Warm-Up Improves Balance Control Differently in the Dominant and Non-Dominant Leg in Young Sportsmen According to Their Experience in Asymmetric or Symmetric Sports
Abstract
1. Introduction
2. Material and Methods
2.1. Participants
2.2. Procedure
2.3. Analysis of Data
2.4. Statistical Analysis
3. Results
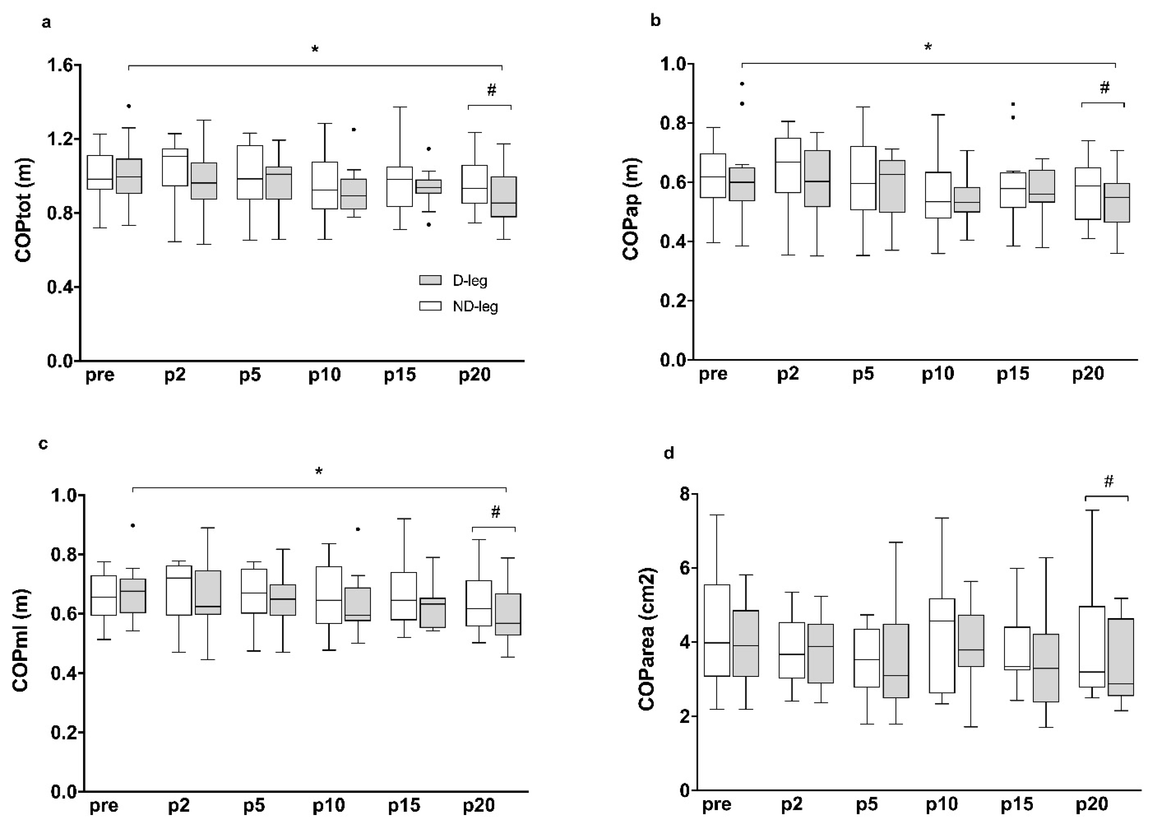
3.1. Whole Group
3.2. Subgroups
4. Discussion
5. Conclusions
Author Contributions
Funding
Institutional Review Board Statement
Informed Consent Statement
Data Availability Statement
Acknowledgments
Conflicts of Interest
References
- Winter, D.A. Human balance and posture control during standing and walking. Gait Posture 1995, 3, 193–214. [Google Scholar] [CrossRef]
- Paillard, T. Plasticity of the postural function to sport and/or motor experience. Neurosci. Biobehav. Rev. 2017, 201772, 129–152. [Google Scholar] [CrossRef] [PubMed]
- Barone, R. Soccer players have a better standing balance in nondominant one-legged stance. Open Access J. Sport Med. 2010, 2, 1–6. [Google Scholar] [CrossRef] [PubMed]
- Vieira, O.; Coelho, D.B.; Teixeira, L.A. Asymmetric balance control between legs for quiet but not for perturbed stance. Exp. Brain Res. 2014, 232, 3269–3276. [Google Scholar] [CrossRef]
- Promsri, A.; Haid, T.; Werner, I.; Federolf, P. Leg dominance effects on postural control when performing challenging balance exercises. Brain Sci. 2020, 10, 128. [Google Scholar] [CrossRef]
- Jadczak, Ł.; Grygorowicz, M.; Wieczorek, A.; Śliwowski, R. Analysis of static balance performance and dynamic postural priority according to playing position in elite soccer players. Gait Posture 2019, 74, 148–153. [Google Scholar] [CrossRef]
- Schneiders, A.G.; Sullivan, S.J.; O’Malley, K.J.; Clarke, S.V.; Knappstein, S.A.; Taylor, L.J. A valid and reliable clinical determination of footedness. PM R 2010, 2, 835–841. [Google Scholar] [CrossRef]
- Paillard, T.; Noé, F. Does monopedal postural balance differ between the dominant leg and the non-dominant leg? A review. Hum. Mov. Sci. 2020, 74, 102686. [Google Scholar] [CrossRef]
- Marcori, A.J.; Teixeira, L.A.; Dascal, J.B.; Okazaki, V.H.A. Are the predictions of the dynamic dominance model of laterality applicable to the lower limbs? Hum. Mov. Sci. 2007, 73, 102684. [Google Scholar] [CrossRef]
- Sainburg, R.L. Convergent models of handedness and brain lateralization. Front. Psychol. 2014, 5, 1092. [Google Scholar] [CrossRef]
- Carnahan, H.; Elliott, D. Pedal asymmetry in the reproduction of spatial locations. Cortex 1987, 23, 157–159. [Google Scholar] [CrossRef]
- Goble, D.J.; Lewis, C.A.; Brown, S.H. Upper limb asymmetries in the utilization of proprioceptive feedback. Exp. Brain Res. 2006, 168, 307–311. [Google Scholar] [CrossRef] [PubMed]
- Erkmen, N.; Suveren, S.; Göktepe, A. Effects of exercise continued until anaerobic threshold on balance performance in male basketball players. J. Hum. Kinet. 2012, 33, 73–79. [Google Scholar] [CrossRef]
- Guan, Y.; Bredin, S.; Jiang, Q.; Jaaunton, J.; Li, Y.; Wu, N.; Wu, L.; Warburton, D. The effect of fatigue on asymmetry between lower limbs in functional performances in elite child taekwondo athletes. J. Orthop. Surg. Res. 2021, 16, 33. [Google Scholar] [CrossRef] [PubMed]
- Kadri, M.A.; Noé, F.; Maitre, J.; Maffulli, N.; Paillard, T. Effects of limb dominance on postural balance in sportsmen practicing symmetric and asymmetric sports: A pilot study. Symmetry 2021, 13, 2199. [Google Scholar] [CrossRef]
- Penedo, T.; Polastri, P.F.; Rodrigues, S.T.; Santinelli, F.B.; Costa, E.C.; Imaizumi, L.F.I.; Barbieri, R.A.; Barbieri, F.A. Motor strategy during postural control is not muscle fatigue joint-dependent, but muscle fatigue increases postural asymmetry. PLoS ONE 2021, 16, e0247395. [Google Scholar] [CrossRef] [PubMed]
- Bishop, C.; Turner, A.; Read, P. Effects of inter-limb asymmetries on physical and sports performance: A systematic review. J. Sports Sci. 2018, 36, 1135–1144. [Google Scholar] [CrossRef]
- Promsri, A.; Longo, A.; Haid, T.; Doix, A.M.; Federolf, P. Leg dominance as a risk factor for lower-limb injuries in downhill skiers—a pilot study into possible mechanisms. Int. J. Environ. Res. Public Health 2019, 16, 3399. [Google Scholar] [CrossRef]
- Taube, W.; Gruber, M.; Gollhofer, A. Spinal and supraspinal adaptations associated with balance training and their functional relevance. Acta Physiol. 2008, 193, 101–116. [Google Scholar] [CrossRef]
- Daneshjoo, A.; Mokhtar, A.H.; Rahnama, N.; Yusof, A. The effects of comprehensive warm-up programs on proprioception, static and dynamic balance on male soccer players. PLoS ONE 2012, 7, e51568. [Google Scholar] [CrossRef]
- Pardos-Mainer, E.; Casajús, J.A.; Gonzalo-Skok, O. Adolescent female soccer players’ soccer-specific warm-up effects on performance and inter-limb asymmetries. Biol. Sport 2019, 36, 199–207. [Google Scholar] [CrossRef] [PubMed]
- Madruga-Parera, M.; Bishop, C.; Fort-Vanmeerhaeghe, A.; Beato, M.; Gonzalo-Skok, O.; Romero-Rodríguez, D. Effects of 8 weeks of isoinertial vs. cable-resistance training on motor skills performance and interlimb asymmetries. J. Strength Cond. Res. 2020; Publish Ahead of Print. [Google Scholar] [CrossRef] [PubMed]
- Subasi, S.S.; Gelecek, N.; Aksakoglu, G. Effects of different warm-up periods on knee proprioception and balance in healthy young individuals. J. Sport Rehabil. 2008, 17, 186–205. [Google Scholar] [CrossRef]
- Costa, P.B.; Graves, B.S.; Whitehurst, M.; Jacobs, P.L. The acute effects of different durations of static stretching on dynamic balance performance. J. Strength Cond. Res. 2009, 23, 141–147. [Google Scholar] [CrossRef] [PubMed]
- Chatzopoulos, D.; Galazoulas, C.; Patikas, D.; Kotzamanidis, C. Acute effects of static and dynamic stretching on balance, agility, reaction time and movement time. J. Sport Sci. Med. 2014, 13, 403–409. [Google Scholar]
- Paillard, T.; Kadri, M.A.; Nouar, M.B.; Noé, F. Warm-up optimizes postural control but requires some minutes of recovery. J. Strength Cond. Res. 2018, 32, 2725–2729. [Google Scholar] [CrossRef]
- Morris, T.P.; Fried, P.J.; Macone, J.; Stillman, A.; Gomes-Osman, J.; Costa-Miserachs, D.; Muñoz, J.M.T.; Santarnecchi, E.; Pascual-Leone, A. Light aerobic exercise modulates executive function and cortical excitability. Eur. J. Neurosci. 2020, 51, 1723–1734. [Google Scholar] [CrossRef]
- Pearce, A.J.; Rowe, G.S.; Whyte, D.G. Neural conduction and excitability following a simple warm up. J. Sci. Med. Sport 2012, 15, 164–168. [Google Scholar] [CrossRef] [PubMed]
- Painter, R.; Pearce, A.; Rostami, M.; Frazer, A.; Kidgell, D. Determining the Corticospinal and Neuromuscular Responses Following a Warm-Up Protocol. J. Sci. Med. 2020, 2, 1–12. [Google Scholar] [CrossRef]
- McGowan, C.J.; Pyne, D.B.; Thompson, K.G.; Rattray, B. Warm-Up Strategies for Sport and Exercise: Mechanisms and Applications. Sports Med. 2015, 45, 1523–1546. [Google Scholar] [CrossRef]
- Cug, M.; Wikstrom, E.A. Learning effects associated with the least stable level of the Biodex® stability system during dual and single limb stance. J. Sport Sci. Med. 2014, 13, 387–392. [Google Scholar]
- Paillard, T.; Noé, F. Techniques and methods for testing the postural function in healthy and pathological subjects. BioMed Res. Int. 2015, 2015, 891390. [Google Scholar] [CrossRef] [PubMed]
- Demšar, J. Statistical comparisons of classifiers over multiple data sets. J. Mach. Learn Res. 2006, 7, 1–30. [Google Scholar]
- Maloney, S.J. The relationship between asymmetry and athletic performance: A critical review. J. Strength Cond. Res. 2019, 33, 2579–2593. [Google Scholar] [CrossRef]
- Romero-Franco, N.; Jiménez-Reyes, P. Unipedal postural balance and countermovement jumps after a warm-up and plyometric training session: A randomized controlled trial. J. Strength Cond. Res. 2015, 29, 3216–3222. [Google Scholar] [CrossRef]
- Tillin, N.A.; Bishop, D. Factors modulating post-activation potentiation and its effect on performance of subsequent explosive activities. Sports Med. 2009, 39, 147–166. [Google Scholar] [CrossRef]
- Arliani, G.G.; Almeida, G.P.; Dos Santos, C.V.; Venturini, A.M.; Astur, D.; Cohen, M. The effects of exertion on the postural stability in young soccer players. Acta Ortop. Bras. 2013, 21, 155–158. [Google Scholar] [CrossRef]
- Marchetti, P.H.; Orselli, M.I.V.; Duarte, M. The effects of uni- and bilateral fatigue on postural and power tasks. J. Appl. Biomech. 2013, 29, 44–48. [Google Scholar] [CrossRef]
- Waterman, N.; Sole, G.; Hale, L. The effect of a netball game on parameters of balance. Phys. Ther. Sport 2004, 5, 200–207. [Google Scholar] [CrossRef]
- Vaillancourt, D.E.; Newell, K.M. Changing complexity in human behavior and physiology through aging and disease. Neurobiol. Aging 2002, 23, 1–11. [Google Scholar] [CrossRef]
- Marchetti, P.H.; Orselli, M.I.; Martins LM, S.; Duarte, M. Effects of a full season on stabilometric parameters of team handball elite athletes. Motriz Rev. Educ. Fis. 2014, 20, 71–77. [Google Scholar] [CrossRef][Green Version]
- Fort-Vanmeerhaeghe, A.; Bishop, C.; Buscà, B.; Aguilera-Castells, J.; Vicens-Bordas, J.; Gonzalo-Skok, O. Inter-limb asymmetries are associated with decrements in physical performance in youth elite team sports athletes. PLoS ONE 2020, 15, e0229440. [Google Scholar] [CrossRef] [PubMed]
- Wikstrom, E.A.; Tillman, M.D.; Kline, K.J.; Borsa, P.A. Gender and limb differences in dynamic postural stability during landing. Clin. J. Sport Med. 2006, 16, 311–315. [Google Scholar] [CrossRef] [PubMed]


| Subject | Sex | Age | Height | Weight | Sports Specialty | Experience | Subgroup |
|---|---|---|---|---|---|---|---|
| 1 | F | 26 | 177 | 60 | Triathlon | 3 years | SYM |
| 2 | M | 23 | 175 | 69 | Handball | 8 years | ASYM |
| 3 | M | 22 | 191 | 85 | Triathlon | 2 years | SYM |
| 4 | F | 19 | 155 | 49 | Rock climbing | 8 years | SYM |
| 5 | M | 22 | 172 | 64 | Soccer | 15 years | ASYM |
| 6 | F | 31 | 165 | 59 | Running | 6 years | SYM |
| 7 | M | 20 | 192 | 73 | Rock climbing | 6 years | SYM |
| 8 | M | 20 | 172 | 63 | Judo | 14 years | ASYM |
| 9 | M | 22 | 173 | 72 | Karate | 10 years | ASYM |
| 10 | M | 20 | 180 | 70 | Rugby | 7 years | ASYM |
| 11 | F | 20 | 159 | 54.5 | Rock climbing | 6 years | SYM |
| 12 | M | 19 | 170 | 70 | Running | 7 years | SYM |
| Pre | p2 | p5 | p10 | p15 | p20 | ||
|---|---|---|---|---|---|---|---|
| SYM | COPtot | 982.30 (133.30) | 953.97 (160.38) | 1049.76 (144.94) | 955.09 (141.48) | 939.75 (61.40) | 938.18 (227.52) |
| COPap | 592.57 (92.96) | 579.44 (78.02) | 631.03 (103.20) | 556.58 (70.49) | 555.44 (59.42) | 578.87 (142.16) | |
| COPml | 674.87 (76.58) | 673.13 (154.03) | 670.70 (99.67) | 641.70 (119.00) | 649.54 (48.80) | 617.38 (150.73) † | |
| COParea | 409.62 (117.88) | 401.01 (42.16) | 383.77 (133.48) | 384.65 (63.50) | 305.87 (183.48) | 276.22 (196.91) | |
| ASYM | COPtot | 1005.77 (97.98) | 1025.95 (92.08) | 918.48 (148.56) | 842.15 (78.28) | 934.18 (32.67) | 783.06 (89.11) |
| COPap | 600.85 (6.23) | 624.45 (162.61) | 574.93 (132.64) | 526.31 (39.89) | 613.97 (91.78) | 542.00 (97.81) | |
| COPml | 682.44 (92.79) | 623.52 (86.63) | 610.28 (53.80) | 575.54 (11.46) | 556.11 (90.10) | 523.46 (73.37) *pre | |
| COParea | 388.35 (87.62) | 369.83 (160.10) | 242.91 (40.31) | 343.70 (157.82) | 352.81 (113.21) | 299.83 (138.86) |
| Pre | p2 | p5 | p10 | p15 | p20 | ||
|---|---|---|---|---|---|---|---|
| SYM | COPtot | 1080.07 (169.10) | 1115.19 (180.40) | 1016.68 (254.74) | 1043.62 (305.71) | 1032.11 (188.97) | 969.80 (195.58) |
| COPap | 669.17 (119.12) | 677.56 (122.39) | 622.45 (157.82) | 630.58 (208.82) | 621.60 (176.88) | 604.71 (135.20) | |
| COPml | 682.63 (129.61) | 752.29 (92.87) | 682.05 (156.29) | 698.51 (156.47) | 691.88 (98.72) | 649.44 (116.91) | |
| COParea | 470.47 (262.56) | 334.81 (77.40) | 328.08 (129.09) | 436.86 (90.68) | 330.37 (39.98) | 296.17 (209.68) | |
| ASYM | COPtot | 962.55 (54.06) | 975.62 (179.07) | 951.15 (199.87) | 875.45 (103.47) | 881.56 (128.87) | 881.99 (48.01) |
| COPap | 598.58 (43.62) | 612.17 (130.26) | 559.82 (126.23) | 532.38 (56.24) | 551.14 (49.91) | 548.41 (115.79) | |
| COPml | 626.69 (95.18) | 685.43 (126.39) | 655.94 (145.60) | 581.71 (81.24) | 576.44 (109.18) | 596.69 (59.87) | |
| COParea | 371.02 (94.15) | 386.31 (93.95) | 368.99 (69.48) | 457.30 (261.18) | 440.39 (117.62) | 330.07 (171.60) |
| Pre | p2 | p5 | p10 | p15 | p20 | ||
|---|---|---|---|---|---|---|---|
| SYM | ASI_COPtot | 1.79 (3.85) | 2.19 (1.10) | 2.26 (1.73) | 1.49 (1.19) | 4.68 (5.46) | 1.66 (3.29) |
| ASI_COPap | 4.47 (5.44) | 4.09 (4.27) | 3.79 (3.45) | 4.88 (3.20) | 4.25 (4.6) | 2.24 (3.32) | |
| ASI_COPml | 1.52 (3.18) | 3.20 (3.83) | 3.39 (3.66) | 2.29 (0.55) | 3.87 (2.93) | 2.77 (3.81) † | |
| ASI_COParea | 29.44 (19.43) | 17.68 (2.24) | 7.47 (7.50) | 13.26 (14.65) | 15.93 (23.66) | 9.16 (15.93) | |
| ASYM | ASI_COPtot | 1.20 (0.34) | 2.33 (4.15) | 1.75 (2.60) | 6.96 (3.75) | 3.97 (1.99) | 5.94 (1.60) |
| ASI_COPap | 3.42 (3.24) | 2.93 (3.71) | 2.62 (0.32) | 5.78 (5.37) | 5.94 (7.24) | 4.06 (5.07) | |
| ASI_COPml | 2.74 (0.92) | 2.39 (1.55) | 3.64 (2.90) | 9.35 (10.86) | 2.58 (0.55) | 7.18 (0.62) | |
| ASI_COParea | 23.87 (22.11) | 10.24 (6.26) | 11.60 (21.07) | 16.15 (15.90) | 6.52 (4.21) | 4.80 (3.93) |
Publisher’s Note: MDPI stays neutral with regard to jurisdictional claims in published maps and institutional affiliations. |
© 2022 by the authors. Licensee MDPI, Basel, Switzerland. This article is an open access article distributed under the terms and conditions of the Creative Commons Attribution (CC BY) license (https://creativecommons.org/licenses/by/4.0/).
Share and Cite
Brighenti, A.; Noé, F.; Stella, F.; Schena, F.; Mourot, L. Warm-Up Improves Balance Control Differently in the Dominant and Non-Dominant Leg in Young Sportsmen According to Their Experience in Asymmetric or Symmetric Sports. Int. J. Environ. Res. Public Health 2022, 19, 4562. https://doi.org/10.3390/ijerph19084562
Brighenti A, Noé F, Stella F, Schena F, Mourot L. Warm-Up Improves Balance Control Differently in the Dominant and Non-Dominant Leg in Young Sportsmen According to Their Experience in Asymmetric or Symmetric Sports. International Journal of Environmental Research and Public Health. 2022; 19(8):4562. https://doi.org/10.3390/ijerph19084562
Chicago/Turabian StyleBrighenti, Alfredo, Frédéric Noé, Federico Stella, Federico Schena, and Laurent Mourot. 2022. "Warm-Up Improves Balance Control Differently in the Dominant and Non-Dominant Leg in Young Sportsmen According to Their Experience in Asymmetric or Symmetric Sports" International Journal of Environmental Research and Public Health 19, no. 8: 4562. https://doi.org/10.3390/ijerph19084562
APA StyleBrighenti, A., Noé, F., Stella, F., Schena, F., & Mourot, L. (2022). Warm-Up Improves Balance Control Differently in the Dominant and Non-Dominant Leg in Young Sportsmen According to Their Experience in Asymmetric or Symmetric Sports. International Journal of Environmental Research and Public Health, 19(8), 4562. https://doi.org/10.3390/ijerph19084562

