Spatial Convergence of Carbon Productivity: Theoretical Analysis and Chinese Experience
Abstract
:1. Introduction
2. Literature Review
2.1. Economic Convergence
2.2. Environmental Convergence
2.3. Carbon Productivity Convergence
3. Convergence Hypothesis and Estimation Method
3.1. Spatial Solow Model
3.1.1. Spatial Spillover and Production Function
3.1.2. Steady Equilibrium and Convergence Analysis
3.2. Estimated Equation
3.3. Data and Variables Description
4. Empirical Results
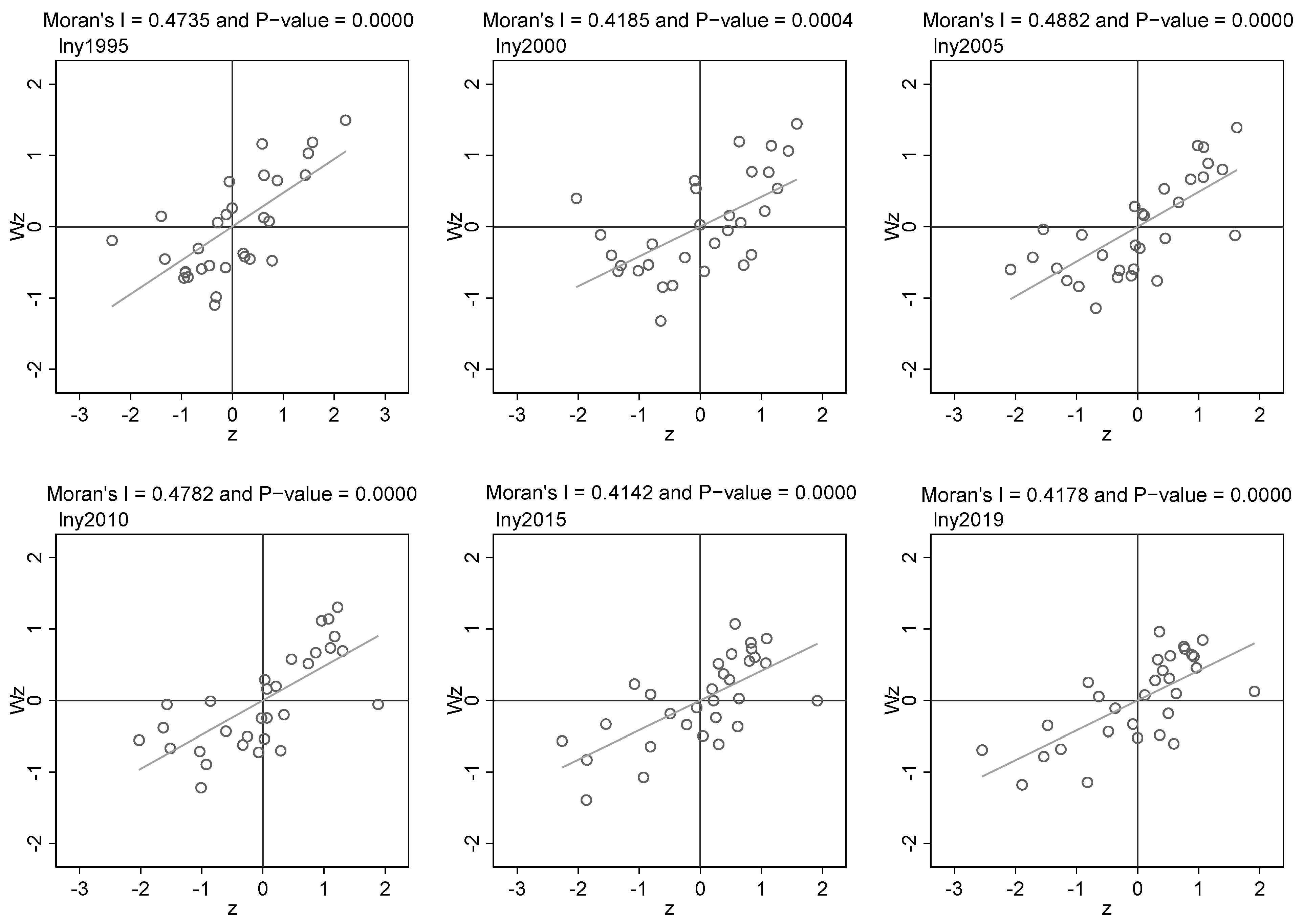
4.1. Empirical Results of Cross-Sectional Data
4.2. Empirical Results of Panel Data
4.3. Test of Convergence Mechanism
4.4. Robustness Test
4.5. Further Discussion
5. Conclusions
Author Contributions
Funding
Institutional Review Board Statement
Informed Consent Statement
Data Availability Statement
Conflicts of Interest
References
- IPCC 2006 IPCC Guidelines for National Greenhouse Gas Inventories; Institute for Global Environmental Strategies: Kanagawa, Japan, 2006.
- Sarkodie, S.A. Environmental performance, biocapacity, carbon & ecological footprint of nations: Drivers, trends and mitigation options. Sci. Total Environ. 2021, 751, 141912. [Google Scholar] [PubMed]
- Perkins, D.H. Reforming China’s economic system. J. Econ. Lit. 1988, 26, 601–645. [Google Scholar]
- Solow, R.M. A Contribution to the Theory of Economic Growth. Quarterly. J. Econ. 1956, 70, 65–95. [Google Scholar]
- Zhang, L.; Xiong, L.; Cheng, B.; Yu, C. How does foreign trade influence China’s carbon productivity? Based on panel spatial lag model analysis. Struct. Chang. Econ. Dyn. 2018, 47, 171–179. [Google Scholar] [CrossRef]
- Siami, N.; Winter, R.A. Jevons’ paradox revisited: Implications for climate change. Econ. Lett. 2021, 206, 109955. [Google Scholar] [CrossRef]
- Sorrell, S. Jevons’ Paradox revisited: The evidence for backfire from improved energy efficiency. Energy Policy 2009, 37, 1456–1469. [Google Scholar] [CrossRef]
- Mielnik, O.; Goldemberg, J. The evolution of the "carbonization index" in developing countries. Energy Policy 1999, 27, 307–308. [Google Scholar] [CrossRef]
- Zhang, H.; Shi, X.; Cheong, T.S.; Wang, K. Convergence of carbon emissions at the household level in China: A distribution dynamics approach. Energy Econ. 2020, 92, 104956. [Google Scholar] [CrossRef]
- Qi, W.; Song, C.; Sun, M.; Wang, L.; Han, Y. Sustainable Growth Drivers: Unveiling the Role Played by Carbon Productivity. Int. J. Environ. Res. Public Health 2022, 19, 1374. [Google Scholar] [CrossRef]
- Dehghan, Z.; Shahnazi, R. Energy intensity convergence in Iranian provinces: Evidence from energy carriers’ consumption intensity. Environ. Sci. Pollut. Res. Int. 2021, 28, 26697–26716. [Google Scholar] [CrossRef]
- Runar, B.; Amin, K.; Patrik, S. Convergence in carbon dioxide emissions and the role of growth and institutions: A parametric and non-parametric analysis. Environ. Econ. Policy Stud. 2017, 19, 359–390. [Google Scholar] [CrossRef] [Green Version]
- Siller, M.; Schatzer, T.; Walde, J.; Tappeiner, G. What drives total factor productivity growth? An examination of spillover effects. Reg. Stud. 2021, 55, 1129–1139. [Google Scholar] [CrossRef]
- Barro, R.; Sala-I-Martin, X. Convergence. J. Political Econ. 1992, 100, 223–251. [Google Scholar] [CrossRef]
- Baumol, W.J. Productivity Growth, Convergence, and Welfare: What the Long-Run Data Show. Am. Econ. Rev. 1986, 76, 1072–1085. [Google Scholar]
- Bernard, A.B.; Durlauf, S.N. Convergence in international output. J. Appl. Econom. 1995, 10, 97–108. [Google Scholar] [CrossRef] [Green Version]
- Ben-David, D.; Kimhi, A. Trade and the rate of income convergence. J. Int. Trade Econ. Dev. 2004, 13, 419–441. [Google Scholar] [CrossRef] [Green Version]
- Pagano, P. On Productivity Convergence in the European Community Countries: 1950–1998. Giornali Rech. Degli Econ. Ann. Econ. 1993, 52, 389–401. [Google Scholar]
- Tsionas, E.G. Regional Growth and Convergence: Evidence from the United States. Reg. Stud. 2000, 34, 231–238. [Google Scholar] [CrossRef]
- Mauro, L.; Godrecea, E. The Case of Italian Regions: Convergence or Dualism. Econ. Notes 1994, 23, 447–472. [Google Scholar]
- Romer, P.M. Increasing Returns and Long-Run Growth. J. Political Econ. 1986, 94, 1002–1037. [Google Scholar] [CrossRef] [Green Version]
- Lucas, R.E. On the Mechanics of Economic Development. J. Monet. Econ. 1989, 22, 3–42. [Google Scholar] [CrossRef]
- Bloom, D.E.; Canning, D.; Sevilla, J.P. Technological Diffusion, Conditional Convergence, and Economic Growth. NBER Working Papers. 2002. Available online: https://econpapers.repec.org/paper/nbrnberwo/8713.htm (accessed on 25 February 2022).
- Sare, Y.A.; Opoku, E.E.O.; Ibrahim, M.; Koomson, I. Financial sector development convergence in Africa: Evidence from bank-and market-based measures. Econ. Bus. Lett. 2019, 8, 166–175. [Google Scholar] [CrossRef]
- Lawson, L.; Martino, R.; Nguyen, P. Environmental convergence and environmental Kuznets curve: A unified empirical framework. Ecol. Model. 2020, 437, 109289. [Google Scholar] [CrossRef]
- Agazade, S. Energy Productivity Convergence in Eastern European Countries: A Panel Data Approach. East. Eur. Econ. 2021, 59, 407–422. [Google Scholar] [CrossRef]
- Azomahou, T.; Laisney, F.; Nguyen Van, P. Economic development and CO2 emissions: A nonparametric panel approach. J. Public Econ. 2006, 90, 1347–1363. [Google Scholar] [CrossRef] [Green Version]
- Brock, W.A.; Taylor, M.S. The Green Solow Model. J. Econ. Growth 2010, 15, 127–153. [Google Scholar] [CrossRef]
- Mulder, P.; de Groot, H.L.F. Structural Change and Convergence of Energy Intensity across OECD Countries, 1970–2005. Energy Econ. 2012, 34, 1910–1921. [Google Scholar] [CrossRef] [Green Version]
- Duro, J.A.; Alcantara, V.; Padilla, E. International Inequality in Energy Intensity Levels and the Role of Production Composition and Energy Efficiency: An Analysis of OECD Countries. Ecol. Econ. 2010, 69, 2468–2474. [Google Scholar] [CrossRef]
- Camarero, M.; Picazo-Tadeo, A.J.; Tamarit, C. Is the Environmental Efficiency of Industrialized Countries Converging? A ’SURE’ Approach to Testing for Convergence. Ecol. Econ. 2008, 66, 653–661. [Google Scholar] [CrossRef]
- Camarero, M.; Castillo, J.; Picazo-Tadeo, A.J.; Tamarit, C. Eco-Efficiency and Convergence in OECD Countries. Environ. Resour. Econ. 2013, 55, 87–106. [Google Scholar] [CrossRef] [Green Version]
- Hao, Y.; Liao, H.; Wei, Y. Is China’s carbon reduction target allocation reasonable? An analysis based on carbon intensity convergence. Appl. Energy 2015, 142, 229–239. [Google Scholar] [CrossRef]
- Brännlund, R.; Lundgren, T.; Söderholm, P. Convergence of carbon dioxide performance across Swedish industrial sectors: An environmental index approach. Energy Econ. 2015, 51, 227–235. [Google Scholar] [CrossRef] [Green Version]
- Apergis, N.; Payne, J.E. Per capita carbon dioxide emissions across U.S. states by sector and fossil fuel source: Evidence from club convergence tests. Energy Econ. 2017, 63, 365–372. [Google Scholar] [CrossRef]
- Xu, R.; Wu, Y.; Huang, Y. Measurement and convergence of carbon productivity across Shanghai’s manufacturing sectors. Int. J. Clim. Chang. Strateg. Manag. 2020, 12, 369–387. [Google Scholar] [CrossRef]
- Zhang, P.; Jia, G.; Mou, Q.; Song, M.; He, C.; Xu, Q. Carbon productivity convergence club and its initial conditions: China’s construction industry. Zhongguo Ren Kou Zi Yuan Yu Huan Jing 2019, 17, 12–24. [Google Scholar] [CrossRef]
- Moutinho, V.; Robaina-Alves, M.; Mota, J. Carbon dioxide emissions intensity of Portuguese industry and energy sectors: A convergence analysis and econometric approach. Renew. Sustain. Energy Rev. 2014, 40, 438–449. [Google Scholar] [CrossRef]
- Dong, F.; Li, X.; Long, R.; Liu, X. Regional carbon emission performance in China according to a stochastic frontier model. Renew. Sustain. Energy Rev. 2013, 28, 525–530. [Google Scholar] [CrossRef]
- Shen, N.; Peng, H.; Wang, Q. Spatial dependence, agglomeration externalities and the convergence of carbon productivity. Socio-Econ. Plan. Sci. 2021, 78, 101060. [Google Scholar] [CrossRef]
- Wu, Y.; Zheng, H.; Li, Y.; Delang, C.O.; Qian, J. Carbon productivity and mitigation: Evidence from industrial development and urbanization in the central and western regions of China. Sustainability 2021, 13, 9014. [Google Scholar] [CrossRef]
- Zheng, H.; Gao, X.; Sun, Q.; Han, X.; Wang, Z. The impact of regional industrial structure differences on carbon emission differences in China: An evolutionary perspective. J. Clean. Prod. 2020, 257, 120506. [Google Scholar] [CrossRef]
- Sala-i-Martin, X. Regional cohesion: Evidence and theories of regional growth and convergence. Eur. Econ. Rev. 1996, 40, 1325–1352. [Google Scholar] [CrossRef] [Green Version]
- LeSage, J.P.; Fischer, M. Estimates of the impact of static and dynamic knowledge spillovers on regional factor productivity. Int. Reg. Sci. Rev. 2012, 35, 103–127. [Google Scholar] [CrossRef]
- Islam, N. Growth empirics: A panel data approach. Q. J. Econ. 1995, 110, 1127–1170. [Google Scholar] [CrossRef]
- Tu, P.N.V. Dynamical Systems: An Introduction with Applications in Economics and Biology; Springer Science & Business Media: Berlin, Germany, 2012. [Google Scholar]
- Egger, P.; Pfaffermayr, M. Spatial convergence. Pap. Reg. Sci. 2006, 85, 199–215. [Google Scholar] [CrossRef]
- Elhorst, J.P. Matlab software for spatial panels. Int. Reg. Sci. Rev. 2014, 37, 389–405. [Google Scholar] [CrossRef] [Green Version]
- Mankiw, N.G.; Romer, D.; Weil, D.N. A contribution to the empirics of economic growth. Q. J. Econ. 1992, 107, 407–437. [Google Scholar] [CrossRef]
- Yu, J.; Lee, L. Convergence: A spatial dynamic panel data approach. Glob. J. Econ. 2012, 1, 1250006. [Google Scholar] [CrossRef] [Green Version]
- Bruno, G.S.F. Approximating the bias of the LSDV estimator for dynamic unbalanced panel data models. Econ. Lett. 2005, 87, 361–366. [Google Scholar] [CrossRef] [Green Version]
- Zhao, X.; Burnett, J.W.; Lacombe, D.J. Province-level convergence of China’s carbon dioxide emissions. Appl. Energy 2015, 150, 286–295. [Google Scholar] [CrossRef]
- Maud’s, J.; Pastor, J.M.; Serrano, L. Convergence in OECD countries: Technical change, efficiency and productivity. Appl. Econ. 2000, 32, 757–765. [Google Scholar] [CrossRef] [Green Version]
- Niu, M.; Tan, X.; Guo, J.; Li, G.; Huang, C. Driving Factors and Growth Potential of Provincial Carbon Productivity in China. Sustainability 2021, 13, 9759. [Google Scholar] [CrossRef]
- Liddle, B. Revisiting world energy intensity convergence for regional differences. Appl. Energy 2010, 87, 3218–3225. [Google Scholar] [CrossRef]
- Zhang, Q.; Yang, J.; Sun, Z.; Wu, F. Analyzing the impact factors of energy-related CO2 emissions in china: What can spatial panel regressions tell us? J. Clean. Prod. 2017, 161, 1085–1093. [Google Scholar] [CrossRef]
- Wang, F.; He, J.; Niu, Y. Role of foreign direct investment and fiscal decentralization on urban haze pollution in China. J. Environ. Manag. 2022, 305, 114287. [Google Scholar] [CrossRef] [PubMed]
- Li, W.; Qiao, Y.; Li, X.; Wang, Y. Energy consumption, pollution haven hypothesis, and Environmental Kuznets Curve: Examining the environment–economy link in belt and road initiative countries. Energy 2022, 239, 122559. [Google Scholar] [CrossRef]
- Chen, Z.; Paudel, K.P.; Zheng, R. Pollution halo or pollution haven: Assessing the role of foreign direct investment on energy conservation and emission reduction. J. Environ. Plan. Manag. 2022, 65, 311–336. [Google Scholar] [CrossRef]

| Variable | Mean | Std. Dev. | Min | Max | Obs. | LL and C | Fisher-ADF | |
|---|---|---|---|---|---|---|---|---|
| lny | overall | 0.450 | 0.517 | −1.087 | 1.970 | 750 | −2.45 *** (0.007) | 9.54 *** (0.000) |
| (carbon productivity) | between | 0.409 | −0.335 | 1.095 | 30 | |||
| within | 0.324 | −0.438 | 1.332 | 25 | ||||
| lns | overall | 1.216 | 0.509 | 0.105 | 2.611 | 750 | −2.69 *** (0.004) | 8.62 *** (0.000) |
| (Effective investment rate) | between | 0.177 | 0.793 | 1.601 | 30 | |||
| within | 0.478 | 0.061 | 2.656 | 25 | ||||
| lnes | overall | 0.465 | 0.038 | 0.421 | 0.702 | 750 | −1.81 ** (0.036) | 3.92 *** (0.000) |
| (Unit emission energy consumption) | between | 0.033 | 0.424 | 0.562 | 30 | |||
| within | 0.020 | 0.324 | 0.624 | 25 | ||||
| lnye | overall | −0.015 | 0.501 | −1.507 | 1.269 | 750 | −3.89 *** (0.000) | 10.00 *** (0.000) |
| (energy productivity) | between | 0.398 | −0.777 | 0.553 | 30 | |||
| within | 0.313 | −0.895 | 0.859 | 25 |
| Equation | (1) | (2) | (3) | (4) | (5) |
|---|---|---|---|---|---|
| 1995–2010 | 2010–2019 | 1995–2019 | 2003–2019 | Pooled | |
| lny0 | 0.7493 *** | 1.1616 *** | 0.7319 *** | 1.0287 *** | 0.9759 *** |
| (0.0853) | (0.1050) | (0.1438) | (0.1516) | (0.0261) | |
| Constant | 0.5356 *** | 0.4256 *** | 1.0385 *** | 0.6681 *** | 0.1847 *** |
| (0.0449) | (0.0724) | (0.074) | (0.0813) | (0.0181) | |
| Implied λ | 0.0192 | −0.0166 | 0.0130 | −0.0018 | 0.0061 |
| β = e−λt | t = 15 | t = 9 | t = 24 | t = 16 | t = 4 |
| R-square | 0.6352 | 0.843 | 0.3786 | 0.6963 | 0.8903 |
| n | 30 | 30 | 30 | 30 | 180 |
| Equation | (1) | (2) | (3) | (4) | (5) |
|---|---|---|---|---|---|
| 1995–2010 | 2010–2019 | 1995–2019 | 2003–2019 | Pooled | |
| lny0 | 0.6378 *** | 1.1914 *** | 0.7014 *** | 1.0128 *** | 0.9661 *** |
| (0.0909) | (0.1163) | (0.1360) | (0.1494) | (0.0272) | |
| lns | −0.3793 * | 0.0771 | −0.1502 | −0.0607 | 0.0590 *** |
| (0.2122) | (0.0645) | (0.1499) | (0.1136) | (0.0223) | |
| Constant | 1.0111 *** | 0.2685 | 1.3143 *** | 0.7854 *** | 0.1116 *** |
| (0.2575) | (0.1592) | (0.2865) | (0.2190) | (0.0350) | |
| Implied λ | 0.0300 | −0.0195 | 0.0148 | −0.0008 | 0.0086 |
| β = e−λt | t = 15 | t = 9 | t = 24 | t = 16 | t = 4 |
| R-square | 0.6724 | 0.8474 | 0.3966 | 0.6991 | 0.8936 |
| Equation | (1) | (2) | (3) | (4) | (5) |
|---|---|---|---|---|---|
| 1995–2010 | 2010–2019 | 1995–2019 | 2003–2019 | Pooled | |
| lny0 | 0.5709 *** | 1.1716 *** | 0.4932 ** | 0.8942 *** | 0.8819 *** |
| (0.1261) | (0.1114) | (0.1962) | (0.1442) | (0.0435) | |
| lns | −0.2281 | 0.0251 | −0.1146 | −0.0877 | −0.0128 |
| (0.1798) | (0.0613) | (0.1177) | (0.0860) | (0.0319) | |
| Constant | 0.8071 *** | 0.3226 | 1.1635 *** | 0.8165 *** | 0.2948 *** |
| (0.3070) | (0.2140) | (0.3958) | (0.2902) | (0.0670) | |
| w*e | 0.8134 *** | 0.8182 *** | 0.8213 *** | 0.8182 *** | 0.6089 *** |
| (0.0961) | (0.0943) | (0.0933) | (0.0944) | (0.0805) | |
| Implied λ | 0.0374 | −0.0176 | 0.0295 | 0.0070 | 0.0314 |
| β = e−λt | t = 15 | t = 9 | t = 24 | t = 16 | t = 4 |
| Pseudo R2 | 0.6692 | 0.8454 | 0.3965 | 0.698 | 0.8667 |
| n | 30 | 30 | 30 | 30 | 180 |
| LR_SLM | 5.77 * | 20.97 *** | 1.45 | 8.37 ** | 52.06 *** |
| LR_SEM | 0.30 | 1.12 | 0.17 | 0.66 | 0.11 |
| Equation | (1) | (2) | (3) | (4) | (5) | (6) |
|---|---|---|---|---|---|---|
| 1995–2019 | 1995–2010 | 2010–2019 | East | Central | West | |
| L.lny | 0.8299 *** | 0.5433 *** | 0.8779 *** | 0.9210 *** | 0.5675 *** | 0.8021 *** |
| (0.0381) | (0.0486) | (0.0573) | (0.0392) | (0.0774) | (0.0724) | |
| lns | 0.1201 *** | 0.1255 ** | 0.0712 ** | 0.0882 ** | 0.2604 *** | 0.1374 *** |
| (0.0224) | (0.0511) | (0.0325) | (0.036) | (0.0576) | (0.0409) | |
| Implied λ | 0.0622 | 0.2034 | 0.0434 | 0.0274 | 0.1888 | 0.0735 |
| β = e−λt | t = 3 | t = 3 | t = 3 | t = 3 | t = 3 | t = 3 |
| n | 240 | 150 | 90 | 88 | 64 | 88 |
| Equation | (1) | (2) | (3) | (4) | (5) | (6) |
|---|---|---|---|---|---|---|
| 1995–2019 | 1995–2010 | 2010–2019 | East | Central | West | |
| L.lny | 0.8944 *** | 0.6693 *** | 0.7975 *** | 0.8562 *** | 0.5678 *** | 0.9302 *** |
| (0.0605) | (0.0772) | (0.0756) | (0.051) | (0.1250) | (0.070) | |
| w*lny | 0.5754 *** | 0.4194 *** | 0.5341 *** | 0.4647 *** | 0.3195 *** | 0.5656 *** |
| (0.0478) | (0.0882) | (0.0793) | (0.0973) | (0.0832) | (0.0398) | |
| L.w*lny | −0.5942 *** | −0.4539 *** | −0.4341 *** | −0.4380 *** | −0.2530 | −0.5250 *** |
| (0.0813) | (0.1155) | (0.1097) | (0.0928) | (0.1689) | (0.1280) | |
| lns | −0.0153 | −0.1198 * | 0.0335 | 0.0103 | 0.0810 | 0.0334 |
| (0.0290) | (0.0618) | (0.0224) | (0.0420) | (0.0721) | (0.0470) | |
| w*lns | 0.1028 ** | 0.2810 *** | 0.0944 ** | 0.1442 * | ||
| (0.0419) | (0.0433) | (0.0435) | (0.0767) | |||
| Implied λ | 0.0372 | 0.1338 | 0.0754 | 0.0518 | 0.1887 | 0.0241 |
| β = e−λt | t = 3 | t = 3 | t = 3 | t = 3 | t = 3 | t = 3 |
| R-square | 0.9289 | 0.8193 | 0.9564 | 0.9468 | 0.8980 | 0.9046 |
| Hausman | 31.77 *** | 36.87 *** | 9.26 * | 23.18 *** | 16.68 *** | 18.76 *** |
| D-M test | 2.06 | 1.22 | 1.36 | 1.74 | 0.06 | 2.37 |
| LR_SLM | 14.26 *** | 21.74 *** | 2.69 | 11.59 *** | 3.68 * | 1.95 |
| n | 240 | 150 | 120 | 88 | 64 | 88 |
| Equation | Total | East | Central | West | ||||
|---|---|---|---|---|---|---|---|---|
| (1) lnes | (2) lnye | (3) lnes | (4) lnye | (5) lnes | (6) lnye | (7) lnes | (8) lnye | |
| L.lnes | 0.9543 *** | 0.7118 ** | 1.4173 *** | 1.1576 *** | ||||
| (0.0476) | (0.2896) | (0.1899) | (0.1138) | |||||
| L.w*lnes | 0.4812 *** | 0.3638 ** | −0.0564 | −0.2797 | ||||
| (0.1293) | (0.1781) | (0.0996) | (0.1953) | |||||
| L.lnye | 0.8499 *** | 0.7554 *** | 0.5510 *** | 0.9288 *** | ||||
| (0.0397) | (0.0433) | (0.1246) | (0.0659) | |||||
| L.w*lnye | −0.5532 *** | −0.3429 *** | −0.2331 | −0.5390 *** | ||||
| (0.0583) | (0.0927) | (0.1689) | (0.1257) | |||||
| lns | −0.0070 ** | −0.0082 | −0.0219 | 0.0086 | 0.0025 | 0.0799 | 0.0019 | 0.0352 |
| (0.0033) | (0.0227) | (0.0134) | (0.0395) | (0.0028) | (0.0711) | (0.0032) | (0.0464) | |
| w*lns | 0.0028 | 0.0991 *** | 0.0231 | 0.1033 *** | −0.0020 | 0.1391 * | ||
| (0.0036) | (0.0341) | (0.0177) | (0.0376) | (0.0036) | (0.0734) | |||
| rho | 0.1700 * | 0.5662 *** | 0.1825 ** | 0.4504 *** | 0.1726 *** | 0.3220 *** | 0.1508 * | 0.5730 *** |
| (0.0896) | (0.0624) | (0.0772) | (0.1049) | (0.0468) | (0.0815) | (0.0774) | (0.0389) | |
| Implied λ | 0.0156 | 0.0542 | 0.1133 | 0.0935 | −0.1163 | 0.1987 | −0.0488 | 0.0246 |
| β = e−λt | t = 3 | t = 3 | t = 3 | t = 3 | t = 3 | t = 3 | t = 3 | t = 3 |
| R-square | 0.8559 | 0.9217 | 0.7696 | 0.9332 | 0.9031 | 0.894 | 0.8833 | 0.9073 |
| n | 240 | 240 | 88 | 88 | 64 | 64 | 88 | 88 |
| Equation | 4-Year Interval | 4-Year Average | Distance Weight | ||||||
|---|---|---|---|---|---|---|---|---|---|
| (1) lny | (2) lnes | (3) lnye | (4) lny | (5) lnes | (6) lnye | (7) lny | (8) lnes | (9) lnye | |
| L.lny | 0.7323 *** | 0.9567 *** | 0.9653 *** | ||||||
| (0.1082) | (0.0845) | (0.0499) | |||||||
| L.w*lny | −0.3742 *** | −0.5955 *** | −0.7548 *** | ||||||
| (0.1265) | (0.0778) | (0.0845) | |||||||
| L.lnes | 0.8597 *** | 1.3820 *** | 0.9959 *** | ||||||
| (0.2607) | (0.2942) | (0.2621) | |||||||
| L.w*lnes | 0.6861 *** | 0.1992 | −0.1000 | ||||||
| (0.2502) | (0.2879) | (0.2180) | |||||||
| L.lnye | 0.6855 *** | 0.8996 *** | 0.9125 *** | ||||||
| (0.1007) | (0.0760) | (0.0468) | |||||||
| L.w*lnye | −0.3358 *** | −0.5596 *** | −0.7063 *** | ||||||
| (0.1214) | (0.0740) | (0.0871) | |||||||
| lns | 0.0195 | −0.0103 | 0.0302 | 0.0183 | −0.0035 | 0.0283 | −0.0069 | −0.0032 | −0.0038 |
| (0.0470) | (0.0108) | (0.0403) | (0.0469) | (0.0140) | (0.0409) | (0.0253) | (0.0071) | (0.0215) | |
| w*lns | 0.1673 ** | 0.0072 | 0.1568 ** | −0.0225 | −0.0006 | −0.0167 | 0.1852 *** | 0.0026 | 0.1889 *** |
| (0.0661) | (0.0120) | (0.0625) | (0.0720) | (0.0143) | (0.0697) | (0.0479) | (0.0095) | (0.0440) | |
| rho | 0.3851 *** | 0.1557 * | 0.3785 *** | 0.7253 *** | 0.2630 ** | 0.7114 *** | 0.5432 *** | 0.2829 *** | 0.5258 *** |
| (0.0682) | (0.0886) | (0.0694) | (0.043 | (0.1119) | (0.0456) | (0.0957) | (0.0851) | (0.0968) | |
| Implied λ | 0.0779 | 0.0378 | 0.0944 | 0.0111 | −0.0809 | 0.0265 | 0.0118 | 0.0014 | 0.0305 |
| β = e−λt | t = 4 | t = 4 | t = 4 | t = 4 | t = 4 | t = 4 | t = 3 | t = 3 | t = 3 |
| R-square | 0.8515 | 0.7865 | 0.8381 | 0.9004 | 0.8549 | 0.9078 | 0.9560 | 0.8811 | 0.9521 |
| n | 180 | 180 | 180 | 150 | 150 | 150 | 240 | 240 | 240 |
Publisher’s Note: MDPI stays neutral with regard to jurisdictional claims in published maps and institutional affiliations. |
© 2022 by the authors. Licensee MDPI, Basel, Switzerland. This article is an open access article distributed under the terms and conditions of the Creative Commons Attribution (CC BY) license (https://creativecommons.org/licenses/by/4.0/).
Share and Cite
Sun, M.; Zhang, Y.; Hu, Y.; Zhang, J. Spatial Convergence of Carbon Productivity: Theoretical Analysis and Chinese Experience. Int. J. Environ. Res. Public Health 2022, 19, 4606. https://doi.org/10.3390/ijerph19084606
Sun M, Zhang Y, Hu Y, Zhang J. Spatial Convergence of Carbon Productivity: Theoretical Analysis and Chinese Experience. International Journal of Environmental Research and Public Health. 2022; 19(8):4606. https://doi.org/10.3390/ijerph19084606
Chicago/Turabian StyleSun, Meng, Yue Zhang, Yaqi Hu, and Jiayi Zhang. 2022. "Spatial Convergence of Carbon Productivity: Theoretical Analysis and Chinese Experience" International Journal of Environmental Research and Public Health 19, no. 8: 4606. https://doi.org/10.3390/ijerph19084606
APA StyleSun, M., Zhang, Y., Hu, Y., & Zhang, J. (2022). Spatial Convergence of Carbon Productivity: Theoretical Analysis and Chinese Experience. International Journal of Environmental Research and Public Health, 19(8), 4606. https://doi.org/10.3390/ijerph19084606
