Multi-Elemental Analysis of Human Optic Chiasm—A New Perspective to Reveal the Pathomechanism of Nerve Fibers’ Degeneration
Abstract
1. Introduction
2. Materials and Methods
2.1. Studied Population
2.2. Sample Preparation
2.3. ICP-MS Measurements
2.4. Statistics
3. Results
3.1. Descriptive Statistics for ICP-MS Elemental Measurements
3.2. Cluster Analysis
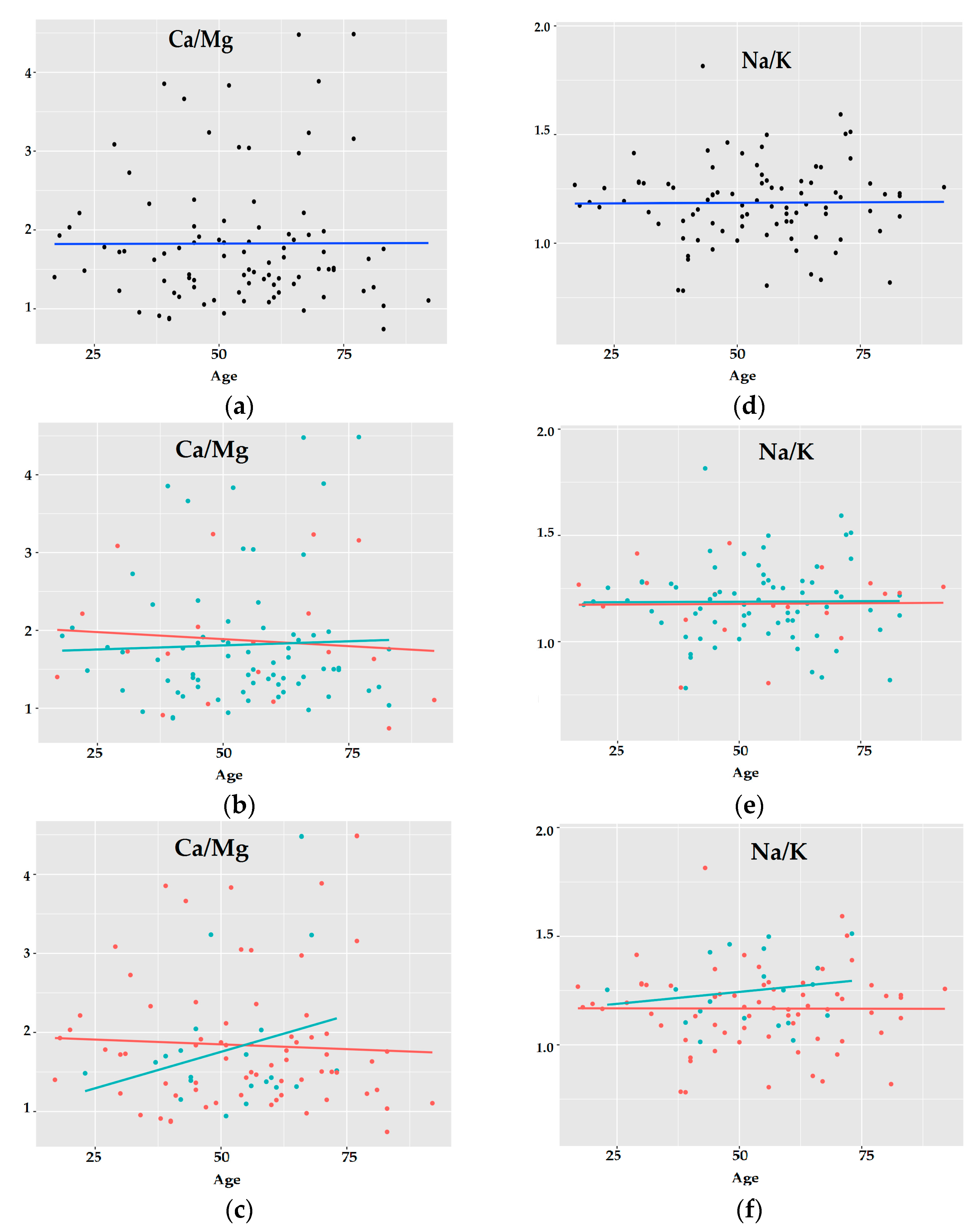
3.3. Age, Gender, and Alcohol Abuse Influence on the Elemental Composition
4. Discussion
5. Conclusions
Supplementary Materials
Author Contributions
Funding
Institutional Review Board Statement
Informed Consent Statement
Data Availability Statement
Conflicts of Interest
References
- Chen, P.; Parmalee, N.; Aschner, M. Genetic factors and manganese-induced neurotoxicity. Front. Genet. 2014, 5, 265. [Google Scholar] [CrossRef]
- Banci, L.; Bertini, I. Metallomics and the cell: Some definitions and general comments. Met. Ions Life Sci. 2013, 12, 1–13. [Google Scholar] [CrossRef]
- Desai, V.; Kaler, S.G. Role of copper in human neurological disorders. Am. J. Clin. Nutr. 2008, 88, 855S–858S. [Google Scholar] [CrossRef]
- Rangarajan, S.; D’Souza, G.A. Restless legs syndrome in Indian patients having iron deficiency anemia in a tertiary care hospital. Sleep Med. 2007, 8, 247–251. [Google Scholar] [CrossRef]
- Yager, J.Y.; Hartfield, D.S. Neurologic manifestations of iron deficiency in childhood. Pediatr. Neurol. 2002, 27, 85–92. [Google Scholar] [CrossRef]
- Wright, R.O.; Baccarelli, A. Metals and neurotoxicology. J. Nutr. 2007, 137, 2809–2813. [Google Scholar] [CrossRef] [PubMed]
- Angeli, S.; Barhydt, T.; Jacobs, R.; Killilea, D.W.; Lithgow, G.J.; Andersen, J.K. Manganese disturbs metal and protein homeostasis in Caenorhabditis elegans. Metallomics 2014, 6, 1816–1823. [Google Scholar] [CrossRef]
- Zhang, J.; Cao, R.; Cai, T.; Aschner, M.; Zhao, F.; Yao, T.; Chen, Y.; Cao, Z.; Luo, W.; Chen, J. The role of autophagy dysregulation in manganese-induced dopaminergic neurodegeneration. Neurotox. Res. 2013, 24, 478–490. [Google Scholar] [CrossRef]
- Seo, Y.A.; Li, Y.; Wessling-Resnick, M. Iron depletion increases manganese uptake and potentiates apoptosis through ER stress. Neurotoxicology 2013, 38, 67–73. [Google Scholar] [CrossRef]
- Gunter, T.E.; Gerstner, B.; Lester, T.; Wojtovich, A.P.; Malecki, J.; Swarts, S.G.; Brookes, P.S.; Gavin, C.E.; Gunter, K.K. An analysis of the effects of Mn2+ on oxidative phosphorylation in liver, brain, and heart mitochondria using state 3 oxidation rate assays. Toxicol. Appl. Pharmacol. 2010, 249, 65–75. [Google Scholar] [CrossRef] [PubMed][Green Version]
- Malecki, E.A. Manganese toxicity is associated with mitochondrial dysfunction and DNA fragmentation in rat primary striatal neurons. Brain Res. Bull. 2001, 55, 225–228. [Google Scholar] [CrossRef]
- Bondy, S.C.; Guo-Ross, S.X.; Pien, J. Mechanisms underlying the aluminum-induced potentiation of the pro-oxidant properties of transition metals. Neurotoxicology 1998, 19, 65–71. [Google Scholar]
- Strong, M.J.; Garruto, R.M.; Joshi, J.G.; Mundy, W.R.; Shafer, T.J. Can the mechanisms of aluminum neurotoxicity be integrated into a unified scheme? J. Toxicol. Environ. Health 1996, 48, 599–613. [Google Scholar] [CrossRef]
- Chen, P.; Chakraborty, S.; Peres, T.V.; Bowman, A.B.; Aschner, M. Manganese-induced Neurotoxicity: From C. elegans to Humans. Toxicol. Res. 2015, 4, 191–202. [Google Scholar] [CrossRef]
- Chen, P.; Miah, M.R.; Aschner, M. Metals and Neurodegeneration. F1000Res. 2016, 5, F1000. [Google Scholar] [CrossRef]
- Wang, L.; Yin, Y.L.; Liu, X.Z.; Shen, P.; Zheng, Y.-G.; Lan, X.-R.; Lu, C.-B.; Wang, J.-Z. Current understanding of metal ions in the pathogenesis of Alzheimer’s disease. Transl. Neurodegener. 2020, 9, 10. [Google Scholar] [CrossRef]
- Branca, J.J.V.; Morucci, G.; Pacini, A. Cadmium-induced neurotoxicity: Still much ado. Neural Regen. Res. 2018, 13, 1879–1882. [Google Scholar] [CrossRef]
- Orisakwe, O.E. The role of lead and cadmium in psychiatry. N. Am. J. Med. Sci. 2014, 6, 370–376. [Google Scholar] [CrossRef] [PubMed]
- Nyarko-Danquah, I.; Pajarillo, E.; Digman, A.; Soliman, K.F.A.; Aschner, M.; Lee, E. Manganese Accumulation in the Brain via Various Transporters and Its Neurotoxicity Mechanisms. Molecules 2020, 25, 5880. [Google Scholar] [CrossRef]
- Kamińska, A.; Romano, G.L.; Rejdak, R.; Zweifel, S.; Fiedorowicz, M.; Rejdak, M.; Bajka, A.; Amato, R.; Bucolo, C.; Avitabile, T.; et al. Influence of Trace Elements on Neurodegenerative Diseases of The Eye-The Glaucoma Model. Int. J. Mol. Sci. 2021, 22, 4323. [Google Scholar] [CrossRef]
- Hohberger, B.; Chaudhri, M.A.; Michalke, B.; Lucio, M.; Nowomiejska, K.; Schlötzer-Schrehardt, U.; Grieb, P.; Rejdak, R.; Jünemann, A.G.M. Levels of aqueous humor trace elements in patients with open-angle glaucoma. J. Trace Elem. Med. Biol. 2018, 45, 150–155. [Google Scholar] [CrossRef]
- Feng, J.; Tao, Y. Abnormal Levels of Aqueous Humor Trace Elements in Patients with Cytomegalovirus Retinitis. Investig. Ophthalmol. Vis. Sci. 2019, 60, 5374. [Google Scholar]
- Dolar-Szczasny, J.; Święch, A.; Flieger, J.; Tatarczak-Michalewska, M.; Niedzielski, P.; Proch, J.; Majerek, D.; Kawka, J.; Mackiewicz, J. Levels of Trace Elements in the Aqueous Humor of Cataract Patients Measured by the Inductively Coupled Plasma Optical Emission Spectrometry. Molecules 2019, 24, 4127. [Google Scholar] [CrossRef]
- Zhu, X.; Lu, Y. Selenium supplementation can slow the development of naphthalene cataract. Curr. Eye Res. 2012, 37, 163–169. [Google Scholar] [CrossRef] [PubMed]
- González de Vega, R.; García, M.; Fernández-Sánchez, M.L.; González-Iglesias, H.; Sanz-Medel, A. Protective effect of selenium supplementation following oxidative stress mediated by glucose on retinal pigment epithelium. Metallomics 2018, 10, 83–92. [Google Scholar] [CrossRef]
- Miceli, M.V.; Tate, D.J., Jr.; Alcock, N.W.; Newsome, D.A. Zinc deficiency and oxidative stress in the retina of pigmented rats. Invest. Ophthalmol. Vis. Sci. 1999, 40, 1238–1244. [Google Scholar]
- El-Sayyad, H.I.H.; Bakr, E.H.M.; El-Ghawet, H.A.; El-Desoky, T.M.G.E. Overview of Congenital, Senile and Metabolic Cataract. J. Ocular Biol. 2015, 3, 12. [Google Scholar]
- Tamiya, S.; Dean, W.L.; Paterson, C.A.; Delamere, N.A. Regional distribution of Na,K-ATPase activity in porcine lens epithelium. Invest. Ophthalmol. Vis. Sci. 2003, 44, 4395–4399. [Google Scholar] [CrossRef]
- Delamere, N.A.; Tamiya, S. Expression, regulation and function of Na,K-ATPase in the lens. Prog. Retin. Eye Res. 2004, 23, 593–615. [Google Scholar] [CrossRef] [PubMed]
- Zeimer, R.; Weinreb, A.; Loewinger, E.; Kalman, Z.H.; Belkin, M. Detection and analysis of metals in the eye by x-ray spectrometry. Med. Phys. 1974, 1, 251–256. [Google Scholar] [CrossRef] [PubMed]
- Tabandeh, H.; Crowston, J.G.; Thompson, G.M. Ophthalmologic features of thallium poisoning. Am. J. Ophthalmol. 1994, 117, 243–245. [Google Scholar] [CrossRef]
- Söderström, M.; Link, H.; Xu, Z.; Fredriksson, S. Optic neuritis and multiple sclerosis: Anti-MBP and anti-MBP peptide antibody-secreting cells are accumulated in CSF. Neurology 1993, 43, 1215–1222. [Google Scholar] [CrossRef]
- Frederiksen, J.L.; Madsen, H.O.; Ryder, L.P.; Larsson, H.B.; Morling, N.; Svejgaard, A. HLA typing in acute optic neuritis. Relation to multiple sclerosis and magnetic resonance imaging findings. Arch. Neurol. 1997, 54, 76–80. [Google Scholar] [CrossRef]
- Francis, D.A.; Compston, D.A.; Batchelor, J.R.; McDonald, W.I. A reassessment of the risk of multiple sclerosis developing in patients with optic neuritis after extended follow-up. J. Neurol. Neurosurg. Psychiatry 1987, 50, 758–765. [Google Scholar] [CrossRef]
- Morrow, M.J.; Wingerchuk, D. Neuromyelitis optica. J. Neuroophthalmol. 2012, 32, 154–166. [Google Scholar] [CrossRef]
- Beck, R.W.; Cleary, P.A.; Anderson, M.M., Jr.; Keltner, J.L.; Shults, W.T.; Kaufman, D.I.; Buckley, E.G.; Corbett, J.J.; Kupersmith, M.J.; Miller, N.R.; et al. A randomized, controlled trial of corticosteroids in the treatment of acute optic neuritis. The Optic Neuritis Study Group. N. Engl. J. Med. 1992, 326, 581–588. [Google Scholar] [CrossRef] [PubMed]
- Baj, J.; Forma, A.; Kobak, J.; Tyczyńska, M.; Dudek, I.; Maani, A.; Teresiński, G.; Buszewicz, G.; Januszewski, J.; Flieger, J. Toxic and nutritional optic neuropathies—An updated review. Int. J. Environ. Res. Public Health 2021, 19, 3092. [Google Scholar] [CrossRef] [PubMed]
- Catalani, S.; Rizzetti, M.C.; Padovani, A.; Apostoli, P. Neurotoxicity of cobalt. Hum. Exp. Toxicol. 2012, 31, 421–437. [Google Scholar] [CrossRef]
- Abri Aghdam, K.; Zand, A.; Soltan Sanjari, M. Bilateral Optic Disc Edema in a Patient with Lead Poisoning. J. Ophthalmic Vis. Res. 2019, 14, 513–517. [Google Scholar] [CrossRef] [PubMed]
- Feitosa-Santana, C.; Costa, M.F.; Lago, M.; Ventura, D.F. Long-term loss of color vision after exposure to mercury vapor. Braz. J. Med. Biol. Res. 2007, 40, 409–414. [Google Scholar] [CrossRef] [PubMed][Green Version]
- Collins, C.; Saldana, M. Mercury exposure and its implications for visual health. Can. J. Ophthalmol. 2007, 42, 660–662. [Google Scholar] [CrossRef] [PubMed]
- Bernhoft, R.A. Mercury toxicity and treatment: A review of the literature. J. Environ. Public Health 2012, 2012, 460508. [Google Scholar] [CrossRef] [PubMed]
- Pelclová, D.; Urban, P.; Ridzon, P.; Senholdová, Z.; Lukás, E.; Diblík, P.; Lacina, L. Two-year follow-up of two patients after severe thallium intoxication. Hum. Exp. Toxicol. 2009, 28, 263–272. [Google Scholar] [CrossRef]
- Choi, S.C. Tests of Equality of Dependent Correlation Coefficients. Biometrika 1977, 64, 645–647. [Google Scholar] [CrossRef]
- Ward, J.H. Hierarchical Grouping to Optimize an Objective Function. J. Am. Stat. Assoc. 1963, 58, 236–244. [Google Scholar] [CrossRef]
- MacQueen, J. Some Methods for Classification and Analysis of Multivariate Observations. In Proceedings of the Fifth Berkeley Symposium Mathematical Statistics and Probability, Berkeley, CA, USA, 21 June–18 July 1965 and 27 December 1965–7 January 1966), Statistics; University California Press: Berkeley, CA, USA, 1967; Volume I, pp. 281–297. [Google Scholar]
- Badiru Adedeji, B.; Omitaomu Olufemi, A. 3.3.10 Kruskal-Wallis Test. In Handbook of Industrial Engineering Equations, Formulas, and Calculations; Taylor & Francis: Abingdon, UK, 2014. [Google Scholar]
- He, X.; Hahn, P.; Iacovelli, J.; Wong, R.; King, C.; Bhisitkul, R.; Massaro-Giordano, M.; Dunaief, J.L. Iron homeostasis and toxicity in retinal degeneration. Prog. Retin. Eye Res. 2007, 26, 649–673. [Google Scholar] [CrossRef] [PubMed]
- Baath, J.S.; Lam, W.C.; Kirby, M.; Chun, A. Deferoxamine-related ocular toxicity: Incidence and outcome in a pediatric population. Retina 2008, 28, 894–899. [Google Scholar] [CrossRef]
- Dunaief, J.L. Iron Induced Oxidative Damage as a Potential Factor in Age-Related Macular Degeneration: The Cogan Lecture. Investig. Ophthalmol. Vis. Sci. 2006, 47, 4660. [Google Scholar] [CrossRef]
- Wong, R.W.; Richa, D.C.; Hahn, P.; Green, W.R.; Dunaief, J.L. Iron Toxicity as a Potential Factor in AMD. Retina 2007, 27, 997–1003. [Google Scholar] [CrossRef] [PubMed]
- Lichten, L.A.; Cousins, R.J. Mammalian Zinc Transporters: Nutritional and Physiologic Regulation. Annu. Rev. Nutr. 2009, 29, 153–176. [Google Scholar] [CrossRef] [PubMed]
- Hojyo, S.; Fukada, T. Zinc transporters and signaling in physiology and pathogenesis. Arch. Biochem. Biophys. 2016, 611, 43–50. [Google Scholar] [CrossRef] [PubMed]
- Rice, J.M.; Zweifach, A.; Lynes, M.A. Metallothionein regulates intracellular zinc signaling during CD4(+) T cell activation. BMC Immunol. 2016, 17, 13. [Google Scholar] [CrossRef] [PubMed]
- O’Dell, B.L. Role of Zinc in Plasma Membrane Function. J. Nutr. 2000, 130, 1432S–1436S. [Google Scholar] [CrossRef] [PubMed]
- Grahn, B.H.; Paterson, P.G.; Gottschall-Pass, K.T.; Zhang, Z. Zinc and the eye. J. Am. Coll. Nutr. 2001, 20, 106–118. [Google Scholar] [CrossRef]
- Muga, S.J.; Grider, A. Partial characterization of a human zinc-deficiency syndrome by differential display. Biol. Trace Elem. Res. 1999, 68, 1–12. [Google Scholar] [CrossRef]
- Vinton, N.E.; Heckenlively, J.R.; Laidlaw, S.A.; Martin, D.A.; Foxman, S.R.; Ament, M.E.; Kopple, J.D. Visual function in patients undergoing long-term total parenteral nutrition. Am. J. Clin. Nutr. 1990, 52, 895–902. [Google Scholar] [CrossRef]
- McClain, C.J.; Su, L.C.; Gilbert, H.; Cameron, D. Zinc-deficiency-induced retinal dysfunction in Crohn’s disease. Dig. Dis. Sci. 1983, 28, 85–87. [Google Scholar] [CrossRef]
- Atmaca, L.S.; Arcasoy, A.; Cavdar, A.O.; Ozmert, E. Levels of zinc in plasma, erythrocytes, and hair, and levels of serum copper in patients with retinitis pigmentosa in Turkey. Br. J. Ophthalmol. 1989, 73, 29–31. [Google Scholar] [CrossRef]
- Vishwanathan, R.; Chung, M.; Johnson, E.J. A Systematic Review on Zinc for the Prevention and Treatment of Age-Related Macular Degeneration. Investig. Ophthalmol. Vis. Sci. 2013, 54, 3985. [Google Scholar] [CrossRef]
- Blasiak, J.; Pawlowska, E.; Chojnacki, J.; Szczepanska, J.; Chojnacki, C.; Kaarniranta, K. Zinc and Autophagy in Age-Related Macular Degeneration. Int. J. Mol. Sci. 2020, 21, 4994. [Google Scholar] [CrossRef]
- Harris, W.R.; Wang, Z.; Hamada, Y.Z. Competition between transferrin and the serum ligands citrate and phosphate for the binding of aluminum. Inorg. Chem. 2003, 42, 3262–3273. [Google Scholar] [CrossRef] [PubMed]
- Virk, S.A.; Eslick, G.D. Occupational Exposure to Aluminum and Alzheimer Disease: A Meta-Analysis. J. Occup. Environ. Med. 2015, 57, 893–896. [Google Scholar] [CrossRef] [PubMed]
- Kongerud, J.; Søyseth, V. Respiratory disorders in aluminum smelter workers. J. Occup. Environ. Med. 2014, 56, S60–S70. [Google Scholar] [CrossRef] [PubMed]
- Maltseva, A.; Serra, C.; Kogevinas, M. Cancer risk among workers of a secondary aluminium smelter. Occup. Med. 2016, 66, 412–414. [Google Scholar] [CrossRef]
- Yoshimasu, F.; Yasui, M.; Yase, Y.; Iwata, S.; Gajdusek, D.C.; Gibbs, C.J., Jr.; Chen, K.M. Studies on amyotrophic lateral sclerosis by neutron activation analysis–2. Comparative study of analytical results on Guam PD, Japanese ALS and Alzheimer disease cases. Folia Psychiatr. Neurol. Jpn. 1980, 34, 75–82. [Google Scholar] [CrossRef]
- Zhang, Q.; Wang, H.; Ge, C.; Duncan, J.; He, K.; Adeosun, S.O.; Xi, H.; Peng, H.; Niu, Q. Alumina at 50 and 13 nm nanoparticle sizes have potential genotoxicity. J. Appl. Toxicol. 2017, 37, 1053–1064. [Google Scholar] [CrossRef]
- Igbokwe, I.O.; Igwenagu, E.; Igbokwe, N.A. Aluminium toxicosis: A review of toxic actions and effects. Interdiscip. Toxicol. 2019, 12, 45–70. [Google Scholar] [CrossRef]
- Novaes, R.D.; Mouro, V.G.S.; Gonçalves, R.V.; Mendonça, A.A.S.; Santos, E.C.; Fialho, M.C.Q.; Machado-Neves, M. Aluminum: A potentially toxic metal with dose-dependent effects on cardiac bioaccumulation, mineral distribution, DNA oxidation and microstructural remodeling. Environ. Pollut. 2018, 242, 814–826. [Google Scholar] [CrossRef]
- Julka, D.; Gill, K.D. Altered calcium homeostasis: A possible mechanisms of aluminium-induced neurotoxicity. Biochim. Biophys. Acta 1996, 1315, 47–54. [Google Scholar] [CrossRef]
- Scali, C.; Caraci, F.; Gianfriddo, M.; Diodato, E.; Roncarati, R.; Pollio, G.; Gaviraghi, G.; Copani, A.; Nicoletti, F.; Terstappen, G.C.; et al. Inhibition of Wnt signaling, modulation of Tau phosphorylation and induction of neuronal cell death by DKK1. Neurobiol. Dis. 2006, 24, 254–265. [Google Scholar] [CrossRef]
- Fry, K.R.; Edwards, D.M.; Shaw, K.A.; Watt, C.B. The rabbit retina: A long-term model system for aluminum-induced neurofibrillary degeneration. Neurosci. Lett. 1991, 124, 216–220. [Google Scholar] [CrossRef]
- Mameli, O.; Caria, M.A.; Melis, P.; Zambenedetti, P.; Ramila, M.; Zatta, P. Effect of aluminum consumption on the vestibulo-ocular reflex. Metab. Brain Dis. 2006, 21, 89–107. [Google Scholar] [CrossRef]
- Ekinci, M.; Ceylan, E.; Cağatay, H.H.; Keleş, S.; Altınkaynak, H.; Kartal, B.; Koban, Y.; Hüseyinoğlu, N. Occupational exposure to lead decreases macular, choroidal, and retinal nerve fiber layer thickness in industrial battery workers. Curr. Eye Res. 2014, 39, 853–858. [Google Scholar] [CrossRef] [PubMed]
- Baghdassarian, S.A. Optic neuropathy due to lead poisoning. Report of a case. Arch. Ophthalmol. 1968, 80, 721–723. [Google Scholar] [CrossRef] [PubMed]
- Patel, A.; Athawale, A.M. Acute lead encephalopathy with optic neuropathy. Indian Pediatr. 2005, 42, 188–189. [Google Scholar]
- Grant, W.M.; Schuman, J.S. Toxicology of the Eye: Effects on the Eyes and Visual System from Chemicals, Drugs, Metals and Minerals, Plants, Toxins and Venoms; Also Systemic Side Effects from Eye Medications, 4th ed.; Charles C Thomas Publisher: Springfield, IL, USA, 1993. [Google Scholar]
- Csaky, K.G.; Caruso, R.C. Gallium nitrate optic neuropathy. Am. J. Ophthalmol. 1997, 124, 567–568. [Google Scholar] [CrossRef]
- Mulak, M.; Misiuk-Hojło, M.; Markuszewski, B.; Dembska, K. Influence of chronic exposure to heavy metals on eyesight. Klin. Oczna 2008, 110, 176–182. (In Polish) [Google Scholar]
- El-Sherbeeny, A.M.; Odom, J.V.; Smith, J.E. Visual system manifestations due to systemic exposure to mercury. Cutan. Ocul. Toxicol. 2006, 25, 173–183. [Google Scholar] [CrossRef]








| Population | Gender | Groups | n | % | Min-Max Age | Median Age | Mean Age ± SD |
|---|---|---|---|---|---|---|---|
| n = 107 | Female n = 20 | AUD | 5 | 4.67 | 39–68 | 46.5 | 50.0 ± 12.5 |
| no-AUD | 15 | 14.02 | 17–92 | 57.0 | 55.1 ± 23.6 | ||
| Male n = 87 | AUD | 20 | 18.69 | 23–73 | 55.0 | 51.4 ± 12.7 | |
| no-AUD | 67 | 62.62 | 18–83 | 55.0 | 54.6 ± 16.2 |
| Element | n | Min | Max | Median | q1 | q3 | Mean | sd |
|---|---|---|---|---|---|---|---|---|
| Ag 1 | 187 | 0.000 | 63.479 | 5.096 | 1.974 | 12.170 | 8.388 | 9.751 |
| Al 1 | 187 | 53.624 | 5927.694 | 589.058 | 311.609 | 1054.391 | 849.046 | 853.492 |
| As 1 | 187 | 0.000 | 13.089 | 2.032 | 0.980 | 3.560 | 2.828 | 2.689 |
| Ba 1 | 187 | 9.969 | 632.037 | 37.049 | 24.635 | 63.394 | 70.656 | 92.218 |
| Bi 1 | 187 | 0.000 | 0.000 | 0.000 | 0.000 | 0.000 | 0.000 | 0.000 |
| Ca 2 | 187 | 0.458 | 119.576 | 2.662 | 1.716 | 4.613 | 6.055 | 11.351 |
| Cd 1 | 187 | 56.127 | 10,013.799 | 128.430 | 94.403 | 191.961 | 210.129 | 728.266 |
| Ce 1 | 187 | 1.861 | 182.218 | 22.242 | 12.818 | 39.591 | 30.777 | 28.842 |
| Co 1 | 187 | 0.399 | 19.346 | 1.765 | 1.139 | 3.189 | 2.617 | 2.538 |
| Cr 1 | 187 | 0.716 | 15.915 | 2.434 | 1.869 | 3.206 | 2.888 | 1.900 |
| Cs 1 | 187 | 0.000 | 1183.577 | 26.712 | 5.564 | 109.331 | 83.472 | 145.685 |
| Cu 1 | 187 | 1.219 | 21.430 | 5.289 | 4.082 | 7.437 | 6.353 | 3.762 |
| Dy 1 | 187 | 354.078 | 11,196.279 | 1123.961 | 734.256 | 1603.526 | 1359.101 | 1133.862 |
| Er 1 | 187 | 0.000 | 2.230 | 0.483 | 0.312 | 0.677 | 0.542 | 0.347 |
| Eu 1 | 187 | 0.172 | 6.313 | 1.035 | 0.771 | 1.392 | 1.208 | 0.740 |
| Fe 1 | 187 | 0.070 | 1.253 | 0.359 | 0.244 | 0.489 | 0.384 | 0.201 |
| Ga 1 | 187 | 6401.308 | 59,353.704 | 14,982.996 | 10,850.651 | 20,567.069 | 17,299.171 | 9122.571 |
| Gd 1 | 187 | 0.000 | 16.935 | 0.169 | 0.000 | 0.875 | 0.585 | 1.386 |
| Hf 1 | 187 | 0.070 | 4.699 | 0.638 | 0.447 | 0.949 | 0.799 | 0.646 |
| Hg1 1 | 187 | 0.000 | 10.691 | 0.000 | 0.000 | 0.000 | 0.507 | 1.555 |
| Hg2 1 | 187 | 0.000 | 24.400 | 0.070 | 0.000 | 2.905 | 2.213 | 4.119 |
| Ho 1 | 187 | 0.000 | 24.184 | 0.122 | 0.000 | 2.925 | 2.219 | 4.134 |
| K 2 | 187 | 0.000 | 2.006 | 0.601 | 0.476 | 0.802 | 0.671 | 0.296 |
| La 1 | 187 | 475.689 | 6120.696 | 1645.623 | 1400.857 | 2061.010 | 1886.702 | 906.945 |
| Mg 2 | 187 | 0.527 | 8.063 | 1.278 | 0.995 | 1.977 | 1.664 | 1.127 |
| Mn 1 | 187 | 48.281 | 304.736 | 73.983 | 66.302 | 92.716 | 88.194 | 39.955 |
| Mo 1 | 187 | 122.010 | 858.483 | 232.228 | 200.294 | 288.796 | 273.634 | 124.911 |
| Na 2 | 187 | 0.000 | 261.006 | 38.232 | 9.743 | 84.503 | 56.004 | 57.347 |
| Nd 1 | 187 | 743.445 | 7668.469 | 1914.792 | 1628.342 | 2329.664 | 2207.223 | 1075.248 |
| Ni 1 | 187 | 0.000 | 5.992 | 0.561 | 0.279 | 1.077 | 0.915 | 1.031 |
| P 2 | 187 | 0.000 | 3744.519 | 0.000 | 0.000 | 58.293 | 121.754 | 401.851 |
| Pb 1 | 187 | 1533.439 | 9474.153 | 2489.203 | 2151.460 | 3001.225 | 2874.485 | 1336.601 |
| Pd 1 | 187 | 4.896 | 590.073 | 23.203 | 15.087 | 50.737 | 59.341 | 95.678 |
| Pr 1 | 187 | 0.000 | 1.207 | 0.000 | 0.000 | 0.000 | 0.012 | 0.102 |
| Pt 1 | 187 | 0.081 | 2.431 | 0.478 | 0.312 | 0.687 | 0.558 | 0.353 |
| Rb 1 | 187 | 0.000 | 14.589 | 0.050 | 0.026 | 0.092 | 0.219 | 1.304 |
| Sb 1 | 187 | 348.990 | 6396.930 | 1466.236 | 1132.742 | 1854.360 | 1666.120 | 877.629 |
| Se 1 | 187 | 0.000 | 67.807 | 0.000 | 0.000 | 0.000 | 1.171 | 6.615 |
| Sm 1 | 187 | 46.901 | 371.195 | 87.448 | 73.823 | 109.518 | 100.926 | 47.430 |
| Sn 1 | 187 | 0.000 | 1.532 | 0.254 | 0.053 | 0.529 | 0.334 | 0.322 |
| Sr 1 | 187 | 0.000 | 119.631 | 0.887 | 0.000 | 4.333 | 8.101 | 17.876 |
| Tb 1 | 187 | 74.626 | 4117.310 | 363.803 | 228.190 | 651.124 | 521.521 | 488.893 |
| Th 1 | 187 | 0.088 | 1.324 | 0.415 | 0.305 | 0.557 | 0.456 | 0.212 |
| Ti 1 | 187 | 0.000 | 0.355 | 0.000 | 0.000 | 0.000 | 0.002 | 0.026 |
| Tl 1 | 187 | 24.151 | 617.923 | 73.064 | 52.070 | 104.722 | 102.144 | 101.168 |
| Tm 1 | 187 | 0.000 | 9.376 | 0.045 | 0.000 | 0.118 | 0.152 | 0.701 |
| U 1 | 187 | 0.031 | 1.871 | 0.473 | 0.367 | 0.638 | 0.523 | 0.242 |
| V 1 | 187 | 0.000 | 17.502 | 0.421 | 0.224 | 0.800 | 1.456 | 2.977 |
| Yb 1 | 187 | 2.613 | 21.271 | 6.103 | 4.693 | 7.987 | 6.845 | 3.212 |
| Zr 1 | 187 | 0.000 | 3.078 | 0.561 | 0.384 | 0.790 | 0.639 | 0.405 |
| Zn 1 | 187 | 4302.780 | 89,710.452 | 10,289.986 | 7117.469 | 14,991.362 | 13,633.378 | 11,779.637 |
| Element | 1st Cluster | 2nd Cluster | 3rd Cluster | p-Value |
|---|---|---|---|---|
| Ag | 12, (10) | 6, (7) | 8, (9) | 0.12 |
| Al | 1211, (510) | 1376, (1475) | 695, (467) | <0.001 |
| As | 3.54, (2.30) | 3.15, (2.41) | 2.60, (2.25) | 0.067 |
| Ba | 101, (72) | 74, (94) | 61, (71) | <0.001 |
| Bi | 22, (17) | 5, (3) | 4, (4) | <0.001 |
| Ca 1 | 537, (1249) | 238, (110) | 135, (58) | <0.001 |
| Cd | 31, (18) | 67, (49) | 25, (15) | <0.001 |
| Ce | 5.34, (2.13) | 3.23, (1.58) | 2.02, (1.38) | <0.001 |
| Co | 3.66, (0.89) | 4.18, (1.61) | 2.51, (1.21) | <0.001 |
| Cr | 160, (98) | 186, (290) | 62, (99) | <0.001 |
| Cs | 6.2, (4.0) | 11.0, (4.4) | 5.8, (2.6) | <0.001 |
| Cu | 1723, (563) | 2439, (1434) | 1166, (707) | <0.001 |
| Dy | 0.72, (0.24) | 0.83, (0.30) | 0.46, (0.19) | <0.001 |
| Er | 1.34, (0.37) | 1.80, (0.59) | 1.06, (0.50) | <0.001 |
| Eu | 0.50, (0.17) | 0.52, (0.21) | 0.34, (0.14) | <0.001 |
| Fe | 20,356, (5297) | 29,730, (9682) | 15,266, (6173) | <0.001 |
| Ga | 1.62, (2.16) | 0.39, (0.59) | 0.43, (0.50) | 0.006 |
| Gd | 1.33, (0.57) | 1.19, (1.02) | 0.66, (0.50) | <0.001 |
| Hf | 0.99, (1.69) | 0.08, (0.29) | 0.47, (1.34) | 0.023 |
| Hg1 | 8.5, (3.5) | 2.2, (3.3) | 1.2, (1.8) | <0.001 |
| Hg2 | 8.53, (3.46) | 2.10, (3.25) | 1.20, (1.81) | <0.001 |
| Ho | 0.77, (0.17) | 1.02, (0.26) | 0.59, (0.17) | <0.001 |
| K 1 | 1672, (465) | 3627, (1130) | 1698, (457) | <0.001 |
| La | 3.08, (0.97) | 2.15, (0.74) | 1.31, (0.49) | <0.001 |
| Mg 1 | 84, (21) | 165, (48) | 78, (17) | <0.001 |
| Mn | 269, (65) | 511, (162) | 241, (60) | <0.001 |
| Mo | 129, (40) | 92, (54) | 40, (31) | <0.001 |
| Na 1 | 1987, (455) | 4301, (1322) | 1958, (487) | <0.001 |
| Nd | 2.58, (0.90) | 1.03, (0.66) | 0.60, (0.38) | <0.001 |
| Ni | 174, (200) | 43, (114) | 121, (376) | <0.001 |
| P 1 | 2657, (761) | 5394, (1600) | 2542, (574) | <0.001 |
| Pb | 196, (133) | 67, (68) | 37, (41) | <0.001 |
| Pr | 0.98, (0.29) | 0.73, (0.23) | 0.44, (0.17) | <0.001 |
| Pt | 0.09, (0.05) | 0.12, (0.10) | 0.24, (1.41) | <0.001 |
| Rb | 1411, (596) | 3143, (1191) | 1523, (516) | <0.001 |
| Sb | 5.19, (12.73) | 0.10, (0.36) | 0.54, (1.94) | <0.001 |
| Se | 93, (23) | 191, (64) | 90, (23) | <0.001 |
| Sm | 0.62, (0.23) | 0.35, (0.26) | 0.27, (0.20) | <0.001 |
| Sn | 36, (15) | 3, (4) | 4, (9) | <0.001 |
| Sr | 813, (480) | 688, (343) | 452, (348) | <0.001 |
| Tb | 0.51, (0.10) | 0.69, (0.18) | 0.40, (0.13) | <0.001 |
| Ti | 93, (34) | 198, (129) | 87, (64) | <0.001 |
| Tl | 0.17, (0.18) | 0.11, (0.14) | 0.16, (0.59) | 0.043 |
| Tm | 0.58, (0.18) | 0.77, (0.25) | 0.47, (0.14) | <0.001 |
| U | 6.61, (3.50) | 0.84, (0.59) | 0.67, (1.02) | <0.001 |
| V | 8.18, (2.66) | 9.11, (3.03) | 6.00, (2.23) | <0.001 |
| Yb | 0.78, (0.23) | 1.04, (0.44) | 0.54, (0.22) | <0.001 |
| Zn | 21,318, (10,884) | 23,546, (12,668) | 11,058, (8307) | <0.001 |
| Zr | 31, (33) | 12, (14) | 22, (34) | 0.14 |
Publisher’s Note: MDPI stays neutral with regard to jurisdictional claims in published maps and institutional affiliations. |
© 2022 by the authors. Licensee MDPI, Basel, Switzerland. This article is an open access article distributed under the terms and conditions of the Creative Commons Attribution (CC BY) license (https://creativecommons.org/licenses/by/4.0/).
Share and Cite
Baj, J.; Forma, A.; Kowalska, B.; Teresiński, G.; Buszewicz, G.; Majerek, D.; Flieger, W.; Maciejewski, R.; Karakuła, K.; Flieger, M.; et al. Multi-Elemental Analysis of Human Optic Chiasm—A New Perspective to Reveal the Pathomechanism of Nerve Fibers’ Degeneration. Int. J. Environ. Res. Public Health 2022, 19, 4420. https://doi.org/10.3390/ijerph19074420
Baj J, Forma A, Kowalska B, Teresiński G, Buszewicz G, Majerek D, Flieger W, Maciejewski R, Karakuła K, Flieger M, et al. Multi-Elemental Analysis of Human Optic Chiasm—A New Perspective to Reveal the Pathomechanism of Nerve Fibers’ Degeneration. International Journal of Environmental Research and Public Health. 2022; 19(7):4420. https://doi.org/10.3390/ijerph19074420
Chicago/Turabian StyleBaj, Jacek, Alicja Forma, Beata Kowalska, Grzegorz Teresiński, Grzegorz Buszewicz, Dariusz Majerek, Wojciech Flieger, Ryszard Maciejewski, Kaja Karakuła, Michał Flieger, and et al. 2022. "Multi-Elemental Analysis of Human Optic Chiasm—A New Perspective to Reveal the Pathomechanism of Nerve Fibers’ Degeneration" International Journal of Environmental Research and Public Health 19, no. 7: 4420. https://doi.org/10.3390/ijerph19074420
APA StyleBaj, J., Forma, A., Kowalska, B., Teresiński, G., Buszewicz, G., Majerek, D., Flieger, W., Maciejewski, R., Karakuła, K., Flieger, M., Czeczelewski, M., Kędzierawski, P., & Flieger, J. (2022). Multi-Elemental Analysis of Human Optic Chiasm—A New Perspective to Reveal the Pathomechanism of Nerve Fibers’ Degeneration. International Journal of Environmental Research and Public Health, 19(7), 4420. https://doi.org/10.3390/ijerph19074420

