand years in human history. Artificial meat is an eco-friendly, sustainable, and safe food. It supplements nutrition with ingredients such as unsaturated fatty acid, which improves health. Compared to regular meat products, artificial meat products are green, healthy, and nutritious, and significantly improves animal welfares. |
| Treatment group: Avoidance-oriented Message participants: 736 | Control group message plus: The traditional meat production inevitably involves large-scale animal farming and slaughter. The greenhouse gas emission from the husbandry sector is beyond the total emission from the transportation sector. Half of world’s antibiotics are used during meat production and animal plagues happen occasionally. Therefore, traditional meat production is neither eco-friendly nor free of safety problems. Compared to regular meat products, artificial meat products can avoid environmental destruction, animal slaughter, and food safety problems. |
| Variable | Description | Frequency | Percentage |
|---|---|---|---|
| Gender | Female | 1091 | 48.15 |
| Male | 1175 | 51.85 | |
| Education | Middle school and below | 15 | 0.66 |
| High school | 79 | 3.49 | |
| Some college | 310 | 13.68 | |
| Bachelor’s degree | 1661 | 73.30 | |
| Master’s degree | 189 | 8.34 | |
| Ph.D. degree or equivalent | 12 | 0.53 | |
| Monthly Income | Under 2000 RMB | 266 | 11.74 |
| 2000–4000 RMB | 261 | 11.52 | |
| 4000–6000 RMB | 488 | 21.54 | |
| 6000–8000 RMB | 484 | 21.36 | |
| 8000–10,000 RMB | 385 | 16.99 | |
| 10,000–20,000 RMB | 319 | 14.08 | |
| Above 20,000 RMB | 63 | 2.78 | |
| Age | Under 18 | 15 | 0.66 |
| 18–25 | 674 | 29.74 | |
| 26–30 | 624 | 27.54 | |
| 31–40 | 729 | 32.17 | |
| 41–50 | 177 | 7.81 | |
| 51–60 | 40 | 1.77 | |
| Above 60 | 7 | 0.31 |
| Variable | Indicator | Description | Mean | SD |
|---|---|---|---|---|
| Promotion Focus | Pro1 | I usually think about how to achieve expectations and goals | 4.006 | 0.702 |
| Pro2 | I will care about how to achieve success | 3.918 | 0.839 | |
| Pro3 | I usually think good things relate to me | 3.526 | 0.946 | |
| Pro4 | I care more about positive aspects of life | 3.235 | 1.095 | |
| Prevention Focus | Pre1 | I usually think about how to avoid failure | 2.373 | 0.949 |
| Pre2 | I usually worry about that I didn’t try my best | 3.788 | 0.857 | |
| Pre3 | I usually worry about things that I fear to happen | 2.650 | 1.202 | |
| Pre4 | I tend to avoid negative aspects of life | 3.402 | 1.059 | |
| Food Neophobia | FN1 | I always eat all kinds of novel food * | 3.063 | 1.094 |
| FN2 | I don’t trust novel food | 2.549 | 1.000 | |
| FN3 | I like to try the food which I am not familiar with * | 2.832 | 1.096 | |
| FN4 | I am afraid of the food which I have never eaten before | 2.584 | 1.196 | |
| Food Involvement | FI1 | I don’t spend much time thinking about the food I eat * | 3.231 | 1.090 |
| FI2 | I like to talk about the food I have eaten or will eat | 3.774 | 0.891 | |
| FI3 | What to eat is not important to me comparing to other choices in life * | 3.238 | 1.160 | |
| FI4 | I am familiar with nutrition facts of food | 3.000 | 1.038 | |
| FI5 | My friends take my food recommendation seriously | 3.145 | 1.075 | |
| Food Technology Attitudes | FT1 | Support Genetically Modified Food technology | 2.619 | 1.134 |
| FT2 | Support Food additives | 2.360 | 1.008 | |
| FT3 | Support Nano food technology | 3.032 | 0.926 | |
| Meat Consumption Behavior | MCB1 | Consider price | 3.882 | 0.874 |
| MCB2 | Consider flavor | 4.176 | 0.816 | |
| MCB3 | Consider health | 4.217 | 0.939 | |
| MCB4 | Consider environment | 3.161 | 1.038 | |
| MCB5 | Consider animal welfare | 2.487 | 1.047 | |
| Meat Belief—Enjoyment | MB1 | Meat is delicious | 4.233 | 0.755 |
| MB2 | Meals with meat yield worse flavor * | 3.957 | 1.027 | |
| MB3 | I eat meat almost everyday | 3.701 | 1.084 | |
| MB4 | Meals with meat yield better flavor | 3.998 | 0.853 | |
| Meat Belief—Health | MB5 | Eating meat is not good for health * | 3.756 | 0.969 |
| MB6 | The nutrition facts in meat are important to health | 4.168 | 0.738 | |
| Meat Belief—Environment | MB7 | Meat production is harmless to environment | 3.278 | 0.956 |
| MB8 | Meat production increases greenhouse gas * | 2.947 | 1.005 | |
| Meat Belief—Animal welfare | MB9 | Animal killing for food is reasonable | 3.276 | 1.037 |
| MB10 | Animal welfare is important * | 2.899 | 0.982 | |
| attitudes toward plant-based meat | A1 | Plant-based meat is expected to be a major trend in the future. | 3.620 | 0.909 |
| A2 | I am receptive to technologies based on plant-based meat. | 3.708 | 0.931 | |
| A3 | I’m curious to see how plant-based meat tastes. | 3.883 | 0.904 | |
| A4 | I’d like to substitute plant-based meat for regular meat. | 3.110 | 1.072 | |
| attitudes toward cultured meat | A1 | cultured meat is expected to be a major trend in the future. | 3.606 | 0.934 |
| A2 | I am receptive to technologies based on cultured meat. | 3.570 | 0.979 | |
| A3 | I’m curious to see how cultured meat tastes. | 3.673 | 0.982 | |
| A4 | I’d like to substitute cultured meat for regular meat. | 3.008 | 1.131 | |
| Perceived benefit of plant-based meat | B1 | I believe that plant-based meat can help protect animal welfare. | 4.088 | 0.880 |
| B2 | I believe that plant-based meat can help reduce greenhouse gas emissions. | 3.869 | 0.912 | |
| B3 | I believe that plant meat does not require antibiotics, veterinary drugs, or hormones. | 3.774 | 1.088 | |
| B4 | I believe that plant-based meat has the potential to improve nutrition and is healthier for the human body. | 3.839 | 1.072 | |
| Perceived benefit of cultured meat | B1 | I believe that cultured meat can help protect animal welfare. | 3.977 | 0.948 |
| B2 | I believe that cultured meat can help reduce greenhouse gas emissions. | 3.765 | 0.967 | |
| B3 | I believe that cultured meat does not require antibiotics, veterinary drugs, or hormones. | 3.554 | 1.148 | |
| B4 | I believe that cultured meat has the potential to improve nutrition and is healthier for the human body. | 3.481 | 1.148 | |
| Perceived risk of plant-based meat | R1 | I feel the color, smell and taste of the plant-based meat is bad | 3.042 | 0.971 |
| R2 | I believe that plant-based meat is not healthy. | 2.289 | 1.035 | |
| R3 | I believe that plant-based meat is not safety. | 2.823 | 1.246 | |
| R4 | I believe that plant-based meat is not natural. | 2.549 | 1.097 | |
| Perceived risk of cultured meat | R1 | I feel the color, smell and taste of the cultured meat is bad | 2.879 | 1.004 |
| R2 | I believe that cultured meat is not healthy. | 2.676 | 1.076 | |
| R3 | I believe that cultured meat is not safety | 3.135 | 1.232 | |
| R4 | I believe that cultured meat is not natural. | 2.846 | 1.109 |
| Artificial Meat | Variables | Totally Not Agree | Not Agree | Neutral | Agree | Strongly Agree |
|---|---|---|---|---|---|---|
| Panel A Control group (Neutral information group, 1257 participants) | ||||||
| Plant-based meat | Plant-based meat is expected to be a major trend in the future. | 2.15 | 10.26 | 32.34 | 41.17 | 14.08 |
| I am receptive to technologies based on plant-based meat. | 2.15 | 9.19 | 28.16 | 43.44 | 17.06 | |
| I’m curious to see how plant-based meat tastes. | 2.86 | 5.97 | 19.93 | 49.28 | 21.96 | |
| I’d like to substitute plant-based meat for regular meat. | 8.00 | 25.30 | 36.63. | 21.72 | 8.72 | |
| Clean meat | cultured meat is expected to be a major trend in the future. | 2.63 | 12.29 | 30.43 | 39.74 | 14.92 |
| I am receptive to technologies based on cultured meat. | 2.74 | 13.13 | 30.55 | 37.83 | 15.75 | |
| I’m curious to see how cultured meat tastes. | 3.46 | 9.90 | 25.66 | 42.72 | 18.26 | |
| I’d like to substitute cultured meat for regular meat. | 12.89 | 25.06 | 33.41 | 19.93 | 8.71 | |
| Panel B Treatment group I (gain-oriented information group, 1064 participants) | ||||||
| Plant-based meat | Plant-based meat is a future trend | 1.30 | 8.67 | 26.16 | 46.53 | 17.34 |
| I accept plant-based meat technologies | 1.16 | 6.79 | 26.45 | 44.94 | 20.66 | |
| I would like to try plant-based meat | 1.16 | 5.49 | 15.75 | 51.73 | 25.87 | |
| I would like to eat plant-based meat | 6.94 | 17.49 | 34.97 | 29.62 | 10.98 | |
| instead of regular meat | ||||||
| Clean meat | Clean meat is a future trend | 2.02 | 8.82 | 28.61 | 41.91 | 18.64 |
| I accept clean meat technologies | 2.31 | 10.40 | 30.20 | 40.90 | 16.18 | |
| I would like to try clean meat | 2.60 | 7.95 | 23.27 | 44.51 | 21.68 | |
| I would like to eat clean meat | 6.94 | 23.41 | 32.66 | 25.43 | 11.56 | |
| instead of regular meat | ||||||
| Panel C Treatment group II (avoidance-oriented information group, 1120 participants) | ||||||
| Plant-based meat | Plant-based meat is a future trend | 1.22 | 9.92 | 27.85 | 47.01 | 13.99 |
| I accept plant-based meat technologies | 1.63 | 9.24 | 25.27 | 42.66 | 21.20 | |
| I would like to try plant-based meat | 1.49 | 5.43 | 21.20 | 46.33 | 25.54 | |
| I would like to eat plant-based meat | 6.52 | 18.48 | 36.96 | 26.36 | 11.68 | |
| instead of regular meat | ||||||
| Clean meat | Clean meat is a future trend | 1.49 | 7.07 | 30.84 | 46.06 | 14.54 |
| I accept clean meat technologies | 2.04 | 10.87 | 27.99 | 40.22 | 18.89 | |
| I would like to try clean meat | 2.72 | 9.10 | 25.82 | 44.29 | 18.07 | |
| I would like to eat clean meat | 8.83 | 22.55 | 33.02 | 23.91 | 11.68 | |
| instead of regular meat | ||||||
References
- McCarthy, W.J.; Li, Z. Healthy Diets and Sustainable Food Systems. Lancet 2019, 394, 214. [Google Scholar] [CrossRef] [Green Version]
- Clark, M.; Tilman, D. Comparative Analysis of Environmental Impacts of Agricultural Production Systems, Agricultural Input Efficiency, and Food Choice. Environ. Res. Lett. 2017, 12, 064016. [Google Scholar] [CrossRef]
- Bellarby, J.; Tirado, R.; Leip, A.; Weiss, F.; Lesschen, J.P.; Smith, P. Livestock Greenhouse Gas Emissions and Mitigation Potential in Europe. Glob. Chang. Biol. 2012, 19, 3–18. [Google Scholar] [CrossRef] [PubMed]
- Fox, J.L. Test Tube Meat on the Menu? Nat. Biotechnol. 2009, 27, 873. [Google Scholar] [CrossRef]
- Orzechowski, A. Artificial Meat? Feasible Approach Based on the Experience from Cell Culture Studies. J. Integr. Agric. 2015, 14, 217–221. [Google Scholar] [CrossRef]
- Bonny, S.P.F.; Gardner, G.E.; Pethick, D.W.; Hocquette, J.-F. Artificial Meat and the Future of the Meat Industry. Anim. Prod. Sci. 2017, 57, 2216. [Google Scholar] [CrossRef]
- Stephens, N.; Di Silvio, L.; Dunsford, I.; Ellis, M.; Glencross, A.; Sexton, A. Bringing Cultured Meat to Market: Technical, Socio-Political, and Regulatory Challenges in Cellular Agriculture. Trends Food Sci. Technol. 2018, 78, 155–166. [Google Scholar] [CrossRef]
- Bhat, Z.F.; Morton, J.D.; Mason, S.L.; Bekhit, A.E.A.; Bhat, H.F. Technological, Regulatory, and Ethical Aspects of In Vitro Meat: A Future Slaughter-Free Harvest. Compr. Rev. Food Sci. Food Saf. 2019, 18, 1192–1208. [Google Scholar] [CrossRef] [Green Version]
- van Vliet, S.; Kronberg, S.L.; Provenza, F.D. Plant-Based Meats, Human Health, and Climate Change. Front. Sustain. Food Syst. 2020, 4, 128. [Google Scholar] [CrossRef]
- Bonnet, C.; Bouamra-Mechemache, Z.; Réquillart, V.; Treich, N. Viewpoint: Regulating Meat Consumption to Improve Health, the Environment and Animal Welfare. Food Policy 2020, 97, 101847. [Google Scholar] [CrossRef]
- Munteanu, C.; Mireşan, V.; Răducu, C.; Ihuţ, A.; Uiuiu, P.; Pop, D.; Neacşu, A.; Cenariu, M.; Groza, I. Can Cultured Meat Be an Alternative to Farm Animal Production for a Sustainable and Healthier Lifestyle? Front. Nutr. 2021, 8, 749298. [Google Scholar] [CrossRef] [PubMed]
- Van Eenennaam, A.L.; Werth, S.J. Animal Board Invited Review: Animal Agriculture and Alternative Meats—Learning from Past Science Communication Failures. Animal 2021, 15, 100360. [Google Scholar] [CrossRef] [PubMed]
- Asioli, D.; Bazzani, C.; Nayga, R.M. Are Consumers Willing to Pay for In-vitro Meat? An Investigation of Naming Effects. J. Agric. Econ. 2021. [Google Scholar] [CrossRef]
- Choudhury, D.; Singh, S.; Seah, J.S.H.; Yeo, D.C.L.; Tan, L.P. Commercialization of Plant-Based Meat Alternatives. Trends Plant Sci. 2020, 25, 1055–1058. [Google Scholar] [CrossRef]
- Mancini, M.C.; Antonioli, F. Exploring Consumers’ Attitude towards Cultured Meat in Italy. Meat Sci. 2019, 150, 101–110. [Google Scholar] [CrossRef]
- Bryant, C.J.; Barnett, J.C. What’s in a Name? Consumer Perceptions of in Vitro Meat under Different Names. Appetite 2019, 137, 104–113. [Google Scholar] [CrossRef]
- Bekker, G.A.; Fischer, A.R.H.; Tobi, H.; van Trijp, H.C.M. Explicit and Implicit Attitude toward an Emerging Food Technology: The Case of Cultured Meat. Appetite 2017, 108, 245–254. [Google Scholar] [CrossRef]
- Hocquette, A.; Lambert, C.; Sinquin, C.; Peterolff, L.; Wagner, Z.; Bonny, S.P.F.; Lebert, A.; Hocquette, J.-F. Educated Consumers Don’t Believe Artificial Meat Is the Solution to the Problems with the Meat Industry. J. Integr. Agric. 2015, 14, 273–284. [Google Scholar] [CrossRef]
- Slade, P. If You Build It, Will They Eat It? Consumer Preferences for Plant-Based and Cultured Meat Burgers. Appetite 2018, 125, 428–437. [Google Scholar] [CrossRef]
- Palmieri, N.; Perito, M.A.; Lupi, C. Consumer Acceptance of Cultured Meat: Some Hints from Italy. Br. Food J. 2020, 123, 109–123. [Google Scholar] [CrossRef]
- Recuero-Virto, N.; Valilla-Arróspide, C. Forecasting the next Revolution: Food Technology’s Impact on Consumers’ Acceptance and Satisfaction. Br. Food J. 2022. [Google Scholar] [CrossRef]
- Conrey, F.R.; Smith, E.R. Attitude Representation: Attitudes as Patterns in a Distributed, Connectionist Representational System. Soc. Cogn. 2007, 25, 718–735. [Google Scholar] [CrossRef] [Green Version]
- Fazio, R.H. Attitudes as Object–Evaluation Associations of Varying Strength. Soc. Cogn. 2007, 25, 603–637. [Google Scholar] [CrossRef] [PubMed]
- Britwum, K.; Yiannaka, A. Shaping Food Safety Perceptions: The Influence of Informational Nudges. J. Behav. Exp. Econ. 2019, 81, 139–151. [Google Scholar] [CrossRef]
- Britwum, K.; Yiannaka, A. Consumer Willingness to Pay for Food Safety Interventions: The Role of Message Framing and Issue Involvement. Food Policy 2019, 86, 101726. [Google Scholar] [CrossRef]
- Kahneman, D.; Tversky, A. Prospect Theory: An Analysis of Decision under Risk. Econometrica 1979, 47, 263. [Google Scholar] [CrossRef] [Green Version]
- Pichierri, M.; Pino, G.; Peluso, A.M.; Guido, G. The Interplay between Health Claim Type and Individual Regulatory Focus in Determining Consumers’ Intentions toward Extra-Virgin Olive Oil. Food Res. Int. 2020, 136, 109467. [Google Scholar] [CrossRef]
- Mesías, F.J.; Martín, A.; Hernández, A. Consumers’ Growing Appetite for Natural Foods: Perceptions towards the Use of Natural Preservatives in Fresh Fruit. Food Res. Int. 2021, 150, 110749. [Google Scholar] [CrossRef]
- Demsar, V.; Sands, S.; Rosengren, S.; Campbell, C. Ad Creativity in a Negative Context: How a Thanking Message Frame Enhances Purchase Intention in Times of Crisis. J. Retail. Consum. Serv. 2022, 64, 102825. [Google Scholar] [CrossRef]
- Wang, J.; Lee, A.Y. The Role of Regulatory Focus in Preference Construction. J. Mark. Res. 2006, 43, 28–38. [Google Scholar] [CrossRef]
- Higgins, E.T. Beyond Pleasure and Pain. Am. Psychol. 1997, 52, 1280–1300. [Google Scholar] [CrossRef] [PubMed]
- Lee, A.Y.; Aaker, J.L. Bringing the Frame Into Focus: The Influence of Regulatory Fit on Processing Fluency and Persuasion. J. Personal. Soc. Psychol. 2004, 86, 205–218. [Google Scholar] [CrossRef] [PubMed] [Green Version]
- Cesario, J.; Grant, H.; Higgins, E.T. Regulatory Fit and Persuasion: Transfer from “Feeling Right”. J. Personal. Soc. Psychol. 2004, 86, 388–404. [Google Scholar] [CrossRef] [Green Version]
- Zhou, R.; Pham, M.T. Promotion and Prevention across Mental Accounts: When Financial Products Dictate Consumers& Investment Goals. J. Consum. Res. 2004, 31, 125–135. [Google Scholar] [CrossRef]
- Grewal, D.; Monroe, K.B.; Krishnan, R. The Effects of Price-Comparison Advertising on Buyers’ Perceptions of Acquisition Value, Transaction Value, and Behavioral Intentions. J. Mark. 1998, 62, 46. [Google Scholar] [CrossRef]
- Forsythe, S.; Liu, C.; Shannon, D.; Gardner, L.C. Development of a Scale to Measure the Perceived Benefits and Risks of Online Shopping. J. Interact. Mark. 2006, 20, 55–75. [Google Scholar] [CrossRef]
- Lee, S.H. New Measuring Stick on Sharing Accommodation: Guest-Perceived Benefits and Risks. Int. J. Hosp. Manag. 2020, 87, 102471. [Google Scholar] [CrossRef]
- Menon, S.; Kahn, B. Cross-Category Effects of Induced Arousal and Pleasure on the Internet Shopping Experience. J. Retail. 2002, 78, 31–40. [Google Scholar] [CrossRef]
- Childers, T.L.; Carr, C.L.; Peck, J.; Carson, S. Hedonic and Utilitarian Motivations for Online Retail Shopping Behavior. J. Retail. 2001, 77, 511–535. [Google Scholar] [CrossRef]
- Zhang, X.; Bai, X.; Shang, J. Is Subsidized Electric Vehicles Adoption Sustainable: Consumers’ Perceptions and Motivation toward Incentive Policies, Environmental Benefits, and Risks. J. Clean. Prod. 2018, 192, 71–79. [Google Scholar] [CrossRef]
- Venkatraman, M.P. The Impact of Innovativeness and Innovation Type on Adoption. J. Retail. 1991, 67, 51–67. [Google Scholar]
- Bettman, J.R. Perceived Risk and Its Components: A Model and Empirical Test. J. Mark. Res. 1973, 10, 184. [Google Scholar] [CrossRef] [Green Version]
- Taylor, J.W. The Role of Risk in Consumer Behavior: A Comprehensive and Operational Theory of Risk Taking in Consumer Behavior. J. Mark. 1974, 38, 54–60. [Google Scholar] [CrossRef]
- Kaplan, L.B.; Szybillo, G.J.; Jacoby, J. Components of Perceived Risk in Product Purchase: A Cross-Validation. J. Appl. Psychol. 1974, 59, 287–291. [Google Scholar] [CrossRef]
- Cox, D.F. Risk Taking and Information Handling in Consumer Behavior; Division of Research, Graduate School of Business Administration, Harvard University: Cambridge, MA, USA; Reed Business Education: Amsterdam, The Netherlands, 1967. [Google Scholar]
- Bart, Y.; Shankar, V.; Sultan, F.; Urban, G.L. Are the Drivers and Role of Online Trust the Same for All Web Sites and Consumers? A Large-Scale Exploratory Empirical Study. J. Mark. 2005, 69, 133–152. [Google Scholar] [CrossRef] [Green Version]
- Laroche, M.; McDougall, G.H.G.; Bergeron, J.; Yang, Z. Exploring How Intangibility Affects Perceived Risk. J. Serv. Res. 2004, 6, 373–389. [Google Scholar] [CrossRef]
- Murray, K.B.; Schlacter, J.L. The Impact of Services versus Goods on Consumers’ Assessment of Perceived Risk and Variability. J. Acad. Mark. Sci. 1990, 18, 51–65. [Google Scholar] [CrossRef]
- Nazzaro, C.; Lerro, M.; Stanco, M.; Marotta, G. Do Consumers like Food Product Innovation? An Analysis of Willingness to Pay for Innovative Food Attributes. Br. Food J. 2019, 121, 1413–1427. [Google Scholar] [CrossRef]
- Miles, S.; Frewer, L.J. Investigating Specific Concerns about Different Food Hazards. Food Qual. Prefer. 2001, 12, 47–61. [Google Scholar] [CrossRef]
- Guerrero, L.; Guàrdia, M.D.; Xicola, J.; Verbeke, W.; Vanhonacker, F.; Zakowska-Biemans, S.; Sajdakowska, M.; Sulmont-Rossé, C.; Issanchou, S.; Contel, M.; et al. Consumer-Driven Definition of Traditional Food Products and Innovation in Traditional Foods. A Qualitative Cross-Cultural Study. Appetite 2009, 52, 345–354. [Google Scholar] [CrossRef]
- Cui, H.-J.; Fam, K.-S.; Zhao, T.-Y. Regulatory Focus and Message Framing’s Effects on Intention to Consume Ethnic Food in China. Br. Food J. 2019, 122, 1969–1982. [Google Scholar] [CrossRef]
- Siegrist, M.; Hartmann, C. Consumer Acceptance of Novel Food Technologies. Nat. Food 2020, 1, 343–350. [Google Scholar] [CrossRef]
- Choi, J. Who Cares for Nutrition Information at a Restaurant? Food-Related Lifestyles and Their Association to Nutrition Information Conscious Behaviors. Br. Food J. 2016, 118, 1625–1640. [Google Scholar] [CrossRef]
- Song, X.; Bredahl, L.; Diaz Navarro, M.; Pendenza, P.; Stojacic, I.; Mincione, S.; Pellegrini, G.; Schlüter, O.K.; Torrieri, E.; Di Monaco, R.; et al. Factors Affecting Consumer Choice of Novel Non-Thermally Processed Fruit and Vegetables Products: Evidence from a 4-Country Study in Europe. Food Res. Int. 2022, 153, 110975. [Google Scholar] [CrossRef]
- Jaeger, S.R.; Lee, P.-Y.; Ares, G. Product Involvement and Consumer Food-Elicited Emotional Associations: Insights from Emoji Questionnaires. Food Res. Int. 2018, 106, 999–1011. [Google Scholar] [CrossRef]
- Zhao, X.; Namasivayam, K. The Relationship of Chronic Regulatory Focus to Work–Family Conflict and Job Satisfaction. Int. J. Hosp. Manag. 2012, 31, 458–467. [Google Scholar] [CrossRef]


| Characteristic | Neutral Message Group (838) | Gain-Oriented Message Group (692) | Avoidance-Oriented Message Group (736) | |
|---|---|---|---|---|
| Meat belief—health | 3.980 (0.684) | 3.950 (0.692) | 3.953 (0.713) | 0.43 |
| Meat belief—animal welfare | 3.060 (0.761) | 3.103 (0.764) | 3.105 (0.786) | 0.88 |
| Meat belief—environment | 3.113 (0.605) | 3.097 (0.638) | 3.127 (0.644) | 0.41 |
| Meat belief—enjoyment | 3.968 (0.694) | 3.985 (0.686) | 3.981 (0.669) | 0.13 |
| Consider price | 3.862 (0.878) | 3.902 (0.848) | 3.887 (0.894) | 0.42 |
| Consider flavor | 4.195 (0.807) | 4.197 (0.822) | 4.136 (0.819) | 1.33 |
| Consider health | 4.229 (0.960) | 4.233 (0.939) | 4.189 (0.915) | 0.50 |
| Consider environment | 3.187 (1.009) | 3.182 (1.069) | 3.110 (1.041) | 1.30 |
| Consider animal welfare | 2.479 (1.036) | 2.539 (1.040) | 2.447 (1.065) | 1.42 |
| Food involvement | 3.273 (0.654) | 3.253 (0.666) | 3.307 (0.627) | 1.26 |
| Food tech attitude | 2.642 (0.754) | 2.674 (0.756) | 2.697 (0.741) | 1.07 |
| Food neophobia | 2.771 (0.818) | 2.757 (0.794) | 2.742 (0.819) | 0.25 |
| Benefit | Risk | Attitude | |
|---|---|---|---|
| Panel A: Neutral message group | |||
| Pro | 0.279 *** | −0.239 *** | |
| (0.0292) | (0.0357) | ||
| Pre | −0.123 *** | 0.147 *** | |
| (0.0253) | (0.0162) | ||
| Benefit | 0.588 *** | ||
| (0.0347) | |||
| Risk | −0.426 *** | ||
| (0.0313) | |||
| Panel B: Gain-oriented message group | |||
| Pro | 0.561 *** | −0.475 *** | |
| (0.0203) | (0.0198) | ||
| Pre | −0.113 *** | 0.108 *** | |
| (0.0107) | (0.0113) | ||
| Benefit | 0.421 *** | ||
| (0.0407) | |||
| Risk | −0.518 *** | ||
| (0.0337) | |||
| Panel C: Avoidance-oriented message group | |||
| Pro | 0.286 *** | −0.263 *** | |
| (0.0399) | (0.0401) | ||
| Pre | −0.0924 *** | −0.0843 *** | |
| (0.0211) | (0.0227) | ||
| Benefit | 0.430 *** | ||
| (0.0383) | |||
| Risk | −0.503 *** | ||
| (0.0331) | |||
| Benefit | Risk | Attitude | |
|---|---|---|---|
| Panel A: Neutral message group | |||
| Pro | 0.163 *** | −0.145 *** | |
| (0.00908) | (0.0145) | ||
| Pre | −0.289 *** | 0.255 *** | |
| (0.0509) | (0.0423) | ||
| Benefit | 0.583 *** | ||
| (0.0284) | |||
| Risk | −0.493 *** | ||
| (0.0268) | |||
| Panel B: Gain-oriented message group | |||
| Pro | 0.211 *** | −0.218 *** | |
| (0.0152) | (0.0356) | ||
| Pre | −0.231 *** | 0.233 *** | |
| (0.0587) | (0.0590) | ||
| Benefit | 0.576 *** | ||
| (0.0321) | |||
| Risk | −0.549 *** | ||
| (0.029) | |||
| Panel C: Avoidance-oriented message group | |||
| Pro | 0.141 *** | −0.103 *** | |
| (0.0318) | (0.0218) | ||
| Pre | −0.0611 *** | 0.0739 *** | |
| (0.0237) | (0.0216) | ||
| Benefit | 0.404 *** | ||
| (0.0346) | |||
| Risk | −0.541 *** | ||
| (0.0294) | |||
| Plant-Based Meat | Cultured Meat | |
|---|---|---|
| SRMR | 0.091 | 0.093 |
| CD | 0.940 | 0.963 |
Publisher’s Note: MDPI stays neutral with regard to jurisdictional claims in published maps and institutional affiliations. |
© 2022 by the authors. Licensee MDPI, Basel, Switzerland. This article is an open access article distributed under the terms and conditions of the Creative Commons Attribution (CC BY) license (https://creativecommons.org/licenses/by/4.0/).
Share and Cite
Shi, H.; Ma, P.; Zeng, Y.; Sheng, J. Understanding the Interaction between Regulatory Focus and Message Framing in Determining Chinese Consumers’ Attitudes toward Artificial Meat. Int. J. Environ. Res. Public Health 2022, 19, 4948. https://doi.org/10.3390/ijerph19094948
Shi H, Ma P, Zeng Y, Sheng J. Understanding the Interaction between Regulatory Focus and Message Framing in Determining Chinese Consumers’ Attitudes toward Artificial Meat. International Journal of Environmental Research and Public Health. 2022; 19(9):4948. https://doi.org/10.3390/ijerph19094948
Chicago/Turabian StyleShi, Hongxu, Peihua Ma, Yinchu Zeng, and Jiping Sheng. 2022. "Understanding the Interaction between Regulatory Focus and Message Framing in Determining Chinese Consumers’ Attitudes toward Artificial Meat" International Journal of Environmental Research and Public Health 19, no. 9: 4948. https://doi.org/10.3390/ijerph19094948
APA StyleShi, H., Ma, P., Zeng, Y., & Sheng, J. (2022). Understanding the Interaction between Regulatory Focus and Message Framing in Determining Chinese Consumers’ Attitudes toward Artificial Meat. International Journal of Environmental Research and Public Health, 19(9), 4948. https://doi.org/10.3390/ijerph19094948

